10-K 1 donaldson143395s1_10k.htm FORM 10-K FOR THE FISCAL YEAR ENDED JULY 31, 2014

Table of Contents

 
UNITED STATES
SECURITIES AND EXCHANGE COMMISSION

Washington, D.C. 20549

Form 10-K

x Annual Report Pursuant to Section 13 or 15(d) of the Securities Exchange
Act of 1934
for the fiscal year ended July 31, 2014 or

o Transition Report Pursuant to Section 13 or 15(d) of the Securities
Exchange Act of 1934
for the transition period from __________ to __________

Commission File Number: 1-7891

 

 

 

 

DONALDSON COMPANY, INC.

 

(Exact name of registrant as specified in its charter)


 

 

Delaware

41-0222640

(State or other jurisdiction of

(I.R.S. Employer

incorporation or organization)

Identification No.)

 

 

1400 West 94th Street, Minneapolis, Minnesota

55431

(Address of principal executive offices)

(Zip Code)

Registrant’s telephone number, including area code: (952) 887-3131

Securities registered pursuant to Section 12(b) of the Act:

 

 

Title of each class

Name of each exchange
on which registered

   

Common Stock, $5 Par Value

New York Stock Exchange

Preferred Stock Purchase Rights

New York Stock Exchange

Securities registered pursuant to Section 12(g) of the Act: NONE

          Indicate by check mark if the registrant is a well-known seasoned issuer, as defined in Rule 405 of the Securities Act. x Yes o No

          Indicate by check mark if the registrant is not required to file reports pursuant to Section 13 or Section 15(d) of the Act. o Yes x No

          Indicate by check mark whether the registrant (1) has filed all reports required to be filed by Section 13 or 15(d) of the Securities Exchange Act of 1934 during the preceding 12 months (or for such shorter period that the registrant was required to file such reports), and (2) has been subject to such filing requirements for the past 90 days. x Yes o No

          Indicate by check mark whether the registrant has submitted electronically and posted on its corporate Website, if any, every Interactive Data File required to be submitted and posted pursuant to Rule 405 of Regulation S-T during the preceding 12 months (or for such shorter period that the registrant was required to submit and post such files) x Yes o No

          Indicate by check mark if disclosure of delinquent filers pursuant to Item 405 of Regulation S-K is not contained herein, and will not be contained, to the best of registrant’s knowledge, in definitive proxy or information statements incorporated by reference in Part III of this Form 10-K or any amendment to this Form 10-K. x

          Indicate by check mark whether the registrant is a large accelerated filer, an accelerated filer, a non-accelerated filer, or a smaller reporting company. See the definitions of “large accelerated filer,” “accelerated filer” and “smaller reporting company” in Rule 12b-2 of the Exchange Act. (Check one):

 

 

Large accelerated filer  x

Accelerated filer  o

Non-accelerated filer  o (Do not check if a smaller reporting company)

Smaller reporting company  o

          Indicate by check mark whether the registrant is a shell company (as defined in Rule 12b-2 of the Act). o Yes x No

          As of January 31, 2014, the last business day of the registrant’s most recently completed second fiscal quarter, the aggregate market value of voting and non-voting common stock held by non-affiliates of the registrant was $5,927,321,901 (based on the closing price of $41.26 as reported on the New York Stock Exchange as of that date).

          As of September 24, 2014, there were approximately 138,365,916 shares of the registrant’s common stock outstanding.

Documents Incorporated by Reference

          Portions of the registrant’s Proxy Statement for its 2014 annual meeting of stockholders (the “2014 Proxy Statement”) are incorporated by reference in Part III, as specifically set forth in Part III.

 

DONALDSON COMPANY, INC.

ANNUAL REPORT ON FORM 10-K

TABLE OF CONTENTS

 

 

 

 

 

Page

PART I

Item 1.

Business

1

 

General

1

 

Seasonality

2

 

Competition

2

 

Raw Materials

2

 

Patents and Trademarks

2

 

Major Customers

2

 

Backlog

2

 

Research and Development

2

 

Environmental Matters

3

 

Employees

3

 

Geographic Areas

3

Item 1A.

Risk Factors

3

Item 1B.

Unresolved Staff Comments

6

Item 2.

Properties

6

Item 3.

Legal Proceedings

7

Item 4.

Mine Safety Disclosures

7

 

Executive Officers of the Registrant

7

PART II

Item 5.

Market for Registrant’s Common Equity, Related Stockholder Matters and Issuer Purchases of Equity Securities

9

Item 6.

Selected Financial Data

10

Item 7.

Management’s Discussion and Analysis of Financial Condition and Results of Operations

10

 

Safe Harbor Statement under the Securities Reform Act of 1995

26

Item 7A.

Quantitative and Qualitative Disclosures about Market Risk

26

Item 8.

Financial Statements and Supplementary Data

27

Item 9.

Changes in and Disagreements with Accountants on Accounting and Financial Disclosure

58

Item 9A.

Controls and Procedures

58

Item 9B.

Other Information

59

PART III

Item 10.

Directors, Executive Officers and Corporate Governance

59

Item 11.

Executive Compensation

59

Item 12.

Security Ownership of Certain Beneficial Owners and Management and Related Stockholder Matters

60

Item 13.

Certain Relationships and Related Transactions, and Director Independence

61

Item 14.

Principal Accounting Fees and Services

61

PART IV

Item 15.

Exhibits, Financial Statement Schedules

61

 

Signatures

62

 

Schedule II – Valuation and Qualifying Accounts

63

 

Exhibit Index

64



Table of Contents

PART I

Item 1. Business

General

          Donaldson Company, Inc. (Donaldson or the Company) was founded in 1915 and organized in its present corporate form under the laws of the State of Delaware in 1936.

          The Company is a worldwide manufacturer of filtration systems and replacement parts. The Company’s core strengths are leading filtration technology, strong Customer relationships, and its global presence. Products are manufactured at 39 plants around the world and through three joint ventures. The Company has two reporting segments: Engine Products and Industrial Products. Products in the Engine Products segment consist of air filtration systems, exhaust and emissions systems, liquid filtration systems including hydraulics, fuel, and lube, and replacement filters. The Engine Products segment sells to original equipment manufacturers (OEMs) in the construction, mining, agriculture, aerospace, defense, and truck markets, and to independent distributors, OEM dealer networks, private label accounts, and large equipment fleets. Products in the Industrial Products segment consist of dust, fume, and mist collectors, compressed air purification systems, air filtration systems for gas turbines, PTFE membrane-based products, and specialized air and gas filtration systems for applications including computer hard disk drives and semi-conductor manufacturing. The Industrial Products segment sells to various industrial dealers, distributors, OEMs of gas-fired turbines, and OEMs and end-users requiring filtration solutions and replacement filters.

          The discussion below should be read in conjunction with the risk factors discussed in this report in Part I, Item 1A, “Risk Factors.”

          The table below shows the percentage of total net sales contributed by the principal classes of similar products for each of the last three fiscal years:

 

 

 

 

 

 

 

 

 

 

 

 

 

Year Ended July 31,

 

 

 

2014

 

2013

 

2012

 

Engine Products segment

 

 

 

 

 

 

 

 

 

 

Off-Road Products

 

 

14%

 

 

15%

 

15%

 

On-Road Products

 

 

5%

 

 

5%

 

 

7%

 

Aftermarket Products*

 

 

41%

 

 

38%

 

 

37%

 

Aerospace and Defense Products

 

 

4%

 

 

4%

 

 

4%

 

*includes replacement part sales to the Company’s OEM Customers

 

 

 

 

 

 

 

 

 

 

Industrial Products segment

 

 

 

 

 

 

 

 

 

 

Industrial Filtration Solutions Products

 

 

23%

 

 

22%

 

 

22%

 

Gas Turbine Products

 

 

6%

 

 

9%

 

 

7%

 

Special Applications Products

 

 

7%

 

 

7%

 

 

8%

 

          Total net sales contributed by the principal classes of similar products and financial information about segment operations and geographic regions appear in Note K in the Notes to Consolidated Financial Statements on page 54.

          The Company makes its annual reports on Form 10-K, quarterly reports on Form 10-Q, and current reports on Form 8-K, and amendments to those reports, available free of charge through its website at www.donaldson.com, as soon as reasonably practicable after it electronically files such material with (or furnishes such material to) the Securities and Exchange Commission. Also available on the Company’s website are corporate governance documents, including the Company’s Code of Business Conduct and Ethics, Corporate Governance Guidelines, Audit Committee charter, Human Resources Committee charter, and Corporate Governance Committee charter. These documents are also available in print, free of charge to any person who requests them in writing to the attention of Investor Relations, MS 102, Donaldson Company, Inc., 1400 West 94th Street, Minneapolis, Minnesota 55431. The information contained on the Company’s website is not incorporated by reference into this Annual Report on Form 10-K and should not be considered to be part of this Form 10-K.

1


Table of Contents

Seasonality

          A number of the Company’s end markets are dependent on the construction, agricultural, and power generation industries, which are generally stronger in the second half of the Company’s fiscal year. The first two quarters of the fiscal year also contain the traditional summer and winter holiday periods, which are typically characterized by more Customer plant closures.

Competition

          Principal methods of competition in both the Engine and Industrial Products segments are technology and innovation, price, geographic coverage, service, and product performance. The Company competes in a number of highly competitive filtration markets in both segments. The Company believes it is a market leader within many of its product lines, specifically within its Off-Road Equipment and On-Road Products lines for OEMs, and is a significant participant in the aftermarket for replacement filters. The Engine Products segment’s principal competitors include several large global competitors and many regional competitors, especially in the Engine Aftermarket Products business. The Industrial Products segment’s principal competitors vary from country to country and include several large regional and global competitors and a significant number of smaller competitors who compete in a specific geographical region or in a limited number of product applications.

Raw Materials

          The principal raw materials that the Company uses are steel, filter media, and petroleum-based products. Purchased raw materials represent approximately 60 to 65 percent of the Company’s cost of goods sold. Of that amount, steel, including fabricated parts, represents approximately 25 percent. Filter media represents approximately 15 to 20 percent and the remainder is primarily made up of petroleum-based products and other components. The Company typically has multiple sources of supply for the raw materials essential to its business, but does rely primarily on two media suppliers. The Company is not required to carry significant amounts of raw material inventory to secure supplier allotments. However, the Company does stock finished goods inventory at its regional distribution centers in order to meet anticipated Customer demand. The Company has not experienced significant supply problems in the purchase of its major raw materials.

Patents and Trademarks

          The Company owns various patents and trademarks, which it considers in the aggregate to constitute a valuable asset, including patents and trademarks for products sold under the Ultra-Web®, PowerCore®, and Donaldson® trademarks. However, it does not regard the validity of any one patent or trademark as being of material importance.

Major Customers

          There were no Customers that accounted for over 10 percent of net sales in Fiscal 2014, 2013, or 2012. There were no Customers that accounted for over 10 percent of gross accounts receivable in Fiscal 2014 or Fiscal 2013.

Backlog

          At August 31, 2014, the backlog of orders expected to be delivered within 90 days was $375.1 million. The 90-day backlog at August 31, 2013, was $351.7 million. Backlog is one of many indicators of business conditions in the Company’s markets. However, it is not always indicative of future results for a number of reasons, including short lead times in the Company’s replacement parts businesses and the timing of orders in many of the Company’s Engine OEM and Industrial markets.

Research and Development

          During Fiscal 2014, the Company spent $61.8 million on research and development activities. Research and development expenses include basic scientific research and the application of scientific advances to the development of new and improved products and their uses. The Company spent $62.6 million and $59.6 million in Fiscal 2013 and Fiscal 2012, respectively, on research and development activities. Substantially all commercial research and development is performed in-house.

2


Table of Contents

Environmental Matters

          The Company does not anticipate any material effect on its capital expenditures, earnings, or competitive position during Fiscal 2015 due to compliance with government regulations regulating the discharge of materials into the environment or otherwise relating to the protection of the environment.

Employees

          The Company employed over 12,500 persons in worldwide operations as of August 31, 2014.

Geographic Areas

          Financial information about geographic areas appears in Note K of the Notes to Consolidated Financial Statements on page 54.

Item 1A. Risk Factors

          There are inherent risks and uncertainties associated with our global operations that involve the manufacturing and sale of products for highly demanding Customer applications throughout the world. These risks and uncertainties could adversely affect our operating performance and financial condition. The following discussion, along with discussions elsewhere in this report, outline the risks and uncertainties that we believe are the most material to our business at this time. We want to further highlight the risks and uncertainties associated with: world economic factors and ongoing global economic uncertainty, the reduced demand for hard disk drive products with the increased use of flash memory, the potential for some Customers to increase their reliance on their own filtration capabilities, currency fluctuations, commodity prices, political factors, our international operations, highly competitive markets, governmental laws and regulations, including the impact of the various economic stimulus and financial reform measures, the implementation of our new information technology systems, information security and data breaches, potential global events resulting in market instability including financial bailouts and defaults of sovereign nations, military and terrorist activities, including political unrest in the Middle East and Ukraine, other political changes, health outbreaks, natural disasters, and other factors discussed below. We undertake no obligation to publicly update or revise any forward-looking statements, whether as a result of new information, future events, or otherwise.

Operating internationally carries risks which could negatively affect our financial performance.

          We have sales and manufacturing operations throughout the world, with the heaviest concentrations in the Americas, Europe, and Asia. Our stability, growth, and profitability are subject to a number of risks of doing business internationally that could harm our business, including:

 

 

 

 

political and military events,

 

 

 

 

legal and regulatory requirements, including import, export, defense regulations, anti-corruption laws, and foreign exchange controls,

 

 

 

 

tariffs and trade barriers,

 

 

 

 

potential difficulties in staffing and managing local operations,

 

 

 

 

credit risk of local Customers and distributors,

 

 

 

 

difficulties in protecting intellectual property,

 

 

 

 

local economic, political, and social conditions, specifically in the Middle East, Ukraine, China, Thailand, and other emerging markets where we do business,

 

 

 

 

potential global health outbreaks, and

 

 

 

 

natural disasters.

          Due to the international scope of our operations, we are subject to a complex system of import- and export-related laws and regulations. Any alleged or actual violations may subject us to government scrutiny, investigation, and civil and criminal penalties, and may limit our ability to import or export our products or to provide services outside the United States (U.S.). In addition, the U.S. Foreign Corrupt Practices Act and

3


Table of Contents

similar foreign anti-corruption laws generally prohibit companies and their intermediaries from making improper payments or providing anything of value to improperly influence foreign government officials for the purpose of obtaining or retaining business, or obtaining an unfair advantage. Recent years have seen a substantial increase in the global enforcement of anti-corruption laws. Violations of these laws may result in severe criminal or civil sanctions, could disrupt our business, and result in an adverse effect on our reputation, business, and results of operations or financial condition.

Maintaining a competitive advantage requires continuing investment with uncertain returns.

          We operate in highly competitive markets and have numerous competitors who may already be well-established in those markets. We expect our competitors to continue improving the design and performance of their products and to introduce new products that could be competitive in both price and performance. We believe that we have certain technological advantages over our competitors, but maintaining these advantages requires us to continually invest in research and development, sales and marketing, and Customer service and support. There is no guarantee that we will be successful in maintaining these advantages. We make investments in new technologies that address increased performance and regulatory requirements around the globe. There is no guarantee that we will be successful in completing development or achieving sales of these products or that the margins on such products will be acceptable. Our financial performance may be negatively impacted if a competitor’s successful product innovation reaches the market before ours or gains broader market acceptance.

          We may be adversely impacted by changes in technology that could reduce or eliminate the demand for our products. These risks include:

 

 

 

 

breakthroughs in technology which provide a viable alternative to diesel engines

 

 

 

 

reduced demand for disk drive products by flash memory or a similar technology, which would reduce the use of disk drives and therefore reduce the need for our filtration solutions in disk drives

 

 

 

 

other breakthroughs in filtration technologies that could displace our products

Difficulties with our information technology systems and security could adversely affect our results.

          We have many information technology systems that are important to the operation of our businesses, some of which are managed by third parties. These systems are used to process, transmit, and store electronic information, and to manage or support a variety of business processes and activities. We could encounter difficulties in developing new systems, maintaining and upgrading existing systems, and preventing information security breaches. There may be other challenges and risks as we continue to upgrade and standardize our multi-year implementation of a global enterprise resource planning system (Global ERP Project) on a worldwide basis. Such difficulties could lead to significant additional expenses and/or disruption in business operations that could adversely affect our results. Additionally, information technology security threats are increasing in frequency and sophistication. These threats pose a risk to the security of our systems and networks and the confidentiality, availability, and integrity of our data. Should such an attack succeed, it could lead to the compromising of confidential information, manipulation and destruction of data, defective products, production downtimes, and operations disruptions. The occurrence of any of these events could adversely affect our reputation, and could result in litigation, regulatory action, potential liability, and increased costs and operational consequences of implementing further data protection matters.

Demand for our products relies on economic and industrial conditions worldwide.

          Changes in economic or industrial conditions could impact our results of operations or financial condition in any particular period as our business can be sensitive to varying conditions by region across the globe.

          While sales to Caterpillar accounted for slightly less than 10 percent of our net sales in Fiscal 2014, 2013, and 2012, an adverse change in Caterpillar’s financial performance or a material reduction in our sales to Caterpillar could negatively impact our operating results.

4


Table of Contents

We participate in highly competitive markets with pricing pressure. If we are not able to compete effectively our margins and results of operations could be adversely affected.

          The businesses and product lines in which we participate are very competitive and we risk losing business based on a wide range of factors including technology, price, geographic coverage, product performance, and Customer service. Large Customers continue to seek productivity gains and lower prices from us and their other suppliers. We may lose business or negatively impact our margins if we are unable to deliver the best value to our Customers.

Changes in our product mix impact our financial performance.

          We sell products that have varying profit margins. Our financial performance can be impacted depending on the mix of products we sell during a given period. Our outlook assumes a certain geographic mix of sales as well as a product mix of sales. If actual results vary from this projected geographic and product mix of sales, our results could be negatively impacted.

Unavailable or higher cost materials could impact our financial performance.

          We obtain raw materials including steel, filter media, petroleum-based products, and other components from third-party suppliers and tend to carry limited raw material inventories. An unanticipated delay in delivery by our suppliers could result in the inability to deliver on-time and meet the expectations of our Customers. This could negatively affect our financial performance. An increase in commodity prices could also result in lower operating margins.

Unfavorable fluctuations in foreign currency exchange rates could negatively impact our results and financial position.

          We have operations in many countries. Each of our subsidiaries reports its results of operations and financial position in its relevant functional currency, which is then translated into U.S. dollars. This translated financial information is included in our consolidated financial statements. The strengthening of the U.S. dollar in comparison to the foreign currencies of our subsidiaries could have a negative impact on our results and financial position.

Acquisitions may have an impact on our results.

          We have made and continue to pursue acquisitions. We cannot guarantee that these acquisitions will have a positive impact on our results. These acquisitions could negatively impact our profitability due to operating and integration inefficiencies, the incurrence of debt, contingent liabilities, and amortization expenses related to intangible assets. There are also a number of other risks involved in acquisitions. We could lose key existing Customers, have difficulties in assimilating the acquired operations, assume unanticipated legal liabilities, or lose key employees.

Costs associated with lawsuits or investigations may have an adverse effect on our results of operations.

          We are subject to many laws and regulations in the jurisdictions in which we operate. We routinely incur costs in order to comply with these laws and regulations. We may be adversely impacted by new or changing laws and regulations that affect both our operations and our ability to develop and sell products that meet our Customers’ requirements. We are involved in various product liability, product warranty, intellectual property, environmental claims, and other legal proceedings that arise in and outside of the ordinary course of our business. It is not possible to predict the outcome of investigations and lawsuits, and we could incur judgments, fines, or penalties or enter into settlements of lawsuits and claims that could have an adverse effect on our business, results of operations, and financial condition in any particular period.

Additional tax expense or tax exposure could impact our financial performance.

          We are subject to income taxes in various jurisdictions in which we operate. Our tax liabilities are dependent upon the location of earnings among these different jurisdictions. Our provision for income taxes and cash tax liability could be adversely affected by numerous factors, including income before taxes being lower than anticipated in countries with lower statutory tax rates and higher than anticipated in countries with higher statutory tax rates, changes in the valuation of deferred tax assets and liabilities, and changes in tax laws and regulations. We are also subject to the continuous examination of our income tax returns by tax authorities. The results of audits and examinations of previously filed tax returns and continuing

5


Table of Contents

assessments of our tax exposures may have an adverse effect on the Company’s provision for income taxes and cash tax liability.

Compliance with environmental and product laws and regulations can be costly.

          We are subject to many environmental and product laws and regulations in the jurisdiction we operate. We routinely incur costs in order to comply with these laws and regulations. We may be adversely impacted by new or changing laws and regulations that affect both our operations and our ability to develop and sell products that meet our Customers’ requirements.

Item 1B. Unresolved Staff Comments

          None.

Item 2. Properties

          The Company’s principal administrative office and research facilities are located in Bloomington, a suburb of Minneapolis, Minnesota. The Company’s principal European administrative and engineering offices are located in Leuven, Belgium. The Company also has extensive operations in the Asia-Pacific and Latin America regions.

          The Company’s principal manufacturing and distribution activities are located throughout the world. The following is a summary of the principal plants and other materially important physical properties owned or leased by the Company.

 

 

Americas

Europe / Middle East / Africa

Auburn, Alabama (E)

Kadan, Czech Republic (I)

Riverbank, California (I)*

Klasterec, Czech Republic

Valencia, California (E)*

Domjean, France (E)

Dixon, Illinois

Paris, France (E)*

Frankfort, Indiana

Dulmen, Germany (E)

Cresco, Iowa

Haan, Germany (I)

Grinnell, Iowa (E)

Ostiglia, Italy (E)

Nicholasville, Kentucky

Cape Town, South Africa

Bloomington, Minnesota

Johannesburg, South Africa*

Chesterfield, Missouri (E)*

Hull, United Kingdom

Chillicothe, Missouri (E)

Leicester, United Kingdom (I)

Philadelphia, Pennsylvania (I)

 

Greeneville, Tennessee

Australia

Baldwin, Wisconsin

Wyong, Australia

Stevens Point, Wisconsin

 

Sao Paulo, Brazil (E)*

Asia

Brockville, Canada (E)*

Wuxi, China

Aguascalientes, Mexico

New Delhi, India

Monterrey, Mexico (I)

Gunma, Japan

 

Rayong, Thailand (I)

Joint Venture Facilities

 

Champaign, Illinois (E)

Third-Party Logistics Providers

Jakarta, Indonesia

Santiago, Chile

Dammam, Saudi Arabia (I)

Wuxi, China

 

Mumbai, India

Distribution Centers

Chennai, India

Wyong, Australia

Plainfield, Indiana (I)

Brugge, Belgium

Gunma, Japan

Sao Paulo, Brazil*

Lima, Peru

Rensselaer, Indiana

Singapore

Jakarta, Indonesia

Greeneville, Tennessee (I)

Aguascalientes, Mexico

 

Johannesburg, South Africa

 

Seoul, South Korea*

 

6


Table of Contents

          The Company’s properties are utilized for both the Engine and Industrial Products segments except as indicated with an (E) for Engine or (I) for Industrial. The Company leases certain of its facilities, primarily under long-term leases. The facilities denoted with an asterisk (*) are leased facilities. In Wuxi, China, and Bloomington, Minnesota a portion of the activities are conducted in leased facilities. The Company uses third-party logistics providers for some of its product distribution and neither leases nor owns the facilities. The Company considers its properties to be suitable for their present purposes, well-maintained, and in good operating condition.

Item 3. Legal Proceedings

          The Company records provisions with respect to identified claims or lawsuits when it is probable that a liability has been incurred and the amount of the loss can be reasonably estimated. Claims and lawsuits are reviewed quarterly and provisions are taken or adjusted to reflect the status of a particular matter. The Company believes the recorded reserves in its consolidated financial statements are adequate in light of the probable and estimable outcomes. Any recorded liabilities were not material to the Company’s financial position, results of operations or liquidity, and the Company does not believe that any of the currently identified claims or litigation will materially affect its financial position, results of operations or liquidity.

Item 4. Mine Safety Disclosures

          Not applicable.

Executive Officers of the Registrant

          Current information regarding executive officers is presented below. All terms of office are for one year. There are no arrangements or understandings between individual officers and any other person pursuant to which the officer was selected as an executive officer.

 

 

 

 

 

 

 

Name

 

Age

 

Positions and Offices Held

 

First Fiscal Year
Appointed as an
Executive Officer

Amy C. Becker

 

49

 

Vice President, General Counsel and Secretary

 

2014

Tod E. Carpenter

 

55

 

Chief Operating Officer

 

2008

William M. Cook

 

61

 

Chairman, President and Chief Executive Officer

 

1994

Sandra N. Joppa

 

49

 

Vice President, Human Resources

 

2006

Mary Lynne Perushek

 

56

 

Vice President and Chief Information Officer

 

2007

Thomas R. Scalf

 

48

 

Senior Vice President, Engine Products

 

2014

James F. Shaw

 

45

 

Vice President and Chief Financial Officer

 

2012

Wim Vermeersch

 

48

 

Vice President, Europe and Middle East

 

2012

Jay L. Ward

 

50

 

Senior Vice President, Industrial Products

 

2006

Eugene X. Wu

 

46

 

Vice President, Asia Pacific

 

2012

          Ms. Becker joined the Company in 1998 as Senior Counsel and Assistant Corporate Secretary and was appointed to Vice President, General Counsel and Secretary in August 2014. Prior to joining the Company, Ms. Becker was an attorney for Dorsey and Whitney, LLP from 1991 to 1995 and was a Project Manager and Corporate Counsel for Harmon, Ltd. from 1995 to 1998.

          Mr. Carpenter joined the Company in 1996 and has held various positions, including Gas Turbine Systems General Manager from 2002 to 2004; General Manager, Industrial Filtration Systems (IFS) Sales from 2004 to 2006; General Manager, IFS Americas in 2006; Vice President, Global IFS from 2006 to 2008; Vice President, Europe and Middle East from 2008 to 2011; and Senior Vice President, Engine Products from 2011 to 2014. In April 2014, Mr. Carpenter was appointed Chief Operating Officer.

          Mr. Cook joined the Company in 1980 and has held various positions, including CFO and Senior Vice President, International from 2001 to 2004 and President and CEO from 2004 to 2005. Mr. Cook was appointed Chairman, President and CEO in July 2005.

          Ms. Joppa was appointed Vice President, Human Resources in November 2005. Prior to that time, Ms. Joppa held various positions at General Mills, a consumer food products company, from 1989 to 2005, including service as Director of Human Resources for several different operating divisions from 1999 to 2005.

7


Table of Contents

          Ms. Perushek was appointed Vice President and Chief Information Officer in November 2006. Prior to that time, Ms. Perushek was Vice President of Global Information Technology at H.B. Fuller Company, a worldwide manufacturer of adhesive products, from 2005 to 2006, and Chief Information Officer for Young America Corporation, a marketing company, from 1999 to 2004.

          Mr. Scalf joined the Company in 1989 and has held various positions, including Director of Global Operations from 2003 to 2006; General Manager of Exhaust & Emissions from 2006 to 2008; General Manager of Industrial Filtration Solutions from 2008 to 2012; and Vice President of Global Industrial Air Filtration from 2012 to 2014. Mr. Scalf was appointed Senior Vice President, Engine Products, in April 2014.

          Mr. Shaw joined the Company in 2004 and has held various positions, including Director, Corporate Compliance/Internal Audit, and Corporate Controller and Principal Accounting Officer from 2004 to 2011. Mr. Shaw was appointed Vice President and Chief Financial Officer effective November 2011. Prior to joining Donaldson, Mr. Shaw held various positions at Deloitte & Touche, LLP and Arthur Andersen, LLP.

