UNITED STATES
SECURITIES AND EXCHANGE COMMISSION
Washington, D.C. 20549
FORM
For the Fiscal Year Ended
OR
For the transition period from _________ to _________.
Commission File Number:
(Exact name of registrant as specified in its charter)
| (State or other jurisdiction of incorporation) | (IRS Employer Identification No.) |
| | ||
| (Address of principal executive offices) | (Zip code) |
(Telephone Number)
Securities registered pursuant to Section 12(b) of the Act:
| Title of each class | Trading Symbol(s) | Name of each exchange on which registered | ||
| The |
Securities registered pursuant to Section 12(g) of the Act: None
Indicate by check mark if the
registrant is a well-known seasoned issuer, as defined in Rule 405 of the Securities Act. Yes ☐
Indicate by check mark if the
registrant is not required to file reports pursuant to Section 13 of Section 15(d) of the Act. Yes ☐
Indicate by check mark whether
the registrant (1) filed all reports required to be filed by Section 13 or 15(d) of the Securities Exchange Act of 1934 during the preceding
12 months (or for such shorter period that the registrant was required to file such reports), and (2) has been subject to such filing
requirements for the past 90 days.
Indicate by check mark whether
the registrant has submitted electronically every Interactive Data File required to be submitted pursuant to Rule 405 of Regulation S-T
(§ 232.405 of this chapter) during the preceding 12 months (or for such shorter period that the registrant was required to submit
such files).
Indicate by checkmark whether the registrant is a large accelerated filer, an accelerated filer, a non-accelerated filer, or a smaller reporting company, or an emerging growth company. See the definitions of “large accelerated filer,” “accelerated filer”, “smaller reporting company,” and “emerging growth company” in Rule 12b-2 of the Exchange Act.
| Large accelerated filer | ☐ | Accelerated filer | ☐ | |
| ☒ | Smaller reporting company | |||
| Emerging growth company |
If an emerging growth company,
indicate by check mark if the registrant has elected not to use the extended transition period for complying with any new or revised financial
accounting standards provided pursuant to Section 13(a) of the Exchange Act.
Indicate by check mark whether
the registrant has filed a report on and attestation to its management’s assessment of the effectiveness of its internal control
over financial reporting under Section 404(b) of the Sarbanes-Oxley Act (15 U.S.C. 7262(b)) by the registered public accounting firm that
prepared or issued its audit report.
If securities are registered pursuant to Section 12(b) of the Act, indicate by check mark whether the financial statements of the registrant included in the filing reflect the correction of an error to previously issued financial statements. ☐
Indicate by check mark whether any of those error corrections are restatements that required a recovery analysis of incentive-based compensation received by any of the registrant’s executive officers during the relevant recovery period pursuant to §240.10D-1(b). ☐
Indicate by checkmark whether
the registrant is a shell company (as defined in Rule 12b-2 of the Exchange Act). Yes ☐
No
The aggregate market value of
the voting and non-voting common equity held by non-affiliates of the registrant as of June 30, 2022 (the last day of the registrant’s
most recently completed second fiscal quarter) based on the closing sale price of $1.77 as reported on the Nasdaq Global Market as of
that date was approximately $
The registrant had
Documents incorporated by reference: None.
TABLE OF CONTENTS
i
FORWARD LOOKING STATEMENTS
This annual report contains forward-looking statements within the meaning of the Private Securities Litigation Reform Act of 1995 that involve substantial risks and uncertainties. The forward-looking statements are contained principally in Part I, Item 1: “Business,” Part I, Item 1A: “Risk Factors,” and Part II, Item 7: “Management’s Discussion and Analysis of Financial Condition and Results of Operations,” but are also contained elsewhere in this annual report. Any statements contained herein that are not statements of historical fact may be deemed to be forward-looking statements. In some cases, you can identify forward-looking statements by terminology such as “may”, “will”, “should”, “expect”, “plan”, “intend”, “anticipate”, “believe”, “estimate”, “predict”, “potential” or “continue”, the negative of such terms or other comparable terminology. These statements speak only as of the date of this annual report and involve known and unknown risks, uncertainties and other important factors that may cause our actual results, performance or achievements to be materially different from any future results, performance or achievements expressed or implied by the forward-looking statements. We have based these forward-looking statements largely on our current expectations and projections about future events and financial trends that we believe may affect our business, financial condition and results of operations. Forward-looking statements in this annual report include statements as to:
| ● | our expectations regarding timing of application for and receipt of regulatory approvals for omidubicel; |
| ● | our estimates regarding the commercial potential of, and our commercialization plans for omidubicel, including our plans to manufacture omidubicel at a commercial scale, if and when approved for marketing, at our Kiryat Gat facility; |
| ● | the clinical utility and potential advantages of omidubicel and any of our other product candidates; |
| ● | the timing, progress and conduct of our clinical trial of GDA-201; |
| ● | our plans regarding utilization of regulatory pathways that would allow for accelerated marketing approval in the United States, the European Union and other jurisdictions; |
| ● | our recurring losses from operations, our estimates regarding anticipated capital requirements and our needs for additional sources of financing or a commercial or strategic partnership to support a more fulsome commercial launch of omidubicel, if approved; |
| ● | anticipated cost savings from our strategic restructuring and our financial runway; |
| ● | our expectations regarding when certain patents may be issued and the protection and enforcement of our intellectual property rights; |
| ● | our plans regarding the maintenance of intellectual property rights to our preclinical NK cell pipeline; |
| ● | our ability to manufacture omidubicel and our other product candidates at levels sufficient for commercialization or clinical development, as applicable; |
| ● | our ability to maintain relationships with certain third parties; |
| ● | our planned level of capital expenditures; |
| ● | the impact of government laws and regulations; and |
| ● | the effects that geopolitical events or economic conditions may have on us. |
You should refer to “Item 1A. Risk Factors” in this annual report for a discussion of important factors that may cause our actual results to differ materially from those expressed or implied by our forward-looking statements. As a result of these factors, we cannot assure you that the forward-looking statements in this annual report will prove to be accurate. Furthermore, if our forward-looking statements prove to be inaccurate, the inaccuracy may be material. In light of the significant uncertainties in these forward-looking statements, you should not regard these statements as a representation or warranty by us or any other person that we will achieve our objectives and plans in any specified time frame, or at all. The forward-looking statements in this annual report represent our views as of the date of this annual report. We anticipate that subsequent events and developments may cause our views to change. However, while we may elect to update these forward-looking statements at some point in the future, we undertake no obligation to publicly update any forward-looking statements, whether as a result of new information, future events or otherwise, except as required by law. You should, therefore, not rely on these forward-looking statements as representing our views as of any date subsequent to the date of this annual report.
You should read this annual report and the documents that we reference in this annual report and have filed as exhibits to this annual report completely and with the understanding that our actual future results may be materially different from what we expect. We qualify all of our forward-looking statements by these cautionary statements.
In this annual report, all references to (i) “Gamida,” “Gamida Cell,” “we,” “us,” “our” or the “Company” mean Gamida Cell Ltd. and its wholly owned subsidiary, Gamida Cell Inc., unless the context otherwise requires; (ii) “SEC” refers to the Securities and Exchange Commission; (iii) “Securities Act” refers to the United States Securities Act of 1933, as amended; (iv) “Exchange Act” refers to the United States Securities Exchange Act of 1934, as amended; and (v) all dollar amounts refer to U.S. dollars unless otherwise indicated.
ii
PART I
ITEM 1. BUSINESS
Overview
We are a cell therapy pioneer working to turn cells into powerful therapeutics. We apply a proprietary expansion platform leveraging the properties of nicotinamide, or NAM, to allogeneic cell sources including umbilical cord blood-derived cells and natural killer, or NK, cells to create cell therapy candidates with the potential to redefine standards of care. Our primary product candidate is omidubicel, an advanced cell therapy candidate for allogeneic hematopoietic stem cell transplant that, if approved, has the potential to expand access and improve outcomes for patients with blood cancers. Historically, we had also developed a line of enhanced and engineered NK cells targeted at solid tumors and hematological malignancies.
Cell therapies involve the delivery of human cells to replace or repair damaged tissue or cells in order to treat a variety of cancers and other diseases. Hematopoietic stem cell transplantation with donor cells, or allogeneic HSCT, also called bone marrow transplantation, is the most frequently used cell therapy to treat a variety of hematologic malignancies and other serious conditions. HSCT involves reconstituting a patient’s bone marrow from a seed population of stem cells obtained from a donor whose blood-forming and immune-system-forming cells are both cancer free and effective at carrying out their functions.
There are multiple sources of donor cells. The best source for donor cells is often viewed as a sibling who is a matched related donor, or MRD, but the chances of having a sibling match in the United States are only 25% to 30%. The majority of patients rely on alternate sources of donor cells, including matched unrelated donor, or MUD, haploidentical, or “half-matched” donors, and mismatched unrelated donor, or MMUD, as well as umbilical cord blood. However, due to disease progression and other complications during the time needed to find a suitable donor, unfortunately many patients cannot find an appropriate donor. According to the CIBMTR, in the U.S., there are approximately 8,000 patients above the age of 12 with hematologic malignancies who undergo an allogeneic stem cell transplant each year and we believe that number of patients may grow over time. We estimate that there are approximately 1,200 patients each year, who are above the age of 12 and are deemed eligible for an allogeneic stem cell transplant but cannot find an appropriate donor.
Notwithstanding the various potential sources of donor cells, HSCT is subject to a number of significant limitations, including: (i) delays in finding a suitable match, during which disease progression may make patients ineligible for transplant; (ii) an insufficient number or delayed engraftment of donor cells, leaving patients without a functioning immune system and leading to potentially life-threatening immune deficiency following transplant; (iii) a lack of long-term compatibility between the donor cells and the patient’s own cells, resulting in potentially fatal graft versus host disease, or GvHD; and (iv) older donor age may correspond to a negative impact on the patient’s outcome. In addition, there is ethnic and racial disparity in access to HSCT: data from 2018 indicate that white patients of European descent are approximately four times more likely to receive a transplant than Black patients.
Umbilical cord blood is a readily available source of stem cells for patients who need HSCT and do not have a matched related donor. It is easier to find a match when using stem cells derived from cord blood, since a full match is not required for a successful transplant using cord blood. However, on average, a typical cord blood graft contains approximately one-tenth the number of stem and progenitor cells compared to stem cell grafts from adult bone marrow or peripheral blood donors. This lower number of cells may delay engraftment of the donor cells and reconstitution of the immune system. This, in turn, increases both time in the hospital and the likelihood that a patient might contract a life-threatening infection.
Omidubicel, our primary product candidate, is designed to address the limitations of current donor sources used for HSCT. Omidubicel consists of NAM-expanded and enhanced hematopoietic stem cells and differentiated immune cells, including T cells. The final cell therapy product is cryopreserved until the patient is ready to begin the transplant, when it is thawed and infused. Omidubicel has the potential to be a stem cell donor source in two broad patient groups: (i) patients with high-risk leukemias and lymphomas who require HSCT; and (ii) patients with severe hematologic disorders such as severe aplastic anemia. Based on results from our clinical studies, if approved, omidubicel has the potential to improve outcomes as compared to other donor sources and to increase access for patients who cannot find an appropriate donor.