          Mr. Vermeersch joined the Company in 1992 and has held various positions, including Director, Gas Turbine Systems, Asia Pacific from 2000 to 2005; Manager, Aftermarket and Service IFS, Belgium from 2005 to 2006; Manager, IFS, Belgium from 2006 to 2007; Director, Gas Turbine Systems, Europe, Middle East and North Africa, from 2007 to 2010; and Director, Engine, Europe, Middle East and North Africa from 2010 to 2011. Mr. Vermeersch was appointed Vice President, Europe and Middle East in January 2012.

          Mr. Ward joined the Company in 1998 and has held various positions, including Director, Operations from 2001 to 2003; Director, Product and Business Development, IFS Group from 2003 to 2004; Managing Director, Europe from 2004 to 2006; and Vice President, Europe and Middle East from 2006 to 2008. Mr. Ward was appointed Senior Vice President, Engine Products in August 2008 and was appointed Senior Vice President, Industrial Products, in October 2011.

          Mr. Wu was appointed Vice President, Asia Pacific in January 2012. Prior to that time, Mr. Wu was the Global Vice President and President of Asia Pacific at Greif, Inc., a global leader in industrial packaging products and services, from 2005 to 2010; and Chief Advisor to Chairman of the Board of Wanhua Industrial Group, a global chemical industry leader, from 2010 to 2011.

8


Table of Contents

PART II

Item 5. Market for Registrant’s Common Equity, Related Stockholder Matters and Issuer Purchases of Equity Securities

          The common shares of the Company are traded on the New York Stock Exchange under the symbol DCI. The amount and frequency of all cash dividends declared on the Company’s common stock for Fiscal 2014 and 2013 appear in Note O of the Notes to Consolidated Financial Statements on page 58. The Company’s dividend payout ratio target is approximately 30 percent to 40 percent of the average earnings per share of the last three years. This guidance is expected to be used for future dividend payouts. As of September 24, 2014, there were 1,779 shareholders of record of common stock.

          The low and high sales prices for the Company’s common stock for each full quarterly period during Fiscal 2014 and 2013 were as follows:

 

 

 

 

 

 

 

 

 

 

 

First Quarter

 

Second Quarter

 

Third Quarter

 

Fourth Quarter

Fiscal 2014

 

$34.60 - 41.31

 

$38.98 - 43.74

 

$38.66 - 43.39

 

$38.77 - 43.00

Fiscal 2013

 

$30.90 - 38.18

 

$31.83 - 38.30

 

$34.26 - 38.08

 

$34.35 - 39.36

          The following table sets forth information in connection with purchases made by, or on behalf of, the Company or any affiliated purchaser of the Company, of shares of the Company’s common stock during the quarterly period ended July 31, 2014.

 

 

 

 

 

 

 

 

 

 

 

 

 

 

Period

 

Total Number of
Shares Purchased (1)

 

Average Price
Paid per Share

 

Total Number of
Shares Purchased
as Part of Publicly
Announced Plans
or Programs

 

Maximum Number
of Shares that May
Yet Be Purchased
Under the Plans or
Programs

 

May 1 - May 31, 2014

 

 

756,257

 

$

41.35

 

 

756,257

 

 

10,544,144

 

June 1 - June 30, 2014

 

 

1,204,889

 

$

41.29

 

 

1,204,889

 

 

9,339,255

 

July 1 - July 31, 2014

 

 

801,028

 

$

40.86

 

 

795,545

 

 

8,543,710

 

Total

 

 

2,762,174

 

$

41.18

 

 

2,756,691

 

 

8,543,710

 


 

 

 

(1)

On September 27, 2013, the Company announced that the Board of Directors authorized the repurchase of up to 15.0 million shares of common stock. This repurchase authorization, which is effective until terminated by the Board of Directors, replaced the existing authority that was authorized on March 26, 2010. There were no repurchases of common stock made outside of the Company’s current repurchase authorization during the quarter ended July 31, 2014. However, the “Total Number of Shares Purchased” column of the table above includes 5,483 previously owned shares tendered by option holders in payment of the exercise price of options during the quarter. While not considered repurchases of shares, the Company does at times withhold shares that would otherwise be issued under equity-based awards to cover the withholding taxes due as a result of exercising stock options or payment of equity-based awards.

          On January 27, 2012, the Company announced that its Board of Directors declared a two-for-one stock split effected in the form of a 100 percent stock dividend. The stock split was distributed March 23, 2012, to stockholders of record as of March 2, 2012. Earnings and dividends per share and weighted average shares outstanding are presented in this Form 10-K after the effect of the 100 percent stock dividend. The two-for-one stock split is reflected in the share amounts in all periods presented in the table above and elsewhere in this annual Form 10-K.

          The table set forth in Part III, Item 12, “Security Ownership of Certain Beneficial Owners and Management and Related Stockholder Matters,” of this report is also incorporated herein by reference.

9


Table of Contents

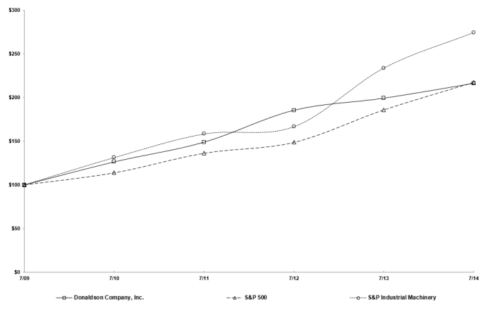
          The graph below compares the cumulative total stockholder return on the Company’s common stock for the last five fiscal years with the cumulative total return of the Standard & Poor’s 500 Stock Index and the Standard & Poor’s Industrial Machinery Index. The graph and table assume the investment of $100 in each of the Company’s common stock and the specified indexes at the beginning of the applicable period, and assume the reinvestment of all dividends.

COMPARISON OF 5 YEAR CUMULATIVE TOTAL RETURN
Among Donaldson Company, Inc., the S&P 500 Index, and the S&P Industrial Machinery Index

(LINE GRAPH)

 

 

 

 

 

 

 

 

 

 

 

 

 

 

 

 

 

 

 

 

 

 

Year Ended July 31,

 

 

 

2009

 

2010

 

2011

 

2012

 

2013

 

2014

 

Donaldson Company, Inc.

 

$

100.00

 

$

126.32

 

$

148.88

 

$

185.33

 

$

199.13

 

$

216.11

 

S&P 500

 

 

100.00

 

 

113.83

 

 

136.21

 

 

148.64

 

 

185.80

 

 

217.28

 

S&P Industrial Machinery

 

 

100.00

 

 

131.25

 

 

158.27

 

 

166.58

 

 

233.72

 

 

274.37

 

Item 6. Selected Financial Data

          The following table sets forth selected financial data for each of the fiscal years in the five-year period ended July 31, 2014 (in millions, except per share data):

 

 

 

 

 

 

 

 

 

 

 

 

 

 

 

 

 

 

 

Year Ended July 31,

 

 

 

2014

 

2013

 

2012

 

2011

 

2010

 

Net sales

 

$

2,473.5

 

$

2,436.9

 

$

2,493.2

 

$

2,294.0

 

$

1,877.1

 

Net earnings

 

 

260.2

 

 

247.4

 

 

264.3

 

 

225.3

 

 

166.2

 

Basic earnings per share

 

 

1.79

 

 

1.67

 

 

1.76

 

 

1.46

 

 

1.07

 

Diluted earnings per share

 

 

1.76

 

 

1.64

 

 

1.73

 

 

1.43

 

 

1.05

 

Total assets

 

 

1,942.4

 

 

1,743.6

 

 

1,730.1

 

 

1,726.1

 

 

1,499.5

 

Long-term obligations

 

 

243.7

 

 

102.8

 

 

203.5

 

 

205.7

 

 

256.2

 

Cash dividends declared per share

 

 

0.610

 

 

0.450

 

 

0.335

 

 

0.280

 

 

0.240

 

Cash dividends paid per share

 

 

0.575

 

 

0.410

 

 

0.320

 

 

0.268

 

 

0.235

 

Item 7. Management’s Discussion and Analysis of Financial Condition and Results of Operations

Results of Operations

          The following discussion of the Company’s financial condition and results of operations should be read in conjunction with the Consolidated Financial Statements and Notes thereto and other financial information included elsewhere in this report.

10


Table of Contents

Overview

          The Company is a worldwide manufacturer of filtration systems and replacement parts. The Company’s core strengths are leading filtration technology, strong Customer relationships, and its global presence. The Company operates through two reporting segments, Engine Products and Industrial Products, and has a product mix including air filtration systems, exhaust and emission systems, liquid filtration systems including hydraulics, fuel, and lube, and replacement filters. As a worldwide business, the Company’s results of operations are affected by conditions in the global economic environment. Under most economic conditions, the Company’s market diversification between its OEM and replacement parts Customers, its diesel engine and industrial end markets, and its global end markets has helped to limit the impact of weakness in any one product line, market, or geography on the consolidated results of the Company.

          The Company reported sales in Fiscal 2014 of $2,473.5 million, up 1.5 percent from $2,436.9 million in the prior year. The Company’s results were negatively impacted by foreign currency translation, which decreased sales by $11.4 million. Excluding the current year impact of foreign currency translation, worldwide sales increased 2.0 percent.

          The Company reported net earnings in Fiscal 2014 of $260.2 million, an increase of 5.2 percent from $247.4 million in the prior year. The Company’s net earnings were negatively impacted by foreign currency translation, which decreased net earnings by $1.0 million. Excluding the current year impact of foreign currency translation, net earnings increased 5.6 percent.

          Although net sales and net earnings excluding foreign currency translation are not measures of financial performance under generally accepted accounting principles in the United States of America (U.S. GAAP), the Company believes they are useful in understanding its financial results and provide comparable measures for understanding the operating results of the Company between different fiscal periods. Following are reconciliations to the most comparable U.S. GAAP financial measures of these non-GAAP financial measures (in millions):

 

 

 

 

 

 

 

 

 

 

Net Sales

 

Percent
Change in
Net Sales

 

Year ended July 31, 2012

 

$

2,493.2

 

 

NA

 

Net sales change, excluding foreign currency translation impact

 

 

(24.1

)

 

(1.0

)%

Foreign currency translation impact

 

 

(32.2

)

 

(1.3

)%

Year ended July 31, 2013

 

$

2,436.9

 

 

(2.3

)%

Net sales change, excluding foreign currency translation impact

 

 

48.0

 

 

2.0

%

Foreign currency translation impact

 

 

(11.4

)

 

(0.5

)%

Year ended July 31, 2014

 

$

2,473.5

 

 

1.5

%


 

 

 

 

 

 

 

 

 

 

Net Earnings

 

Percent
Change in
Net Earnings

 

Year ended July 31, 2012

 

$

264.3

 

 

NA

 

Net earnings change, excluding foreign currency translation impact

 

 

(14.8

)

 

(5.6

)%

Foreign currency translation impact

 

 

(2.1

)

 

(0.8

)%

Year ended July 31, 2013

 

$

247.4

 

 

(6.4

)%

Net earnings change, excluding foreign currency translation impact

 

 

13.8

 

 

5.6

%

Foreign currency translation impact

 

 

(1.0

)

 

(0.4

)%

Year ended July 31, 2014

 

$

260.2

 

 

5.2

%

          The Company reported diluted earnings per share of $1.76, a 7.3 percent increase from $1.64 in the prior year.

11


Table of Contents

          Following are net sales by product within the Company’s Engine and Industrial Products segments and a comparison of earnings before income taxes. Corporate and Unallocated includes corporate expenses determined to be non-allocable to the segments, such as interest income and interest expense. See further discussion of segment information in Note K of the Company’s Notes to Consolidated Financial Statements.

 

 

 

 

 

 

 

 

 

 

 

 

 

2014

 

2013

 

2012

 

 

 

(thousands of dollars)

 

Engine Products segment:

 

 

 

 

 

 

 

 

 

 

Off-Road Products

 

$

342,205

 

$

358,834

 

$

376,870

 

On-Road Products

 

 

130,029

 

 

128,446

 

 

163,934

 

Aftermarket Products*

 

 

1,012,165

 

 

912,717

 

 

922,660

 

Aerospace and Defense Products

 

 

99,628

 

 

104,191

 

 

106,676

 

Total Engine Products segment

 

 

1,584,027

 

 

1,504,188

 

 

1,570,140

 

Industrial Products segment:

 

 

 

 

 

 

 

 

 

 

Industrial Filtration Solutions Products

 

 

553,356

 

 

529,751

 

 

553,453

 

Gas Turbine Products

 

 

156,860

 

 

232,922

 

 

180,669

 

Special Applications Products

 

 

179,223

 

 

170,087

 

 

188,986

 

Total Industrial Products segment

 

 

889,439

 

 

932,760

 

 

923,108

 

Total Company

 

$

2,473,466

 

$

2,436,948

 

$

2,493,248

 


 

 

*          Includes replacement part sales to the Company’s OEM Customers


 

 

 

 

 

 

 

 

 

 

 

 

 

 

 

 

Engine
Products

 

Industrial
Products

 

Corporate &
Unallocated

 

Total
Company

 

 

 

(thousands of dollars)

 

2014

 

 

 

 

 

 

 

 

 

 

 

 

 

Net sales

 

$

1,584,027

 

$

889,439

 

$

 

$

2,473,466

 

Earnings before income taxes

 

 

233,920

 

 

133,978

 

 

(7,195

)

 

360,703

 

2013

 

 

 

 

 

 

 

 

 

 

 

 

 

Net sales

 

$

1,504,188

 

$

932,760

 

$

 

$

2,436,948

 

Earnings before income taxes

 

 

220,892

 

 

139,108

 

 

(11,819

)

 

348,181

 

2012

 

 

 

 

 

 

 

 

 

 

 

 

 

Net sales

 

$

1,570,140

 

$

923,108

 

$

 

$

2,493,248

 

Earnings before income taxes

 

 

227,941

 

 

149,249

 

 

(6,410

)

 

370,780

 

          The Company’s overall sales increased compared to the prior year period. Many factors contributed to the Company’s results for each of its reportable segments for Fiscal 2014. The Company saw mixed conditions in its OEM first-fit equipment end markets with some improving, some stable, and some weakening. Conditions were better for aftermarket sales as the Company saw continued strength in demand for replacement filters in both its Engine and Industrial end markets. These sales increases were partially offset by a 32.7 percent decrease in its Gas Turbine sales from Fiscal 2013 sales of $232.9 million. As the Company has discussed previously, there was a large increase in the Company’s gas turbine shipments in Fiscal 2013, and the overall industry is now absorbing that new electrical generation capacity, resulting in the Fiscal 2014 decrease over the prior year period. The Company’s sales increased in Europe by $49.6 million, or 7.3 percent, and in the Americas by $27.3 million, or 2.4 percent, compared to Fiscal 2013, partially offset by a $29.1 million, or 5.3 percent, decrease in Asia.

          In the Engine Products segment, the Company experienced mixed results in its end-markets. Off-Road Product sales decreased by 4.6 percent driven by weakness in mining and agricultural equipment markets, which was partially offset by an improving construction equipment market. Aftermarket Products sales increased 10.9 percent, driven by increases in utilization rates of equipment fleets, increased sales of the Company’s proprietary replacement filters, and expansion of the Company’s product portfolio and distribution. PowerCore brand replacement filter sales contributed $15.4 million to the increase over the prior year. On-Road Products sales increased by 1.2 percent, primarily due to growth after the Euro VI diesel emissions regulations went into effect January 1, 2014. Earnings before income taxes as a percentage of Engine Products segment sales of 14.8 percent increased slightly from 14.7 percent in the prior year.

12


Table of Contents

          In the Industrial Products segment, where many product lines are later economic cycle businesses, sales decreased primarily due to a 32.7 percent decrease in Gas Turbine Systems products due to fewer shipments of large systems used in power generation. Earnings before income taxes as a percentage of Industrial Products segment sales of 15.1 percent increased from 14.9 percent in the prior year. Industrial Filtration Solutions Products sales increased 4.5 percent due to strong replacement air filter sales and improved manufacturing activity. This was partially offset by continued soft new equipment sales, due to the continued weak capital spending environment, particularly in the Americas. Sales in Special Applications Products increased by 5.4 percent due to an increase in demand for the Company’s disk drive, semiconductor, and venting products, partially offset by weakness in industrial end-markets impacting the Company’s membrane product sales.

Outlook

          The following Outlook excludes the impact of the Company’s pending acquisition of Northern Technical L.L.C., which is expected to close in September 2014. See Note P of the Company’s Notes to Consolidated Financial Statements.

 

 

 

 

The Company forecasts its total Fiscal 2015 sales to be between $2.57 and $2.67 billion, or an increase of 4 to 8 percent from Fiscal 2014.

 

 

 

 

The Company’s Fiscal 2015 operating margin is forecasted to be 14.1 to 14.9 percent. Included in this forecast is approximately $10 million in incremental operating expense increases for the Company’s Global ERP Project and targeted sales growth initiatives.

 

 

 

 

The Company’s Fiscal 2015 tax rate is anticipated to be between 27 and 30 percent.

 

 

 

 

The Company forecasts its Fiscal 2015 EPS to be between $1.81 and $2.01.

 

 

 

 

The Company projects that cash generated by its operating activities will be between $260 and $300 million. Capital spending is estimated to be between $90 and $100 million. The Company plans to repurchase between 2 and 4 percent of its outstanding shares in FY15.

Fiscal 2014 Compared to Fiscal 2013

          Engine Products Segment The Engine Products segment sells to OEMs in the construction, mining, agriculture, aerospace, defense, and truck markets, and to independent distributors, OEM dealer networks, private label accounts, and large equipment fleets. Products include air filtration systems, exhaust and emissions systems, liquid filtration systems including hydraulics, fuel and lube, and replacement filters.

          Sales for the Engine Products segment were $1,584.0 million, an increase of 5.3 percent from $1,504.2 million. Fiscal 2014 Engine Products sales increased by 11.6 percent in Europe and 5.3 percent in the Americas, partially offset by a decrease of 0.5 percent in Asia, compared to Fiscal 2013. The impact of foreign currency decreased total sales by $13.7 million, or 0.9 percent.

          Worldwide sales of Off-Road Products were $342.2 million, a decrease of 4.6 percent from $358.8 million in the prior year. Sales declined 13.6 percent in Asia and 6.4 percent in the Americas, partially offset by growth of 2.7 percent in Europe. The sales decreases were driven by continued weakness in mining equipment markets and a decline in the agricultural equipment market, driven by anticipated lower farm cash receipts in key grain producing regions moderating agricultural sales. These decreases were partially offset by an improving construction equipment market, particularly in North America, and new program wins in Europe.

          Worldwide sales of On-Road Products were $130.0 million, an increase of 1.2 percent from $128.4 million in the prior year. Sales increased 37.5 percent in Europe, partially offset by sales decreases of 4.2 percent in the Americas and 2.7 percent in Asia. The increase in Europe was due primarily to growth after the Euro VI diesel emissions regulations went into effect January 1, 2014. Sales decreased in the Americas primarily due to lower emissions sales in that region for an OEM program the Company no longer supplies, totaling $6.3 million.

13


Table of Contents

          Worldwide sales of Aftermarket Products were $1,012.2 million, an increase of 10.9 percent from $912.7 million in the prior year. Sales increased 14.8 percent in Europe, 12.3 percent in the Americas, and 6.6 percent in Asia. The overall sales increases were primarily driven by increases in utilization rates of equipment fleets, increased sales of the Company’s proprietary replacement filters, and expansion of the Company’s product portfolio and distribution. PowerCore brand replacement filter sales contributed $15.4 million to the increase over the prior year period.

          Worldwide sales of Aerospace and Defense Products were $99.6 million, a decrease of 4.4 percent from $104.2 million in the prior year. Sales of Aerospace and Defense Products decreased 10.2 percent in the Americas, partially offset by sales increases of 16.6 percent over the prior year in Europe. The sales decrease was due to the continued slowdown in U.S. military ground vehicle spending, which is forecasted to continue into Fiscal 2015, partially offset by higher helicopter air filter sales, which increased $2.9 million over the prior year.

          Industrial Products Segment The Industrial Products segment sells to various industrial distributors, dealers, and end-users, OEMs of gas-fired turbines, and OEMs and end-users requiring clean air. Products include dust, fume, and mist collectors, compressed air purification systems, air filtration systems for gas turbines and compressors, PTFE membrane-based products, and specialized air and gas filtration systems for various applications including computer hard disk drives and other electronic equipment.

          Sales for the Industrial Products segment were $889.4 million, a decrease of 4.6 percent from $932.8 million in the prior year. This result was driven by a 32.7 percent sales decline in Gas Turbine Products, partially offset by sales increases in Special Applications Products and Industrial Filtration Solutions Products of 5.4 percent and 4.5 percent, respectively. Industrial Products sales decreased by 9.8 percent in Asia and 4.9 percent in the Americas, and grew by 2.0 percent in Europe compared to Fiscal 2013. The impact of foreign currency decreased total sales by $2.3 million, or 0.3 percent.

          Worldwide sales of Industrial Filtration Solutions Products were $553.4 million, a 4.5 percent increase from $529.8 million in the prior year. Sales increased 9.4 percent, 7.9 percent, and 1.7 percent in Asia, Europe, and the Americas, respectively. Strong replacement air filter sales, due to improved manufacturing activity, were partially offset by continued soft new dust collector equipment sales, due to the continued weak capital spending environment, particularly in the Americas. The externally published durable goods index in the U.S., which has historically been a leading indicator for equipment sales, increased 5.4 percent as compared to last year.

          Worldwide sales of Gas Turbine Products were $156.9 million, a decrease of 32.7 percent from $232.9 million in the prior year. Gas Turbine Products sales are typically large systems and, as a result, the Company’s shipments and revenues fluctuate from period to period. Sales of Gas Turbine Products systems were down for the year, primarily due to fewer shipments of large systems used in power generation compared to the prior year period. There was a large increase in the Company’s gas turbine shipments in Fiscal 2013, and the overall industry is now absorbing that new electrical generation capacity, driving the Fiscal 2014 decrease over the prior year period.

          Worldwide sales of Special Applications Products were $179.2 million, a 5.4 percent increase from $170.1 million in the prior year. Sales increased 10.6 percent and 5.9 percent in Europe and Asia, respectively, from the prior year, partially offset by a sales decrease in the Americas of 1.5 percent. The sales increases were driven by a worldwide increase in demand for the Company’s disk drive, semiconductor, and venting products, partially offset by weakness in industrial end-markets impacting the Company’s membrane product sales.

          Consolidated Results The Company reported net earnings for Fiscal 2014 of $260.2 million compared to $247.4 million in Fiscal 2013, an increase of 5.2 percent. Diluted net earnings per share were $1.76, up 7.3 percent from $1.64 in the prior year. The Company’s operating income of $355.7 million increased by 3.6 percent from prior year operating income of $343.3 million.

14


Table of Contents

          The table below shows the percentage of total operating income contributed by each segment for each of the last three fiscal years. Corporate and Unallocated includes corporate earnings and expenses determined to be non-allocable to the segments, such as interest income and interest expense:

 

 

 

 

 

 

 

 

 

 

 

 

 

2014

 

2013

 

2012

 

Engine Products

 

 

61.5

%

 

60.8

%

 

59.1

%

Industrial Products

 

 

37.9

%

 

39.7

%

 

40.3

%

Corporate and Unallocated

 

 

0.6

%

 

(0.5

)%

 

0.6

%

Total Company

 

 

100.0

%

 

100.0

%

 

100.0

%

          International operating income, prior to corporate expense allocations, totaled 79.7 percent of consolidated operating income in Fiscal 2014 as compared to 74.0 percent in Fiscal 2013. Total international operating income increased 11.6 percent from the prior year. The table below shows the percentage of total operating income contributed by each major geographic region for each of the last three fiscal years:

 

 

 

 

 

 

 

 

 

 

 

 

 

2014

 

2013

 

2012

 

United States

 

 

20.3

%

 

26.0

%

 

30.3

%

Europe

 

 

33.7

%

 

31.6

%

 

29.9

%

Asia - Pacific

 

 

33.8

%

 

30.3

%

 

31.1

%

Other

 

 

12.2

%

 

12.1

%

 

8.7

%

Total Company

 

 

100.0

%

 

100.0

%

 

100.0

%

          For more information regarding the Company’s net sales by geographic region, see Note K to the Consolidated Financial Statements.

          Gross margin for Fiscal 2014 was 35.5 percent, or a 0.7 percent increase from 34.8 percent in the prior year. The increase in gross margin is primarily attributable to positive mix impacts from the reduction in large Gas Turbine projects, and a higher percentage of replacement filter sales, which was due to strong utilization of existing equipment in the field and the Company’s focus on innovative products that capture higher levels of aftermarket sales. Overall, product mix had a positive 50 basis points impact on gross margin. In addition, the Company’s ongoing Continuous Improvement initiatives, which include Lean, Kaizen, Six Sigma, and cost reduction efforts, improved gross margin by 60 basis points. Offsetting these benefits was a 40 basis points reduction in margin from higher engineering costs and lower fixed cost absorption. Within gross profit, the Company incurred $1.7 million in restructuring charges compared to $1.6 million in Fiscal 2013. The Fiscal 2014 expenses were employee severance costs related to reductions in workforce.

          The principal raw materials that the Company uses are steel, filter media, and petroleum-based products. Purchased raw materials represents approximately 60 to 65 percent of the Company’s cost of goods sold. Of that amount, steel, including fabricated parts, represents approximately 25 percent. Filter media represents approximately 15 to 20 percent and the remainder is primarily made up of petroleum-based products and other components. The cost the Company paid for steel during Fiscal 2014, varied by grade, but in aggregate, it slightly increased during the fiscal year. The Company’s cost of filter media also varies by type and slightly decreased during the fiscal year. The cost of petroleum-based products (plastics, rubber, and adhesives) slightly decreased during the fiscal year. The Company anticipates a moderately unfavorable impact from commodity prices in Fiscal 2015, as compared to Fiscal 2014, specifically for steel and petroleum-based products, based on recent market information for purchased commodities. The Company strives to recover or offset material cost through selective price increases to its Customers and through the Company’s Continuous Improvement initiatives, which include material substitutions, process improvements, and product redesigns.

          Operating expenses for Fiscal 2014 were $522.1 million or 21.1 percent of sales, as compared to $503.8 million or 20.7 percent in the prior year. The increase in operating expenses as a percent of sales was primarily due to higher incentive compensation expenses, the incremental expenses related to the Company’s Global ERP Project and increased travel expenses, which contributed 90 basis points in total. These increases were partially offset by improved fixed cost leverage and lower warranty expenses, which reduced the Company’s operating expenses as percent of sales by 50 basis points. Restructuring expenses included in operating expenses were $0.4 million for the year, which were employee severance costs related to a reduction in workforce.

15


Table of Contents

          Interest expense of $10.2 million decreased $0.7 million from $10.9 million in the prior year. Other income, net totaled $15.2 million in Fiscal 2014, down from $15.8 million in the prior year. The decrease of $0.6 million in other income was driven by $0.9 million of restructuring expenses related to the sale of a facility in Germany. In addition, the prior year included the impact of a favorable insurance recovery. These decreases were partially offset by an increase in foreign exchange gains of $1.5 million and an increase of $1.4 million in income generated from the Company’s joint venture with Caterpillar.

          The effective tax rate for Fiscal 2014 was 27.9 percent compared to 29.0 percent in Fiscal 2013. The decrease in the effective tax rate is primarily due to the favorable settlement of a tax audit, the remeasurement of certain deferred tax assets, and a favorable shift in the mix of earnings between tax jurisdictions. This was partially offset by tax costs associated with certain foreign dividend distributions and the expiration of the Research and Experimentation Credit in the U.S. in the current year.

          Total backlog at July 31, 2014, was $748.2 million, up 4.5 percent from the same period in the prior year. Backlog is one of many indicators of business conditions in the Company’s markets. However, it is not always indicative of future results for a number of reasons, including short lead times in the Company’s replacement parts businesses and the timing of the receipt of orders in many of the Company’s Engine OEM and Industrial markets. In the Engine Products segment, total open order backlog decreased 1.1 percent from the prior year. In the Industrial Products segment, total open order backlog increased 18.4 percent from the prior year. Because some of the change in backlog can be attributed to a change in the ordering patterns of the Company’s Customers and/or the impact of foreign exchange translation rates, it may not necessarily correspond to future sales.

Fiscal 2013 Compared to Fiscal 2012

          Engine Products Segment The Engine Products segment sells to OEMs in the construction, mining, agriculture, aerospace, defense, and truck markets, and to independent distributors, OEM dealer networks, private label accounts, and large equipment fleets. Products include air filtration systems, exhaust and emissions systems, liquid filtration systems including hydraulics, fuel and lube, and replacement filters.

          Sales for the Engine Products segment were $1,504.2 million, a decrease of 4.2 percent from $1,570.1 million in Fiscal 2012 with decreases across all businesses. Fiscal 2013 Engine Products sales decreased by 11.3 percent in Asia, 3.6 percent in the Americas, and were flat in Europe compared to Fiscal 2012. The impact of foreign currency decreased total sales by $23.8 million, or 1.6 percent.

          Worldwide sales of Off-Road Products were $358.8 million, a decrease of 4.8 percent from $376.9 million in Fiscal 2012. Sales declined 18.5 percent in Asia and 7.7 percent in the Americas, partially offset by growth of 3.0 percent in Europe. The sales decreases were driven by a decline in the mining equipment markets as commodity prices moderated and reductions in mining investments kept production of new mining equipment below Fiscal 2012 levels. Reductions in large non-residential construction and non-building infrastructure projects led to lower demand for larger construction equipment. These decreases were partially offset by strength in the agriculture equipment market globally.

          Worldwide sales of On-Road Products were $128.4 million, a decrease of 21.6 percent from $163.9 million in Fiscal 2012. Sales decreased 31.4 percent in the Americas, 19.7 percent in Asia, and 6.7 percent in Europe. Sales decreases were a result of a decrease in global truck builds, especially in the U.S., as well as OEM Customer initiatives to reduce inventory. According to published industry data, North American Class 8 truck build rates decreased 19.0 percent and medium-duty truck build rates increased 4.9 percent over Fiscal 2012.

          Worldwide sales of Aftermarket Products were $912.7 million, a decrease of 1.1 percent from $922.7 million in Fiscal 2012. Sales in Asia and Europe decreased 4.4 percent and 1.8 percent, respectively, while sales in the Americas grew 3.4 percent. The overall sales decreases were primarily driven by lower utilization rates of equipment across the on-road and off-road equipment markets along with the negative impacts of foreign currency translation.

          Worldwide sales of Aerospace and Defense Products were $104.2 million, a decrease of 2.3 percent from $106.7 million in Fiscal 2012. Sales of Aerospace and Defense Products were relatively flat over Fiscal 2012 in Europe, while sales decreased 2.2 percent in the Americas. The sales decrease was due to a continued slowdown in U.S. military spending.

16


Table of Contents

          Industrial Products Segment The Industrial Products segment sells to various industrial dealers, distributors, OEMs of gas-fired turbines, and OEMs and end-users requiring clean air. Products include dust, fume, and mist collectors, compressed air purification systems, air filtration systems for gas turbines, PTFE membrane-based products, and specialized air and gas filtration systems for various applications including computer hard disk drives and semi-conductor manufacturing.

          Sales for the Industrial Products segment were $932.8 million, an increase of 1.0 percent from $923.1 million in Fiscal 2012 driven by 28.9 percent sales growth in Gas Turbine Products, partially offset by sales decreases in Special Applications Products and Industrial Filtration Solutions Products of 10.0 percent and 4.3 percent, respectively. Fiscal 2013 Industrial Products sales increased by 2.9 percent in Asia, 0.9 percent in the Americas, and were flat in Europe compared to Fiscal 2012. The impact of foreign currency decreased sales by $8.4 million, or 0.9 percent.

          Worldwide sales of Industrial Filtration Solutions Products were $529.8 million, a 4.3 percent decrease from $553.5 million in Fiscal 2012. Sales decreased 13.5 percent and 6.4 percent in Asia and Europe, respectively, partially offset by a sales increase in the Americas of 3.4 percent, compared to Fiscal 2012. Demand for new filtration equipment was weak due to lower capital investment by manufacturers in most of the Company’s major regions. This was partially offset by increased sales of replacement filters for equipment installed previously. Sales were also negatively impacted by foreign currency translation. The externally published durable goods index in the U.S. increased 2.7 percent during Fiscal 2013 as compared to Fiscal 2012.

          Worldwide sales of Gas Turbine Products were $232.9 million, an increase of 28.9 percent from $180.7 million in Fiscal 2012. Gas Turbine Products sales are typically large systems and, as a result, the Company’s shipments and revenues fluctuate from period to period. Sales of large Gas Turbine Products were strong due to high demand for the large systems used in power generation primarily in the Middle East and Asia. The Company also experienced moderate demand for its smaller systems used in oil and gas applications and increased sales of replacement filters for systems previously installed.

          Worldwide sales of Special Applications Products were $170.1 million, a 10.0 percent decrease from $189.0 million in Fiscal 2012. Sales decreased 13.0 percent and 11.7 percent in Europe and Asia, respectively, from Fiscal 2012, partially offset by a sales increase in the Americas of 1.0 percent. The sales decline was primarily due to a global decline in computer sales which resulted in lower demand for the Company’s hard disk drive filters. According to the International Data Corporation, the number of disk drives produced in Fiscal 2013 declined 9.2 percent from the Fiscal 2012 period. In addition, weakness in industrial end markets resulted in lower sales of the Company’s membrane products.

          Consolidated Results The Company reported net earnings for Fiscal 2013 of $247.4 million compared to $264.3 million in Fiscal 2012, a decrease of 6.4 percent. Diluted net earnings per share were $1.64, down 5.2 percent from $1.73 in Fiscal 2012. The Company’s operating income of $343.3 million decreased from Fiscal 2012 operating income of $363.0 million by 5.4 percent.

          The table below shows the percentage of total operating income contributed by each segment for each of the last three fiscal years. Corporate and Unallocated includes corporate expenses determined to be non-allocable to the segments such as interest income and interest expense:

 

 

 

 

 

 

 

 

 

 

 

 

 

2013

 

2012

 

2011

 

Engine Products

 

 

60.8

%

 

59.1

%

 

64.1

%

Industrial Products

 

 

39.7

%

 

40.3

%

 

38.7

%

Corporate and Unallocated

 

 

(0.5

)%

 

0.6

%

 

(2.8

)%

Total Company

 

 

100.0

%

 

100.0

%

 

100.0

%

17


Table of Contents

          International operating income, prior to corporate expense allocations, totaled 74.0 percent of consolidated operating income in Fiscal 2013 as compared to 69.7 percent in Fiscal 2012. Total international operating income increased 4.3 percent from Fiscal 2012. The table below shows the percentage of total operating income contributed by each major geographic region for each of the last three fiscal years:

 

 

 

 

 

 

 

 

 

 

 

 

 

2013

 

2012

 

2011

 

United States

 

 

26.0

%

 

30.3

%

 

19.8

%

Europe

 

 

31.6

%

 

29.9

%

 

31.0

%

Asia - Pacific

 

 

30.3

%

 

31.1

%

 

39.6

%

Other

 

 

12.1

%

 

8.7

%

 

9.6

%

Total Company

 

 

100.0

%

 

100.0

%

 

100.0

%

          Gross margin for Fiscal 2013 was 34.8 percent, or a 0.2 percent decrease from 35.0 percent in Fiscal 2012. The decrease in gross margin is primarily attributable to the mix impact of large Gas Turbine project shipments and the impact of lower absorption of fixed costs due to the lower production volumes in the Company’s plants. These decreases were partially offset by the benefits from the Company’s ongoing Continuous Improvement initiatives, which include Lean, Kaizen, Six Sigma, and cost reduction efforts. Within gross profit, the Company incurred $1.6 million in restructuring charges compared to minimal restructuring charges during Fiscal 2012. The Fiscal 2013 expenses were employee severance costs related to a reduction in workforce.

          The principal raw materials that the Company uses are steel, filter media, and petroleum-based products. Purchased raw materials represents approximately 60 to 65 percent of the Company’s cost of goods sold. Of that amount, steel, including fabricated parts, represents approximately 25 percent. Filter media represents approximately 15 to 20 percent and the remainder is primarily made up of petroleum-based products and other components. The cost the Company paid for steel during Fiscal 2013, varied by grade, but in aggregate, it slightly decreased during the fiscal year. The Company’s cost of filter media also varies by type and slightly increased at the end of the fiscal year. The cost of petroleum-based products (plastics, rubber, and adhesives) was generally flat. Commodity prices in aggregate generally decreased throughout Fiscal 2013 as compared to Fiscal 2012. The Company strives to recover or offset material cost through selective price increases to its Customers and through the Company’s Continuous Improvement initiatives, which include material substitutions, process improvements, and product redesigns.

          Operating expenses for Fiscal 2013 were $503.8 million or 20.7 percent of sales, as compared to $510.7 million or 20.5 percent in Fiscal 2012. Restructuring expenses included in operating expenses were $2.4 million for the year, which were employee severance costs related to a reduction in workforce. The Company’s ongoing cost containment actions and lower incentive compensation helped to offset the restructuring expenses, higher pension expenses, and the incremental expenses related to its Global ERP Project.

          Interest expense of $10.9 million decreased $0.6 million from $11.5 million in Fiscal 2012. Other income, net totaled $15.8 million in Fiscal 2013, down from $19.3 million in Fiscal. The decrease of $3.5 million in other income was driven by a $1.7 million decrease in interest income, a $1.6 million decrease in foreign exchange gains, and a $1.0 million decrease in royalty income.

          The effective tax rate for Fiscal 2013 was 29.0 percent compared to 28.7 percent in Fiscal 2012. The increase in effective tax rate is primarily due to the incremental benefits derived in Fiscal 2012 from the favorable settlement of tax audits. This was partially offset by an increase in tax benefits from international operations and the retroactive reinstatement of the Research and Experimentation Credit in the U.S. in Fiscal 2013.

          Total backlog at July 31, 2013, was $715.8 million, down 10.4 percent from the same period in Fiscal 2012. Backlog is one of many indicators of business conditions in the Company’s markets. However, it is not always indicative of future results for a number of reasons, including short lead times in the Company’s replacement parts businesses and the timing of the receipt of orders in many of the Company’s Engine OEM and Industrial markets. In the Engine Products segment, total open order backlog decreased 6.7 percent from Fiscal 2012. In the Industrial Products segment, total open order backlog decreased 18.4 percent from Fiscal 2012. Because some of the change in backlog can be attributed to a change in the ordering patterns of the Company’s Customers and/or the impact of foreign exchange translation rates, it may not necessarily correspond to future sales.

18


Table of Contents

Liquidity and Capital Resources

          Financial Condition At July 31, 2014, the Company’s capital structure was comprised of $187.0 million of current debt, $243.7 million of long-term debt, and $1,002.5 million of shareholders’ equity. The Company had cash and cash equivalents of $296.4 million and short-term investments of $127.2 million at July 31, 2014. The ratio of long-term debt to total capital was 19.6 percent and 8.7 percent at July 31, 2014 and 2013, respectively.

          Total debt outstanding increased $220.1 million during the year to $430.8 million outstanding at July 31, 2014, as a result of increases in short-term and long-term borrowings, offset by a decrease in current maturities of long-term debt. Short-term borrowings outstanding at the end of the year increased $176.1 million driven by the Company drawing $180.0 million on the Company’s multi-currency revolving credit facility.

          The following table summarizes the Company’s cash obligations as of July 31, 2014, for the years indicated (thousands of dollars):

 

 

 

 

 

 

 

 

 

 

 

 

 

 

 

 

 

 

 

 

 

 

Payments Due by Period

 

Contractual Obligations

 

Total

 

Less than
1 year

 

1 - 3
years

 

3 - 5
years

 

More than
5 years

 

Long-term debt obligations

 

$

241,051

 

$

 

$

 

$

116,051

 

$

125,000

 

Capital lease obligations

 

 

3,177

 

 

1,329

 

 

1,766

 

 

82

 

 

 

Interest on long-term debt obligations

 

 

64,861

 

 

10,294

 

 

20,481

 

 

10,836

 

 

23,250

 

Operating lease obligations

 

 

31,464

 

 

12,877

 

 

13,504

 

 

4,976

 

 

107

 

Purchase obligations (1)

 

 

162,727

 

 

154,297

 

 

8,412

 

 

2

 

 

16

 

Pension and deferred compensation (2)

 

 

91,504

 

 

17,913

 

 

10,670

 

 

10,597

 

 

52,324

 

Total (3)

 

$

594,784

 

$

196,710

 

$

54,833

 

$

142,544

 

$

200,697

 


 

 

 

 

(1)

Purchase obligations consist primarily of inventory, tooling, and capital expenditures. The Company’s purchase orders for inventory are based on expected Customer demand and quantities and dollar volumes are subject to change.

 

 

(2)

Pension and deferred compensation consists of long-term pension liabilities and salary and bonus deferrals elected by certain executives under the Company’s Deferred Compensation Plan. Deferred compensation balances earn interest based on a treasury bond rate as defined by the plan (10-year treasury bond STRIP rate plus two percent for deferrals prior to January 1, 2011 and 10-year treasury bond rates for deferrals after December 31, 2010) and approved by the Human Resources Committee of the Board of Directors, and are payable at the election of the participants.

 

 

(3)

In addition to the above contractual obligations, the Company may be obligated for additional cash outflows of $16.7 million for potential tax obligations, including accrued interest and penalties. The payment and timing of any such payments is affected by the ultimate resolution of the tax years that are under audit or remain subject to examination by the relevant taxing authorities. Therefore, quantification of an estimated range and timing of future payments cannot be made at this time.

          The Company has a five-year, multi-currency revolving credit facility with a group of banks under which the Company may borrow up to $250.0 million. The agreement provides that loans may be made under a selection of currencies and rate formulas including Base Rate Loans or LIBOR Rate Loans. The interest rate on each advance is based on certain market interest rates and leverage ratios. Facility fees and other fees on the entire loan commitment are payable over the duration of this facility. There was $180.0 million outstanding at July 31, 2014 and no outstanding amounts at July 31, 2013, under these facilities. At July 31, 2014 and 2013, $62.2 million and $237.8 million, respectively, were available for further borrowing under such facilities. The amount available for further borrowing reflects a reduction for issued standby letters of credit, as discussed below. The Company’s multi-currency revolving facility contains debt covenants specifically related to maintaining a certain interest coverage ratio and a certain leverage ratio as well as other covenants that, under certain circumstances, can restrict the Company’s ability to incur additional indebtedness, make investments and other restricted payments, create liens, and sell assets. As of July 31, 2014, the Company was in compliance with all such covenants.

19


Table of Contents

          On March 27, 2014, the Company issued $125.0 million of senior unsecured notes due March 27, 2024. The debt was issued at face value and bears interest payable semi-annually at an annual rate of interest of 3.72 percent. The proceeds from the notes were used to refinance existing debt and for general corporate purposes. The notes contain debt covenants specifically related to maintaining a certain leverage ratio as well as other covenants that, under certain circumstances, can restrict the Company’s ability to incur additional indebtedness, make investments and other restricted payments, create liens, and sell assets. As of July 31, 2014, the Company was in compliance with all such covenants.

          On May 19, 2014, the Company refinanced its 1.65 billion yen guaranteed note that matured on May 18, 2014. The debt was issued at face value, or approximately $16.1 million as of July 31, 2014, is due May 19, 2019, and bears interest payable quarterly at a variable interest rate. The interest rate was 0.56 percent as of July 31, 2014.

          The Company has two uncommitted credit facilities in the U.S., which provide unsecured borrowings for general corporate purposes. At July 31, 2014 and 2013, there was $45.7 million and $50.0 million available for use, respectively, under these two facilities. There was $4.3 million outstanding at July 31, 2014 and no amounts outstanding at July 31, 2013. The weighted average interest rate on the short-term borrowings outstanding at July 31, 2014, was 0.91 percent.

          The Company has a €100.0 million, or $133.9 million, program for issuing treasury notes for raising short, medium, and long-term financing for its European operations. There were no outstanding amounts on this program at July 31, 2014 or 2013. Additionally, the Company’s European operations have lines of credit with an available limit of €43.6 million or $58.3 million. There were no amounts outstanding on these lines of credit as of July 31, 2014 or 2013.

          Other international subsidiaries may borrow under various credit facilities. There was $1.0 million outstanding under these credit facilities as of July 31, 2014 and $9.2 million outstanding as of July 31, 2013. The weighted average interest rate on these short-term borrowings outstanding at July 31, 2014 and July 31, 2013, was 0.75 percent and 0.44 percent, respectively.

          Also, at July 31, 2014 and 2013, the Company had outstanding standby letters of credit totaling $7.8 million and $12.2 million, respectively, upon which no amounts had been drawn. The letters of credit guarantee payment to third parties in the event the Company is in breach of insurance contract terms as detailed in each letter of credit.

          During Fiscal 2014, credit in the global credit markets was accessible and market interest rates remained low. The Company believes that its current financial resources, together with cash generated by operations, are sufficient to continue financing its operations for the next twelve months. There can be no assurance, however, that the cost or availability of future borrowings will not be impacted by future capital market disruptions.

          Certain note agreements contain debt covenants related to working capital levels and limitations on indebtedness. As of July 31, 2014, the Company was in compliance with all such covenants.

          Shareholders’ equity decreased by $82.7 million from $1,085.2 million at July 31, 2013, to $1,002.5 million at July 31, 2014. The decrease was primarily due to the repurchase of treasury stock for $279.4 million and $87.3 million of dividends declared. These decreases were partially offset by current year earnings of $260.2 million, $13.0 million of stock options exercised, $10.6 million in tax reductions related to employee plans, and $9.9 million of the equity impact of stock option expense.

          The Company’s inventory balance was $253.4 million as of July 31, 2014, compared to $234.8 million as of July 31, 2013. Excluding the impact of foreign exchange fluctuations, inventories increased $18.2 million. Current year inventory levels increased over prior year to match the increased Customer demand as compared to the prior year. Additionally, as of July 31, 2014, several large gas turbine projects were being constructed for Fiscal 2015 projects, resulting in an increase in the inventory balance held at year end. The Company’s accounts receivable balance was $474.2 million as of July 31, 2014, compared to $430.8 million as of July 31, 2013. Excluding the impact of foreign exchange fluctuations, accounts receivable increased $43.8 million driven by the timing of receipt of payments from some of our larger Customers compared to the fourth quarter of the prior fiscal year.

20


Table of Contents

          Cash Flows During Fiscal 2014, $317.8 million of cash was generated from operating activities, compared with $315.9 million in Fiscal 2013. The increase in cash generated from operating activities of $1.9 million was primarily attributable to an increase in accounts payable due to an increase in purchasing activity, partially offset by changes in working capital needs resulting in increases in accounts receivable and inventory levels versus the prior year. Operating cash flows, cash on hand, and short-term debt facilities were used to support $97.2 million of net capital expenditures, $279.4 million of stock repurchases, $83.1 million of dividend payments, and $81.9 million of long-term debt repayments. Cash and cash equivalents increased $72.3 million during Fiscal 2014.

          At the end of the year, the Company held $296.4 million in cash and cash equivalents, up from $224.1 million at July 31, 2013. Short-term investments were $127.2 million compared to $99.8 million at July 31, 2013. Short-term investments may change year to year based on maturity dates of existing investments, the Company’s outlook for cash needs, and available access to other sources of liquidity. The amount of unused lines of credit as of July 31, 2014, was approximately $357.6 million. Current maturities of long-term debt of $1.7 million at year-end decreased from $98.7 million at July 31, 2013, as the Company repaid $80.0 million of current maturities of 6.59 percent unsecured senior notes due November 14, 2013. Long-term debt of $243.7 million at July 31, 2014, increased from $102.8 million at July 31, 2013, due to the issuance of $125.0 million of senior unsecured notes during the third quarter. Long-term debt represented 19.6 percent of total long-term capital, defined as long-term debt plus total shareholders’ equity, compared to 8.7 percent at July 31, 2013.

          The majority of the Company’s cash and cash equivalents are held by its foreign subsidiaries as over half of the Company’s earnings occur outside the U.S. Most of these funds are considered permanently reinvested outside the U.S., and will only be repatriated when it is tax effective to do so, as the cash generated from U.S. operations plus the Company’s short-term debt facilities are anticipated to be sufficient for the U.S cash needs. If additional cash were required for the Company’s operations in the U.S., it may be subject to additional U.S. taxes if funds were repatriated from certain foreign subsidiaries.

          Net capital expenditures for property, plant, and equipment totaled $96.8 million in Fiscal 2014, $94.3 million in Fiscal 2013, and $77.2 million in Fiscal 2012. Fiscal 2014 capital expenditures primarily related to the Company’s Global ERP Project, plant capacity additions, information and lab technology, productivity-enhancing investments at manufacturing sites, and tooling to manufacture new products.

          Capital spending in Fiscal 2015 is estimated to be between $90 and $100 million. The Company’s capital spending in Fiscal 2015 will be approximately 25 percent for technology initiatives, including the Global ERP Project and research and development labs, 30 percent for tooling for new products, 30 percent will be in the form of automation or cost reduction projects related to the Company’s ongoing Continuous Improvement initiatives, and 15 percent related to capacity expansion. It is anticipated that Fiscal 2015 capital expenditures will be financed primarily by cash on hand, cash generated from operations, and lines of credit.

          The Company expects that cash generated by operating activities will be between $260 and $300 million in Fiscal 2015. At July 31, 2014, the Company had cash and cash equivalents of $296.4 million and short-term investments of $127.2 million. The Company also had $107.9 million available under existing credit facilities in the U.S., €143.6 million or $192.2 million, available under existing credit facilities in Europe, and $57.5 million available under various credit facilities and currencies in Asia and the rest of the world. The Company believes that the combination of existing cash, available credit under existing credit facilities, and the expected cash generated by operating activities will be adequate to meet cash requirements for Fiscal 2015, including debt repayment, issuance of anticipated dividends, possible share repurchase activity, potential acquisitions, and capital expenditures.

          Shares and Stock Split At the Company’s Annual Meeting of Stockholders on November 18, 2011, the shareholders approved an increase in the number of authorized shares of common stock, par value $5.00, from 120,000,000 to 240,000,000 and the total number of shares of stock which the Company has the authority to issue from 121,000,000 to 241,000,000.

21


Table of Contents

          On January 27, 2012, the Company announced that its Board of Directors declared a two-for-one stock split effected in the form of a 100 percent stock dividend. The stock split was distributed March 23, 2012, to stockholders of record as of March 2, 2012. Earnings and dividends per share and weighted average shares outstanding are presented in this Form 10-K after the effect of the 100 percent stock dividend. The two-for-one stock split is reflected in the share amounts in all periods presented in this Form 10-K.

          Dividends The Company’s dividend policy is to maintain a payout ratio, which allows dividends to increase with the long-term growth of earnings per share. The Company’s dividend payout ratio target is approximately 30 percent to 40 percent of the prior three years average earnings per share. Including the Company’s declaration on July 25, 2014, of a $0.165 per share dividend to be paid on September 5, 2014, the dividend payout ratio was 38.8 percent of the prior three years average diluted earnings per share on July 31, 2014.

          Share Repurchase Plan The Board of Directors authorized the repurchase of 15.0 million shares of common stock under the stock repurchase plan dated September 27, 2013. In Fiscal 2014, the Company repurchased 6.8 million shares of common stock for $279.4 million, or 4.6 percent of its diluted outstanding shares, at an average price of $41.11 per share, of which 0.3 million were repurchased under the prior share repurchase authority. Under the prior stock repurchase plan, the Company repurchased 3.0 million shares for $102.6 million in Fiscal 2013 and 4.5 million shares for $130.2 million in Fiscal 2012. As of July 31, 2014, the Company had remaining authorization to repurchase 8.5 million shares pursuant to the current authorization.

          Off-Balance Sheet Arrangements The Company does not have any off-balance sheet arrangements, with the exception of the guarantee of 50 percent of certain debt of its joint venture, Advanced Filtration Systems Inc. (AFSI), as further discussed in Note L of the Company’s Notes to Consolidated Financial Statements. As of July 31, 2014, the joint venture had $28.7 million of outstanding debt. The Company does not believe that this guarantee will have a current or future effect on its financial condition, results of operations, liquidity, or capital resources.

          New Accounting Standards Not Yet Adopted In February 2013, the Financial Accounting Standards Board (FASB) issued guidance related to obligations resulting from joint and several liability arrangements for which the total amount of the obligation is fixed at the reporting date. This guidance is effective for the Company beginning the first quarter of Fiscal 2015. The adoption of this standard is not expected to have a material impact on the Company’s consolidated financial statements.

          In May 2014, the FASB issued amended revenue recognition guidance to clarify the principles for recognizing revenue from contracts with Customers. The guidance requires an entity to recognize revenue to depict the transfer of goods or services to Customers in an amount that reflects the consideration to which an entity expects to be entitled in exchange for those goods or services. The guidance also requires expanded disclosures relating to the nature, amount, timing, and uncertainty of revenue and cash flows arising from contracts with Customers. Additionally, qualitative and quantitative disclosures are required about Customer contracts, significant judgments and changes in judgments, and assets recognized from the costs to obtain or fulfill a contract. This accounting guidance is effective for the Company beginning in the first quarter of Fiscal 2018 using one of two prescribed retrospective methods. Early adoption is not permitted. The Company is evaluating the impact of the amended revenue recognition guidance on the Company’s consolidated financial statements.

          In June 2014, the FASB issued amended guidance related to share-based payments where terms of the award provide that a performance target could be achieved after the requisite service period. This guidance is effective for the Company beginning the first quarter of Fiscal 2018. The Company is evaluating the impact of the amended share-based payment guidance on the Company’s consolidated financial statements.

Market Risk

          The Company’s market risk includes the potential loss arising from adverse changes in foreign currency exchange rates and interest rates. The Company manages foreign currency market risk from time to time through the use of a variety of financial and derivative instruments. The Company does not enter into any of these instruments for trading purposes to generate revenue. Rather, the Company’s objective in managing

22


Table of Contents

these risks is to reduce fluctuations in earnings and cash flows associated with changes in foreign currency exchange rates. The Company uses forward exchange contracts and other hedging activities to hedge the U.S. dollar value resulting from existing recognized foreign currency denominated asset and liability balances and also for anticipated foreign currency transactions. The Company also naturally hedges foreign currency through its production in the countries in which it sells its products. The Company’s market risk on interest rates is the potential decrease in fair value of long-term debt resulting from a potential increase in interest rates. See further discussion of these market risks below.

          Foreign Currency During Fiscal 2014, the U.S. dollar was generally stronger than in Fiscal 2013 compared to many of the currencies of the foreign countries in which the Company operates. The overall strength of the dollar had a negative impact on the Company’s international net sales results because the foreign denominated revenues translated into fewer U.S. dollars.