In October 2021, the complete results from our pivotal Phase 3 clinical study of omidubicel in 125 patients with various hematologic malignancies were published in the peer-reviewed medical journal Blood. The trial achieved its primary endpoint of time to neutrophil engraftment as well as all three of the prespecified secondary endpoints. These secondary endpoints were the proportion of patients who achieved platelet engraftment by day 42, the proportion of patients with grade 2 or grade 3 bacterial or invasive fungal infections in the first 100 days following transplant, and the number of days alive and out of the hospital in the first 100 days following transplant. All three secondary endpoints demonstrated statistical significance in an intent-to-treat analysis.
1
In December 2021, we reported data from an analysis of a subset of 37 patients from the Phase 3 randomized trial of omidubicel at Annual Meeting of the American Society of Hematology, or ASH. The analysis was aimed at investigating the reduced infection rates observed in the study and showed that the omidubicel-treated patients had more rapid recovery of a wide variety of immune cells including CD4+ T cells, B cells, NK cells and dendritic cell subtypes. The recovery of the immune system provides rationale for fewer severe bacterial, fungal and viral infections in patients treated with omidubicel. In February 2023 we presented additional data at the Transplantation and Cellular Therapy, or TCT, Meetings of the American Society for Transplantation and Cellular Therapy. These new data focused on peripheral blood lymphocyte counts measured in correlation with time to neutrophil and platelet engraftment in omidubicel-transplanted and standard cord blood-transplanted patients. Seven days post-transplant, omidubicel-transplanted patients showed a robust reconstitution of a broad repertoire of immune cells, which correlated with successful neutrophil engraftment. These data support past findings that omidubicel stimulates faster immune recovery than standard cord blood and may also explain the lower incidence of serious bacterial, fungal and viral infections for omidubicel transplanted patients.
In early 2022, the FDA agreed that the initiation of our rolling biologics license application, or BLA, submission for omidubicel was appropriate and we initiated the rolling submission process. We completed submission of the BLA in June 2022. The FDA accepted the BLA in July 2022. Subsequently, the FDA issued an information request and viewed the data in our response as a major amendment. On November 18, 2022, we received correspondence from the U.S. Food and Drug Administration, or FDA, that the agency had updated our previous target action date under the Prescription Drug User Fee Act, or PDUFA, from January 30, 2023 to May 1, 2023, for our BLA for omidubicel. In the fourth quarter of 2022, the Israeli Ministry of Health and the FDA completed physical inspections of our Kiryat Gat facility which, to date, has resulted in no FDA 483 observations.
Beginning in March 2023, we initiated a strategic restructuring of our business to primarily focus on the commercial launch of omidubicel, following FDA approval if granted. This launch will involve a more limited financial investment than we had previously planned in order to manage our financial resources, resulting in a slower ramp of sales. To support a more fulsome commercial launch of omidubicel, if approved, we intend to seek potential commercial or strategic partnerships. We plan to engage a strategic advisor for this process. Potential strategic alternatives that may be evaluated include a sale of our assets or merger of our company, securing additional financing, and commercial or strategic partnerships that would enable further commercialization and development of our programs. There can be no assurance that this strategic review process will result in our pursuing any transaction. We aim to run this strategic review process into the third quarter of 2023. Additionally, there can be no assurances that any particular course of action, business arrangement or transaction, or series of transactions, will be pursued, successfully consummated or lead to increased shareholder value. If we are unable to secure additional financing or a commercial or strategic partnership for omidubicel, our board of directors may decide to pursue a dissolution and liquidation. In the event of such liquidation or other wind-down event, holders of our securities may suffer a total loss of their investment.
In connection with our strategic restructuring:
| ● | We intend to allocate the vast majority of our resources to support a commercial launch of omidubicel, following approval by the FDA if granted, including manufacturing at our dedicated and certified Kiryat Gat facility. To manage our cash runway, we will hire employees at a reduced pace and reduce planned commercial and medical operating expenses, which we anticipate will result in lower sales than we had previously planned. |
| ● | Solely for financial reasons, we are reducing planned investment in the development of our clinical stage NK cell therapy candidate, GDA-201. While we will continue enrollment into the Phase 1/2 clinical trial of GDA-201 for the treatment of follicular and diffuse large B-cell lymphomas, we will not advance any previously planned Phase 2 start-up activities. We intend to complete the treatment of patients in the Phase 1 portion of the Phase 1/2 study; however, following our assessment of the results from Phase 1, we may decide not to proceed with the enrollment of patients in the Phase 2 portion of the study and may wind down the Phase 1/2 study of GDA-201. |
| ● | Solely for financial reasons, we will discontinue the development of our engineered NK cell therapy pipeline, including GDA-301, GDA-501, and GDA-601, but will retain the intellectual property rights to develop, sell or license these assets in the future. |
| ● | We have implemented a reduction in force to rationalize the employee base to support the new business strategy, which will include closing our Jerusalem research and development facility and terminating the lease or securing a sub-tenant for the space. We expect that we will incur charges of approximately $1.1 million for severance and other employee termination-related costs primarily in the second quarter of 2023. |
2
Our Strategy
Our goal is to deliver curative cell therapies to patients with serious and life-threatening medical conditions. The key strategies to achieve our goal are the following:
| ● | Obtain regulatory approval for omidubicel in hematologic malignancies. We submitted the full BLA for omidubicel in June 2022, and have been assigned a PDUFA date of May 1, 2023. Our BLA was supported by data from our international, multicenter, randomized, pivotal Phase 3 clinical trial that evaluated transplantation with omidubicel compared to standard umbilical cord blood in 125 patients with various hematological malignancies, including acute lymphocytic leukemia, or ALL, acute myeloid leukemia, or AML, myelodysplastic syndrome, or MDS, chronic myeloid leukemia, or CML, and lymphoma. The primary endpoint was time to neutrophil engraftment. The trial achieved its primary endpoint, as well as all three of the prespecified secondary endpoints. If omidubicel is approved in the United States, we may seek regulatory approval in the European Union, or the EU, or other jurisdictions. |
| ● | Initial commercial launch of omidubicel in the United States, if approved. While the BLA for omidubicel is under review by the FDA, we are preparing for the commercial launch of omidubicel in the United States that will involve a more limited financial investment than previously planned, which we anticipate may result in a slower ramp of sales, and are assessing alternatives for the further commercialization of omidubicel within the United States. Additionally, we are developing a reimbursement strategy modeled upon recently approved cell therapies in oncology, including potentially through the New Technology Add-on Payment program. |
| ● | Cash conservation, strategic review and operational efficiency. In the near-term, we intend to allocate the vast majority of our financial resources to executing a launch of omidubicel, following approval by the FDA if granted, including manufacturing at our dedicated and certified Kiryat Gat manufacturing facility. We also initiated a process to seek potential commercial or strategic partnerships to maximize patient access to omidubicel, if approved. In response to current liquidity challenges, we are managing operational expenses and implementing various cost reduction measures, including implementation of a workforce reduction of approximately 17% in March 2023. |
NAM Cell Expansion Technology
While cell-based therapies have the potential to address a variety of medical conditions, one of the key technical challenges for developing treatments with this approach is the expansion of therapeutically functional cells. In order for cell therapies to be clinically effective, there must be a sufficient quantity of therapeutically active cells for treatment, which requires the donor cells to be expanded in cell culture. While this may increase the number of cells, the functionality of those cells often diverges from the therapeutic functionality of the original donor cells. This shortcoming in the cells used for treatment can result in suboptimal clinical outcomes.
3
Our NAM cell expansion technology is designed to address this challenge by leveraging the biochemical properties of the small molecule nicotinamide in our manufacturing process. We expand and enhance the number of donor cells while maintaining their functional therapeutic characteristics through the proprietary combination of NAM, intended to maintain silencing of cell differentiation and preservation of gene expression, and particular cytokines which promote cell growth. Our optimized manufacturing process results in robust and replicable batch production, enabling the generation of standardized donor-derived cell products, potentially resulting in better clinical outcomes.
We have presented research describing the mechanism of action for the role of NAM in expanding CD34+ stem cells. The research included transcriptome, transcription factor, and pathway analysis to elucidate the factors that lead to the preservation of engraftment after ex vivo expansion of CD34+ hematopoietic stem cells derived from umbilical cord blood (the starting point for omidubicel) compared to CD34+ cells grown in the absence of NAM. Analyses showed that the presence of NAM reduced the expression of genes involved in the production of reactive oxygen and nitrogen species, suggesting that cell stress was minimized during expansion. In addition, NAM also decreased growth factor of pathways responsible for activation and differentiation of hematopoietic stem cells, suggesting NAM expanded cells while keeping them in an undifferentiated state. The presence of NAM also led to a decrease in the expression of genes responsible for matrix metalloproteinase secretion, simulating the microenvironment of the bone marrow. Additionally, NAM led to an increased expression of telomerase genes, which is believed to enable cells to remain in a more quiescent, stem-like state. These data provide further scientific rationale for the favorable stem cell engraftment and patient outcomes that were observed in the Phase 3 clinical study of omidubicel.
Historically, we have also applied NAM technology in developing our NK cell product candidates.
Hematologic Malignancies and Allogeneic HSCT
Overview
Hematologic malignancies are characterized by an abnormal and excessive proliferation of malignant blood cells that replace normal blood cells in the bone marrow and the circulation. In some patients, these cancerous cells proliferate rapidly, requiring urgent treatment. Patients are initially treated with chemotherapy in order to destroy the malignant cells in a rapid manner. However, in most patients, remission is temporary and the disease will return after initial treatment. One of the most effective treatment options for these patients is hematopoietic stem cell transplantation, or HSCT, where the blood-forming cells in the patient are destroyed using chemotherapy, radiation or a combination of both. These patients then receive new bone marrow stem cells from a healthy donor.
Allogeneic HSCT is the transplantation of hematopoietic stem cells, derived from a donor’s bone marrow or peripheral blood, or standard umbilical cord blood. HSCT involves reconstituting a person’s entire blood and bone marrow from a seed population of cells. In some clinical settings, autologous HSCT may be performed, in which cells are derived from the patient and reinfused at a later date. In leukemia and other hematologic malignancies, it is more appropriate to use allogeneic HSCT obtained from a donor, which ensures that the graft does not contain the patient’s malignant cells and leverages the ability of donor cells to fight against a patient’s cancer, which is known as the “graft versus leukemia” effect.
In HSCT, a patient is treated with chemotherapy and/or radiation to destroy the residual cancerous or defective cells that reside in the bone marrow. This procedure, called myeloablation, also destroys the hematopoietic stem cells that are responsible for forming red blood cells, platelets and white blood cells. Stem cells from a donor are then infused into a patient, migrate and home to the bone marrow and begin to proliferate and differentiate into various types of blood cells, eventually leading to a full reconstitution of the bone marrow and immune system.