          It is not possible to determine the true impact of foreign currency translation changes. However, the direct effect on reported net sales and net earnings can be estimated. For the year ended July 31, 2014, the impact of foreign currency translation resulted in an overall decrease in reported net sales of $11.4 million and a decrease in reported net earnings of $1.0 million. Foreign currency translation had a negative impact in many regions around the world. The stronger U.S. dollar relative to the yen resulted in a total decrease of $17.7 million in reported net sales. The stronger U.S. dollar relative to the Australian Dollar, the South African rand, the Brazilian real, and the Indian rupee had a negative impact on foreign currency translation with a decrease in reported net sales of $7.8 million, $7.2 million, $3.1 million, and $2.2 million, respectively. In Europe, the weaker U.S. dollar relative to the euro and British pound resulted in a total increase of $28.6 million in reported net sales. Additionally, the weaker U.S. dollar relative to the Chinese renminbi had a positive impact on foreign currency translation, with an increase in reported net sales of $2.3 million.

          The Company maintains significant assets and operations in Europe, Asia-Pacific, and South Africa, resulting in exposure to foreign currency gains and losses. A portion of the Company’s foreign currency exposure is naturally hedged by incurring liabilities, including bank debt, denominated in the local currency in which the Company’s foreign subsidiaries are located.

          The foreign subsidiaries of the Company generally purchase the majority of their input costs and then sell to many of their Customers in the same local currency.

          The Company may be exposed to cost increases relative to local currencies in the markets to which it sells. To mitigate such adverse trends, the Company, from time to time, enters into forward exchange contracts and other hedging activities. Additionally, foreign currency positions are partially offsetting and are netted against one another to reduce exposure.

          Some products made in the U.S. are sold abroad. As a result, sales of such products are affected by the value of the U.S. dollar relative to other currencies. Any long-term strengthening of the U.S. dollar could depress these sales. Also, competitive conditions in the Company’s markets may limit its ability to increase product pricing in the face of adverse currency movements.

          Interest The Company’s exposure to market risks for changes in interest rates relates primarily to its short-term investments, short-term borrowings, and interest rate swap agreements, as well as the potential increase in fair value of long-term debt resulting from a potential decrease in interest rates. The Company has limited earnings or cash flow exposure due to market risks on its long-term debt obligations as a result of the majority of the debt being fixed-rate. However, interest rate changes would affect the fair market value of the debt. As of July 31, 2014, the estimated fair value of long-term debt with fixed interest rates was $237.6 million compared to its carrying value of $225.0 million. The fair value is estimated by discounting the projected cash flows using the rate of which similar amounts of debt could currently be borrowed. As of July 31, 2014, the Company’s financial liabilities with exposure to changes in interest rates consisted mainly of $185.3 million of short-term debt outstanding and ¥1.65 billion or $16.1 million of variable rate long-term debt. Assuming a hypothetical increase of one-half percent in short-term interest rates, with all other variables remaining constant, interest expense would have increased $0.4 million and interest income would have increased $1.9 million in Fiscal 2014.

23


Table of Contents

          Pensions The Company is exposed to market return fluctuations on its qualified defined benefit pension plans. In Fiscal 2014, the Company reduced its long–term rate of return from 7.50 percent to 7.14 percent on its U.S. plans and increased its weighted average discount rate of 5.20 percent to 5.48 percent on its non-U.S. plans, to reflect its future expectation for returns. In addition, the Company adjusted the discount rate used to value its pension obligation for its U.S. plans from 3.59 percent to 4.58 percent and from 4.13 percent to 4.04 percent for the non-U.S plans. The plans were underfunded by $8.8 million at July 31, 2014, since the projected benefit obligation exceeded the fair value of the plan assets.

Critical Accounting Policies

          The Company’s consolidated financial statements are prepared in conformity with U.S. GAAP. The preparation of these financial statements requires the use of estimates, judgments, and assumptions that affect the reported amounts of assets and liabilities at the date of the financial statements and the reported amounts of revenue and expenses during the periods presented. Management bases these estimates on historical experience and various other assumptions that are believed to be reasonable under the circumstances, the results of which form the basis for making judgments about the recorded values of certain assets and liabilities. The Company believes its use of estimates and underlying accounting assumptions adheres to U.S. GAAP and is consistently applied. Valuations based on estimates and underlying accounting assumptions are reviewed for reasonableness on a consistent basis throughout the Company. Management believes the Company’s critical accounting policies are those that require more significant judgments and estimates used in the preparation of its consolidated financial statements and that are the most important to aid in fully understanding its financial results are the following:

          Revenue recognition Revenue is recognized when both product ownership and the risk of loss have transferred to the Customer, the Company has no remaining obligations, the selling price is fixed and determinable, and collectability is reasonably assured. Although the majority of the Company’s sales agreements contain standard terms and conditions, there are also agreements that contain multiple elements or non-standard terms and conditions. For the Company’s Gas Turbine Systems (GTS) sales, which typically consists of multiple shipments of components that will comprise the entire GTS project, it must carefully monitor the transfer of title related to each portion of a system sale and may defer recognition of revenue until all terms specified in the contract are met. The Company records estimated discounts and rebates as a reduction of sales in the same period revenue is recognized.

          Goodwill and other intangible assets Goodwill is assessed for impairment annually, or more frequently if events or changes in circumstances indicate that the asset might be impaired. The Company performs impairment assessments for its reporting units and uses a discounted cash flow model based on management’s judgments and assumptions to determine the estimated fair value. An impairment loss generally would be recognized when the carrying amount of the reporting unit’s net assets exceeds the estimated fair value of the reporting unit. The Company performed an impairment assessment during the third quarter of Fiscal 2014 to satisfy its annual impairment requirement. The impairment assessment in the third quarter indicated that the estimated fair values of the reporting units to which goodwill is assigned continued to significantly exceed the corresponding carrying values of the respective reporting units, including recorded goodwill and, as such, no impairment existed at that time. Other intangible assets with definite lives continue to be amortized over their estimated useful lives. Definite lived intangible assets are also subject to impairment assessments. A considerable amount of management judgment and assumptions are required in performing the impairment assessments, principally in determining the fair value of each reporting unit. The important assumptions utilized in these assessments include the (i) discount rate; (ii) projected revenue, gross margin, operating income; and (iii) terminal value. While the Company believes its judgments and assumptions are reasonable, different assumptions could change the estimated fair values and, therefore, impairment charges could be required.

          Income taxes As part of the process of preparing the Company’s Consolidated Financial Statements, management is required to estimate income taxes in each of the jurisdictions in which the Company operates. This process involves estimating actual current tax exposure together with assessing temporary differences resulting from differing treatment of items for tax and book accounting purposes. These differences result in deferred tax assets and liabilities, which are included within the Company’s Consolidated Balance Sheet. These assets and liabilities are evaluated by using estimates of future taxable income streams and the impact of tax planning strategies. Reserves are also estimated for uncertain tax positions that are currently unresolved. The Company routinely monitors the potential impact of such situations and believes that it was properly reserved at July 31, 2014. As of July 31, 2014, the liability for unrecognized tax benefits, accrued interest, and penalties was $16.7 million.

24


Table of Contents

          Defined Benefit Pension Plans The Company incurs expenses relating to employee benefits such as non-contributory defined benefit pension plans. In accounting for these defined benefit pension plans, management must make a variety of assumptions and estimates including mortality rates, discount rates, overall Company compensation increases, expected return on plan assets, and health care cost trend rates. The Company considers historical data as well as current facts and circumstances and uses a third-party specialist to assist management in determining these estimates.

          To develop the assumption regarding the expected long-term rate of return on assets for its U.S. pension plans, the Company considered the historical returns and the future expectations for returns for each asset class, as well as the target asset allocation of the pension portfolio. This resulted in the selection of the 7.14 percent long-term rate of return on assets assumption as of July 31, 2014, for developing the Fiscal 2015 expense for the Company’s U.S. pension plans. In addition, the Company decreased the discount rate used to value the pension obligation for its U.S. plans from 4.58 percent to 4.33 percent. The Company also selected the long-term rate of return on assets for its non-U.S. plans of 5.41 percent and adjusted the discount rate used to 3.64 percent for developing the Fiscal 2015 expense. The expected long-term rate of return on assets assumption for the plans outside the U.S. reflects the investment allocation and expected total portfolio returns specific to each plan and country.

          Reflecting the relatively long-term nature of the plans’ obligations, approximately 65 percent of the plans assets are invested in equity securities, 30 percent in fixed income, and 5 percent in real assets (investments into funds containing commodities and real estate). In Fiscal 2015, the Company plans to begin investing in liability-driven investment funds, which will change the asset allocations.

          A one percent change in the expected long-term rate of return on U.S. plan assets, from 7.14 percent, would have changed the Fiscal 2014 annual pension expense by approximately $4.5 million. The expected long-term rate of return on assets assumption for the plans outside the U.S. follows the same methodology as described above, but reflects the investment allocation and expected total portfolio returns specific to each plan and country.

          The Company’s objective in selecting a discount rate for its pension plans is to select the best estimate of the rate at which the benefit obligations could be effectively settled on the measurement date, taking into account the nature and duration of the benefit obligations of the plan. In making this best estimate, the Company looks at rates of return on high-quality fixed-income investments currently available and expected to be available during the period to maturity of the benefits. This process includes assessing the universe of bonds available on the measurement date with a quality rating of Aa or better. Similar appropriate benchmarks are used to determine the discount rate for the non-U.S. plans. As of the measurement date of July 31, 2014, the Company decreased its discount rate for the U.S. pension plans to 4.33 percent from 4.58 percent as of July 31, 2013. The decrease of 25 basis points is consistent with published bond indices. The change increased the Company’s U.S. projected benefit obligation as of July 31, 2014, by approximately $8.3 million and is expected to increase pension expense in Fiscal 2015 by approximately $0.7 million. The rates discussed above are weighted average rates as the Company has multiple plans both in the U.S. and internationally.

          In Fiscal 2014, the Company’s global pension expense was $15.5 million. The Company expects that global pension expenses will increase approximately $3.1 million in Fiscal 2015 as compared to Fiscal 2014, which is driven primarily by the changes in assumptions. While changes to the Company’s pension assumptions would not be expected to impact pension expense by a material amount, such changes could significantly impact the Company’s pension liability. In July 2013, the Company announced that, effective August 1, 2013, the salaried plan in the U.S. was frozen to any Employees hired on or after August 1, 2013. Then, effective August 1, 2016, Employees hired prior to August 1, 2013, would no longer continue to accrue Company contribution credits under that plan. Additionally, in July 2013, the Company announced that Employees hired on or after August 1, 2013, would be eligible for a 3.0 percent annual Company retirement contribution in addition to the Company’s 401(k) match. Effective August 1, 2016, Employees hired prior to August 1, 2013, will be eligible for the 3.0 percent annual Company retirement contribution.

25


Table of Contents

Safe Harbor Statement under the Securities Reform Act of 1995

          The Company, through its management, may make forward-looking statements reflecting the Company’s current views with respect to future events and financial performance. These forward-looking statements, which may be included in reports filed under the Securities Exchange Act of 1934, as amended (the Exchange Act), in press releases and in other documents and materials as well as in written or oral statements made by or on behalf of the Company, are subject to certain risks and uncertainties, including those discussed in Item 1A of this Form 10-K, which could cause actual results to differ materially from historical results or those anticipated. The words or phrases “will likely result,” “are expected to,” “will continue,” “will allow,” “estimate,” “project,” “believe,” “expect,” “anticipate,” “forecast,” and similar expressions are intended to identify forward-looking statements within the meaning of Section 21e of the Exchange Act and Section 27A of the Securities Act of 1933, as amended, as enacted by the Private Securities Litigation Reform Act of 1995 (PSLRA). In particular, the Company desires to take advantage of the protections of the PSLRA in connection with the forward-looking statements made in this Annual Report on Form 10-K, including those contained in the “Outlook” section of Item 7. Management’s Discussion and Analysis of Financial Condition and Results of Operations. All statements other than statements of historical fact are forward-looking statements. These statements do not guarantee future performance.

          Readers are cautioned not to place undue reliance on these forward-looking statements, which speak only as of the date such statements are made. In addition, the Company wishes to advise readers that the factors listed in Item 1A of this Form 10-K, as well as other factors, could affect the Company’s performance and could cause the Company’s actual results for future periods to differ materially from any opinions or statements expressed. These factors include, but are not limited to, risks associated with: world economic factors and the ongoing economic uncertainty, the reduced demand for hard disk drive products with the increased use of flash memory, the potential for some Customers to increase their reliance on their own filtration capabilities, currency fluctuations, commodity prices, political factors, the Company’s international operations, highly competitive markets, governmental laws and regulations, including the impact of the various economic stimulus and financial reform measures, the implementation of our new information technology systems, information security and data breaches, potential global events resulting in market instability including financial bailouts and defaults of sovereign nations, military and terrorist activities, health outbreaks, natural disasters, and other factors included in Item 1A of this Report on Form 10-K. The Company undertakes no obligation to publicly update or revise any forward-looking statements, whether as a result of new information, future events or otherwise.

Item 7A. Quantitative and Qualitative Disclosures about Market Risk

          Market risk disclosure appears in Management’s Discussion and Analysis on page 22 under “Market Risk.”

26


Table of Contents

Item 8. Financial Statements and Supplementary Data

Management’s Report on Internal Control over Financial Reporting

          Management is responsible for establishing and maintaining adequate internal control over financial reporting for the Company. Management conducted an evaluation of the effectiveness of internal control over financial reporting based on the framework in Internal Control – Integrated Framework – version 1992 issued by the Committee of Sponsoring Organizations of the Treadway Commission (COSO). Based on this evaluation, management concluded that the Company’s internal control over financial reporting was effective as of July 31, 2014. The Company’s independent registered public accounting firm, PricewaterhouseCoopers LLP, has audited the effectiveness of the Company’s internal control over financial reporting as of July 31, 2014, as stated in its report which follows in Item 8 of this Form 10-K.

 

 

/s/ William M. Cook

/s/ James F. Shaw

 

 

William M. Cook

James F. Shaw

Chief Executive Officer

Chief Financial Officer

September 26, 2014

September 26, 2014

27


Table of Contents

Report of Independent Registered Public Accounting Firm

To the Shareholders and Board of Directors of Donaldson Company, Inc.

          In our opinion, the accompanying consolidated balance sheets and the related consolidated statements of earnings, comprehensive income, shareholders’ equity and cash flows present fairly, in all material respects, the financial position of Donaldson Company, Inc. and its subsidiaries at July 31, 2014 and July 31, 2013, and the results of their operations and their cash flows for each of the three years in the period ended July 31, 2014 in conformity with accounting principles generally accepted in the United States of America. In addition, in our opinion, the financial statement schedule listed in the accompanying index appearing under Item 15(2) presents fairly, in all material respects, the information set forth therein when read in conjunction with the related consolidated financial statements. Also in our opinion, the Company maintained, in all material respects, effective internal control over financial reporting as of July 31, 2014, based on criteria established in Internal Control - Integrated Framework – version 1992 issued by the Committee of Sponsoring Organizations of the Treadway Commission (COSO). The Company’s management is responsible for these financial statements and financial statement schedule, for maintaining effective internal control over financial reporting and for its assessment of the effectiveness of internal control over financial reporting, included in accompanying Management’s Report on Internal Control over Financial Reporting. Our responsibility is to express opinions on these financial statements, on the financial statement schedule, and on the Company’s internal control over financial reporting based on our integrated audits. We conducted our audits in accordance with the standards of the Public Company Accounting Oversight Board (United States). Those standards require that we plan and perform the audits to obtain reasonable assurance about whether the financial statements are free of material misstatement and whether effective internal control over financial reporting was maintained in all material respects. Our audits of the financial statements included examining, on a test basis, evidence supporting the amounts and disclosures in the financial statements, assessing the accounting principles used and significant estimates made by management, and evaluating the overall financial statement presentation. Our audit of internal control over financial reporting included obtaining an understanding of internal control over financial reporting, assessing the risk that a material weakness exists, and testing and evaluating the design and operating effectiveness of internal control based on the assessed risk. Our audits also included performing such other procedures as we considered necessary in the circumstances. We believe that our audits provide a reasonable basis for our opinions.

          A company’s internal control over financial reporting is a process designed to provide reasonable assurance regarding the reliability of financial reporting and the preparation of financial statements for external purposes in accordance with generally accepted accounting principles. A company’s internal control over financial reporting includes those policies and procedures that (i) pertain to the maintenance of records that, in reasonable detail, accurately and fairly reflect the transactions and dispositions of the assets of the company; (ii) provide reasonable assurance that transactions are recorded as necessary to permit preparation of financial statements in accordance with generally accepted accounting principles, and that receipts and expenditures of the company are being made only in accordance with authorizations of management and directors of the company; and (iii) provide reasonable assurance regarding prevention or timely detection of unauthorized acquisition, use, or disposition of the company’s assets that could have a material effect on the financial statements.

          Because of its inherent limitations, internal control over financial reporting may not prevent or detect misstatements. Also, projections of any evaluation of effectiveness to future periods are subject to the risk that controls may become inadequate because of changes in conditions, or that the degree of compliance with the policies or procedures may deteriorate.

 

/s/ PricewaterhouseCoopers LLP

 

PricewaterhouseCoopers LLP

Minneapolis, Minnesota

September 26, 2014

28


Table of Contents

Consolidated Statements of Earnings
Donaldson Company, Inc. and Subsidiaries

 

 

 

 

 

 

 

 

 

 

 

 

 

Year ended July 31,

 

 

 

2014

 

2013

 

2012

 

 

 

(thousands of dollars, except share
and per share amounts)

 

Net sales

 

$

2,473,466

 

$

2,436,948

 

$

2,493,248

 

Cost of sales

 

 

1,595,640

 

 

1,589,821

 

 

1,619,485

 

Gross profit

 

 

877,826

 

 

847,127

 

 

873,763

 

Selling, general, and administrative

 

 

460,250

 

 

441,168

 

 

451,158

 

Research and development

 

 

61,837

 

 

62,630

 

 

59,589

 

Operating income

 

 

355,739

 

 

343,329

 

 

363,016

 

Other income, net

 

 

(15,164

)

 

(15,762

)

 

(19,253

)

Interest expense

 

 

10,200

 

 

10,910

 

 

11,489

 

Earnings before income taxes

 

 

360,703

 

 

348,181

 

 

370,780

 

Income taxes

 

 

100,479

 

 

100,804

 

 

106,479

 

Net earnings

 

$

260,224

 

$

247,377

 

$

264,301

 

Weighted average shares - basic

 

 

145,594,300

 

 

148,273,904

 

 

150,286,403

 

Weighted average shares - diluted

 

 

147,641,113

 

 

150,455,193

 

 

152,940,605

 

Net earnings per share - basic

 

$

1.79

 

$

1.67

 

$

1.76

 

Net earnings per share - diluted

 

$

1.76

 

$

1.64

 

$

1.73

 

The accompanying notes are an integral part of these Consolidated Financial Statements.

29


Table of Contents

Consolidated Statements of Comprehensive Income
Donaldson Company, Inc. and Subsidiaries

 

 

 

 

 

 

 

 

 

 

 

 

 

At July 31,

 

 

 

2014

 

2013

 

2012

 

 

 

(thousands of dollars, except share amounts)

 

Net earnings

 

$

260,224

 

$

247,377

 

$

264,301

 

Foreign currency translation gain (loss)

 

 

(2,122

)

 

17,435

 

 

(98,723

)

Gain (loss) on hedging derivatives, net of deferred taxes of ($69), ($196), and $117, respectively

 

 

71

 

 

120

 

 

(672

)

Pension and postretirement liability adjustment, net of deferred taxes of $1,319, ($25,656), and $23,527, respectively

 

 

(6,286

)

 

46,860

 

 

(42,520

)

Total comprehensive income

 

$

251,887

 

$

311,792

 

$

122,386

 

The accompanying notes are an integral part of these Consolidated Financial Statements.

30


Table of Contents

Consolidated Balance Sheets
Donaldson Company, Inc. and Subsidiaries

 

 

 

 

 

 

 

 

 

 

At July 31,

 

 

 

2014

 

2013

 

 

 

(thousands of dollars,
except share amounts)

 

Assets

 

 

 

 

 

 

 

Current assets

 

 

 

 

 

 

 

Cash and cash equivalents

 

$

296,418

 

$

224,138

 

Short-term investments

 

 

127,201

 

 

99,750

 

Accounts receivable, less allowance of $6,763 and $7,040

 

 

474,157

 

 

430,766

 

Inventories, net

 

 

253,351

 

 

234,820

 

Deferred income taxes

 

 

27,886

 

 

26,464

 

Prepaids and other current assets

 

 

46,264

 

 

39,724

 

Total current assets

 

$

1,225,277

 

$

1,055,662

 

Property, plant, and equipment, net

 

 

451,665

 

 

419,280

 

Goodwill

 

 

166,406

 

 

165,568

 

Intangible assets, net

 

 

36,045

 

 

41,307

 

Other long-term assets

 

 

63,018

 

 

61,739

 

Total assets

 

$

1,942,411

 

$

1,743,556

 

Liabilities and shareholders’ equity

 

 

 

 

 

 

 

Current liabilities

 

 

 

 

 

 

 

Short-term borrowings

 

$

185,303

 

$

9,190

 

Current maturities of long-term debt

 

 

1,738

 

 

98,664

 

Trade accounts payable

 

 

216,603

 

 

186,460

 

Accrued employee compensation and related taxes

 

 

84,944

 

 

68,954

 

Accrued liabilities

 

 

40,845

 

 

38,527

 

Other current liabilities

 

 

80,147

 

 

74,640

 

Total current liabilities

 

 

609,580

 

 

476,435

 

Long-term debt

 

 

243,726

 

 

102,774

 

Deferred income taxes

 

 

22,386

 

 

23,604

 

Other long-term liabilities

 

 

64,236

 

 

55,556

 

Total liabilities

 

 

939,928

 

 

658,369

 

Commitments and contingencies (Note L and Note N)

 

 

 

 

 

 

 

Shareholders’ equity

 

 

 

 

 

 

 

Preferred stock, $1.00 par value, 1,000,000 shares authorized, none issued

 

 

 

 

 

Common stock, $5.00 par value, 240,000,000 shares authorized,
151,643,194 shares issued in both 2014 and 2013

 

 

758,216

 

 

758,216

 

Retained earnings

 

 

702,435

 

 

532,307

 

Stock compensation plans

 

 

19,601

 

 

21,745

 

Accumulated other comprehensive income (loss)

 

 

(45,810

)

 

(37,473

)

Treasury stock, 11,237,522 and 5,490,725 shares in 2014 and 2013, at cost

 

 

(431,959

)

 

(189,608

)

Total shareholders’ equity

 

 

1,002,483

 

 

1,085,187

 

Total liabilities and shareholders’ equity

 

$

1,942,411

 

$

1,743,556

 

The accompanying notes are an integral part of these Consolidated Financial Statements.

31


Table of Contents

Consolidated Statements of Cash Flows
Donaldson Company, Inc. and Subsidiaries

 

 

 

 

 

 

 

 

 

 

 

 

 

Year ended July 31,

 

 

 

2014

 

2013

 

2012

 

 

 

(thousands of dollars)

 

Operating Activities

 

 

 

 

 

 

 

 

 

 

Net earnings

 

$

260,224

 

$

247,377

 

$

264,301

 

Adjustments to reconcile net earnings to net cash provided by operating activities

 

 

 

 

 

 

 

 

 

 

Depreciation and amortization

 

 

67,163

 

 

64,290

 

 

61,165

 

Equity in losses (earnings) of affiliates, net of distributions

 

 

(3,384

)

 

1,637

 

 

(2,380

)

Deferred income taxes

 

 

(7,762

)

 

8,347

 

 

6,344

 

Tax benefit of equity plans

 

 

(8,781

)

 

(11,191

)

 

(10,316

)

Stock compensation plan expense

 

 

11,640

 

 

9,148

 

 

10,553

 

Loss on sale of business

 

 

905

 

 

 

 

 

Other, net

 

 

10,041

 

 

(6,175

)

 

(24,346

)

Changes in operating assets and liabilities, net of acquired businesses

 

 

 

 

 

 

 

 

 

 

Accounts receivable

 

 

(44,851

)

 

3,705

 

 

(17,877

)

Inventories

 

 

(19,273

)

 

20,142

 

 

(4,149

)

Prepaids and other current assets

 

 

(7,769

)

 

13,495

 

 

(17,378

)

Trade accounts payable and other accrued expenses

 

 

59,686

 

 

(34,852

)

 

(6,205

)

Net cash provided by operating activities

 

 

317,839

 

 

315,923

 

 

259,712

 

Investing Activities

 

 

 

 

 

 

 

 

 

 

Purchases of property, plant, and equipment

 

 

(97,210

)

 

(94,895

)

 

(78,139

)

Proceeds from sale of property, plant, and equipment

 

 

395

 

 

558

 

 

969

 

Purchases of short-term investments

 

 

(108,793

)

 

(99,339

)

 

(187,575

)

Proceeds from sale of short-term investments

 

 

81,486

 

 

97,365

 

 

88,277

 

Net cash used in investing activities

 

 

(124,122

)

 

(96,311

)

 

(176,468

)

Financing Activities

 

 

 

 

 

 

 

 

 

 

Proceeds from long-term debt

 

 

125,000

 

 

 

 

 

Repayments of long-term debt

 

 

(81,898

)

 

(1,353

)

 

(46,205

)

Change in short-term borrowings

 

 

175,344

 

 

(86,957

)

 

96,715

 

Purchase of treasury stock

 

 

(279,395

)

 

(102,572

)

 

(130,233

)

Dividends paid

 

 

(83,070

)

 

(60,320

)

 

(47,684

)

Tax benefit of equity plans

 

 

8,781

 

 

11,191

 

 

10,316

 

Exercise of stock options

 

 

14,437

 

 

16,043

 

 

13,691

 

Net cash used in financing activities

 

 

(120,801

)

 

(223,968

)

 

(103,400

)

Effect of exchange rate changes on cash

 

 

(636

)

 

2,705

 

 

(27,549

)

Increase (decrease) in cash and cash equivalents

 

 

72,280

 

 

(1,651

)

 

(47,705

)

Cash and cash equivalents, beginning of year

 

 

224,138

 

 

225,789

 

 

273,494

 

Cash and cash equivalents, end of year

 

$

296,418

 

$

224,138

 

$

225,789

 

Supplemental Cash Flow Information

 

 

 

 

 

 

 

 

 

 

Cash paid during the year for:

 

 

 

 

 

 

 

 

 

 

Income taxes

 

$

93,086

 

$

84,898

 

$

91,915

 

Interest

 

 

11,050

 

 

13,531

 

 

13,410

 

The accompanying notes are an integral part of these Consolidated Financial Statements.

32


Table of Contents

Consolidated Statements of Changes in Shareholders’ Equity
Donaldson Company, Inc. and Subsidiaries

 

 

 

 

 

 

 

 

 

 

 

 

 

 

 

 

 

 

 

 

 

 

 

 

 

Common
Stock

 

Additional
Paid-in
Capital

 

Retained
Earnings

 

Stock
Compensation
Plans

 

Accumulated
Other

Comprehensive
Income (Loss)

 

Treasury
Stock

 

Total

 

 

 

(thousands of dollars, except per share amounts)

 

Balance July 31, 2011

 

$

443,216

 

 

 

$

925,542

 

$

24,736

 

$

40,027

 

$

(498,810

)

$

934,711

 

Comprehensive income

 

 

 

 

 

 

 

 

 

 

 

 

 

 

 

 

 

 

 

 

 

 

Net earnings

 

 

 

 

 

 

 

 

264,301

 

 

 

 

 

 

 

 

 

 

 

264,301

 

Foreign currency translation

 

 

 

 

 

 

 

 

 

 

 

 

 

 

(98,723

)

 

 

 

 

(98,723

)

Pension liability adjustment, net of deferred taxes

 

 

 

 

 

 

 

 

 

 

 

 

 

 

(42,520

)

 

 

 

 

(42,520

)

Net gain on cash flow hedging derivatives

 

 

 

 

 

 

 

 

 

 

 

 

 

 

(672

)

 

 

 

 

(672

)

Comprehensive income

 

 

 

 

 

 

 

 

 

 

 

 

 

 

 

 

 

 

 

 

122,386

 

Treasury stock acquired

 

 

 

 

 

 

 

 

 

 

 

 

 

 

 

 

 

(130,233

)

 

(130,233

)

Stock options exercised

 

 

 

 

 

(9,834

)

 

(5,116

)

 

 

 

 

 

 

 

27,698

 

 

12,748

 

Deferred stock and other activity

 

 

 

 

 

(2,158

)

 

312

 

 

213

 

 

 

 

 

1,926

 

 

293

 

Performance awards

 

 

 

 

 

 

 

 

(9

)

 

(1

)

 

 

 

 

 

 

 

(10

)

Stock option expense

 

 

 

 

 

 

 

 

7,800

 

 

 

 

 

 

 

 

 

 

 

7,800

 

Tax reduction - employee plans

 

 

 

 

 

11,992

 

 

 

 

 

 

 

 

 

 

 

 

 

 

11,992

 

Two-for-one Stock split

 

 

315,000

 

 

 

 

 

(776,369

)

 

 

 

 

 

 

 

461,369

 

 

 

Dividends ($0.335 per share)

 

 

 

 

 

 

 

 

(49,673

)

 

 

 

 

 

 

 

 

 

 

(49,673

)

Balance July 31, 2012

 

 

758,216

 

 

 

 

366,788

 

 

24,948

 

 

(101,888

)

 

(138,050

)

 

910,014

 

Comprehensive income

 

 

 

 

 

 

 

 

 

 

 

 

 

 

 

 

 

 

 

 

 

 

Net earnings

 

 

 

 

 

 

 

 

247,377

 

 

 

 

 

 

 

 

 

 

 

247,377

 

Foreign currency translation

 

 

 

 

 

 

 

 

 

 

 

 

 

 

17,435

 

 

 

 

 

17,435

 

Pension liability adjustment, net of deferred taxes

 

 

 

 

 

 

 

 

 

 

 

 

 

 

46,860

 

 

 

 

 

46,860

 

Net gain on cash flow hedging derivatives

 

 

 

 

 

 

 

 

 

 

 

 

 

 

120

 

 

 

 

 

120

 

Comprehensive income

 

 

 

 

 

 

 

 

 

 

 

 

 

 

 

 

 

 

 

 

311,792

 

Treasury stock acquired

 

 

 

 

 

 

 

 

 

 

 

 

 

 

 

 

 

(102,572

)

 

(102,572

)

Stock options exercised

 

 

 

 

 

(10,836

)

 

(21,256

)

 

 

 

 

 

 

 

44,463

 

 

12,371

 

Deferred stock and other activity

 

 

 

 

 

(2,125

)

 

(1,677

)

 

(1,586

)

 

 

 

 

4,496

 

 

(892

)

Performance awards

 

 

 

 

 

(573

)

 

(1,161

)

 

(1,617

)

 

 

 

 

2,055

 

 

(1,296

)

Stock option expense

 

 

 

 

 

 

 

 

8,300

 

 

 

 

 

 

 

 

 

 

 

8,300

 

Tax reduction - employee plans

 

 

 

 

 

13,534

 

 

 

 

 

 

 

 

 

 

 

 

 

 

13,534

 

Dividends ($0.450 per share)

 

 

 

 

 

 

 

 

(66,064

)

 

 

 

 

 

 

 

 

 

 

(66,064

)

Balance July 31, 2013

 

 

758,216

 

 

 

 

532,307

 

 

21,745

 

 

(37,473

)

 

(189,608

)

 

1,085,187

 

Comprehensive income

 

 

 

 

 

 

 

 

 

 

 

 

 

 

 

 

 

 

 

 

 

 

Net earnings

 

 

 

 

 

 

 

 

260,224

 

 

 

 

 

 

 

 

 

 

 

260,224

 

Foreign currency translation

 

 

 

 

 

 

 

 

 

 

 

 

 

 

(2,122

)

 

 

 

 

(2,122

)

Pension liability adjustment, net of deferred taxes

 

 

 

 

 

 

 

 

 

 

 

 

 

 

(6,286

)

 

 

 

 

(6,286

)

Net gain on cash flow hedging derivatives

 

 

 

 

 

 

 

 

 

 

 

 

 

 

71

 

 

 

 

 

71

 

Comprehensive income

 

 

 

 

 

 

 

 

 

 

 

 

 

 

 

 

 

 

 

 

251,887

 

Treasury stock acquired

 

 

 

 

 

 

 

 

 

 

 

 

 

 

 

 

 

(279,395

)

 

(279,395

)

Stock options exercised

 

 

 

 

 

(7,000

)

 

(10,493

)

 

 

 

 

 

 

 

30,538

 

 

13,045

 

Deferred stock and other activity

 

 

 

 

 

(3,144

)

 

(1,772

)

 

(431

)

 

 

 

 

4,855

 

 

(492

)

Performance awards

 

 

 

 

 

(409

)

 

(505

)

 

(1,713

)

 

 

 

 

1,651

 

 

(976

)

Stock option expense

 

 

 

 

 

 

 

 

9,933

 

 

 

 

 

 

 

 

 

 

 

9,933

 

Tax reduction - employee plans

 

 

 

 

 

10,553

 

 

 

 

 

 

 

 

 

 

 

 

 

 

10,553

 

Dividends ($0.61 per share)

 

 

 

 

 

 

 

 

(87,259

)

 

 

 

 

 

 

 

 

 

 

(87,259

)

Balance July 31, 2014

 

$

758,216

 

$

 

$

702,435

 

$

19,601

 

$

(45,810

)

$

(431,959

)

$

1,002,483

 

The accompanying notes are an integral part of these Consolidated Financial Statements.

33


Table of Contents

NOTES TO CONSOLIDATED FINANCIAL STATEMENTS
Donaldson Company, Inc. and Subsidiaries

NOTE A Summary of Significant Accounting Policies

          Description of Business Donaldson Company, Inc. (Donaldson or the Company), is a worldwide manufacturer of filtration systems and replacement parts. The Company’s core strengths are leading filtration technology, strong Customer relationships, and its global presence. Products are manufactured at 39 plants around the world and through three joint ventures. Products are sold to original equipment manufacturers (OEMs), distributors, dealers, and directly to end-users.

          Principles of Consolidation The Consolidated Financial Statements include the accounts of Donaldson Company, Inc. and all majority-owned subsidiaries. All intercompany accounts and transactions have been eliminated. The Company’s three joint ventures that are not majority-owned are accounted for under the equity method.

          Use of Estimates The preparation of Financial Statements in conformity with generally accepted accounting principles in the United States of America (U.S.) (U.S. GAAP) requires management to make estimates and assumptions that affect the amounts reported in the financial statements and accompanying notes. Actual results could differ from those estimates.

          Foreign Currency Translation For substantially all foreign operations, local currencies are considered the functional currency. Assets and liabilities of non-U.S. dollar functional currency entities are translated to U.S. dollars at year-end exchange rates and the resulting gains and losses arising from the translation of net assets located outside the U.S. are recorded as a cumulative translation adjustment, a component of Accumulated other comprehensive income (loss) (AOCI) in the Consolidated Balance Sheets. Elements of the Consolidated Statements of Earnings are translated at average exchange rates in effect during the year. Realized and unrealized foreign currency transaction gains and losses are included in Other income, net in the Consolidated Statements of Earnings. Foreign currency translation gains of $1.7 million, $0.2 million, and $1.8 million are included in Other income, net in the Consolidated Statements of Earnings in Fiscal 2014, 2013, and 2012, respectively.

          Cash Equivalents The Company considers all highly liquid temporary investments with an original maturity of three months or less to be cash equivalents. Cash equivalents are carried at cost that approximates market value.

          Short-Term Investments As of July 31, 2014 and 2013, the Company’s short-term investments consisted exclusively of time deposits with durations longer than 3 months, but less than 1 year. These investments are carried at cost, which approximates their estimated fair value. Classification of the Company’s investments as current or non-current is dependent upon management’s intended holding period, the investment’s maturity date, and liquidity considerations based on market conditions. If management intends to hold the investments for longer than one year as of the balance sheet date, they are classified as non-current.

          Accounts Receivable and Allowance for Doubtful Accounts Trade accounts receivable are recorded at the invoiced amount and do not bear interest. The allowance for doubtful accounts is the Company’s best estimate of the amount of credit losses in its existing accounts receivable. The Company determines the allowance based on historical write-off experience in the industry, regional economic data, and evaluation of specific Customer accounts for risk of loss. The Company reviews its allowance for doubtful accounts monthly. Past due balances over 90 days and over a specified amount are reviewed individually for collectability. All other balances are reviewed on a pooled basis by type of receivable. Account balances are charged off against the allowance when the Company feels it is probable the receivable will not be recovered. The Company does not have any off-balance-sheet credit exposure related to its Customers.

34


Table of Contents

          Inventories Inventories are stated at the lower of cost or market. U.S. inventories are valued using the last-in, first-out (LIFO) method, while the non-U.S. inventories are valued using the first-in, first-out (FIFO) method. Inventories valued at LIFO were approximately 33 percent of total inventories at July 31, 2014 and 2013. For inventories valued under the LIFO method, the FIFO cost exceeded the LIFO carrying values by $37.9 million and $37.8 million at July 31, 2014 and 2013, respectively. Results of operations for all periods presented were not materially affected by the liquidation of LIFO inventory. The components of inventory are as follows (thousands of dollars):

 

 

 

 

 

 

 

 

 

 

At July 31,

 

 

 

2014

 

2013

 

Raw materials

 

$

112,522

 

$

99,814

 

Work in process

 

 

17,256

 

 

29,097

 

Finished products

 

 

123,573

 

 

105,909

 

Total inventories

 

$

253,351

 

$

234,820

 

          Property, Plant, and Equipment Property, plant, and equipment are stated at cost. Additions, improvements, or major renewals are capitalized, while expenditures that do not enhance or extend the asset’s useful life are charged to expense as incurred. Depreciation is computed under the straight-line method. Depreciation expense was $62.0 million in Fiscal 2014, $58.8 million in Fiscal 2013, and $55.3 million in Fiscal 2012. The estimated useful lives of property, plant, and equipment are 10 to 40 years for buildings, including building improvements, and 3 to 10 years for machinery and equipment. The components of property, plant, and equipment are as follows (thousands of dollars):

 

 

 

 

 

 

 

 

 

 

At July 31,

 

 

 

2014

 

2013

 

Land

 

$

20,558

 

$

21,116

 

Buildings

 

 

273,599

 

 

270,022

 

Machinery and equipment

 

 

753,637

 

 

687,797

 

Construction in progress

 

 

51,394

 

 

46,078

 

Less accumulated depreciation

 

 

(647,523

)

 

(605,733

)

Total property, plant, and equipment, net

 

$

451,665

 

$

419,280

 

          Internal-Use Software The Company capitalizes direct costs of materials and services used in the development and purchase of internal-use software. Amounts capitalized are amortized on a straight-line basis over a period of five to seven years and are reported as a component of machinery and equipment within property, plant, and equipment.

          Goodwill and Other Intangible Assets Goodwill represents the excess of the purchase price over the fair value of net assets acquired in business combinations under the purchase method of accounting. Other intangible assets, consisting primarily of patents, trademarks, and Customer relationships and lists, are recorded at cost and are amortized on a straight-line basis over their estimated useful lives of 3 to 20 years. Goodwill is assessed for impairment annually or if an event occurs or circumstances change that would indicate the carrying amount may be impaired. The impairment assessment for goodwill is done at a reporting unit level. Reporting units are one level below the operating segment level, but can be combined when reporting units within the same operating segment have similar economic characteristics. An impairment loss generally would be recognized when the carrying amount of the reporting unit’s net assets exceeds the estimated fair value of the reporting unit.

          Recoverability of Long-Lived Assets The Company reviews its long-lived assets, including identifiable intangibles, for impairment when events or changes in circumstances indicate that the carrying amount of an asset may not be recoverable. If impairment indicators are present and the estimated future undiscounted cash flows are less than the carrying value of the assets, the carrying value is reduced. There were no significant impairment charges recorded in Fiscal 2014, Fiscal 2013, or Fiscal 2012.

35


Table of Contents

          Income Taxes The provision for income taxes is computed based on the pre-tax income reported for financial statement purposes. Deferred tax assets and liabilities are recognized for the expected future tax consequences attributed to differences between the financial statement carrying amounts of existing assets and liabilities and their respective tax basis. Deferred tax assets and liabilities are measured using the enacted tax rates expected to apply to taxable income in the years in which those temporary differences are expected to reverse. Valuation allowances are recorded to reduce deferred tax assets when it is more-likely-than-not that a tax benefit will not be realized.

          Comprehensive Income (Loss) Comprehensive income (loss) consists of net income, foreign currency translation adjustments, net changes in the funded status of pension retirement obligations, and net gains or losses on cash flow hedging derivatives, and is presented in the Consolidated Statements of Changes in Shareholders’ Equity. The components of the ending balances of AOCI are as follows (thousands of dollars):

 

 

 

 

 

 

 

 

 

 

 

 

 

At July 31,

 

 

 

2014

 

2013

 

2012

 

Foreign currency translation adjustment

 

$

48,289

 

$

50,411

 

$

32,976

 

Net loss on cash flow hedging derivatives, net of deferred taxes

 

 

(101

)

 

(172

)

 

(292

)

Pension and postretirement liability adjustment, net of deferred taxes

 

 

(93,998

)

 

(87,712

)

 

(134,572

)

Total accumulated other comprehensive loss

 

$

(45,810

)

$

(37,473

)

$

(101,888

)

          Cumulative foreign currency translation is not adjusted for income taxes. See Note H for additional disclosures related to AOCI.

          Earnings Per Share The Company’s basic net earnings per share are computed by dividing net earnings by the weighted average number of outstanding common shares. The Company’s diluted net earnings per share is computed by dividing net earnings by the weighted average number of outstanding common shares and common equivalent shares relating to stock options and stock incentive plans. Certain outstanding options were excluded from the diluted net earnings per share calculations because their exercise prices were greater than the average market price of the Company’s common stock during those periods. There were 884,138 options, 22,619 options, and 1,063,135 options excluded from the diluted net earnings per share calculation for the fiscal year ended July 31, 2014, 2013, and 2012, respectively.

          The following table presents information necessary to calculate basic and diluted earnings per share:

 

 

 

 

 

 

 

 

 

 

 

 

 

2014

 

2013

 

2012

 

 

 

(thousands, except per share amounts)

 

Weighted average shares - basic

 

 

145,594

 

 

148,274

 

 

150,286

 

Diluted share equivalents

 

 

2,047

 

 

2,181

 

 

2,655

 

Weighted average shares - diluted

 

 

147,641

 

 

150,455

 

 

152,941

 

Net earnings for basic and diluted earnings per share computation

 

$

260,224

 

$

247,377

 

$

264,301

 

Net earnings per share - basic

 

$

1.79

 

$

1.67

 

$

1.76

 

Net earnings per share - diluted

 

$

1.76

 

$

1.64

 

$

1.73

 

          On January 27, 2012, the Company announced that its Board of Directors declared a two-for-one stock split effected in the form of a 100 percent stock dividend. The stock split was distributed March 23, 2012, to stockholders of record as of March 2, 2012. Earnings and dividends per share and weighted average shares outstanding are presented in this Form 10-K after the effect of the 100 percent stock dividend. The two-for-one stock split is reflected in the share amounts in all periods presented in the table above and elsewhere in this annual Form 10-K.

          Treasury Stock Repurchased common stock is stated at cost (determined on an average cost basis) and is presented as a reduction of shareholders’ equity.

          Research and Development Research and development costs are charged against earnings in the year incurred. Research and development expenses include basic scientific research and the application of scientific advances to the development of new and improved products and their uses.

36


Table of Contents

          Stock-Based Compensation The Company offers stock-based employee compensation plans, which are more fully described in Note I. Stock-based employee compensation cost is recognized using the fair-value based method.

          Revenue Recognition Revenue is recognized when all the following criteria are satisfied: (a) persuasive evidence of a sales arrangement exists; (b) price is fixed and determinable; (c) collectability is reasonably assured; and (d) delivery has occurred. At that time, product ownership and the risk of loss have transferred to the Customer and the Company has no remaining obligations. The Company records estimated discounts and rebates as a reduction of sales in the same period revenue is recognized. Shipping and handling costs for Fiscal 2014, 2013, and 2012 totaled $64.2 million, $66.2 million, and $67.0 million, respectively, and are classified as a component of selling, general, and administrative expenses.

          Product Warranties The Company provides for estimated warranty costs at the time of sale and accrues for specific items at the time their existence is known and the amounts are determinable. The Company estimates warranty costs using standard quantitative measures based on historical warranty claim experience and evaluation of specific Customer warranty issues. For a warranty reserve reconciliation see Note M.

          Derivative Instruments and Hedging Activities The Company recognizes all derivatives on the balance sheet at fair value. Derivatives that are not designated as hedges are adjusted to fair value through income. If the derivative is designated as a hedge, depending on the nature of the hedge, changes in the fair value of derivatives are either offset against the change in fair value of the hedged assets, liabilities, or firm commitments through earnings or recognized in shareholders’ equity through other comprehensive income until the hedged item is recognized. Gains or losses related to the ineffective portion of any hedge are recognized through earnings in the current period.

          New Accounting Standards Recently Adopted In February 2013, the FASB updated the disclosure requirements for AOCI. The updated guidance requires companies to disclose amounts reclassified out of AOCI by component. The updated guidance only impacts disclosure requirements and does not affect how net income or other comprehensive income are calculated. The updated guidance was adopted by the Company beginning in the first quarter of Fiscal 2014. For additional information, refer to Note H.

NOTE B Goodwill and Other Intangible Assets

          The Company has allocated goodwill to its Engine Products and Industrial Products segments. There was no acquisition or disposition activity during Fiscal 2014 or 2013. The Company completed its annual impairment assessments in the third quarters of Fiscal 2014 and 2013. The results of this assessment showed that the estimated fair values of the reporting units to which goodwill is assigned continued to significantly exceed the corresponding carrying values of the respective reporting units, resulting in no goodwill impairment.

          Following is a reconciliation of goodwill for the years ended July 31, 2014 and 2013:

 

 

 

 

 

 

 

 

 

 

 

 

 

Engine
Products

 

Industrial
Products

 

Total
Goodwill

 

 

 

(thousands of dollars)

 

Balance as of July 31, 2012

 

$

71,747

 

$

91,202

 

$

162,949

 

Foreign exchange translation

 

 

574

 

 

2,045

 

 

2,619

 

Balance as of July 31, 2013

 

$

72,321

 

$

93,247

 

$

165,568

 

Foreign exchange translation

 

 

52

 

 

786

 

 

838

 

Balance as of July 31, 2014

 

$

72,373

 

$

94,033

 

$

166,406

 

37


Table of Contents

          Intangible assets are comprised of patents, trademarks, and Customer relationships and lists. Following is a reconciliation of intangible assets for the years ended July 31, 2014 and 2013:

 

 

 

 

 

 

 

 

 

 

 

 

 

Gross
Carrying
Amount

 

Accumulated
Amortization

 

Net
Intangible
Assets

 

 

 

(thousands of dollars)

 

Balance as of July 31, 2012

 

$

80,075

 

$

(33,875

)

$

46,200

 

Amortization expense

 

 

 

 

(5,503

)

 

(5,503

)

Foreign exchange translation

 

 

1,807

 

 

(1,197

)

 

610

 

Balance as of July 31, 2013

 

$

81,882

 

$

(40,575

)

$

41,307

 

Amortization expense

 

 

 

 

(5,154

)

 

(5,154

)

Retirements

 

 

(775

)

 

600

 

 

(175

)

Foreign exchange translation

 

 

176

 

 

(109

)

 

67

 

Balance as of July 31, 2014

 

$

81,283

 

$

(45,238

)

$

36,045

 

          Net intangible assets consist of patents, trademarks, and trade names of $11.5 million and $13.3 million as of July 31, 2014 and 2013, respectively, and Customer related intangibles of $24.5 million and $28.0 million as of July 31, 2014 and 2013, respectively. As of July 31, 2014, patents, trademarks, and trade names had a weighted average remaining life of 7.95 years and Customer related intangibles had a weighted average remaining life of 11.13 years. Expected amortization expense relating to existing intangible assets is as follows (in thousands):

 

 

 

 

 

Fiscal Year

 

 

 

 

2015

 

$

5,029

 

2016

 

$

5,027

 

2017

 

$

4,910

 

2018

 

$

3,474

 

2019

 

$

2,923

 

Thereafter

 

$

14,682

 

NOTE C Credit Facilities

          The Company has a five-year, multi-currency revolving credit facility with a group of banks under which the Company may borrow up to $250.0 million. The agreement provides that loans may be made under a selection of currencies and rate formulas including Base Rate Loans or LIBOR Rate Loans. The interest rate on each advance is based on certain market interest rates and leverage ratios. Facility fees and other fees on the entire loan commitment are payable over the duration of this facility. There was $180.0 million outstanding at July 31, 2014 and no amounts outstanding at July 31, 2013. At July 31, 2014 and 2013, $62.2 million and $237.8 million, respectively, were available for further borrowing under such facilities. The amount available for further borrowing reflects a reduction for issued standby letters of credit, as discussed below. The Company’s multi-currency revolving facility contains financial covenants specifically related to maintaining a certain interest coverage ratio and a certain leverage ratio as well as other covenants that, under certain circumstances, can restrict the Company’s ability to incur additional indebtedness, make investments and other restricted payments, create liens, and sell assets. As of July 31, 2014, the Company was in compliance with all such covenants. The Company expects to remain in compliance with these covenants.

          The Company has two uncommitted credit facilities in the U.S., which provide unsecured borrowings for general corporate purposes. At July 31, 2014 and 2013, there was $45.7 million and $50.0 million available for use, respectively, under these two facilities. There was $4.3 million outstanding at July 31, 2014, and no amounts outstanding at July 31, 2013. The weighted average interest rate on the short-term borrowings outstanding at July 31, 2014, was 0.91 percent.

          The Company has a €100.0 million, or $133.9 million, program for issuing treasury notes for raising short-, medium-, and long-term financing for its European operations. There were no amounts outstanding on this program at July 31, 2014 or 2013. Additionally, the Company’s European operations have lines of credit with an available limit of €43.6 million or $58.3 million. There were no amounts outstanding on these lines of credit as of July 31, 2014 or 2013.

38


Table of Contents

          Other international subsidiaries may borrow under various credit facilities. There was $1.0 million outstanding under these credit facilities as of July 31, 2014, and $9.2 million as of July 31, 2013. At July 31, 2014 and 2013, there was $57.5 million and $50.4 million available for use, respectively, under these facilities. The weighted average interest rate on these short-term borrowings outstanding at July 31, 2014 and July 31, 2013, was 0.75 percent and 0.44 percent, respectively.

NOTE D Long-Term Debt

          Long-term debt consists of the following:

 

 

 

 

 

 

 

 

 

 

2014

 

2013

 

 

 

(thousands of dollars)

 

6.59% Unsecured senior notes, interest payable semi-annually, principal payment of $80.0 million due November 14, 2013

 

 

 

 

80,000

 

5.48% Unsecured senior notes, interest payable semi-annually, principal payment of $50.0 million due June 1, 2017

 

 

50,000

 

 

50,000

 

5.48% Unsecured senior notes, interest payable semi-annually, principal payment of $25.0 million due September 28, 2017

 

 

25,000

 

 

25,000

 

5.48% Unsecured senior notes, interest payable semi-annually, principal payment of $25.0 million due November 30, 2017

 

 

25,000

 

 

25,000

 

3.72% Unsecured senior notes, interest payable semi-annually, principal payment of $125.0 million due March 27, 2024

 

 

125,000

 

 

 

2.019% Guaranteed senior note, interest payable semi-annually, principal payment of ¥1.65 billion due May 18, 2014

 

 

 

 

16,848

 

Variable Rate Guaranteed senior note, interest payable quarterly, principal payment of ¥1.65 billion due May 19, 2019 and an interest rate of 0.56% as of July 31, 2014

 

 

16,051

 

 

 

Capitalized lease obligations and other, with various maturity dates and interest rates

 

 

3,177

 

 

2,520

 

Terminated interest rate swap contracts

 

 

1,236

 

 

2,070

 

Total

 

 

245,464

 

 

201,438

 

Less current maturities

 

 

1,738

 

 

98,664

 

Total long-term debt

 

$

243,726

 

$

102,774

 

          Annual maturities of long-term debt are $1.7 million in Fiscal 2015, $1.8 million in Fiscal 2016, $50.8 million in Fiscal 2017, $50.1 million in Fiscal 2018, and $141.1 million thereafter. Certain note agreements contain debt covenants related to working capital levels and limitations on indebtedness. As of July 31, 2014, the Company was in compliance with all such covenants.

          On March 27, 2014, the Company issued $125.0 million of senior unsecured notes due March 27, 2024. The debt was issued at face value and bears interest payable semi-annually at an annual rate of interest of 3.72 percent. The proceeds from the notes were used to refinance existing debt and for general corporate purposes. The notes contain debt covenants specifically related to maintaining a certain leverage ratio as well as other covenants that, under certain circumstances, can restrict the Company’s ability to incur additional indebtedness, make investments and other restricted payments, create liens, and sell assets. As of July 31, 2014, the Company was in compliance with all such covenants.

          On May 19, 2014, the Company refinanced its 1.65 billion yen guaranteed note that matured on May 18, 2014. The debt was issued at face value, or approximately $16.1 million as of July 31, 2014, is due May 19, 2019, and bears interest payable quarterly at a variable interest rate. The interest rate was 0.56 percent as of July 31, 2014.

39


Table of Contents

NOTE E Fair Value

          Fair Value of Financial Instruments At July 31, 2014 and 2013, the Company’s financial instruments included cash and cash equivalents, accounts receivable, accounts payable, short-term borrowings, long-term debt, and derivative contracts. The fair values of cash and cash equivalents, accounts receivable, accounts payable, and short-term borrowings approximated carrying values because of the short-term nature of these instruments and are classified as Level 1 in the fair value hierarchy. Derivative contracts are reported at their fair values based on third-party quotes. As of July 31, 2014, the estimated fair value of long-term debt with fixed interest rates was $237.6 million compared to its carrying value of $225.0 million. The fair value is estimated by discounting the projected cash flows using the rate that similar amounts of debt could currently be borrowed, which is classified as Level 2 in the fair value hierarchy.

          Derivative contracts are reported at their fair values based on third-party quotes. The fair values of the Company’s financial assets and liabilities listed below reflect the amounts that would be received to sell the assets or paid to transfer the liabilities in an orderly transaction between market participants at the measurement date (exit price). The fair values are based on inputs other than quoted prices that are observable for the asset or liability. These inputs include foreign currency exchange rates and interest rates. The financial assets and liabilities are primarily valued using standard calculations and models that use as their basis readily observable market parameters. Industry standard data providers are the primary source for forward and spot rate information for both interest rates and currency rates.