4
HSCT is a potentially curative treatment for many refractory and high-risk hematologic malignancies that would otherwise be fatal with conventional therapies. As of 2019, an estimated 600,000 allogeneic HSCT procedures will have been performed worldwide over the past 50 years. In 2016, more than 38,000 such procedures were performed worldwide, and in 2020, more than 8,000 were performed in the United States. From 2010 to 2019, the number of patients receiving an allogeneic HSCT procedure increased by approximately 3% per year in the United States due to multiple factors, including an aging population and new transplant modalities. Approximately 90% of HSCT procedures performed in the United States are for patients with various hematologic malignancies.
Approximately 90% of HSCT procedures performed in the United States are for patients with various hematologic malignancies. Although the number of allogeneic HSCT procedures performed is growing and there are new modalities for the procedure, HSCT continues to have a number of limitations. There are two major areas of unmet need. First, of those who receive a transplant, there is concomitant morbidity and mortality associated with the treatment. Second, a significant number of patients who are candidates for transplant do not receive one in a timely fashion. We believe that omidubicel can address these significant limitations.
Current Sources of Donor Cells for Allogeneic HSCT
There are multiple potential sources of donor cells for transplants. For each donor, there are various baseline requirements including age and overall health. In general, younger donors produce more and better cells for HSCT than older donors. Donor matching is determined by human leukocyte antigens, or HLA, which are proteins present on most cells and inherited genetically. HLA are recognized by the immune system, and “foreign” or nonmatching HLA may be rejected. Therefore, matching of HLA between bone marrow donor and recipient is needed for a successful transplant outcome.
The best source of donor cells is often viewed as a matched sibling of appropriate age and health, but the chances of having a sibling match are only 25% to 30%. An alternate source of donor cells is a MUD, but non-Caucasian patients have a lower likelihood of finding a MUD. There is ethnic and racial disparity in access to HSCT. Data from 2018 indicate that white patients of European descent are approximately four times more likely to receive a transplant than Black patients. The ability to find a match through this process is particularly challenging for individuals of ethnic backgrounds that are not well-represented in donor databases. Furthermore, it takes approximately two to three months on average to identify an appropriate MUD who is medically suitable and willing to donate. During this lengthy time period, there is a risk of disease recurrence. Over time, the patient may also become ineligible due to other health complications. Moreover, prolonged donor searches heighten anxiety for patients and their families.
If a matched donor cell source is not identified, there are three alternatives for transplant candidates: mismatched unrelated donor, or MMUD, haploidentical donors and umbilical cord donors. Haploidentical, or “half-matched” donors, and MMUD are only partially compatible with the recipient. Because of the immune incompatibility in transplants from such donors, there is a high risk of GvHD, infection and other complications.
Alternatively, donor cells can be obtained from umbilical cord blood. In contrast to adult graft sources, which require a greater degree of matching, matching requirements for cord blood are less stringent than those from unrelated donors, leading to a greater probability for finding a match: 96% for Caucasians of European descent, 81% for Black patients, and 82-91% of other minorities. This obviates the need to go through a prolonged search process with uncertain outcomes in order to find a donor and arrange for the collection of donor cells. Because the donor T cells in cord blood are naïve, meaning that they have not matured, they readily adapt to the recipient and are associated with a low risk of a patient developing GvHD, in particular chronic GvHD. Furthermore, transplantation with cord blood reduces the risk of potential transmission of an infection from an adult donor.
5
Limitations of Allogeneic HSCT
There are three critical limitations to successful HSCT:
| ● | delays in finding a suitable match, during which disease progression may make patients ineligible for a transplant; |
| ● | insufficient number or delayed engraftment of donor cells, leaving patients without a functioning immune system and leading to potentially life-threatening immune deficiency following transplant; and |
| ● | lack of long-term compatibility between the donor cells and the patient’s own cells, resulting in potentially fatal GvHD. |
Omidubicel is Designed to Address the Limitations of Current Donor Sources for HSCT
In addition to the general limitations of HSCT, the low number of hematopoietic cells in standard umbilical cord blood is a major clinical constraint. With standard umbilical cord blood, the small number of stem cells infused leads to a prolonged time to engraftment, the process by which donor stem cells home to the bone marrow, differentiate, and repopulate the recipient’s blood cells. Longer time to engraftment is associated with a higher rate of post-transplant complications, longer hospitalization time, and an increase in transplant-related mortality. Omidubicel is designed to address the limitations of current donor sources used for allogeneic HSCT because it expands the number of donor cord blood stem cells while maintaining the cells’ functional therapeutic characteristics. The omidubicel manufacturing process also enhances cell functionality.
Omidubicel consists of two fractions of a unit of cord blood separated based on the expression of a marker on the surface of individual cells known as CD133. A cell’s CD133 status reflects its “stem cell” properties. Those cells that express CD133 represent a pool of stem or progenitor cells, cells that are capable of generating blood cells that can differentiate into a variety of cell subtypes. The CD133-positive stem or progenitor cells are also capable of reproducing themselves. Once the cells bearing this marker, are isolated, they are cultured using the proprietary NAM technology platform to expand their number while maintaining their regenerative properties. After approximately three weeks, the cells are harvested and cryopreserved.
Those cells that do not express CD133 represent other types of more mature, differentiated cells, including essential components of the immune system such as T cells. These mature cells cannot engraft but can provide immunological support until T cells derived from the stem cell graft recover. The CD133-negative cells are also cryopreserved and retained for use as the second component of omidubicel. The two components collectively are known as “omidubicel,” as approved by the United States Adopted Names Council (USAN).
6
Omidubicel is shipped cryogenically to transplant centers where both components are thawed and infused to patients on the day of transplantation. The thawing process occurs in a closed system and can also be performed at the patient’s bedside for ease of administration. The cryopreserved product resulted in engraftment results similar to those obtained with non-cryopreserved product in a Phase 1 pilot study at Duke University.
| ● | Omidubicel is a stem cell graft with less stringent matching requirements than conventional HSCT, intended to reduce problems with donor matching. If approved, this will provide an option for the patients who currently have lengthy searches to find a suitable match and may never receive one, thereby creating an opportunity to improve outcomes and access to HSCT for such patients. |
| ● | Omidubicel is designed to deliver a therapeutic dose of stem cells that may lead to rapid engraftment and immune reconstitution. |
| ● | Omidubicel provides a compatible graft, observed to reduce morbidities including GvHD and infections. |
Given these characteristics, omidubicel may serve as a new alternative to existing graft modalities as well as expand the transplant market for those who are unable to find a match.
Omidubicel: Clinical Trial Results
Our clinical trials of omidubicel include an initial safety evaluation of omidubicel in a Phase 1 pilot study at Duke University, a Phase 1/2 clinical trial that enrolled 36 patients in an international, multicenter, open-label, single-arm trial, and a Phase 3 clinical trial that evaluated 125 patients in a pivotal, international, multi-center, randomized trial. All patients in our clinical trials of omidubicel had been previously treated for various hematologic malignancies, including ALL, AML, MDS, CML and lymphoma. These patients were deemed to be in remission and at high risk of subsequent relapse.
Pivotal Phase 3 Trial
In January 2020, we enrolled the last patient in the pivotal, international, multi-center, randomized Phase 3 trial of omidubicel. Initiated in 2017, the study compared omidubicel to single or double standard, unmanipulated umbilical cord blood transplantation. Randomization was stratified by treatment center, disease risk, age and intent to perform single or double cord blood transplant. The primary endpoint of time to neutrophil engraftment was met.
All secondary endpoints-time to platelet engraftment, the incidence of grade 2 or grade 3 bacterial or invasive fungal infections and the number of days alive and out of hospital during the first 100 days following transplantation-were also met.
Phase 3 Study Schema
A total of 125 patients were randomized at 33 centers in the United States, South America, Europe and Asia. These 125 patients formed the basis of the intent-to-treat, or ITT, analysis. Of the 62 patients randomized to omidubicel, 52 were transplanted per protocol with the omidubicel graft. Of the 63 patients randomized to the control arm, 56 were transplanted as per protocol.
7
Phase 3 Patient Disposition and Analysis Populations
Patient demographics were well-balanced in the two study arms, with a median age in the early 40s. The study population was diverse, with approximately 40% either Black, Asian, Latino or patients characterized under “other”. The majority of patients (over 70%) had acute leukemia. With respect to the transplant, all patients received myeloablative conditioning regimens, with approximately half of the patients receiving a total-body-irradiation regimen, and approximately half receiving a chemotherapy-only conditioning regimen. Myeloablative conditioning therapy is a combination of chemotherapy agents, and in some cases radiotherapy, that is expected to produce low blood counts and is administered in order to reduce the tumor burden, suppress the patient’s immune system, and allow engraftment of donor stem cells. Over 70% of patients had a 4/6 HLA matching cord, either serving as the starting material for omidubicel, or as the standard control. A double cord transplant was intended for two-thirds of patients randomized to the standard cord arm. The omidubicel unit was expanded a median 133-fold to a median of 6.6 x 10e8 CD34+ cells. This provided the patients with a median CD34+ cell dose of 9 x 10e6 CD34+ cells/kg, which is a larger cell dose than can be collected from many healthy adult stem cell donors. In contrast, recipients on the control arm received a median 0.3 x 10e6 CD34+ cells/kg.
Phase 3 Patient Demographics
8
Phase 3 Baseline Disease and Transplant Characteristics
The primary endpoint was time to neutrophil engraftment, based on recovery of neutrophils, a type of white blood cell that helps fight infections. In the ITT population, the patients randomized to omidubicel engrafted at median of 12 days following transplantation (95% confidence interval 10-15 days). Those randomized to the control arm engrafted at a median of 22 days (95% confidence interval 19-25 days). This was statistically significant (p<0.001). In the as-treated, or AT, analysis, patients who received omidubicel had a median time to neutrophil engraftment of 10 days, vs 20.5 days for the control. The cumulative incidence of neutrophil engraftment was 96% for omidubicel recipients and 89% for the controls.
Cumulative Incidence of Neutrophil and Platelet Engraftment
The results of the study were published in October 2021 in the peer reviewed ASH journal Blood. Results included statistically significant positive results in all three secondary endpoints: platelet engraftment, infections, and hospitalization. Platelets are required for normal blood clotting. Platelet engraftment on day 42 after transplant was achieved in 55% of those randomized to omidubicel and 35% of those randomized to the control arm (ITT). This difference had a p value of 0.028.
Patients randomized to omidubicel were less likely to develop a grade 2 or grade 3 bacterial or invasive fungal infection: 37% versus 57% for those randomized to the control arm (p=0.03). The cumulative incidence of first grade 3 viral infection during the first year after transplantation was also lower for those randomized to omidubicel (10% vs 26%; p=0.02). When looking at the overall number and rate of infections, or infection density, during the first year after transplantation, the risk ratio for all infections, irrespective of severity, was significantly lower among recipients of omidubicel.
9
Incidence of Serious Bacterial and Viral Infection Post-Transplant
Relative Risk (95% CI) for Bacterial, Viral, and all Infections at One Year
Patients randomized to omidubicel spent a median of 60.5 days alive and out of the hospital during the first 100 days following transplantation, compared to 48 days for control patients (p=0.005).