          The following summarizes the Company’s fair value of outstanding derivatives at July 31, 2014, and 2013, on the Consolidated Balance Sheets:

 

 

 

 

 

 

 

 

 

 

Significant Other Observable Inputs
(Level 2)*

 

 

 

At July 31,

 

 

 

2014

 

2013

 

 

 

(thousands of dollars)

 

Asset derivatives recorded under the caption Prepaids and other current assets

 

 

 

 

 

 

 

Foreign exchange contracts

 

$

931

 

$

734

 

Liability derivatives recorded under the caption Other current liabilities

 

 

 

 

 

 

 

Foreign exchange contracts

 

 

(1,242

)

 

(845

)

Forward exchange contracts - net liability position

 

$

(311

)

$

(111

)


 

 

 

 

*

Inputs to the valuation methodology of level 2 assets include quoted prices for similar assets or liabilities in active markets; quoted prices for identical or similar assets or liabilities in inactive markets; inputs other than quoted prices that are observable for the asset or liability; and inputs that are derived principally from or corroborated by observable market data by correlation or other means.

          The Company holds equity method investments which are classified in other long-term assets in the consolidated balance sheets. The aggregate carrying amount of these investments was $21.4 million and $18.8 million as of July 31, 2014 and 2013, respectively. These equity method investments are measured at fair value on a nonrecurring basis. The fair value of the Company’s equity method investments has not been estimated as there have been no identified events or changes in circumstance that would have had an adverse impact on the value of these investments. In the event that these investments were required to be measured, these investments would fall within Level 3 of the fair value hierarchy, due to the use of significant unobservable inputs to determine fair value, as the investments are in privately-held entities or divisions of public companies without quoted market prices.

          Goodwill and intangible assets are assessed for impairment annually or more frequently if events or changes in circumstances indicate that the asset might be impaired. The Company’s goodwill and intangible assets are not recorded at fair value as there have been no events or circumstances that would have an adverse impact on the value of these assets. In the event that an impairment was recognized, the fair value would be classified within Level 3 of the fair value hierarchy. Refer to Note B for further discussion of the annual goodwill impairment analysis and carrying values of goodwill and other intangible assets.

40


Table of Contents

          The Company assesses the impairment of intangible assets and property, plant, and equipment whenever events or changes in circumstances indicate that the carrying amount of property, plant, and equipment assets may not be recoverable. There were no significant impairment charges recorded in Fiscal 2014, Fiscal 2013, or Fiscal 2012. Refer to Note B for further discussion of the annual goodwill impairment analysis and carrying values of intangible assets.

NOTE F Employee Benefit Plans

          Pension Plans The Company and certain of its international subsidiaries have defined benefit pension plans for many of their hourly and salaried employees. There are two types of U.S. plans. The first type of U.S. plan is a traditional defined benefit pension plan primarily for production employees. The second is a plan for salaried workers that provides defined benefits pursuant to a cash balance feature whereby a participant accumulates a benefit comprised of a percentage of current salary that varies with years of service, interest credits and transition credits. The non-U.S. plans generally provide pension benefits based on years of service and compensation level.

          On July 31, 2013, the Company adopted a sunset freeze on its U.S. salaried pension plan. Effective August 1, 2013, there are no longer any new entrants into the plan. Then effective, August 1, 2016, employees hired prior to August 1, 2013, will no longer continue to accrue Company contribution credits under the plan.

          Net periodic pension costs for the Company’s pension plans include the following components:

 

 

 

 

 

 

 

 

 

 

 

 

 

2014

 

2013

 

2012

 

 

 

(thousands of dollars)

 

 

 

 

 

 

 

 

 

 

 

 

Service cost

 

$

18,821

 

$

19,439

 

$

15,464

 

Interest cost

 

 

19,499

 

 

16,953

 

 

19,436

 

Expected return on assets

 

 

(30,794

)

 

(28,111

)

 

(28,114

)

Prior service cost and transition amortization

 

 

590

 

 

591

 

 

725

 

Actuarial loss amortization

 

 

7,403

 

 

10,362

 

 

5,696

 

Net periodic benefit cost

 

$

15,519

 

$

19,234

 

$

13,207

 

41


Table of Contents

          The obligations and funded status of the Company’s pension plans as of 2014 and 2013, is as follows:

 

 

 

 

 

 

 

 

 

 

2014

 

2013

 

 

 

(thousands of dollars)

 

Change in benefit obligation:

 

 

 

 

 

 

 

Benefit obligation, beginning of year

 

$

444,943

 

$

461,492

 

Service cost

 

 

18,821

 

 

19,439

 

Interest cost

 

 

19,499

 

 

16,953

 

Plan amendments

 

 

 

 

(9

)

Participant contributions

 

 

1,308

 

 

1,207

 

Actuarial loss/(gain)

 

 

29,638

 

 

(27,176

)

Currency exchange rates

 

 

8,873

 

 

1,225

 

Divestiture

 

 

(3,200

)

 

 

Curtailment

 

 

 

 

(11,692

)

Benefits paid

 

 

(21,229

)

 

(16,496

)

Benefit obligation, end of year

 

$

498,653

 

$

444,943

 

 

 

 

 

 

 

 

 

Change in plan assets:

 

 

 

 

 

 

 

Fair value of plan assets, beginning of year

 

$

452,724

 

$

387,576

 

Actual return on plan assets

 

 

45,978

 

 

51,524

 

Company contributions

 

 

4,263

 

 

28,186

 

Participant contributions

 

 

1,308

 

 

1,207

 

Currency exchange rates

 

 

9,912

 

 

727

 

Divestiture

 

 

(3,086

)

 

 

Benefits paid

 

 

(21,229

)

 

(16,496

)

Fair value of plan assets, end of year

 

$

489,870

 

$

452,724

 

 

 

 

 

 

 

 

 

Funded status:

 

 

 

 

 

 

 

Funded/(Underfunded) status at July 31, 2014 and 2013

 

$

(8,783

)

$

7,781

 

 

 

 

 

 

 

 

 

Amounts recognized on the consolidated balance sheets consist of:

 

 

 

 

 

 

 

Other long-term assets

 

 

17,800

 

 

23,234

 

Other current liabilities

 

 

(832

)

 

(949

)

Other long-term liabilities

 

 

(25,751

)

 

(14,504

)

Recognized asset / (liability)

 

$

(8,783

)

$

7,781

 

          AOCI at July 31, 2014 consists primarily of unrecognized actuarial losses, net of tax. The loss expected to be recognized in net periodic pension expense during Fiscal 2015 is $7.6 million. The accumulated benefit obligation for all defined benefit pension plans was $476.1 million and $427.8 million at July 31, 2014 and 2013, respectively.

          The projected benefit obligation, accumulated benefit obligation, and fair value of plan assets for pension plans with accumulated benefit obligations in excess of plan assets were $234.8 million, $233.8 million, and $215.9 million, respectively, as of July 31, 2014, and $20.5 million, $19.7 million, and $8.4 million, respectively, as of July 31, 2013.

          For the years ended July 31, 2014 and 2013, the U.S. pension plans represented approximately 69 percent and 70 percent, respectively, of the Company’s total plan assets, approximately 69 percent and 71 percent, respectively, of the Company’s total projected benefit obligation, and approximately 80 percent and 75 percent, respectively, of the Company’s total pension expense.

42


Table of Contents

          The weighted-average discount rate and rates of increase in future compensation levels used in determining the actuarial present value of the projected benefit obligation are as follows:

 

 

 

 

 

 

 

 

Weighted average actuarial assumptions

 

2014

 

2013

 

All U.S. plans:

 

 

 

 

 

 

 

Discount rate

 

 

4.33

%

 

4.58

%

Rate of compensation increase

 

 

2.61

%

 

2.61

%

Non - U.S. plans:

 

 

 

 

 

 

 

Discount rate

 

 

3.64

%

 

4.04

%

Rate of compensation increase

 

 

2.79

%

 

2.92

%

          The weighted-average discount rates, expected returns on plan assets and rates of increase in future compensation levels used to determine the net periodic benefit cost are as follows:

 

 

 

 

 

 

 

 

 

 

 

Weighted average actuarial assumptions

 

2014

 

2013

 

2012

 

All U.S. plans:

 

 

 

 

 

 

 

 

 

 

Discount rate

 

 

4.58

%

 

3.59

%

 

4.91

%

Expected return on plan assets

 

 

7.50

%

 

7.50

%

 

7.75

%

Rate of compensation increase

 

 

2.61

%

 

2.61

%

 

4.50

%

Non - U.S. plans:

 

 

 

 

 

 

 

 

 

 

Discount rate

 

 

4.04

%

 

4.13

%

 

5.36

%

Expected return on plan assets

 

 

5.48

%

 

5.20

%

 

6.03

%

Rate of compensation increase

 

 

2.92

%

 

2.86

%

 

3.57

%

          Expected Long-Term Rate of Return To develop the expected long-term rate of return on assets assumption, the Company considered the historical returns and the future expectations for returns for each asset class, as well as the target asset allocation of the pension portfolio. In Fiscal 2014 the Company adopted a plan to adjust the target asset allocation for all U.S. plans and to employ differing allocation strategies for each plan. These investment changes, which will be implemented in the first quarter of Fiscal 2015, will help the Company to maintain or reduce the risk profile while continuing to ensure an appropriate funded status in each plan. Therefore, as of the measurement date of July 31, 2014, the Company reduced its long-term rate of return for the U.S. pension plans to an asset-based weighted average of 7.14 percent. The expected long-term rate of return on assets shown in the pension benefit disclosure for non-U.S. plans is an asset-based weighted average of all non-U.S. plans.

          Discount Rate The Company’s objective in selecting a discount rate is to select the best estimate of the rate at which the benefit obligations could be effectively settled on the measurement date, taking into account the nature and duration of the benefit obligations of the plan. In making this best estimate, the Company looks at rates of return on high-quality fixed-income investments currently available, and expected to be available, during the period to maturity of the benefits. This process includes looking at the universe of bonds available on the measurement date with a quality rating of Aa or better. Similar appropriate benchmarks are used to determine the discount rate for the non-U.S. plans. The discount rate disclosed in the assumptions used to determine net periodic benefit cost and to determine benefit obligations is based upon a weighted average, using year-end projected benefit obligations.

          Plan Assets The Company used the following definitions to classify pension assets into either Level 1, Level 2, or Level 3:

          Level 1 – Quoted prices in active markets for identical assets or liabilities that the reporting entity has the ability to access at the measurement date.

          Level 2 – Inputs other than quoted prices available in Level 1 that are observable either directly or indirectly.

          Level 3 – Unobservable inputs for the asset or liability.

43


Table of Contents

          The fair values of the assets held by the U.S. pension plans by asset category are as follows (in millions):

 

 

 

 

 

 

 

 

 

 

 

 

 

 

Asset Category

 

Quoted Prices in
Active Markets
for Identical
Assets
(Level 1)

 

Significant
Observable
Inputs
(Level 2)

 

Significant
Unobservable
Inputs
(Level 3)

 

Total

 

2014

 

 

 

 

 

 

 

 

 

 

 

 

 

Cash

 

$

14.2

 

 

 

 

 

$

14.2

 

Global Equity Securities

 

 

107.3

 

 

87.3

 

 

21.1

 

 

215.7

 

Fixed Income Securities

 

 

27.0

 

 

 

 

58.7

 

 

85.7

 

Real Assets

 

 

7.1

 

 

 

 

13.5

 

 

20.6

 

Total U.S. Assets at July 31, 2014

 

$

155.6

 

$

87.3

 

$

93.3

 

$

336.2

 

 

 

 

 

 

 

 

 

 

 

 

 

 

 

2013

 

 

 

 

 

 

 

 

 

 

 

 

 

Cash

 

$

18.5

 

$

 

$

 

$

18.5

 

Global Equity Securities

 

 

82.5

 

 

50.2

 

 

19.4

 

 

152.1

 

Fixed Income Securities

 

 

42.9

 

 

20.8

 

 

60.8

 

 

124.5

 

Real Assets

 

 

 

 

 

 

22.1

 

 

22.1

 

Total U.S. Assets at July 31, 2013

 

$

143.9

 

$

71.0

 

$

102.3

 

$

317.2

 

 

 

 

 

 

 

 

 

 

 

 

 

 

 

2012

 

 

 

 

 

 

 

 

 

 

 

 

 

Cash

 

$

0.9

 

$

 

$

 

$

0.9

 

Global Equity Securities

 

 

61.5

 

 

57.3

 

 

19.4

 

 

138.2

 

Fixed Income Securities

 

 

29.2

 

 

19.5

 

 

55.0

 

 

103.7

 

Real Assets

 

 

 

 

 

 

31.4

 

 

31.4

 

Total U.S. Assets at July 31, 2012

 

$

91.6

 

$

76.8

 

$

105.8

 

$

274.2

 

          Global Equity consists primarily of publicly traded U.S. and non-U.S. equities, Europe, Australasia, Far East (EAFE) index funds, equity private placement funds, private equity investments, and some cash and cash equivalents. Publicly traded equities are valued at the closing price reported in the active market in which the individual securities are traded. Index funds are valued at the net asset value (NAV) as determined by the custodian of the fund. The NAV is based on the fair value of the underlying assets owned by the fund, minus its liabilities then divided by the number of units outstanding. Private equity consists of interests in partnerships that invest in U.S. and non-U.S. equity and debt securities. This may include a diversified mix of partnership interests including buyouts, restructured/distressed debt, growth equity, mezzanine/subordinated debt, real estate, special situation partnerships, and venture capital investments. Partnership interest is valued using the most recent general partner statement of fair value, updated for any subsequent partnership interests’ cash flow.

          The target allocation for Global Equity investments was 65 percent. The underlying global equity investment managers within the Plan will invest primarily in equity securities spanning across market capitalization, geography, style (value, growth), and other diversifying characteristics. Managers may invest in common stocks or American Depository Receipts (ADRs), mutual funds, bank or trust company pooled funds, international stocks, stock options for hedging purposes, stock index futures, financial futures for purposes of replicating a major market index, and private equity partnerships. The Long/Short Equity managers within Global Equity may take long or short positions in equity securities and have the ability to shift exposure from net long to net short. Long/Short Equity managers made up about 15 percent of the global equity portfolio at year-end, and are considered less liquid, as the funds can be partially liquidated on a quarterly basis. Long-only managers are considered liquid. The long-only investment managers are typically valued daily, while long/short equity is valued on a monthly basis. Private equity is considered illiquid and performance is typically valued on a quarterly basis. The underlying assets, however, may be valued less frequently, such as annually, or if and when a potential buyer is identified and has submitted a bid to similar types of investments.

          Fixed income consists primarily of investment and non-investment grade debt securities and alternative fixed income-like investments. Corporate and other bonds and notes are valued at either the yields currently available on comparable securities of issuers with similar credit ratings or valued under a discounted cash flows approach that maximizes observable inputs, such as current yields of similar instruments, but includes adjustments for certain risks that may not be observable such as credit and liquidity risks. Alternative fixed income-like investments consist primarily of private partnership interests in hedge funds of funds. Partnership interests are valued using the NAV as determined by the administrator or custodian of the fund.

44


Table of Contents

          The target allocation for Fixed Income was 30 percent. The Fixed Income class may invest in Debt securities issued or guaranteed by the U.S., its agencies or instrumentalities (including U.S. Government Agency mortgage backed securities), or other investment grade rated debt issued by foreign governments; corporate bonds, debentures and other forms of corporate debt obligations, including equipment trust certificates; Indexed notes, floaters and other variable rate obligations; bank collective funds; mutual funds; insurance company pooled funds and guaranteed investments; futures and options for the purpose of yield curve management; and private debt investments. Fixed Income risk is driven by various factors including, but not limited to, interest rate levels and changes, credit risk, and duration. The current fixed income investment is considered liquid, with daily pricing and liquidity. The Fixed Income class is also invested in a variety of alternative investments. Alternatives cover an enormous variety of traditional and non-traditional investments and investment strategies, spanning various levels of risk and return. These investments can be made in a broad array of non-traditional investment strategies (including, but not limited to, commodities and futures, distressed securities, short/long--or both--fixed income, international opportunities, relative value) with multiple hedge fund managers. This class is considered less liquid to illiquid. The liquidity ranges from quarterly to semi-annually and illiquid. Alternative investments are typically valued on a quarterly basis.

          Real assets consist of commodity funds, Real Estate Investment Trusts (REITS), and interests in partnerships that invest in private real estate, commodity, and timber investments. Private investments are valued using the most recent partnership statement of fair value, updated for any subsequent partnership interests’ cash flows. Commodity funds and REITS are valued at the closing price reported in the active market in which it is traded.

          The target allocation for Real Assets was 5 percent. The Fund invests in real assets to provide a hedge against unexpected inflation, to capture unique sources of returns, and to provide diversification benefits. The Fund pursues a real asset strategy through a fund of funds, private investments, and/or a direct investment program that may invest long, short, or both in assets including, but not limited to, domestic and international properties, buildings and developments, timber, and/or commodities. Real assets range from less liquid to illiquid, with about two-thirds of the real asset allocation having monthly liquidity and one-third illiquid. Real asset manager performance is typically reported quarterly, though underlying assets may be valued less frequently.

          Reflecting the relatively long-term nature of the plans’ obligations, approximately 65 percent of the plans assets are invested in equity securities, 30 percent in fixed income, and 5 percent in real assets (investments into funds containing commodities and real estate). In Fiscal 2015, the Company plans to begin investing in liability-driven investment funds, which will change the asset allocations.

          The following table sets forth a summary of changes in the fair values of the U.S. pension plans’ Level 3 assets for the years ended July 31, 2014, 2013, and 2012 (in millions):

 

 

 

 

 

 

 

 

 

 

 

 

 

 

 

 

Global Equity

 

Fixed Income

 

Real Assets

 

Total

 

Beginning balance at August 1, 2011

 

$

17.9

 

$

31.4

 

$

38.0

 

$

87.3

 

Unrealized gains

 

 

0.1

 

 

0.6

 

 

(2.1

)

 

(1.4

)

Realized gains

 

 

1.5

 

 

0.4

 

 

 

 

1.9

 

Purchases

 

 

1.0

 

 

17.0

 

 

2.8

 

 

20.8

 

Sales

 

 

(1.1

)

 

(1.7

)

 

 

 

(2.8

)

Net transfers into (out of) Level 3

 

 

 

 

7.3

 

 

(7.3

)

 

 

Ending balance at July 31, 2012

 

$

19.4

 

$

55.0

 

$

31.4

 

$

105.8

 

Unrealized gains

 

 

(0.8

)

 

6.4

 

 

1.1

 

 

6.7

 

Realized gains

 

 

1.7

 

 

0.7

 

 

 

 

2.4

 

Purchases

 

 

2.1

 

 

 

 

1.0

 

 

3.1

 

Sales

 

 

(3.0

)

 

(1.3

)

 

(11.4

)

 

(15.7

)

Ending balance at July 31, 2013

 

$

19.4

 

$

60.8

 

$

22.1

 

$

102.3

 

Unrealized gains

 

 

1.7

 

 

(2.0

)

 

 

 

(0.3

)

Realized gains

 

 

2.4

 

 

8.9

 

 

0.8

 

 

12.1

 

Purchases

 

 

2.0

 

 

20.0

 

 

2.7

 

 

24.7

 

Sales

 

 

(4.4

)

 

(29.0

)

 

(12.1

)

 

(45.5

)

Ending balance at July 31, 2014

 

$

21.1

 

$

58.7

 

$

13.5

 

$

93.3

 

45


Table of Contents

          The following table sets forth a summary of the U.S. pension plans’ assets valued at NAV for the year ended July 31, 2014 (in millions):

 

 

 

 

 

 

 

 

 

 

 

 

 

 

 

 

Fair Value

 

Unfunded
Commitments

 

Redemption Frequency
(If Currently Eligible)

 

Redemption
Notice Period

 

 

 

 

 

 

 

 

 

 

 

 

 

 

Global Equity

 

$

215.7

 

$

5.2

 

Daily, Monthly, Quarterly, Annually

 

10 - 100 days

 

Fixed Income

 

 

85.7

 

 

 

Daily, Quarterly, Semi-Annually

 

60 - 120 days

 

Real Assets

 

 

20.6

 

 

6.9

 

Daily, Quarterly

 

95 days

 

Total

 

$

322.0

 

$

12.1

 

 

 

 

 

          Fair values of the assets held by the non-U.S. pension plans by asset category are as follows (in millions):

 

 

 

 

 

 

 

 

 

 

 

 

 

 

Asset Category

 

Quoted Prices in
Active Markets
for Identical
Assets
(Level 1)

 

Significant
Observable
Inputs
(Level 2)

 

Significant
Unobservable
Inputs
(Level 3)

 

Total

 

2014

 

 

 

 

 

 

 

 

 

 

 

 

 

Cash

 

$

5.7

 

$

 

$

 

$

5.7

 

Global Equity Securities

 

 

71.3

 

 

 

 

 

 

71.3

 

Fixed Income Securities

 

 

4.8

 

 

23.3

 

 

 

 

28.1

 

Equity/Fixed Income

 

 

18.0

 

 

 

 

30.5

 

 

48.5

 

Total Non-U.S. Assets at July 31, 2014

 

$

99.8

 

$

23.3

 

$

30.5

 

$

153.6

 

2013

 

 

 

 

 

 

 

 

 

 

 

 

 

Cash

 

$

0.6

 

$

 

$

 

$

0.6

 

Global Equity Securities

 

 

63.8

 

 

 

 

 

 

63.8

 

Fixed Income Securities

 

 

6.9

 

 

21.0

 

 

 

 

27.9

 

Equity/Fixed Income

 

 

16.9

 

 

 

 

26.3

 

 

43.2

 

Total Non-U.S. Assets at July 31, 2013

 

$

88.2

 

$

21.0

 

$

26.3

 

$

135.5

 

2012

 

 

 

 

 

 

 

 

 

 

 

 

 

Global Equity Securities

 

$

37.1

 

$

 

$

 

$

37.1

 

Fixed Income Securities

 

 

5.9

 

 

28.4

 

 

 

 

34.3

 

Equity/Fixed Income

 

 

13.3

 

 

 

 

21.8

 

 

35.1

 

Real Assets

 

 

 

 

6.8

 

 

 

 

6.8

 

Total Non-U.S. Assets at July 31, 2012

 

$

56.3

 

$

35.2

 

$

21.8

 

$

113.3

 

          Global equity consists of publicly traded diversified growth funds invested across a broad range of traditional and alternative asset classes which may include, but are not limited to, equities, investment grade and high yield bonds, property, private equity, infrastructure, commodities and currencies. They may invest directly or hold up to 100 percent of the fund in other collective investment vehicles and may use exchange traded and over the counter financial derivatives, such as currency forwards or futures, for both investment as well as hedging purposes.

          Fixed income consists primarily of investment grade debt securities. Corporate bonds and notes are valued at either the yields currently available on comparable securities of issuers with similar credit ratings or valued under a discounted cash flows approach that maximizes observable inputs, such as current yields of similar instruments, but includes adjustments for certain risks that may not be observable such as credit and liquidity risks. These funds may also aim to provide liability hedging by offering interest rate and inflation protections which replicates the liability profile of a typical defined benefit pension scheme.

          Equity/Fixed Income consists of Level 1 assets that are part of a unit linked fund with a strategic asset allocation of 40 percent fixed income products and 60 percent equity type products. Assets are valued at either the closing price reported if traded on an active market or at yields currently available on comparable securities of issuers with similar credit ratings. Index funds are valued at the net asset value as determined by the custodian of the fund. The Level 3 assets are composed of mathematical reserves on individual contracts and the Company does not have any influence on the investment decisions as made by the insurer due to the specific minimum guaranteed return characteristics of this type of contract. European insurers in general, broadly have a strategic asset allocation with 80 percent to 90 percent fixed income products and 20 percent to 10 percent equity type products (including real estate).

46


Table of Contents

          Real Assets consists of property funds. Property funds are valued using the most recent partnership statement of fair value, updated for any subsequent partnership interests’ cash flows.

          The following table sets forth a summary of changes in the fair values of the non-U.S. pension plans’ Level 3 assets for the years ended July 31, 2014, 2013, and 2012 (in millions):

 

 

 

 

 

 

 

Equity/Fixed
Income

 

Beginning balance at August 1, 2011

 

$

26.3

 

Unrealized gains

 

 

1.4

 

Foreign currency exchange

 

 

(3.8

)

Purchases

 

 

2.6

 

Sales

 

 

(4.6

)

Net transfers into (out of) Level 3

 

 

(0.1

)

Ending balance at July 31, 2012

 

$

21.8

 

Unrealized gains

 

 

1.1

 

Foreign currency exchange

 

 

1.7

 

Purchases

 

 

2.6

 

Sales

 

 

(0.9

)

Ending balance at July 31, 2013

 

$

26.3

 

Unrealized gains

 

 

4.3

 

Realized gains

 

 

0.1

 

Foreign currency exchange

 

 

0.1

 

Purchases

 

 

3.1

 

Sales

 

 

(3.4

)

Ending balance at July 31, 2014

 

$

30.5

 

          The following table sets forth a summary of the non-U.S. pension plans’ assets valued at NAV for the year ended July 31, 2014 (in millions):

 

 

 

 

 

 

 

 

 

 

 

 

 

 

 

 

Fair Value

 

Unfunded
Commitments

 

Redemption Frequency
(If Currently Eligible)

 

Redemption
Notice Period

 

 

 

 

 

 

 

 

 

 

 

 

 

 

 

Fixed Income

 

 

23.3

 

 

 

Weekly

 

7 days

 

Equity/Fixed Income

 

 

30.5

 

 

 

Yearly

 

90 days

 

Total

 

$

53.8

 

$

 

 

 

 

 

 

 

          Investment Policies and Strategies For the Company’s U.S. plans, the Company uses a total return investment approach to achieve a long-term return on plan assets, with what the Company believes to be a prudent level of risk for the purpose of meeting its retirement income commitments to employees. The plans’ investments are diversified to assist in managing risk. In Fiscal 2014, the Company’s asset allocation guidelines targeted an allocation of 65 percent global equity securities, 30 percent fixed income, and 5 percent real assets (investments into funds containing commodities and real estate). These target allocation guidelines are determined in consultation with the Company’s investment consultant, and through the use of modeling the risk/return trade-offs among asset classes utilizing assumptions about expected annual return, expected volatility/standard deviation of returns, and expected correlations with other asset classes. In Fiscal 2015, the Company plans to begin investing in liability-driven investment funds, which will change the asset allocations.

          For the Company’s non-U.S. plans, the general investment objectives are to maintain a suitably diversified portfolio of secure assets of appropriate liquidity which will generate income and capital growth to meet, together with any new contributions from members and the Company, the cost of current and future benefits. Investment policy and performance is measured and monitored on an ongoing basis by the Company’s investment committee through its use of an investment consultant and through quarterly investment portfolio reviews.

47


Table of Contents

          Estimated Contributions and Future Payments The Company’s general funding policy for its pension plans is to make at least the minimum contributions as required by applicable regulations. Additionally, the Company may elect to make additional contributions up to the maximum tax deductible contribution. The Company made contributions of $0.6 million to its U.S. pension plans in Fiscal 2014. The minimum funding requirement for the Company’s U.S. plans is $12.2 million in Fiscal 2015. Per the Pension Protection Act of 2006, this obligation could be met with existing credit balances that resulted from payments above the minimum obligation in prior years. As such, the Company does not anticipate making a contribution in Fiscal 2015 to its U.S. pension plans. The Company made contributions of $3.7 million to its non-U.S. pension plans in Fiscal 2014 and estimates that it will contribute approximately $3.9 million in Fiscal 2015 based upon the local government prescribed funding requirements. Future estimates of the Company’s pension plan contributions may change significantly depending on the actual rate of return on plan assets, discount rates, and regulatory requirements.