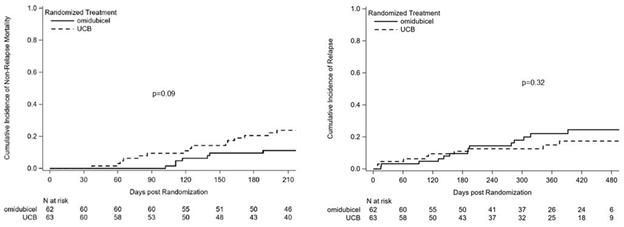
In the ITT population, the cumulative incidence of non-relapse mortality at 210 days following randomization was 11% for omidubicel and 24% for control. The incidence of relapse at 15 months following randomization was 25% for omidubicel and 17% for the controls. These differences were not statistically different.
Incidence of Non-Relapse Mortality and Incidence of Relapse
10
There was no statistically significant difference between the omidubicel arm and the control arm in one year overall survival or disease-free survival. The Hazard Ratio of overall survival was 0.57 in favor of omidubicel, p=0.09.
Disease-Free Survival and Overall Survival
The safety profile for omidubicel recipients in this study was consistent with the expected toxicities of allogeneic stem cell transplantation following conditioning therapy, and there was no increase in adverse events, serious adverse events, or infusion reactions in the omidubicel arm compared to control. GvHD is a multisystem disorder that is common in allogeneic HSCT. GvHD occurs when immune cells from a donor graft recognize the transplant recipient host as foreign and initiate an immune reaction. Acute GvHD usually presents around the time of engraftment and manifests as rash, nausea, vomiting, abdominal pain, diarrhea, or increased serum bilirubin. Chronic GvHD is usually diagnosed later during the first year post-transplant, and clinical manifestations include skin involvement, gastrointestinal disease, and increased bilirubin. There was no statistically significant difference between omidubicel and control patients in the cumulative incidence of acute GvHD in the first 100 days post-transplant.
Grade 2-4 acute GvHD was observed in 56% of omidubicel recipients and 43% of controls. The numbers for grade 3/4 (severe) acute GvHD were 14% and 21% for omidubicel and control, respectively. There was also no statistically significant difference in the cumulative incidence of chronic GvHD (all grades, including mild, moderate and severe) in the first year, 35% vs 29% for omidubicel and control, respectively. Overall, the results of the Phase 3 study showed superior hematopoietic recovery, decreased risk of serious infection, and shorter duration of hospitalization in patients treated with omidubicel, with an acceptable safety profile.
In November 2021, we completed a Type B Pre-BLA meeting with the FDA for omidubicel during which the FDA requested that we provide revised analysis of the manufacturing data generated at our manufacturing facility in Kiryat Gat, Israel to demonstrate the analytical comparability of the omidubicel produced at Kiryat Gat to the omidubicel that was produced at the clinical manufacturing sites for the Phase 3 study. In January 2022, we received positive Type B meeting correspondence from the FDA that we had established the requisite analytical comparability. Based on the positive Phase 3 trial results and the comparability analysis, the FDA agreed that the initiation of a rolling BLA submission is appropriate. In February 2022, we initiated the rolling submission process with the FDA, and we submitted the full BLA for omidubicel to the FDA in June 2022. The FDA accepted the BLA in July 2022 with priority review and a PDUFA data of January 30, 2023. Subsequently, the FDA issued an information request and viewed the volume of data required to address the information request as a major amendment. On November 18, 2022, we received correspondence from the FDA that the agency had updated our previous target action date under the PDUFA from January 30, 2023 to May 1, 2023, for our BLA for omidubicel.
Omidubicel has Breakthrough Therapy Designation from the FDA. Additionally, omidubicel received orphan drug designation from both the FDA and from the European Commission for the indication haematopoietic stem cell transplantation.
11
Phase 1/2 Clinical Trial
The main objective of the Phase 1/2 study was to evaluate the safety and efficacy of omidubicel treatment in patients with hematologic malignancies following myeloablative conditioning therapy. The study compared outcomes against a group of historic controls that were identified from data collected by the Center for International Blood and Marrow Transplant Research, or CIBMTR, which tracks all allogeneic transplants conducted in the United States. From the CIBMTR database, we identified 146 age and disease matched patients who received standard cord blood transplants and served as historic controls.
The primary endpoint of this study was also time to neutrophil engraftment, which was also met. Patients treated with omidubicel recovered their neutrophils (500 cells per microliter) with a median recovery of 11.5 days after transplantation, which is significantly shorter than the 21 days observed in the historic controls (p<0.001). Platelet counts recovered within a median time period of 34 days in the omidubicel treated patients, compared to 46 days in the historic controls (p<0.001). For both neutrophils and platelets, the percentage of patients who achieved engraftment was higher than in the historic controls. The age-adjusted cumulative incidence of neutrophil engraftment at 42 days following transplantation was 94% for omidubicel recipients and 85% for the CIBMTR comparator cohort.
Rates of acute GvHD, chronic GvHD, infections, and hospitalization, as well as safety findings, were similar to those observed in the Phase 3 study.
Omidubicel: Health Economic Implications
The potential clinical advantages of omidubicel could lead to societal benefits such as enabling patients to return to work, spend time with loved ones and enjoy improved quality of life. Omidubicel may also reduce the costs to the healthcare system versus standard cord HSCT due to reductions in health care resource utilization such as potentially shortened isolation and intensive care hospital stays, reduced re-admission rates and decreased severity and rates of infections. At the December 2021 Annual Meeting of ASH, we reported the results of an analysis of resource utilization data from the first 100 days after transplant for 108 patients in the Phase 3 trial showing that the omidubicel-treated patients had significantly shorter durations of hospitalization and intensive care unit stays, and fewer consultant visits, procedures, and transfusions than the patients in the control arm. These data provide further evidence of the clinical benefit associated with the more rapid hematopoietic recovery in patients treated with omidubicel and the corresponding reduction in healthcare resource utilization. These data will help to inform pricing and reimbursement.
Omidubicel for the Treatment of Bone Marrow Failure Disorders
In addition to hematologic malignancies, we are pursuing the development of omidubicel for the treatment of severe aplastic anemia and other bone marrow failure disorders. Severe aplastic anemia is a rare disease, with an estimated incidence in the United States of 600-900 patients per year.
Underlying causes include autoimmune disease, certain medications or toxic substances, and inherited conditions. However, the cause is unknown in approximately half of all cases of severe aplastic anemia. The disease is characterized by stem cells in the bone marrow that are damaged and unable to produce enough new blood cells. This leads to extremely low blood cell counts and platelet levels, and often requires patients to be immediately hospitalized for treatment.
Allogeneic HSCT is the treatment of choice for patients with severe aplastic anemia who have an available matched sibling donor. Among the 2,471 patients with severe aplastic anemia receiving HSCT with a matched sibling donor between 2005 and 2015, the three-year probability of survival was 91% for those younger than 18 years, and 78% for patients 18 years of age or older. Among the 1,751 recipients of HSCT with a MUD during the same period, the probabilities of survival were 78% and 68% for severe aplastic anemia patients under 18 years and greater than or equal to 18 years, respectively. We believe omidubicel may be able to provide a treatment option for those patients who are unable to locate such a donor in time.
The goal in treating these diseases is to replace defective bone marrow cells with cells derived from cord blood donors. Omidubicel is currently being evaluated in a Phase 1/2 NIH-sponsored clinical trial. In this trial, omidubicel is administered in combination with a reduced conditioning preparative protocol, which is designed to minimize toxicity, in up to 62 patients with severe aplastic anemia or hypoplastic myelodysplastic syndrome, another bone marrow failure disease. This research protocol is designed to evaluate the safety and effectiveness of transplantation with omidubicel to overcome the high incidence of graft rejection associated with standard cord blood HSCT in severe aplastic anemia patients, where graft rejection occurs in up to 50% of subjects. In December 2020, we reported updated and expanded data at the Annual Meeting of ASH that demonstrated that patients with severe aplastic anemia treated with omidubicel achieved sustained early engraftment.
12
Omidubicel for the Treatment of Non-Malignant Disorders
Omidubicel has also been tested in patients with sickle cell disease, or SCD, for which HSCT is currently the only clinically established cure. The results of our Phase 1/2 clinical trial were published in Blood. Overall, 16 patients with severe SCD were treated, 13 patients with omidubicel in conjunction with a standard unit of cord blood, and three patients with standalone omidubicel. All patients initially engrafted at a median of seven days for double cord and eight days for single cord. Two of the patients died, one due to chronic GvHD and the other due to secondary graft failure. The rate of grades II-IV acute GvHD was 69%, and the rate of grades III-IV acute GvHD was 23%. The engraftment results were favorable when compared to those from a study of 29 patients with SCD who underwent HSCT with cells from a MUD donor. In that study, 27 of the patients had neutrophil engraftment, and the median time to engraftment was 12 days. There were eight deaths, seven due to GvHD and one due to graft rejection; 19 of 29 were disease-free at two years. While the clinical study in patients with SCD is currently closed, we continue to believe that omidubicel has potential to replace other allogeneic HSCT procedures in certain hematologic diseases and some metabolic disorders.
Our NK Cell Product Candidates
Our pipeline of NK cell-based cancer immunotherapies is comprised of GDA-201 and three additional preclinical programs that involve modifications intended to direct NK cells against specific tumor markers to improve their cancer killing capabilities in both hematological and solid tumors.
GDA-201 is our lead investigational NK cell-based cancer immunotherapy product candidate. GDA-201 addresses a key limitation in the therapeutic potential of NK cells by increasing the cytotoxicity and in vivo retention and proliferation in the bone marrow and lymphoid organs of NK cells expanded in culture conditions. GDA-201 was evaluated in an investigator-sponsored Phase 1/2 trial for the treatment of NHL and MM. We believe that GDA-201 may have broad potential in both hematologic malignancies and in solid tumors.
In May 2022, we announced the dosing of our first patient in a Phase 1/2 clinical trial of GDA-201 for the treatment of patients with follicular and diffuse large B-cell lymphomas, and patient enrollment in this study is ongoing.
Limitations of Therapeutic Antibodies in Cancer Treatment
NHL is the most common malignancy of B cells. An estimated 77,240 new cases of NHL were diagnosed in the United States in 2020. The five-year survival rate for those with NHL is approximately 73%. The combination of an antibody such as rituximab and chemotherapy is the standard of care for patients with NHL. However, many patients develop resistance to rituximab, and when used as monotherapy, only 15% of patients respond. One mechanism that contributes to this resistance is the inability of patient or autologous NK cells to locate and kill tumor cells that rituximab has bound to. Treatment with donor-derived NK cells may overcome this resistance.
NK Cells: Broad Anti-Cancer Potential
Extensive research efforts are ongoing to generate cellular products for the treatment of cancer patients. There is much interest in the field in the potential of NK cells because they have potent anti-tumor properties. In contrast to other immune cell therapies, NK cells can be used independently from genetic matching, potentially enabling NK cells to serve as a universal donor-based therapy when combined with certain antibodies.
NK cells’ tumor killing activity is greatly enhanced by antibodies that recognize tumor cells, which trigger ADCC. In ADCC, the binding of an antibody to a cell marks it for destruction by NK cells. A number of antibody products have been approved by the FDA as therapeutics in oncology, each of which has limited efficacy as monotherapy. The effectiveness of these antibodies can potentially be enhanced through coadministration with NK cells. A key limitation in the application of NK cells in cell therapy has been the traditionally challenging task of generating sufficient numbers of highly functional NK cells in culture.
13
GDA-201
We have developed GDA-201, a cell therapy product candidate generated by expansion of healthy donor NK cells using our NAM technology. We believe that GDA-201 has potential application in boosting the innate immune response to cancer. Functional studies have shown that our GDA-201 cells expanded in culture with our NAM technology and the cytokine IL-15 display increased tumor killing activity over NK cells expanded with IL-15 but without NAM. We have also demonstrated ADCC with GDA-201 in combination with antibodies, including rituximab.
An investigator-sponsored Phase 1/2 clinical study of GDA-201 in patients with multiple myeloma, or MM, or NHL was initiated in 2017 at the University of Minnesota. These patients have relapsed or refractory NHL or MM, meaning that their disease has come back after standard therapy and/or they are not responding to standard therapy for their disease. In combination with GDA-201, these patients also receive therapeutic antibodies, which, in the case of NHL, includes rituximab, and in the case of MM, elotuzumab. At the December 2021 Annual Meeting of ASH, we reported two-year follow-up data from the clinical trial on outcomes and cytokine biomarkers associated with survival. The safety profile was consistent with that reported previously: there were no dose limiting toxicities in the 35 treated patients. In 19 patients with lymphoma, the data demonstrated a median duration of response of 16 months (range 5- 36 months), an overall survival at two years of 78% (95% CI, 51%-91%).
Phase 1/2 Study of GDA-201 in Patients with Non-Hodgkin Lymphoma or Multiple Myeloma
Treatment included lymphodepleting chemotherapy with fludarabine and cyclophosphamide followed by two doses of GDA-201 (Days 0 and 2) and low-dose IL-2 (6 million units subcutaneously). Three doses of monoclonal antibodies were administered pre and post GDA-201. The study was designed to determine the maximum tolerated dose of GDA-201 cells. Patients who derived clinical benefit received a second cycle of GDA-201 infusion without lymphodepleting chemotherapy. A total of 35 patients were treated in three cohorts of escalating cellular doses of GDA-201, with a maximum dose of 200 million cell/kg. Sixteen patients with MM and 19 patients with NHL were evaluable. The median age was 61 and the oldest patient was 83 years old. Among the patients with NHL, eight had diffuse large B-cell lymphoma, or DLBC, 10 had follicular lymphoma, or FL, and one had mantle cell lymphoma. Patients were heavily pre-treated with a median of three lines of prior chemotherapy (range 1-8 lines). Four of the NHL patients and three of the MM patients had prior HSCT.
There were no dose limiting toxicities at any of the doses administered. One patient, who initially was thought to have cytokine release syndrome, died of E-coli sepsis. The most common Grade 3 or 4 adverse events were decreased neutrophil count, febrile neutropenia, anemia and low platelet count, generally attributed to lymphodepleting chemotherapy. No neurotoxic events, GvHD or marrow aplasia were observed.
Among the 16 patients with MM, one patient achieved a complete response, and four patients achieved stable disease. Among the 19 patients with NHL, 13 achieved a complete response and one achieved a partial response. Overall response rate among the 19 NHL patients was 74%, with responses observed in 8 patients with FL and 5 patients with DLBCL. Median duration of response was 10 months with a range of 1 - 28 months. In three patients, an initial partial response deepened over time to a complete response: one (patient 009) without any further therapy, and two in the context of a second cycle of GDA-201 and rituximab. Two patients with complete response who received a second cycle of GDA-201 after initial complete response had maintained a complete response after a total of 6 and 12 months, respectively.
14
Responses in Patients with Lymphoma Treated with GDA-201
Given the results of this study, we have developed a cryopreserved, allogeneic, readily available formulation of GDA-201 to enable further clinical trials. In September 2021, we submitted an IND for a Phase 1/2 clinical trial of GDA-201 for the treatment of patients with follicular and diffuse large B-cell lymphomas. In October 2021, the FDA placed this IND on clinical hold prior to the initiation of patient dosing. The FDA requested modifications in donor eligibility procedures and sterility assay qualification. The FDA removed the clinical hold in April 2022, and we opened enrollment of our Phase 1/2 clinical trial of GDA-201 in patients with follicular and diffuse large B-cell lymphomas in May 2022 and announced the dosing of our first patient in this trial in August 2022. We intend to compete the treatment of patients in the Phase 1 portion of the Phase 1/2 study; however, following our assessment of the results from Phase 1, we may decide not to proceed with the enrollment of patients in the Phase 2 portion of the study and may wind down the Phase 1/2 study of GDA-201.
At the 2023 Transplantation & Cellular Therapy (TCT) Meetings of the American Society for Transplantation & Cellular Therapy and the Center for International Blood and Marrow Transplant Research, new preclinical data on the cryopreserved formulation of GDA-201 was reported, which showed increased potency and enhanced cytotoxicity. GDA-201 cells were tested for viability, phenotyping, function and potency. Previous characterization of GDA-201 showed high levels of CD56, CD16, CD49a and CD62L expression, low levels of CD57, and low levels of immune checkpoints such as LAG3 and CD200R. The analyses showed that cryopreserved GDA-201 exhibited high viability (>90%) and high purity up to 12 months post-manufacturing and preserved the ability to proliferate post-thaw. GDA-201 maintained high levels of expression of CD16, which mediates antibody-dependent cellular toxicity, and CD62L, which is a homing and retention marker. GDA-201 also demonstrated high potency, based on the intracellular secretion of TNF-alpha & IFN-gamma and extracellular degranulation marker CD107a.
15
Additional NK Cell Product Candidates in Our Portfolio
We have developed other NAM-enabled genetically modified NK cell product candidates, which utilize CAR, membrane bound- and CRISPR-mediated strategies to increase targeting, potency and persistence against hematologic malignancies and solid tumors. As part of our strategic restructuring, in March 2023 we discontinued development of this preclinical pipeline. We will, however, maintain the intellectual property rights to the portfolio, which includes the following candidates:
| ● | GDA-301: Knockout of CISH, or cytokine inducible SH2 containing protein, in NK cells using CRISPR/Cas9 in combination with a membrane-bound IL-15/IL-15Ra. Designed to improve tumor killing by promoting activation of NK cells and inhibiting negative feedback signals. Potential applications exist across a range of solid tumors and hematologic malignancies. Data presented at the International Society for Cell & Gene Therapy, or ISCT, 2022 meeting demonstrated that after six hours of co-culture with a chronic myelogenous leukemia (K562) or multiple myeloma (RPMI) cell line, GDA-301, a combined genetic manipulation of CISH gene editing and the engineered expression of mb IL-15, showed increased cytotoxicity compared with control NAM-NK cells. Additional in vitro assays showed elevation of degranulation marker CD107a, intracellular proinflammatory cytokines interferon-γ and tumor necrosis factor-α, suggesting increased potency of GDA-301 compared with control cells. The potency and cytotoxicity data suggest that GDA-301 represents a novel potential immunotherapeutic targeting hematologic malignancies as well as solid tumors. |
| ● | GDA-501: CAR-engineered NK cells to target HER2+ solid tumors with the potential to enhance homing and activation against cancers with HER2 overexpression, including breast, ovarian, lung, bladder, and gastric cancers. At the 2022 Society of Immunotherapy of Cancer, or SITC, annual meeting, we announced new preclinical data on GDA-501 that provide support for its continued preclinical development. GDA-501 displayed significantly enhanced in vitro cytotoxicity when cultured with HER2+ targeted cancer cells, as well as increased potency based on elevated levels of proinflammatory cytokines and biomarkers compared with control cells. Importantly, increased cytotoxicity and potency were persistent. These preclinical data demonstrate potent antitumor activity. |
| ● | GDA-601: Knockout of CD38 on NK cells to avoid fratricide by CD38-targeting antibodies in combination treatment of multiple myeloma, combined with a CD38 CAR designed to enhance killing of multiple myeloma cells. Data presented at the ISCT 2022 meeting showed that in vitro killing assays, performed six hours after co-culture of GDA-601 with a MM (RPMI) cell line, showed increased cytotoxicity compared with control NAM-NK cells. Fratricide attributable to CD38 antigen was effectively eliminated with GDA-601. There was a significant enhancement of potency against CD38-positive MM cells demonstrated by elevation of the degranulation marker CD107a, intracellular proinflammatory cytokines interferon-γ and tumor necrosis factor-α in vitro. These results suggest that GDA-601 displays superior antitumoral responses against MM cells and represent a promising adoptive cell therapeutic strategy against MM. |
Competition
The biotechnology and pharmaceutical industries are characterized by rapidly advancing technologies, intense competition and a strong emphasis on proprietary products. While we believe that our technology platform, development experience and scientific knowledge provide us with competitive advantages, we face potential competition from many different sources, including major pharmaceutical, specialty pharmaceutical and biotechnology companies, academic institutions and governmental agencies and public and private research institutions. Any product candidates that we successfully develop and commercialize will compete with existing therapies and new therapies that may become available in the future.
We anticipate intensifying competition in the field of cell therapies as new therapies are approved and advanced technologies become available.
Many of our competitors will have substantially greater financial, technical and human resources. Competitors may also have more experience developing, obtaining approval for, and marketing novel treatments in the indications we are pursuing. These factors could give our competitors an advantage over us in recruiting and retaining qualified personnel, completing clinical development, and commercializing their products. Competitors that are able to obtain FDA or other regulatory approval for their products more rapidly than we can for our products may also establish a stronger market position, diminishing our commercial opportunity. Key considerations that would impact our capacity to effectively compete include the efficacy, safety, ease of use, as well as pricing and reimbursement of our products.
16
There are several clinical-stage development programs that seek to improve human umbilical cord blood transplantation through the use of an allogeneic HSCT graft. In addition, there are clinical-stage development programs that focus on natural killer cells. Companies active in these areas include, but are not limited to:
Allogeneic HSCT Graft: ExCellThera, Garuda Therapeutics and Bellicum Pharmaceuticals; and
Natural Killer Cell Portfolio: Takeda Pharmaceutical Company, Fate Therapeutics, Artiva, Sanofi, MiNK Therapeutics, ONK Therapeutics, Shoreline, Cellularity, NKarta, Wugen, Century Therapeutics, Appia Bio and FujiFilm Cellular Dynamics.
Manufacturing
Omidubicel is currently manufactured at our Kiryat Gat, Israel facility using a scalable process with well-defined unit operations. This highly specialized and precisely controlled manufacturing process enables us to manufacture product candidates reproducibly and efficiently for clinical and commercial applications. In the fourth quarter of 2022, the Israeli Ministry of Health and the FDA completed physical inspections of our Kiryat Gat facility which, to date, has resulted in no FDA 483 observations. If omidubicel is approved for marketing by the FDA, we plan to commercially manufacture omidubicel for sale in the United States at our Kiryat Gat, Israel manufacturing facility in 2023.