          Estimated future benefit payments for the Company’s U.S. and non-U.S. plans are as follows (thousands of dollars):

 

 

 

 

 

Fiscal Year

 

 

 

 

2015

 

$

23,032

 

2016

 

$

22,728

 

2017

 

$

27,717

 

2018

 

$

25,059

 

2019

 

$

27,754

 

2020-2024

 

$

149,865

 

          Postemployment and Postretirement Benefit Plans The Company provides certain postemployment and postretirement health care benefits for certain U.S. employees for a limited time after termination of employment. The Company has recorded a liability for its postretirement benefit plan in the amount of $1.3 million for both the years ended July 31, 2014 and 2013. The annual cost resulting from these benefits is not material. For measurement purposes, a 7.0 percent annual rate of increase in the per capita cost of covered health care benefits was assumed for Fiscal 2014. The Company has assumed that the long-term rate of increase will decrease gradually to an ultimate annual rate of 4.5 percent. A one-percentage point increase in the health care cost trend rate would increase the Fiscal 2014 and 2013 liability by $0.1 million.

          Retirement Savings and Employee Stock Ownership Plan The Company provides a contributory employee savings plan to U.S. employees that permits participants to make contributions by salary reduction pursuant to section 401(k) of the Internal Revenue Code. Employee contributions of up to 25 percent of compensation are matched at a rate equaling 100 percent of the first 3 percent contributed and 50 percent of the next 2 percent contributed. The Company’s contributions under this plan are based on the level of employee contributions. Total contribution expense for these plans was $8.1 million, $7.3 million, and $5.5 million for the years ended July 31, 2014, 2013, and 2012, respectively. This plan also includes shares from an Employee Stock Ownership Plan (ESOP). As of July 31, 2014, all shares of the ESOP have been allocated to participants. Total ESOP shares are considered to be shares outstanding for earnings per share calculations. In July 2013, the Company announced that Employees hired on or after August 1, 2013 will be eligible for a 3 percent annual Company retirement contribution in addition to the Company’s 401(k) match. Effective August 1, 2016, Employees hired prior to August 1, 2013 will be eligible for the 3 percent annual Company retirement contribution.

          Deferred Compensation and Other Benefit Plans The Company provides various deferred compensation and other benefit plans to certain executives. The deferred compensation plan allows these employees to defer the receipt of all of their bonus and other stock related compensation and up to 75 percent of their salary to future periods. Other benefit plans are provided to supplement the benefits for a select group of highly compensated individuals which are reduced because of compensation limitations set by the Internal Revenue Code. The Company has recorded a liability of $9.1 million and $9.5 million the years ended July 31, 2014 and July 31, 2013, respectively, related primarily to its deferred compensation plans.

48


Table of Contents

NOTE G Shareholders’ Equity

          Stock Rights On January 27, 2006, the Board of Directors of the Company approved the extension of the benefits afforded by the Company’s existing rights plan by adopting a new shareholder rights plan. Pursuant to the Rights Agreement, dated as of January 27, 2006 by and between the Company and Wells Fargo Bank, N.A., as Rights Agent, one right was issued on March 3, 2006 for each outstanding share of common stock of the Company upon the expiration of the Company’s existing rights. Each of the new rights entitles the registered holder to purchase from the Company one one-thousandth of a share of Series A Junior Participating Preferred Stock, without par value, at a price of $143.00 per one one-thousandth of a share. The rights, however, will not become exercisable unless and until, among other things, any person acquires 15 percent or more of the outstanding common stock of the Company. If a person acquires 15 percent or more of the outstanding common stock of the Company (subject to certain conditions and exceptions more fully described in the Rights Agreement), each right will entitle the holder (other than the person who acquired 15 percent or more of the outstanding common stock) to purchase common stock of the Company having a market value equal to twice the exercise price of a right. The rights are redeemable under certain circumstances at $.001 per right and will expire, unless earlier redeemed, on March 2, 2016.

          Stock Compensation Plans The Stock Compensation Plans in the Consolidated Statements of Changes in Shareholders’ Equity consist of the balance of amounts payable to eligible participants for stock compensation that was deferred to a Rabbi Trust pursuant to the provisions of the 2010 Master Stock Incentive Plan, as well as performance awards payable in common stock discussed further in Note I.

          Treasury Stock The Board of Directors authorized the repurchase, at the Company’s discretion, of up to 15.0 million shares of common stock under the Company’s stock repurchase plan dated September 27, 2013. As of July 31, 2014, the Company had remaining authorization to repurchase 8.5 million shares under this plan. Following is a summary of treasury stock share activity for Fiscal 2014 and 2013:

 

 

 

 

 

 

 

 

 

 

2014

 

2013

 

Beginning balance

 

 

5,490,725

 

 

3,980,832

 

Stock repurchases

 

 

6,795,545

 

 

2,986,794

 

Net issuance upon exercise of stock options

 

 

(863,249

)

 

(1,288,560

)

Issuance under compensation plans

 

 

(175,160

)

 

(174,408

)

Other activity

 

 

(10,339

)

 

(13,933

)

Ending balance

 

 

11,237,522

 

 

5,490,725

 

49


Table of Contents

NOTE H Accumulated Other Comprehensive Loss

          In the first quarter of Fiscal 2014, the Company prospectively adopted guidance issued by the FASB that requires additional disclosure related to the impact of reclassification adjustments out of accumulated other comprehensive income or loss on net income. Changes in accumulated other comprehensive loss by component are as follows:

 

 

 

 

 

 

 

 

 

 

 

 

 

 

(Thousands of dollars)

 

Foreign
currency
translation
adjustment
(a)

 

Pension
benefits

 

Derivative
financial
instruments

 

Total

 

 

Balance as of July 31, 2013, net of tax

 

$

50,411

 

$

(87,712

)

$

(172

)

$

(37,473

)

Other comprehensive (loss) income before reclassifications and tax

 

 

(2,949

)

 

(16,120

)

 

413

 

 

(18,656

)

Tax benefit (expense)

 

 

 

 

4,391

 

 

(145

)

 

4,246

 

Other comprehensive (loss) income before reclassifications, net of tax

 

$

(2,949

)

$

(11,729

)

$

268

 

 

(14,410

)

Reclassifications, before tax

 

 

827

 

 

8,514

 

 

(273

)

 

9,068

 

Tax benefit (expense)

 

 

 

 

(3,071

)

 

76

 

 

(2,995

)

Reclassifications, net of tax

 

 

827

 

 

5,443

(b)

 

(197

)

 

6,073

 

Other comprehensive (loss) income, net of tax

 

 

(2,122

)

 

(6,286

)

 

71

(c)

 

(8,337

)

Balance as of July 31, 2014, net of tax

 

$

48,289

 

$

(93,998

)

$

(101

)

$

(45,810

)


 

 

 

(a)

Taxes are not provided on cumulative translation adjustments as substantially all translation adjustments relate to earnings that are intended to be indefinitely reinvested outside the U.S. Amounts were reclassified from accumulated other comprehensive loss to other income, net.

 

 

(b)

Primarily includes net amortization of prior service costs and actuarial losses included in net periodic benefit cost (see Note F) that were reclassified from accumulated other comprehensive loss to operating expenses or cost of sales.

 

 

(c)

Relates to foreign currency cash flow hedges that were reclassified from accumulated other comprehensive loss to other income, net (see Note E).

NOTE I Stock Option Plans

          Employee Incentive Plans In November 2010, shareholders approved the 2010 Master Stock Incentive Plan (the Plan). The Plan extends through September 2020 and allows for the granting of nonqualified stock options, incentive stock options, restricted stock, restricted stock units, stock appreciation rights (SAR), dividend equivalents, and other stock-based awards. Options under the Plan are granted to key employees at market price at the date of grant. Options are generally exercisable for up to 10 years from the date of grant. The Plan also allows for the granting of performance awards to a limited number of key executives. As administered by the Human Resources Committee of the Company’s Board of Directors to date, these performance awards are payable in common stock and are based on a formula which measures performance of the Company over a three-year period. Performance award expense under these plans totaled $0.7 million in Fiscal 2014, $0.1 million in Fiscal 2013, and $1.9 million in Fiscal 2012.

          Stock options for non-executives are exercisable in equal increments over three years. Stock options issued after Fiscal 2010 become exercisable for executives in equal increments over three years. Stock options issued from Fiscal 2004 to Fiscal 2010 became exercisable for most executives immediately upon the date of grant. For Fiscal 2014, the Company recorded pre-tax compensation expense associated with stock options of $9.9 million and recorded $3.2 million of related tax benefit. For Fiscal 2013 and 2012, the Company recorded pre-tax compensation expense associated with stock options of $8.3 million and $7.8 million, respectively, and $2.7 million and $2.5 million, respectively, of related tax benefit.

50


Table of Contents

          Stock-based employee compensation cost is recognized using the fair-value based method. The Company determined the fair value of these awards using the Black-Scholes option pricing model, with the following weighted average assumptions:

 

 

 

 

 

 

 

 

 

 

 

 

 

2014

 

2013

 

2012

 

Risk - free interest rate

 

 

0.31 - 2.8

%

 

0.02 - 1.7

%

 

0.10 - 1.8

%

Expected volatility

 

 

18.2 - 28.0

%

 

22.5 - 29.7

%

 

25.8 - 31.9

%

Expected dividend yield

 

 

1.4 - 1.6

%

 

1.0 - 1.4

%

 

1.0

%

Expected life

 

 

 

 

 

 

 

 

 

 

Director and officer grants

 

 

8 years

 

 

8 years

 

 

8 years

 

Non - officer original grants

 

 

7 years

 

 

7 years

 

 

7 years

 

Reload grants

 

 

≤6 years

 

 

≤5 years

 

 

≤8 years

 

          Black-Scholes is a widely accepted stock option pricing model. The weighted average fair value for options granted during Fiscal 2014, 2013, and 2012 was $11.44, $8.18, and $9.37 per share, respectively, using the Black-Scholes pricing model.

          Reload grants are grants made to officers or directors who exercised a reloadable option during the fiscal year and made payment of the purchase price using shares of previously owned Company stock. The reload grant is for the number of shares equal to the shares used in payment of the purchase price and/or withheld for minimum tax withholding. Options with a reload provision were no longer issued to officers with more than five years of service and all directors beginning in Fiscal 2006. The Company continued to issue options with a reload provision to officers with less than five years of service until Fiscal 2011 when this was discontinued.

          The following table summarizes stock option activity:

 

 

 

 

 

 

 

 

 

 

Options
Outstanding

 

Weighted
Average
Exercise Price

 

Outstanding at July 31, 2011

 

 

8,387,994

 

$

17.72

 

Granted

 

 

1,082,979

 

 

34.76

 

Exercised

 

 

(1,379,827

)

 

11.90

 

Canceled

 

 

(34,819

)

 

27.45

 

Outstanding at July 31, 2012

 

 

8,056,327

 

 

20.97

 

Granted

 

 

965,050

 

 

33.91

 

Exercised

 

 

(1,607,081

)

 

14.79

 

Canceled

 

 

(84,476

)

 

33.94

 

Outstanding at July 31, 2013

 

 

7,329,820

 

 

23.88

 

Granted

 

 

900,073

 

 

42.17

 

Exercised

 

 

(1,008,848

)

 

18.80

 

Canceled

 

 

(23,163

)

 

34.02

 

Outstanding at July 31, 2014

 

 

7,197,882

 

 

26.84

 

          The total intrinsic value of options exercised during Fiscal 2014, 2013, and 2012 was $21.5 million, $33.7 million, and $29.5 million, respectively.

          Shares reserved at July 31, 2014 for outstanding options and future grants were 12,599,147. Shares reserved consist of shares available for grant plus all outstanding options.

51


Table of Contents

          The following table summarizes information concerning outstanding and exercisable options as of July 31, 2014:

 

 

 

 

 

 

 

 

 

 

 

 

 

 

 

 

 

 

Range of Exercise Prices

 

Number
Outstanding

 

Weighted
Average
Remaining
Contractual
Life (Years)

 

Weighted
Average
Exercise
Price

 

Number
Exercisable

 

Weighted
Average
Exercise
Price

 

$0.00 to $16.69

 

 

1,003,381

 

 

1.18

 

$

15.93

 

 

1,003,381

 

$

15.93

 

$16.70 to $22.69

 

 

2,197,543

 

 

4.12

 

 

19.13

 

 

2,197,543

 

 

19.13

 

$22.70 to $28.69

 

 

400,114

 

 

3.41

 

 

22.97

 

 

400,114

 

 

22.97

 

$28.70 to $34.69

 

 

1,839,809

 

 

7.25

 

 

31.58

 

 

1,254,101

 

 

30.59

 

$34.70 and above

 

 

1,757,035

 

 

8.10

 

 

38.64

 

 

622,680

 

 

35.52

 

 

 

 

7,197,882

 

 

5.44

 

 

26.84

 

 

5,477,819

 

 

23.31

 

          At July 31, 2014, the aggregate intrinsic value of shares outstanding and exercisable was $89.0 million and $84.9 million, respectively.

          The following table summarizes the status of options which contain vesting provisions:

 

 

 

 

 

 

 

 

 

 

Options

 

Weighted
Average Grant
Date Fair
Value

 

Non - vested at July 31, 2013

 

 

1,805,803

 

$

9.18

 

Granted

 

 

849,850

 

 

11.63

 

Vested

 

 

(915,677

)

 

9.24

 

Canceled

 

 

(19,913

)

 

9.47

 

Non - vested at July 31, 2014

 

 

1,720,063

 

 

10.35

 

          The total fair value of shares vested during Fiscal 2014, 2013, and 2012 was $35.5 million, $29.8 million, and $19.5 million, respectively.

          As of July 31, 2014, there was $7.7 million of total unrecognized compensation cost related to non-vested stock options granted under the Plan. This unvested cost is expected to be recognized during Fiscal 2015, Fiscal 2016, and Fiscal 2017.

NOTE J Income Taxes

          The components of earnings before income taxes are as follows:

 

 

 

 

 

 

 

 

 

 

 

 

 

2014

 

2013

 

2012

 

 

 

(thousands of dollars)

 

Earnings before income taxes:

 

 

 

 

 

 

 

 

 

 

United States

 

$

131,396

 

$

147,317

 

$

171,101

 

Foreign

 

 

229,307

 

 

200,864

 

 

199,679

 

Total

 

$

360,703

 

$

348,181

 

$

370,780

 

          The components of the provision for income taxes are as follows:

 

 

 

 

 

 

 

 

 

 

 

 

 

2014

 

2013

 

2012

 

 

 

(thousands of dollars)

 

Income taxes:

 

 

 

 

 

 

 

 

 

 

Current

 

 

 

 

 

 

 

 

 

 

Federal

 

$

48,981

 

$

35,820

 

$

45,468

 

State

 

 

4,724

 

 

4,337

 

 

4,012

 

Foreign

 

 

54,536

 

 

52,300

 

 

50,655

 

 

 

 

108,241

 

 

92,457

 

 

100,135

 

Deferred

 

 

 

 

 

 

 

 

 

 

Federal

 

 

(9,465

)

 

7,071

 

 

7,391

 

State

 

 

365

 

 

312

 

 

722

 

Foreign

 

 

1,338

 

 

964

 

 

(1,769

)

 

 

 

(7,762

)

 

8,347

 

 

6,344

 

Total

 

$

100,479

 

$

100,804

 

$

106,479

 

52


Table of Contents

          The following table reconciles the U.S. statutory income tax rate with the effective income tax rate:

 

 

 

 

 

 

 

 

 

 

 

 

 

2014

 

2013

 

2012

 

Statutory U.S. federal rate

 

 

35.0

%

 

35.0

%

 

35.0

%

State income taxes

 

 

1.1

%

 

1.2

%

 

1.2

%

Foreign operations

 

 

(6.1

)%

 

(6.3

)%

 

(5.2

)%

Export, manufacturing, and research credits

 

 

(0.8

)%

 

(1.5

)%

 

(1.0

)%

Change in unrecognized tax benefits

 

 

(1.1

)%

 

0.5

%

 

(1.0

)%

Other

 

 

(0.2

)%

 

0.1

%

 

(0.3

)%

 

 

 

27.9

%

 

29.0

%

 

28.7

%

          The tax effects of temporary differences that give rise to deferred tax assets and liabilities are as follows:

 

 

 

 

 

 

 

 

 

 

2014

 

2013

 

 

 

(thousands of dollars)

 

Deferred tax assets:

 

 

 

 

 

 

 

Accrued expenses

 

$

11,118

 

$

11,580

 

Compensation and retirement plans

 

 

32,317

 

 

23,578

 

NOL and tax credit carryforwards

 

 

3,471

 

 

3,279

 

LIFO and inventory reserves

 

 

5,482

 

 

5,037

 

Other

 

 

4,470

 

 

3,890

 

Deferred tax assets, gross

 

 

56,858

 

 

47,364

 

Valuation allowance

 

 

(3,471

)

 

(3,228

)

Net deferred tax assets

 

 

53,387

 

 

44,136

 

Deferred tax liabilities:

 

 

 

 

 

 

 

Depreciation and amortization

 

 

(49,901

)

 

(45,737

)

Other

 

 

(1,025

)

 

(663

)

Deferred tax liabilities

 

 

(50,926

)

 

(46,400

)

Prepaid tax assets

 

 

4,392

 

 

4,015

 

Net tax asset

 

$

6,853

 

$

1,751

 

          Deferred income tax assets on the face of the balance sheet include $4.4 million and $4.0 million of prepaid tax assets related to intercompany transfers of inventory as of July 31, 2014 and 2013, respectively.

          The effective tax rate for Fiscal 2014 was 27.9 percent compared to 29.0 percent in Fiscal 2013. The decrease in the effective tax rate is primarily due to the favorable settlement of a tax audit, the remeasurement of certain deferred tax assets due to a change in tax rates in certain foreign jurisdictions, and a favorable shift in the mix of earnings between tax jurisdictions. This was partially offset by tax costs associated with foreign dividend distributions and the expiration of the Research and Experimentation Credit in the U.S. in the current year.

          The Company has not provided for U.S. income taxes on additional undistributed earnings of non-U.S. subsidiaries of approximately $914.0 million. The Company currently intends to indefinitely reinvest these undistributed earnings as there are significant investment opportunities outside the U.S. or to repatriate the earnings only when it is tax effective to do so. If any portion were to be distributed, the related U.S. tax liability may be reduced by foreign income taxes paid on those earnings plus any available foreign tax credit carryovers. Determination of the unrecognized deferred tax liability related to these undistributed earnings is not practicable. In August 2014, the Company repatriated $52.4 million of cash held by its foreign subsidiaries in the form of a cash dividend. This dividend represented a portion of the total planned dividends for Fiscal 2015. At this time, the Company anticipates the net tax impact of the Fiscal 2015 dividends to be tax neutral.

53


Table of Contents

          The Company maintains a reserve for uncertain tax benefits. The accounting standard defines the threshold for recognizing the benefits of tax return positions in the financial statements as “more-likely-than-not” to be sustained by the taxing authorities based solely on the technical merits of the position. If the recognition threshold is met, the tax benefit is measured and recognized as the largest amount of tax benefit that in the Company’s judgment is greater than 50 percent likely to be realized. A reconciliation of the beginning and ending amount of gross unrecognized tax benefits is as follows:

 

 

 

 

 

 

 

 

 

 

 

 

 

2014

 

2013

 

2012

 

 

 

(thousands of dollars)

 

Gross unrecognized tax benefits at beginning of fiscal year

 

$

18,419

 

$

16,514

 

$

20,005

 

Additions for tax positions of the current year

 

 

2,959

 

 

5,453

 

 

3,323

 

Additions for tax positions of prior years

 

 

1,706

 

 

407

 

 

261

 

Reductions for tax positions of prior years

 

 

(7,113

)

 

(1,640

)

 

(4,462

)

Settlements

 

 

(240

)

 

(277

)

 

 

Reductions due to lapse of applicable statute of limitations

 

 

(726

)

 

(2,038

)

 

(2,613

)

Gross unrecognized tax benefits at end of fiscal year

 

$

15,005

 

$

18,419

 

$

16,514

 

          The Company recognizes interest and penalties accrued related to unrecognized tax benefits in income tax expense. During the fiscal year ended July 31, 2014, the Company recognized interest expense, net of tax benefit, of approximately $0.3 million. At July 31, 2014 and July 31, 2013, accrued interest and penalties on a gross basis were $1.7 million and $1.1 million, respectively.

          The Company files income tax returns in the U.S. federal jurisdiction and various state and foreign jurisdictions. With few exceptions, the Company is no longer subject to state and foreign income tax examinations by tax authorities for years before 2008. The IRS has completed examinations of the company’s U.S. federal income tax returns through 2012.

          If the Company were to prevail on all unrecognized tax benefits recorded, substantially all of the unrecognized tax benefits would benefit the effective tax rate. With an average statute of limitations of about 5 years, up to $1.0 million of the unrecognized tax benefits could potentially expire in the next 12 month period, unless extended by audit. It is possible that quicker than expected settlement of either current or future audits and disputes would cause additional reversals of previously recorded reserves in the next 12 month period. Currently, the Company has approximately $0.2 million of unrecognized tax benefits that are in formal dispute with various taxing authorities related to transfer pricing and deductibility of expenses. Quantification of an estimated range and timing of future audit settlements cannot be made at this time.

NOTE K Segment Reporting

          Consistent with FASB guidance related to segment reporting, the Company identified two reportable segments: Engine Products and Industrial Products. Segment selection was based on the internal organizational structure, management of operations, and performance evaluation by management and the Company’s Board of Directors.

          The Engine Products segment sells to original equipment manufacturers (OEM) in the construction, mining, agriculture, aerospace, defense, and truck markets, and to independent distributors, OEM dealer networks, private label accounts, and large equipment fleets. Products include air filtration systems, exhaust and emissions systems, liquid filtration systems including hydraulics, fuel and lube, and replacement filters.

          The Industrial Products segment sells to various industrial dealers, distributors, OEMs of gas-fired turbines, and OEMs and end-users requiring clean air. Products include dust, fume, and mist collectors, compressed air purification systems, air filtration systems for gas turbines, PTFE membrane-based products, and specialized air and gas filtration systems for applications including computer hard disk drives and semi-conductor manufacturing.

          Corporate and Unallocated includes corporate expenses determined to be non-allocable to the segments such as interest income and interest expense. Assets included in Corporate and Unallocated principally are cash and cash equivalents, inventory reserves, certain prepaids, certain investments, other assets, and assets allocated to general corporate purposes.

54


Table of Contents

          The Company has an internal measurement system to evaluate performance and allocate resources based on profit or loss from operations before income taxes. The Company’s manufacturing facilities serve both reporting segments. Therefore, the Company uses an allocation methodology to assign costs and assets to the segments. A certain amount of costs and assets relate to general corporate purposes and are not assigned to either segment. The accounting policy applied to inventory for the reportable segments differs from that described in the summary of significant accounting policies. The reportable segments account for inventory on a standard cost basis, which is consistent with our internal reporting.

          Segment allocated assets are primarily accounts receivable, inventories, property, plant, and equipment, and goodwill. Reconciling items included in Corporate and Unallocated are created based on accounting differences between segment reporting and the consolidated, external reporting as well as internal allocation methodologies.

          The Company is an integrated enterprise, characterized by substantial intersegment cooperation, cost allocations, and sharing of assets. Therefore, the Company does not represent that these segments, if operated independently, would report the operating profit and other financial information shown below.

          Segment detail is summarized as follows:

 

 

 

 

 

 

 

 

 

 

 

 

 

 

 

 

Engine
Products

 

Industrial
Products

 

Corporate &
Unallocated

 

Total
Company

 

 

 

(thousands of dollars)

 

2014

 

 

 

 

 

 

 

 

 

 

 

 

 

Net sales

 

$

1,584,027

 

$

889,439

 

$

 

$

2,473,466

 

Depreciation and amortization

 

 

38,925

 

 

23,942

 

 

4,296

 

 

67,163

 

Equity earnings in unconsolidated affiliates

 

 

5,596

 

 

940

 

 

 

 

6,536

 

Earnings before income taxes

 

 

233,920

 

 

133,978

 

 

(7,195

)

 

360,703

 

Assets

 

 

900,083

 

 

572,000

 

 

470,328

 

 

1,942,411

 

Equity investments in unconsolidated affiliates

 

 

17,439

 

 

3,959

 

 

 

 

21,398

 

Capital expenditures

 

 

56,340

 

 

34,652

 

 

6,218

 

 

97,210

 

2013

 

 

 

 

 

 

 

 

 

 

 

 

 

Net sales

 

$

1,504,188

 

$

932,760

 

$

 

$

2,436,948

 

Depreciation and amortization

 

 

35,815

 

 

22,447

 

 

6,028

 

 

64,290

 

Equity earnings in unconsolidated affiliates

 

 

4,000

 

 

693

 

 

 

 

4,693

 

Earnings before income taxes

 

 

220,892

 

 

139,108

 

 

(11,819

)

 

348,181

 

Assets

 

 

826,151

 

 

527,416

 

 

389,989

 

 

1,743,556

 

Equity investments in unconsolidated affiliates

 

 

15,563

 

 

3,277

 

 

 

 

18,840

 

Capital expenditures

 

 

52,864

 

 

33,134

 

 

8,897

 

 

94,895

 

2012

 

 

 

 

 

 

 

 

 

 

 

 

 

Net sales

 

$

1,570,140

 

$

923,108

 

$

 

$

2,493,248

 

Depreciation and amortization

 

 

36,646

 

 

18,852

 

 

5,667

 

 

61,165

 

Equity earnings in unconsolidated affiliates

 

 

3,966

 

 

769

 

 

 

 

4,735

 

Earnings before income taxes

 

 

227,941

 

 

149,249

 

 

(6,410

)

 

370,780

 

Assets

 

 

845,176

 

 

520,739

 

 

364,167

 

 

1,730,082

 

Equity investments in unconsolidated affiliates

 

 

17,304

 

 

2,822

 

 

 

 

20,126

 

Capital expenditures

 

 

46,816

 

 

24,083

 

 

7,240

 

 

78,139

 

55


Table of Contents

          Following are net sales by product within the Engine Products segment and Industrial Products segment:

 

 

 

 

 

 

 

 

 

 

 

 

 

2014

 

2013

 

2012

 

 

 

(thousands of dollars)

 

Engine Products segment:

 

 

 

 

 

 

 

 

 

 

Off-Road Products

 

$

342,205

 

$

358,834

 

$

376,870

 

On-Road Products

 

 

130,029

 

 

128,446

 

 

163,934

 

Aftermarket Products*

 

 

1,012,165

 

 

912,717

 

 

922,660

 

Aerospace and Defense Products

 

 

99,628

 

 

104,191

 

 

106,676

 

Total Engine Products segment

 

 

1,584,027

 

 

1,504,188

 

 

1,570,140

 

Industrial Products segment:

 

 

 

 

 

 

 

 

 

 

Industrial Filtration Solutions Products

 

 

553,356

 

 

529,751

 

 

553,453

 

Gas Turbine Products

 

 

156,860

 

 

232,922

 

 

180,669

 

Special Applications Products

 

 

179,223

 

 

170,087

 

 

188,986

 

Total Industrial Products segment

 

 

889,439

 

 

932,760

 

 

923,108

 

Total Company

 

$

2,473,466

 

$

2,436,948

 

$

2,493,248

 


 

 

 

 

*

Includes replacement part sales to the Company’s OEM Customers.