We currently rely on third-party clinical cell processing facilities and contract manufacturers for all our required raw materials, active ingredients and finished products for our preclinical research and clinical trials. In addition, we currently rely on third parties for supply of our required raw materials and active ingredients for omidubicel.
Marketing, Sales and Distribution
Our strategy is to ensure omidubicel is made available to appropriate patients upon FDA approval. While the BLA for omidubicel is under review by the FDA, we are preparing for a commercial launch of omidubicel in the United States that will require a more limited investment resulting in a slower ramp of sales. We have conducted market insight studies to understand the unmet needs that omidubicel can potentially address. If omidubicel were to be fully distributed to all appropriate patients in the U.S. market, we would anticipate that upon reaching peak market share, which would be 20 – 25% of the addressable U.S. patient population, omidubicel has the potential to treat approximately 2,000 – 2,500 patients each year.
If we receive regulatory approvals for omidubicel, we intend, where appropriate, to pursue commercialization relationships, including strategic alliances and licensing arrangements with pharmaceutical companies and other strategic partners that are equipped to market or sell our products through their well-developed sales, marketing and distribution organizations in such countries.
Intellectual Property
We strive to protect and enhance the proprietary technologies, inventions, products and product candidates, methods of manufacture, methods of using our products and product candidates, and improvements thereof that are commercially important to our business. We protect our proprietary intellectual property by, among other things, filing patent applications in the United States and in jurisdictions outside of the United States covering our proprietary technologies, inventions, products and product candidates, methods, and improvements that are important to the development and implementation of our business.
As of December 31, 2022, we own 33 issued patents and 61 pending patent applications worldwide, including five U.S. issued patents, six pending U.S. non-provisional patent applications and three pending PCT applications.
17
We own two issued patents in the United States and 17 issued foreign patents related to our omidubicel product candidate. The patents that we own outside of the United States are granted in Australia, Canada, Europe, Hong Kong, Israel, Japan, Singapore, and South Africa. In addition, we own two pending U.S. non-provisional patent applications and 16 pending foreign patent applications related to our omidubicel product candidate. These patents and pending patent applications contain composition-of-matter claims to our omidubicel product candidate, and claims to methods of producing and methods of treatment using omidubicel. Not accounting for any patent term adjustment, regulatory extension or terminal disclaimers, and assuming that all annuity and/or maintenance fees are paid timely, these patents, and if granted, these patent applications, will expire from 2023 to 2038. In particular, U.S. Patent No. 7,955,852, EP Patent No. 1576089, EP Patent No. 2206773, JP Patent No. 4738738, and IL Patent No. 163180, which relate to methods of expanding a population of hematopoietic stem cells by culturing the cells with nicotinamide or nicotinamide analogs, and transplantable cell populations produced by these methods, expire in 2023, not accounting for any patent term adjustment, regulatory extension or terminal disclaimers, and assuming that all annuity and/or maintenance fees are paid timely and U.S. Patent No. 8,846,393, EP Patent No. 1974012, JP Patent No. 5102773 and IL Patent No. 191669, which relate to methods of enhancing cell homing and engraftment potential of hematopoietic stem cells by expansion in the presence of nicotinamide, expire in 2026, not accounting for any patent term adjustment, regulatory extension or terminal disclaimers, and assuming that all annuity and/or maintenance fees are paid timely.
We own 11 issued foreign patents related to GDA-201. The patents that we own outside of the United States are granted in Australia, Canada, Europe, Hong Kong, Israel, Canada, and Japan. In addition, we own four pending U.S. non-provisional patent applications, one pending PCT patent application and 36 pending foreign patent applications related to our GDA-201 product candidate. These patents and pending patent applications contain composition-of-matter claims to our GDA-201 product candidate, and claims to methods of producing and methods of treatment using our GDA-201 product candidate. Not accounting for any patent term adjustment, regulatory extension or terminal disclaimers, and assuming that all annuity and/or maintenance fees are paid timely, these patents, and if granted, the U.S. non-provisional patent applications and foreign patent applications, will expire from 2030 to 2040, and patents, and if granted, patent applications claiming priority to the PCT application will expire in 2042. In particular, EP Patent No. 2519239, EP Patent No. 3184109, JP Patent No. 5943843, JP Patent No. 6215394, IL Patent No. 220660, IL Patent No. 259642, CA Patent No. 2,785,627 and CN Patent No. ZL201710426660.X, which relate to methods of expanding a population of natural killer cells by culturing the cells with nicotinamide or nicotinamide analogs, and transplantable cell populations produced by these methods, expire in 2030, not accounting for any patent term adjustment, regulatory extension or terminal disclaimers, and assuming that all annuity and/or maintenance fees are paid timely.
We own PCT application related to GDA-301 and GDA-601. This pending PCT application contains composition-of-matter claims to our GDA-301 and GDA-601 product candidates, and claims to methods of producing and methods of treatment using our GDA-301 and GDA-601 product candidates. Not accounting for any patent term adjustment, regulatory extension or terminal disclaimers, and assuming that all annuity and/or maintenance fees are paid timely, patent applications claiming priority to this U.S. PCT, if granted, would expire in 2042.
We own two PCT applications related to GDA-501. These PCT applications contain composition-of-matter claims to our GDA-501 product candidate, and claims to methods of producing and methods of treatment using our GDA-501 product candidate. Not accounting for any patent term adjustment, regulatory extension or terminal disclaimers, and assuming that all annuity and/or maintenance fees are paid timely, patent applications claiming priority to these PCT applications, if granted, would expire in 2042.
In addition, we filed for and obtained trademark registration in the China, Europe, Hong Kong, Mexico, Canada, Brazil, Russian Federation, Israel, Great Britain and WIPO (International) for “Gamida Cell”, and in Israel for “Symrepliq”, “Gamida-Cell Assist”, “Nampluri”, “Namrepli”, “Namtypic”, “Omisirge” and “Omplusto”. We also rely upon trade secrets, know-how and continuing technological innovation to develop, strengthen and maintain our competitive position.
18
The term of individual patents depends upon the legal term for patents in the countries in which they are obtained. In most countries in which we have filed, including the United States, the patent term is 20 years from the earliest filing date of a non-provisional patent application. In the United States, a patent’s term may be lengthened by patent term adjustment, which compensates a patentee for administrative delays by the USPTO in examining and granting a patent or may be shortened if a patent is terminally disclaimed over an earlier filed patent. The term of a patent that covers a drug or biological product may also be eligible for patent term extension when FDA approval is granted for a portion of the term effectively lost as a result of the FDA regulatory review period, subject to certain limitations and provided statutory and regulatory requirements are met. Any such patent term extension can be for no more than five years, only one patent per approved product can be extended, the extension cannot extend the total patent term beyond 14 years from approval, and only those claims covering the approved drug, a method for using it or a method for manufacturing it may be extended. We may not receive an extension if we fail to exercise due diligence during the testing phase or regulatory review process, fail to apply within applicable deadlines, fail to apply prior to expiration of relevant patents or otherwise fail to satisfy applicable requirements. Moreover, the length of the extension could be less than we request. In the future, if and when our product candidates receive approval from the FDA or foreign regulatory authorities, we expect to apply for patent term extensions on issued patents we may obtain in the future covering those products, depending upon the length of the clinical trials for each product and other factors. There can be no assurance that any of our pending patent applications will issue or that we will benefit from any patent term extension or favorable adjustment to the term of any of our patents.
Provisional patent applications are not eligible to become issued patents until, among other things, we file a non-provisional patent application within 12 months of filing of one or more of our related provisional patent applications. If we do not timely file any non-provisional patent applications, we may lose our priority date with respect to our provisional patent applications and any patent protection on the inventions disclosed in our provisional patent applications.
As with other biotechnology and pharmaceutical companies, our ability to establish and maintain our proprietary and intellectual property position for our product candidates will depend on our success in obtaining effective patent claims and enforcing those claims if granted. There can be no assurance that any of our current or future patent applications will result in the issuance of patents or that any of our current or future issued patents will provide any meaningful protection of our product candidates or technology. For more information regarding the risks related to our intellectual property, see “Item 1A: Risk Factors-Risks Related to Our Intellectual Property.”
Research Grants
Grants under the Innovation Law
Under the Encouragement of Research, Development and Technological Innovation in the Industry Law 5744-1984, and the provisions of the applicable regulations, rules, procedures and benefit tracks, (collectively, the “Innovation Law”), research and development programs that meet specified criteria and are approved by a committee of the IIA are eligible for grants. The grants awarded are typically up to 50% of the project’s expenditures, as determined by the research committee and subject to the benefit track under which the grant was awarded. A company that receives a grant from the IIA, or a grant recipient, is typically required to pay royalties to the IIA on income generated from products incorporating know-how developed using such grants (including income derived from services associated with such products), until 100% of the U.S. dollars linked grant plus annual LIBOR interest is repaid. The rate of royalties to be paid may vary between different benefits tracks, as shall be determined by the IIA. Under the regular benefits tracks the rate of royalties varies from 3% to 3.5% of the income generated from the IIA-supported products. The obligation to pay royalties is contingent on actual income generated from such products and services. In the absence of such income, no payment of such royalties is required.
The terms of the grants under the Innovation Law also generally require that the products developed as part of the programs under which the grants were given be manufactured in Israel and that the know-how developed thereunder may not be transferred outside of Israel, unless a prior written approval is received from the IIA (such approval is not required for the transfer of a portion of the manufacturing capacity which does not exceed, in the aggregate, 10% of the portion declared to be manufactured outside of Israel in the applications for funding, in which case only notification is required) and additional payments are required to be made to the IIA. It should be noted that this does not restrict the export of products that incorporate the funded know-how. See “Item 1A: Risk Factors-Risks Related to Israeli Law and Our Operations in Israel” for additional information.
Since our incorporation, we have received grants from the IIA relating to various projects. We were members of Bereshit Consortium, sponsored by IIA in which certain of our technologies were developed, such program does not require payments of royalties to the IIA, but all other restrictions under the Innovation Law, such as local manufacturing obligations and know-how transfer limitations, as further detailed hereunder, are applicable to the know how developed by us with the funding received in such consortium program. No royalties have been paid to the IIA in respect of any grant. Our total outstanding obligation to the IIA, including the interest accrued through December 31, 2022, amounts to approximately $43.5 million of which $37.7 million is royalty-bearing grants, and approximately $2.6 million is non-royalty-bearing grants.
19
Government Regulation in the U.S.
The FDA and other regulatory authorities at federal, state, and local levels, as well as in non-U.S. countries, extensively regulate, among other things, the research, development, testing, manufacture, quality control, import, export, safety, effectiveness, labeling, packaging, storage, distribution, record keeping, approval, advertising, promotion, marketing, post-approval monitoring, and post-approval reporting of biologics such as those we are developing. We, along with third-party contractors, will be required to navigate the various preclinical, clinical and commercial approval requirements of the governing regulatory agencies of the countries in which we wish to conduct studies or seek approval or licensure of our product candidates.
The process required by the FDA before biologic product candidates may be marketed in the United States generally involves the following:
| ● | completion of preclinical laboratory tests and animal studies performed in accordance with the FDA’s Good Laboratory Practices, or GLP, regulation; |
| ● | submission to the FDA of an IND, which must become effective before clinical trials may begin and must be updated annually or when significant changes are made; |
| ● | approval by an independent Institutional Review Board, or IRB, or ethics committee at each clinical site before the trial is commenced; |
| ● | performance of adequate and well-controlled human clinical trials to establish the safety, purity and potency of the proposed biologic product candidate for its intended purpose; |
| ● | preparation of and submission to the FDA of a Biologics License Application, or BLA, after completion of all pivotal clinical trials; |
| ● | a determination by the FDA within 60 days of its receipt of a BLA to file the application for review; satisfactory completion of an FDA Advisory Committee review, if applicable; |
| ● | satisfactory completion of an FDA pre-approval inspection of the manufacturing facility or facilities at which the proposed product is produced to assess compliance with current Good Manufacturing Practices, or cGMP, and to assure that the facilities, methods and controls are adequate to preserve the biological product’s continued safety, purity and potency, and of selected clinical investigation sites to assess compliance with Good Clinical Practices, or GCP; and |
| ● | FDA review and approval of the BLA to permit commercial marketing of the product for particular indications for use in the United States. |
Preclinical and Clinical Development
Prior to beginning the first clinical trial with a product candidate, we must submit an IND to the FDA. An IND is a request for authorization from the FDA to administer an investigational new drug product to humans. The central focus of an IND submission is on the general investigational plan and the protocol(s) for clinical studies. The IND also includes results of animal and in vitro studies assessing the toxicology, pharmacokinetics, pharmacology, and pharmacodynamic characteristics of the product; chemistry, manufacturing, and controls information; and any available human data or literature to support the use of the investigational product. An IND must become effective before human clinical trials may begin. The IND automatically becomes effective 30 days after receipt by the FDA, unless the FDA, within the 30-day time period, raises safety concerns or questions about the proposed clinical trial. In such a case, the IND may be placed on clinical hold and the IND sponsor and the FDA must resolve any outstanding concerns or questions before the clinical trial can begin. Submission of an IND therefore may or may not result in FDA authorization to begin a clinical trial.
20
For purposes of BLA approval, human clinical trials are typically conducted in three sequential phases that may overlap.
| ● | Phase 1: The investigational product is initially introduced into patients with the target disease or condition. These studies are designed to test the safety, dosage tolerance, absorption, metabolism and distribution of the investigational product in humans, the side effects associated with increasing doses, and, if possible, to gain early evidence on effectiveness. |
| ● | Phase 2: The investigational product is administered to a limited patient population with a specified disease or condition to evaluate the preliminary efficacy, optimal dosages and dosing schedule and to identify possible adverse side effects and safety risks. Multiple Phase 2 clinical trials may be conducted to obtain information prior to beginning larger and more expensive Phase 3 clinical trials. |
| ● | Phase 3: The investigational product is administered to an expanded patient population to further evaluate dosage, to provide statistically significant evidence of clinical efficacy and to further test for safety, generally at multiple geographically dispersed clinical trial sites. These clinical trials are intended to establish the overall risk/benefit ratio of the investigational product and to provide an adequate basis for product approval. |
In some cases, the FDA may require, or companies may voluntarily pursue, additional clinical trials after a product is approved to gain more information about the product. These so- called Phase 4 studies may be made a condition to approval of the BLA. In addition, the FDA may require post-marketing commitments following approval. Concurrent with clinical trials, companies may complete additional animal studies and develop additional information about the biological characteristics of the product candidate, and must finalize a process for manufacturing the product in commercial quantities in accordance with cGMP requirements. The manufacturing process must be capable of consistently producing quality batches of the product candidate and, among other things, must develop methods for testing the identity, strength, quality and purity of the final product, or for biologics, the safety, purity and potency. Compliance with Good Tissue Practices, or GTPs, is also required to the extent applicable. These are FDA regulations and guidance documents that govern the methods used in, and the facilities and controls used for, the manufacture of human cells, tissues, and cellular and tissue based products, or HCT/Ps, which are human cells or tissue intended for implantation, transplant, infusion, or transfer into a human recipient. The primary intent of the GTP requirements is to ensure that cell and tissue based products are manufactured in a manner designed to prevent the introduction, transmission and spread of communicable disease. Good Tissue Practices regulations also require tissue establishments to register and list their HCT/Ps with the FDA and when applicable, to evaluate donors through screening and testing. Additionally, appropriate packaging must be selected and tested and stability studies must be conducted to demonstrate that the product candidate does not undergo unacceptable deterioration over its shelf life.
BLA Submission and Review
Assuming successful completion of all required testing in accordance with all applicable regulatory requirements, the results of product development, nonclinical studies and clinical trials are submitted to the FDA as part of a BLA requesting approval to market the product for one or more indications. The BLA must include all relevant data available from pertinent preclinical and clinical studies, including negative or ambiguous results as well as positive findings, together with detailed information relating to the product’s chemistry, manufacturing, controls, and propose labeling, among other things. The submission of a BLA requires payment of a substantial application user fee to FDA, unless a waiver or exemption applies.
Once a BLA has been submitted, the FDA’s goal is to review standard applications within ten months after it accepts the application for filing, or, if the application qualifies for priority review, six months after the FDA accepts the application for filing. The FDA may issue a refusal-to-file letter if the BLA is not sufficiently complete to permit substantive review. In both standard and priority reviews, the review process is often significantly extended by FDA requests for additional information or clarification. The FDA reviews a BLA to determine among other things, whether a product is safe, pure and potent and the facility in which it is manufactured, processed, packed, or held meets standards designed to assure the product’s continued safety, purity and potency. The FDA may convene an advisory committee to provide clinical insight on application review questions. Before approving a BLA, the FDA will typically inspect the facility or facilities where the product is manufactured. The FDA will not approve an application unless it determines that the manufacturing processes and facilities are in compliance with cGMP requirements and adequate to assure consistent production of the product within required specifications. Additionally, before approving a BLA, the FDA will typically inspect one or more clinical sites to assure compliance with GCP. If the FDA determines that the application, manufacturing process or manufacturing facilities are not acceptable, it will outline the deficiencies in the submission and often will request additional testing or information. Notwithstanding the submission of any requested additional information, the FDA ultimately may decide that the application does not satisfy the regulatory criteria for approval.
21
After the FDA evaluates a BLA and conducts inspections of manufacturing facilities where the investigational product will be produced, the FDA may issue an approval letter or a Complete Response letter. An approval letter authorizes commercial marketing of the product with specific prescribing information for specific indications. A Complete Response letter will describe all of the deficiencies that the FDA has identified in the BLA, except that where the FDA determines that the data supporting the application are inadequate to support approval, the FDA may issue the Complete Response letter without first conducting required inspections, testing submitted product lots, and/or reviewing proposed labeling. In issuing the Complete Response letter, the FDA may recommend actions that the applicant might take to place the BLA in condition for approval, including requests for additional information or clarification. The FDA may delay or refuse approval of a BLA if applicable regulatory criteria are not satisfied, require additional testing or information and/or require post-marketing testing and surveillance to monitor safety or efficacy of a product.
If regulatory approval of a product is granted, such approval will be granted for particular indications and may entail limitations on the indicated uses for which such product may be marketed. For example, the FDA may approve the BLA with a Risk Evaluation and Mitigation Strategy, or REMS, to ensure the benefits of the product outweigh its risks. A REMS is a safety strategy to manage a known or potential serious risk associated with a product and to enable patients to have continued access to such medicines by managing their safe use, and could include medication guides, physician communication plans, or elements to assure safe use, such as restricted distribution methods, patient registries and other risk minimization tools. The FDA also may condition approval on, among other things, changes to proposed labeling or the development of adequate controls and specifications. Once approved, the FDA may withdraw the product approval if compliance with pre- and post-marketing requirements is not maintained or if problems occur after the product reaches the marketplace. The FDA may require one or more Phase 4 post-market studies and surveillance to further assess and monitor the product’s safety and effectiveness after commercialization, and may limit further marketing of the product based on the results of these post-marketing studies.
Post-Approval Requirements
Any products manufactured or distributed by us pursuant to FDA approvals are subject to pervasive and continuing regulation by the FDA, including, among other things, requirements relating to record-keeping, reporting of adverse experiences, periodic reporting, product sampling and distribution, and advertising and promotion of the product. After approval, most changes to the approved product, such as adding new indications or other labeling claims, are subject to prior FDA review and approval. There also are continuing user fee requirements, under which FDA assesses an annual program fee for each product identified in an approved BLA. Biologic manufacturers and their subcontractors are required to register their establishments with the FDA and certain state agencies, and are subject to periodic unannounced inspections by the FDA and certain state agencies for compliance with cGMP, which impose certain procedural and documentation requirements upon us and our third-party manufacturers.
Changes to the manufacturing process are strictly regulated, and, depending on the significance of the change, may require prior FDA approval before being implemented. FDA regulations also require investigation and correction of any deviations from cGMP and impose reporting requirements upon us and any third-party manufacturers that we may decide to use. Accordingly, manufacturers must continue to expend time, money and effort in the area of production and quality control to maintain compliance with cGMP and other aspects of regulatory compliance.
22
The FDA may withdraw approval if compliance with regulatory requirements and standards is not maintained or if problems occur after the product reaches the market. Later discovery of previously unknown problems with a product, including adverse events of unanticipated severity or frequency, or with manufacturing processes, or failure to comply with regulatory requirements, may result in revisions to the approved labeling to add new safety information; imposition of post-market studies or clinical studies to assess new safety risks; or imposition of distribution restrictions or other restrictions under a REMS program. Other potential consequences include, among other things:
| ● | restrictions on the marketing or manufacturing of a product, complete withdrawal of the product from the market or product recalls; |
| ● | fines, warning letters or holds on post-approval clinical studies; |
| ● | refusal of the FDA to approve pending applications or supplements to approved applications, or suspension or revocation of existing product approvals; |
| ● | product seizure or detention, or refusal of the FDA to permit the import or export of products; or |
| ● | injunctions or the imposition of civil or criminal penalties. |
The FDA closely regulates the marketing, labeling, advertising and promotion of biologics. A company can make only those claims relating to safety and efficacy, purity and potency that are approved by the FDA and in accordance with the provisions of the approved label. The FDA and other agencies actively enforce the laws and regulations prohibiting the promotion of off-label uses. Failure to comply with these requirements can result in, among other things, adverse publicity, warning letters, corrective advertising and potential civil and criminal penalties. Physicians may prescribe legally available products for uses that are not described in the product’s labeling and that differ from those tested by us and approved by the FDA. Such off-label uses are common across medical specialties. Physicians may believe that such off-label uses are the best treatment for many patients in varied circumstances. The FDA does not regulate the behavior of physicians in their choice of treatments. The FDA does, however, restrict manufacturer’s communications on the subject of off-label use of their products.