          Geographic sales by origination and property, plant, and equipment:

 

 

 

 

 

 

 

 

 

 

Net Sales

 

Property, Plant, &
Equipment – Net

 

 

 

(thousands of dollars)

 

2014

 

 

 

 

 

 

 

United States

 

$

1,019,926

 

$

196,712

 

Europe

 

 

728,554

 

 

128,904

 

Asia - Pacific

 

 

517,305

 

 

72,089

 

Other

 

 

207,681

 

 

53,960

 

Total

 

$

2,473,466

 

$

451,665

 

 

 

 

 

 

 

 

 

2013

 

 

 

 

 

 

 

United States

 

$

1,010,934

 

$

166,614

 

Europe

 

 

678,996

 

 

123,710

 

Asia - Pacific

 

 

546,406

 

 

75,206

 

Other

 

 

200,612

 

 

53,750

 

Total

 

$

2,436,948

 

$

419,280

 

 

 

 

 

 

 

 

 

2012

 

 

 

 

 

 

 

United States

 

$

1,064,474

 

$

146,328

 

Europe

 

 

678,619

 

 

114,266

 

Asia - Pacific

 

 

572,163

 

 

80,200

 

Other

 

 

177,992

 

 

44,115

 

Total

 

$

2,493,248

 

$

384,909

 

          Concentrations There were no Customers over 10 percent of net sales during Fiscal 2014, 2013, and 2012. There were no Customers over 10 percent of gross accounts receivable in Fiscal 2014 or Fiscal 2013.

NOTE L Guarantees

          The Company and Caterpillar Inc. equally own the shares of Advanced Filtration Systems Inc. (AFSI), an unconsolidated joint venture, and guarantee certain debt of the joint venture. As of July 31, 2014, the joint venture had $28.7 million of outstanding debt, of which the Company guarantees half. In addition, during Fiscal 2014, 2013, and 2012, the Company recorded its equity in earnings of this equity method investment of $3.7 million, $2.3 million, and $2.0 million and royalty income of $6.8 million, $6.0 million, and $6.2 million, respectively, related to AFSI.

56


Table of Contents

          At July 31, 2014 and 2013, the Company had a contingent liability for standby letters of credit totaling $7.8 million and $12.2 million, respectively, which have been issued and are outstanding. The letters of credit guarantee payment to third parties in the event the Company is in breach of a specified bond financing agreement and insurance contract terms as detailed in each letter of credit. At July 31, 2014 and 2013, there were no amounts drawn upon these letters of credit.

NOTE M Warranty

          The Company provides for warranties on certain products. In addition, the Company may incur specific Customer warranty issues. Following is a reconciliation of warranty reserves (in thousands of dollars):

 

 

 

 

 

Balance at July 31, 2012

 

$

10,905

 

Accruals for warranties issued during the reporting period

 

 

5,940

 

Accruals related to pre-existing warranties (including changes in estimates)

 

 

(1,081

)

Less settlements made during the period

 

 

(5,238

)

Balance at July 31, 2013

 

$

10,526

 

Accruals for warranties issued during the reporting period

 

 

4,339

 

Accruals related to pre-existing warranties (including changes in estimates)

 

 

(1,185

)

Less settlements made during the period

 

 

(4,651

)

Balance at July 31, 2014

 

$

9,029

 

          There were no significant specific warranty matters accrued for in Fiscal 2014 or Fiscal 2013. These warranty matters are not expected to have a material impact on the Company’s results of operations, liquidity, or financial position. There were no significant settlements made in Fiscal 2014 or Fiscal 2013.

NOTE N Commitments and Contingencies

          Operating Leases The Company enters into operating leases primarily for office and warehouse facilities, production and non-production equipment, automobiles, and computer equipment. Total expense recorded under operating leases for the periods ended July 31, 2014 and 2013 were $28.0 million and $27.5 million, respectively. Future commitments under operating leases are: $12.9 million in Fiscal 2015, $8.5 million in Fiscal 2016, $5.0 million in Fiscal 2017, $3.5 million in Fiscal 2018, $1.5 million in Fiscal 2019, and $0.1 million thereafter.

          Litigation The Company records provisions with respect to identified claims or lawsuits when it is probable that a liability has been incurred and the amount of the loss can be reasonably estimated. Claims and lawsuits are reviewed quarterly and provisions are taken or adjusted to reflect the status of a particular matter. The Company believes the recorded reserves in its consolidated financial statements are adequate in light of the probable and estimable outcomes. The recorded liabilities were not material to the Company’s financial position, results of operations, or liquidity and the Company does not believe that any of the currently identified claims or litigation will materially affect its financial position, results of operations, or liquidity.

57


Table of Contents

NOTE O Quarterly Financial Information (Unaudited)

 

 

 

 

 

 

 

 

 

 

 

 

 

 

 

 

First
Quarter

 

Second
Quarter

 

Third
Quarter

 

Fourth
Quarter

 

 

 

(thousands of dollars)

 

2014

 

 

 

 

 

 

 

 

 

 

 

 

 

Net sales

 

$

599,384

 

$

581,622

 

$

624,234

 

$

668,226

 

Gross profit

 

 

214,394

 

 

201,648

 

 

223,461

 

 

238,323

 

Net earnings

 

 

61,592

 

 

58,340

 

 

67,336

 

 

72,956

 

Basic earnings per share

 

 

0.42

 

 

0.40

 

 

0.46

 

 

0.51

 

Diluted earnings per share

 

 

0.41

 

 

0.39

 

 

0.46

 

 

0.50

 

Dividends declared per share

 

 

0.140

 

 

0.140

 

 

0.165

 

 

0.165

 

Dividends paid per share

 

 

0.130

 

 

0.140

 

 

0.140

 

 

0.165

 

2013

 

 

 

 

 

 

 

 

 

 

 

 

 

Net sales

 

$

588,947

 

$

596,036

 

$

619,371

 

$

632,594

 

Gross profit

 

 

198,293

 

 

198,977

 

 

221,501

 

 

228,356

 

Net earnings

 

 

54,113

 

 

50,813

 

 

69,842

 

 

72,609

 

Basic earnings per share

 

 

0.36

 

 

0.34

 

 

0.47

 

 

0.49

 

Diluted earnings per share

 

 

0.36

 

 

0.34

 

 

0.46

 

 

0.48

 

Dividends declared per share

 

 

0.090

 

 

0.100

 

 

0.130

 

 

0.130

 

Dividends paid per share

 

 

0.090

 

 

0.090

 

 

0.100

 

 

0.130

 

NOTE P Subsequent Events

          On August 14, 2014, the Company announced that it entered into an agreement to acquire 100 percent of the voting equity interests in Northern Technical L.L.C., a manufacturer of gas turbine inlet air filtration systems and replacement filters. The acquisition of Northern Technical reinforces the Company’s commitment to growth with a company that is an excellent strategic fit with its existing Gas Turbine Products business. The acquisition will allow Donaldson to leverage Northern Technical’s strong Customer relationships in the Middle East, the largest gas turbine market in the world, with significant continued growth expected over the next decade. The acquisition is expected to close in the first quarter of Fiscal 2015, subject to normal closing conditions.

Item 9. Changes in and Disagreements with Accountants on Accounting and Financial Disclosure

          None.

Item 9A. Controls and Procedures

Evaluation of Disclosure Controls and Procedures

          As of the end of the period covered by this report (the Evaluation Date), the Company carried out an evaluation, under the supervision and with the participation of management, including the Chief Executive Officer and the Chief Financial Officer, of the effectiveness of the design and operation of the Company’s disclosure controls and procedures (as defined in Rule 13a-15(e) of the Exchange Act). Based upon that evaluation, the Chief Executive Officer and Chief Financial Officer concluded that, as of the Evaluation Date, the Company’s disclosure controls and procedures were effective to ensure that information required to be disclosed by the Company in the reports that it files or submits under the Exchange Act is (i) recorded, processed, summarized and reported within the time periods specified in applicable rules and forms, and (ii) accumulated and communicated to our management, including our Chief Executive Officer and Chief Financial Officer, to allow timely decisions regarding required disclosure.

Changes in Internal Control over Financial Reporting

          No change in the Company’s internal control over financial reporting (as defined in Rule 13a-15(f) of the Exchange Act) identified in connection with such evaluation during the fiscal quarter ended July 31, 2014, has materially affected, or is reasonably likely to materially affect, the Company’s internal control over financial reporting.

58


Table of Contents

          The Company is in the process of a multi-year implementation of a Global ERP Project. In the second quarter of Fiscal 2014, the Company began deploying the system in certain operations, primarily in the Americas. The deployment continued in the second half of Fiscal 2014 to additional operations also in the Americas. In Fiscal 2015, the Company expects this system will continue to be deployed further in the Americas and Europe. In response to business integration activities related to the new system, the Company will align and streamline the design and operation of the financial reporting controls environment to be responsive to the changing operating environment.

Management’s Report on Internal Control over Financial Reporting

          See Management’s Report on Internal Control over Financial Reporting under Item 8 on page 27.

Report of Independent Registered Public Accounting Firm

          See Report of Independent Registered Public Accounting Firm under Item 8 on page 28.

Item 9B. Other Information

          None.

PART III

Item 10. Directors, Executive Officers, and Corporate Governance

          The information under the captions “Item 1: Election of Directors”; “Director Selection Process,” “Audit Committee,” “Audit Committee Expertise; Complaint-Handling Procedures,” and “Section 16(a) Beneficial Ownership Reporting Compliance” of the 2014 Proxy Statement is incorporated herein by reference. Information on the Executive Officers of the Company is found under the caption “Executive Officers of the Registrant” on page 7 of this Annual Report on Form 10-K.

          The Company has adopted a code of business conduct and ethics in compliance with applicable rules of the Securities and Exchange Commission that applies to its principal executive officer, its principal financial officer and its principal accounting officer or controller, or persons performing similar functions. A copy of the code of business conduct and ethics is posted on the Company’s website at www.donaldson.com. The code of business conduct and ethics is available in print, free of charge to any shareholder who requests it. The Company will disclose any amendments to, or waivers of, the code of business conduct and ethics for the Company’s principal executive officer, principal financial officer, and principal accounting officer on the Company’s website.

Item 11. Executive Compensation

          The information under the captions “Executive Compensation” and “Director Compensation” of the 2014 Proxy Statement is incorporated herein by reference.

59


Table of Contents

Item 12. Security Ownership of Certain Beneficial Owners and Management and Related Stockholder Matters

          The information under the caption “Security Ownership” of the 2014 Proxy Statement is incorporated herein by reference.

          The following table sets forth information as of July 31, 2014 regarding the Company’s equity compensation plans:

 

 

 

 

 

 

 

 

 

 

 

Plan Category

 

Number of securities
to be issued upon exercise
of outstanding options,
warrants, and rights

 

Weighted - average
exercise price of
outstanding options,
warrants, and rights

 

Number of securities
remaining available for
future issuance under
equity compensation
plans (excluding
securities reflected in
column (a))

 

 

 

(a)

 

(b)

 

(c)

 

Equity compensation plans approved by security holders:

 

 

 

 

 

 

 

 

 

 

1980 Master Stock Compensation Plan:

 

 

 

 

 

 

 

 

 

 

Deferred Stock Gain Plan

 

 

44,312

 

$

8.1173

 

 

 

1991 Master Stock Compensation Plan:

 

 

 

 

 

 

 

 

 

 

Deferred Stock Option Gain Plan

 

 

527,737

 

$

19.3285

 

 

 

Deferred LTC/Restricted Stock

 

 

200,760

 

$

12.7226

 

 

 

2001 Master Stock Incentive Plan:

 

 

 

 

 

 

 

 

 

 

Stock Options

 

 

3,166,009

 

$

19.3330

 

 

 

Deferred LTC/Restricted Stock

 

 

238,861

 

$

18.9174

 

 

 

2010 Master Stock Incentive Plan:

 

 

 

 

 

 

 

 

 

 

Stock Options

 

 

2,936,465

 

$

34.9944

 

 

See Note 1

 

Stock Options for Non-Employee Directors

 

 

517,712

 

 

34.7748

 

 

 

 

Long-Term Compensation

 

 

52,128

 

$

32.6187

 

 

 

Subtotal for plans approved by security holders

 

 

7,683,984

 

$

26.1980

 

 

 

 

Equity compensation plans not approved by security holders:

 

 

 

 

 

 

 

 

 

 

Non-qualified Stock Option Program for Non-Employee Directors

 

 

577,696

 

$

19.4558

 

 

See Note 2

 

ESOP Restoration

 

 

35,367

 

$

7.5708

 

 

See Note 3

 

Subtotal for plans not approved by security holders

 

 

613,063

 

 

18.7702

 

 

 

 

Total

 

 

8,297,047

 

 

25.6491

 

 

 

 


Note 1: The 2010 Master Stock Incentive Plan limits the number of shares authorized for issuance to 9,200,000 during the 10-year term of the plan in addition to any shares forfeited under the 2001 plan. The Plan allows for the granting of nonqualified stock options, incentive stock options, restricted stock, restricted stock units, SAR, dividend equivalents, and other stock-based awards. There are currently 5,401,265 shares of the authorization remaining.
   
Note 2: The stock option program for non-employee directors (filed as exhibit 10-H to Form 10-Q report filed for the first quarter ended October 31, 2008) provides for each non-employee director to receive annual option grants of 14,400 shares. The 2010 Master Stock Incentive Plan, which was approved by the Company’s stockholders on November 19, 2010, provides for the issuance of stock options to non-employee directors, and the stock option program for non-employee directors has been adopted as a sub-plan under the 2010 Master Stock Incentive Plan and shares issued to directors after December 10, 2010 will be issued under the 2010 Master Stock Incentive Plan. Based on Mercer’s Director compensation review, the Committee approved changing the annual stock option grant from a fixed number of shares to a fixed value. The annual stock option grant will be based on a $140,000 fixed value. This change is designed to maintain a stable value of equity grant

 

60


Table of Contents

  for our Director compensation. The number of options granted will be determined by dividing the fixed value of $140,000 by the Black-Scholes value as of the date of the grant (the shares will be rounded to the nearest 100 shares). This change was effective for stock options granted beginning in January 2014.
   
Note 3: The Company has a non-qualified ESOP Restoration Plan established on August 1, 1990 (filed as exhibit 10-D to the Company’s 2009 Form 10-K report), to supplement the benefits for executive employees under the Company’s Employee Stock Ownership Plan that would otherwise be reduced because of the compensation limitations under the Internal Revenue Code. The ESOP’s 10-year term was completed on July 31, 1997 and the only ongoing benefits under the ESOP Restoration Plan are the accrual of dividend equivalent rights to the participants in the Plan.

Item 13. Certain Relationships and Related Transactions, and Director Independence

          The information under the captions “Policy and Procedures Regarding Transactions with Related Persons” and “Board Oversight and Director Independence” of the 2014 Proxy Statement is incorporated herein by reference.

Item 14. Principal Accounting Fees and Services

          The information under the captions “Independent Auditor Fees” and “Audit Committee Pre-Approval Policies and Procedures” of the 2014 Proxy Statement is incorporated herein by reference.

PART IV

Item 15. Exhibits, Financial Statement Schedules

          Documents filed with this report:

  (1) Financial Statements
     
    Report of Independent Registered Public Accounting Firm
     
    Consolidated Statements of Earnings — years ended July 31, 2014, 2013, and 2012
     
    Consolidated Statements of Comprehensive Income — years ended July 31, 2014, 2013, and 2012
     
    Consolidated Balance Sheets — July 31, 2014 and 2013
     
    Consolidated Statements of Cash Flows — years ended July 31, 2014, 2013, and 2012
     
    Consolidated Statements of Changes in Shareholders’ Equity — years ended July 31, 2014, 2013, and 2012
     
    Notes to Consolidated Financial Statements
     
  (2) Financial Statement Schedules —
     
    Schedule II Valuation and qualifying accounts
     
    All other schedules (Schedules I, III, IV and V) for which provision is made in the applicable accounting regulations of the Securities and Exchange Commission are not required under the related instruction, or are inapplicable, and therefore have been omitted.
     
  (3) Exhibits
     
    The exhibits listed in the accompanying index are filed as part of this report or incorporated by reference as indicated therein.

61


Table of Contents

SIGNATURES

          Pursuant to the requirements of Section 13 or 15(d) of the Securities Exchange Act of 1934, the registrant has duly caused this report to be signed on its behalf by the undersigned, thereunto duly authorized.

DONALDSON COMPANY, INC.

 

 

 

Date: September 26, 2014

By: 

/s/ William M. Cook

 

 

William M. Cook

 

 

Chief Executive Officer

          Pursuant to the requirements of the Securities Exchange Act of 1934, this report has been signed below by the following persons on behalf of the registrant and in the capacities indicated on September 26, 2014.

 

 

 

/s/ William M. Cook

 

President, Chief Executive Officer and Chairman

William M. Cook

 

(Principal Executive Officer)

 

 

 

*

 

Director, Chief Operating Officer

Tod E. Carpenter

 

 

 

 

 

/s/ James F. Shaw

 

Vice President and Chief Financial Officer

James F. Shaw

 

(Principal Financial Officer)

 

 

 

/s/ Melissa A. Osland

 

Controller

Melissa A. Osland

 

(Principal Accounting Officer)

 

 

 

*

 

Director

F. Guillaume Bastiaens

 

 

 

 

 

*

 

Director

Andrew Cecere

 

 

 

 

 

*

 

Director

Janet M. Dolan

 

 

 

 

 

*

 

Director

Michael J. Hoffman

 

 

 

 

 

*

 

Director

Paul David Miller

 

 

 

 

 

*

 

Director

Jeffrey Noddle

 

 

 

 

 

*

 

Director

Willard D. Oberton

 

 

 

 

 

*

 

Director

James J. Owens

 

 

 

 

 

*

 

Director

Ajita G. Rajendra

 

 

 

 

 

*

 

Director

John P. Wiehoff

 

 

 

 

 

*By: /s/ Amy C. Becker

 

 

Amy C. Becker

 

 

As attorney-in-fact

 

 

62


Table of Contents

SCHEDULE II - VALUATION AND QUALIFYING ACCOUNTS

DONALDSON COMPANY, INC. AND SUBSIDIARIES
(thousands of dollars)

 

 

 

 

 

 

 

 

 

 

 

 

 

 

 

 

 

 

 

 

 

Additions

 

 

 

 

 

Description

 

Balance at
Beginning of
Period

 

Charged to
Costs and
Expenses

 

Charged to
Other Accounts
(A)

 

Deductions
(B)

 

Balance at
End of
Period

 

Year ended July 31, 2014:

 

 

 

 

 

 

 

 

 

 

 

 

 

 

 

 

Allowance for doubtful accounts deducted from accounts receivable

 

$

7,040

 

$

393

 

$

(1

)

$

(669

)

$

6,763

 

Year ended July 31, 2013:

 

 

 

 

 

 

 

 

 

 

 

 

 

 

 

 

Allowance for doubtful accounts deducted from accounts receivable

 

$

6,418

 

$

1,241

 

$

230

 

$

(849

)

$

7,040

 

Year ended July 31, 2012:

 

 

 

 

 

 

 

 

 

 

 

 

 

 

 

 

Allowance for doubtful accounts deducted from accounts receivable

 

$

6,908

 

$

1,151

 

$

(676

)

$

(965

)

$

6,418

 


 

 

Note A - Allowance for doubtful accounts foreign currency translation losses (gains) recorded directly to equity.

Note B - Bad debts charged to allowance, net of reserves and changes in estimates.

63


Table of Contents

EXHIBIT INDEX
ANNUAL REPORT ON FORM 10-K

 

 

 

* 3-A

Restated Certificate of Incorporation of Registrant as currently in effect (Filed as Exhibit 3-A to Form 10-Q Report for the Second Quarter ended January 31, 2012)

*3-B

Certificate of Designation, Preferences and Rights of Series A Junior Participating Preferred Stock of Registrant, dated as of March 3, 2006 (Filed as Exhibit 3-B to 2011 Form 10-K Report)

* 3-C

Amended and Restated Bylaws of Registrant (as of January 30, 2009) (Filed as Exhibit 3-C to Form 10-Q Report for the Second Quarter ended January 31, 2009)

* 4

**

*4-A

Preferred Stock Amended and Restated Rights Agreement between Registrant and Wells Fargo Bank, N.A., as Rights Agent, dated as of January 27, 2006 (Filed as Exhibit 4-A to 2011 Form 10-K Report)

*10-A

Officer Annual Cash Incentive Plan (Filed as Exhibit 10-A to 2011 Form 10-K Report)***

*10-B

1980 Master Stock Compensation Plan as Amended (Filed as Exhibit 10-A to Form 10-Q Report filed for the first quarter ended October 31, 2008)***

*10-C

Form of Performance Award Agreement under 1991 Master Stock Compensation Plan (Filed as Exhibit 10-B to Form 10-Q Report filed for the first quarter ended October 31, 2008)***

*10-D

ESOP Restoration Plan (2003 Restatement) (Filed as Exhibit 10-D to 2009 Form 10-K Report)***

*10-E

Compensation Plan for Non-employee Directors as amended (Filed as Exhibit 10-C to Form 10-Q Report filed for the first quarter ended October 31, 2008)***

*10-F

Independent Director Retirement and Death Benefit Plan as amended (Filed as Exhibit 10-D to Form 10-Q Report filed for the first quarter ended October 31, 2008)***

*10-G

Supplemental Executive Retirement Plan (2008 Restatement) (Filed as Exhibit 10-G to 2011 Form 10-K Report)***

*10-H

1991 Master Stock Compensation Plan as amended (Filed as Exhibit 10-E to Form 10-Q Report filed for the first quarter ended October 31, 2008)***

*10-I

Form of Restricted Stock Award under 1991 Master Stock Compensation Plan (Filed as Exhibit 10-F to Form 10-Q Report filed for the first quarter ended October 31, 2008)***

*10-J

Form of Agreement to Defer Compensation for certain Executive Officers (Filed as Exhibit 10-G to Form 10-Q Report filed for the first quarter ended October 31, 2008)***

*10-K

Stock Option Program for Non-employee Directors (Filed as Exhibit 10-H to Form 10-Q Report filed for the first quarter ended October 31, 2008)***

*10-L

Note Purchase Agreement among Donaldson Company, Inc. and certain listed Insurance Companies Dated as of July 15, 1998 (Filed as Exhibit 10-I to Form 10-Q Report filed for the first quarter ended October 31, 2008)

*10-M

Second Supplement and First Amendment to Note Purchase Agreement among Donaldson Company, Inc. and certain listed Insurance Companies dated as of September 30, 2004 (Filed as Exhibit 10-N to 2010 Form 10-K Report)

*10-N

2001 Master Stock Incentive Plan (Filed as Exhibit 10-O to 2009 Form 10-K Report)***

*10-O

Form of Officer Stock Option Award Agreement under the 2001 Master Stock Incentive Plan (Filed as Exhibit 10-P to 2010 Form 10-K Report)***

*10-P

Form of Non-Employee Director Non-Qualified Stock Option Agreement under the 2001 Master Stock Incentive Plan (Filed as Exhibit 10-Q to 2010 Form 10-K Report)***

*10-Q

Restated Compensation Plan for Non-Employee Directors dated July 28, 2006 (Filed as Exhibit 10-Q to 2011 Form 10-K Report)***

*10-R

Restated Long-Term Compensation Plan dated May 23, 2006 (Filed as Exhibit 10-R to 2011 Form 10-K Report)***

*10-S

Qualified Performance-Based Compensation Plan (Filed as Exhibit 10-S to 2011 Form 10-K Report)***

*10-T

Deferred Compensation and 401(k) Excess Plan (2008 Restatement) (Filed as Exhibit 10-T to 2011 form 10-K Report)***

*10-U

Deferred Stock Option Gain Plan (2008 Restatement) (Filed as Exhibit 10-U to 2011 Form 10-K Report) ***

64


Table of Contents


*10-V

Excess Pension Plan (2008 Restatement) (Filed as Exhibit 10-V to 2011 Form 10-K Report) ***

*10-W

Form of Management Severance Agreement for Executive Officers (Filed as Exhibit 10-A to Form 10-Q Report for the Third Quarter ended April 30, 2008)***

*10-X

2010 Master Stock Incentive Plan (Filed as Exhibit 4.5 to Registration Statement on Form S-* (File No. 333-170729) filed on November 19, 2010)***

*10-Y

Form of Officer Stock Option Award Agreement under the 2010 Master Stock Incentive Plan (Filed as Exhibit 10.1 to Form 8-K Report filed on December 16, 2010) ***

*10-Z

Form of Restricted Stock Award Agreement under the 2010 Master Stock Incentive Plan (Filed as Exhibit 10.2 to Form 8-K Report filed on December 16, 2010) ***

*10-AA

Non-Employee Director Automatic Stock Option Grant Program (Filed as Exhibit 10-AA to 2011 Form 10-K Report)***

*10-BB

Form of Indemnification Agreement for Directors (Filed as Exhibit 10.1 to Form 8-K Report filed on April 2, 2012)***

*10-CC

Form of Non-Employee Director Non-Qualified Stock Option Agreement under the 2010 Master Stock Incentive Plan (Filed as Exhibit 10-CC to 2012 Form 10-K Report)***

*10-DD

Form of Management Severance Agreement for Executive Officers (Filed as Exhibit 10.1 to Form 8-K Report filed October 4, 2012)***

*10-EE

Compensation Plan for Non-Employee Directors (Filed as Exhibit 10-B to Form 10-Q Report filed December 6, 2012)***

10-FF

Non-Employee Director Automatic Stock Option Grant Program (Filed as Exhibit 10-FF to 2013 Form 10-K Report)***

*10-GG

Credit Agreement among Donaldson Company, Inc. and certain listed lending parties dated as of December 7, 2012 (Filed as Exhibit 10.1 to Form 8-K Report filed December 13, 2012)*

*10-HH

Note Purchase Agreement, dated as of March 27, 2014, by and among Donaldson Company, Inc. and the purchasers named therein (Filed as Exhibit 10.1 to Form 8-K filed April 2, 2014)

10-II

Form of Employment Agreement for Director Level Employees in Belgium (unofficial English translation)***

11

Computation of net earnings per share (See “Earnings Per Share” in “Summary of Significant Accounting Policies” in Note A in the Notes to Consolidated Financial Statements on page 34)

21

Subsidiaries

23

Consent of PricewaterhouseCoopers LLP

24

Powers of Attorney

31-A

Certification of Chief Executive Officer pursuant to Section 302 of the Sarbanes-Oxley Act of 2002

31-B

Certification of Chief Financial Officer pursuant to Section 302 of the Sarbanes-Oxley Act of 2002

32

Certifications of Chief Executive Officer and Chief Financial Officer pursuant to 18 U.S.C. Section 1350, as adopted pursuant to Section 906 of the Sarbanes-Oxley Act of 2002

101

The following financial information from the Donaldson Company, Inc. Annual Report on Form 10-K for the fiscal year ended July 31, 2014 as filed with the Securities and Exchange Commission, formatted in Extensible Business Reporting Language (XBRL): (i) the Consolidated Statements of Earnings, (ii) the Consolidated Balance Sheets, (iii) the Consolidated Statements of Cash Flows (iv) the Consolidated Statement of Changes in Shareholders’ Equity and (v) the Notes to Consolidated Financial Statements.


 

 

 

*

Exhibit has previously been filed with the Securities and Exchange Commission and is incorporated herein by reference as an exhibit.

 

**

Pursuant to the provisions of Regulation S-K Item 601(b)(4)(iii)(A) copies of instruments defining the rights of holders of certain long-term debts of the Company and its subsidiaries are not filed and in lieu thereof the Company agrees to furnish a copy thereof to the Securities and Exchange Commission upon request.

 

***

Denotes compensatory plan or management contract.

Note: Exhibits have been furnished only to the Securities and Exchange Commission. Copies will be furnished to individuals upon request.

65