Breakthrough Therapy Designation
A sponsor may seek FDA designation of a product candidate as a “breakthrough therapy” if the product is intended, alone or in combination with one or more other products, to treat a serious or life-threatening disease or condition and preliminary clinical evidence indicates that the product may demonstrate substantial improvement over existing therapies on one or more clinically significant endpoints, such as substantial treatment effects observed early in clinical development. The designation allows more intensive FDA interaction and guidance. The breakthrough therapy designation is a distinct status from both accelerated approval and priority review, which can also be granted to the same drug if relevant criteria are met. If a product is designated as breakthrough therapy, the FDA will work to expedite the development and review of such drug.
Government Regulation in the EU
Clinical Trials in the EU
In the EU, clinical trials are governed by the Clinical Trials Regulation (EU) No 536/2014, or CTR, which entered into effect on January 31, 2022, repealing and replacing the former Clinical Trials Directive 2001/20, or CTD, and related national implementing legislation of EU Member States.
The CTR is intended to harmonize and streamline clinical trial authorizations, simplify adverse-event reporting procedures, improve the supervision of clinical trials and increasing their transparency. Specifically, the regulation, which is directly applicable in all EU Member States, introduces a streamlined application procedure through a single-entry point, the "EU portal", the Clinical Trials Information System, or CTIS; a single set of documents to be prepared and submitted for the application; as well as simplified reporting procedures for clinical trial sponsors. A harmonized procedure for the assessment of applications for clinical trials has been introduced and is divided into two parts. Part I assessment is led by the competent authorities of a reference Member State selected by the trial sponsor and relates to clinical trial aspects that are considered to be scientifically harmonized across EU Member States. This assessment is then submitted to the competent authorities of all concerned Member States in which the trial is to be conducted for their review. Part II is assessed separately by the competent authorities and Ethics Committees in each concerned EU Member State. Individual EU Member States retain the power to authorize the conduct of clinical trials on their territory.
23
The extent to which on-going clinical trials will be governed by the CTR will depend on the duration of the individual clinical trial. Sponsors could choose to submit a clinical trial application under either the CTD or the CTR until January 31, 2023. For clinical trials in relation to which application for approval was made on the basis of the CTD before January 31, 2022, the CTD will continue to apply on a transitional basis for three years. If authorized, those clinical trials will be governed by the CTD until January 31, 2025. By that date, all ongoing trials will become subject to the provisions of the CTR. The CTR will apply to clinical trials from an earlier date if the clinical trial has already transitioned to the CTR framework.
EU Review and Approval Process
In the EU, medicinal products can only be commercialized after a related marketing authorization, or MA, has been granted. A company may submit a marketing authorization application, or MAA, either on the basis of the centralized, or decentralized procedure or mutual recognition procedure.
To obtain an MA for a product in the EU, which is valid throughout the EEA, an applicant must submit an MAA either under a centralized procedure administered by the EMA or one of the procedures administered by competent authorities in the EU Member States (decentralized procedure, national procedure or mutual recognition procedure). An MA may be granted only to an applicant established in the EU.
The centralized procedure provides for the grant of a single MA by the European Commission that is valid for all EU Member States. Pursuant to Regulation (EC) No 726/2004, the centralized procedure is compulsory for specific products, including for (i) medicinal products derived from biotechnological processes, (ii) products designated as orphan medicinal products, (iii) advanced therapy medicinal products, or ATMPs, and (iv) products with a new active substance indicated for the treatment of HIV/AIDS, cancer, neurodegenerative diseases, diabetes, auto-immune and other immune dysfunctions and viral diseases. For products with a new active substance indicated for the treatment of other diseases and products that are highly innovative or for which a centralized process is in the interest of patients, authorization through the centralized procedure is optional on related approval.
Under the centralized procedure, the EMA’s Committee for Medicinal Products for Human Use, or CHMP, conducts the initial assessment of a product. The CHMP is also responsible for several post-authorization and maintenance activities, such as the assessment of modifications or extensions to an existing MA.
Under the centralized procedure in the EU, the maximum timeframe for the evaluation of an MAA is 210 days, excluding clock stops when additional information or written or oral explanation is to be provided by the applicant in response to questions of the CHMP. Accelerated assessment may be granted by the CHMP in exceptional cases, when a medicinal product targeting an unmet medical need is expected to be of major interest from the point of view of public health and, in particular, from the viewpoint of therapeutic innovation. If the CHMP accepts a request for accelerated assessment, the time limit of 210 days will be reduced to 150 days (excluding clock stops). The CHMP can, however, revert to the standard time limit for the centralized procedure if it considers that it is no longer appropriate to conduct an accelerated assessment.
Unlike the centralized authorization procedure, the decentralized MA procedure requires a separate application to, and leads to separate approval by, the competent authorities of each EU Member State in which the product is to be marketed. This application is identical to the application that would be submitted to the EMA for authorization through the centralized procedure. The reference EU Member State prepares a draft assessment and drafts of the related materials within 120 days after receipt of a valid application. The resulting assessment report is submitted to the concerned EU Member States who, within 90 days of receipt, must decide whether to approve the assessment report and related materials. If a concerned EU Member State cannot approve the assessment report and related materials due to concerns relating to a potential serious risk to public health, disputed elements may be referred to the Heads of Medicines Agencies’ Coordination Group for Mutual Recognition and Decentralised Procedures – Human, or CMDh, for review. The subsequent decision of the European Commission is binding on all EU Member States.
24
The mutual recognition procedure allows companies that have a medicinal product already authorized in one EU Member State to apply for this authorization to be recognized by the competent authorities in other EU Member States. Like the decentralized procedure, the mutual recognition procedure is based on the acceptance by the competent authorities of the EU Member States of the MA of a medicinal product by the competent authorities of other EU Member States. The holder of a national MA may submit an application to the competent authority of an EU Member State requesting that this authority recognize the MA delivered by the competent authority of another EU Member State.
An MA has, in principle, an initial validity of five years. The MA may be renewed after five years on the basis of a re-evaluation of the risk-benefit balance by the EMA or by the competent authority of the EU Member State in which the original MA was granted. To support the application, the MA holder must provide the EMA or the competent authority with a consolidated version of the eCTD (Common Technical Document) providing up-to-date data concerning the quality, safety and efficacy of the product, including all variations introduced since the MA was granted, at least nine months before the MA ceases to be valid. The European Commission or the competent authorities of the EU Member States may decide on justified grounds relating to pharmacovigilance, to proceed with one further five-year renewal period for the MA. Once subsequently definitively renewed, the MA shall be valid for an unlimited period. Any authorization which is not followed by the actual placing of the medicinal product on the EU market (for a centralized MA) or on the market of the authorizing EU Member State within three years after authorization ceases to be valid (the so-called sunset clause).
Innovative products that target an unmet medical need and are expected to be of major public health interest may be eligible for a number of expedited development and review programs, such as the Priority Medicines, or PRIME, scheme, which provides incentives similar to the breakthrough therapy designation in the U.S. PRIME is a voluntary scheme aimed at enhancing the EMA’s support for the development of medicinal products that target unmet medical needs. Eligible products must target conditions for which there is an unmet medical need (there is no satisfactory method of diagnosis, prevention or treatment in the EU or, if there is, the new medicinal product will bring a major therapeutic advantage) and they must demonstrate the potential to address the unmet medical need by introducing new methods of therapy or improving existing ones. Benefits accrue to sponsors of product candidates with PRIME designation, including but not limited to, early and proactive regulatory dialogue with the EMA, frequent discussions on clinical trial designs and other development program elements, and potentially accelerated MAA assessment once a dossier has been submitted.
In the EU, a “conditional” MA may be granted in cases where all the required safety and efficacy data are not yet available. The European Commission may grant a conditional MA for a medicinal product if it is demonstrated that all of the following criteria are met: (i) the benefit-risk balance of the medicinal product is positive; (ii) it is likely that the applicant will be able to provide comprehensive data post-authorization; (iii) the medicinal product fulfils an unmet medical need; and (iv) the benefit of the immediate availability to patients of the medicinal product is greater than the risk inherent in the fact that additional data are still required. The conditional MA is subject to conditions to be fulfilled for generating the missing data or ensuring increased safety measures. It is valid for one year and must be renewed annually until all related conditions have been fulfilled. Once any pending studies are provided, the conditional MA can be converted into a traditional MA. However, if the conditions are not fulfilled within the timeframe set by the EMA and approved by the European Commission, the MA will cease to be renewed.
An MA may also be granted “under exceptional circumstances” where the applicant can show that it is unable to provide comprehensive data on efficacy and safety under normal conditions of use even after the product has been authorized and subject to specific procedures being introduced. These circumstances may arise in particular when the intended indications are very rare and, in the state of scientific knowledge at that time, it is not possible to provide comprehensive information, or when generating data may be contrary to generally accepted ethical principles. Like a conditional MA, an MA granted in exceptional circumstances is reserved to medicinal products intended to be authorized for treatment of rare diseases or unmet medical needs for which the applicant does not hold a complete data set that is required for the grant of a standard MA. However, unlike the conditional MA, an applicant for authorization in exceptional circumstances is not subsequently required to provide the missing data. Although the MA “under exceptional circumstances” is granted definitively, the risk-benefit balance of the medicinal product is reviewed annually, and the MA will be withdrawn if the risk-benefit ratio is no longer favorable.
25
Other Healthcare Regulations
Our business operations and current and future arrangements with investigators, healthcare professionals, consultants, third-party payers, patient organizations and customers, may expose us to broadly applicable fraud and abuse and other healthcare laws and regulations. These laws may constrain the business or financial arrangements and relationships through which we conduct our operations, including how we research, market, sell and distribute our product candidates, if approved. Such laws include those described below.
The federal Anti-Kickback Statute prohibits, among other things, any person or entity, from knowingly and willfully offering, paying, soliciting or receiving any remuneration, directly or indirectly, overtly or covertly, in cash or in kind, to induce or reward, or in return for, the referral of an individual for, or purchasing, leasing, ordering, or arranging for the purchase, lease or order of, any good, facility, item or service reimbursable under Medicare, Medicaid or other federal healthcare programs. The federal Anti-Kickback Statute has been interpreted to apply to arrangements between pharmaceutical manufacturers on the one hand and prescribers, purchasers, and formulary managers on the other hand. The term remuneration has been interpreted broadly to include anything of value. There are a number of statutory exceptions and regulatory safe harbors protecting some common activities from prosecution. The exceptions and safe harbors are drawn narrowly and practices that involve remuneration that may be alleged to be intended to induce prescribing, purchasing or recommending may be subject to scrutiny if they do not qualify for an exception or safe harbor. Failure to meet all of the requirements of a particular applicable statutory exception or regulatory safe harbor does not make the conduct per se illegal under the federal Anti-Kickback Statute. Instead, the legality of the arrangement will be evaluated on a case-by-case basis based on a cumulative review of all facts and circumstances. Additionally, the Patient Protection and Affordable Care Act of 2010, as amended by the Health Care and Education Reconciliation Act of 2010, or collectively the PPACA, amended the intent requirement of the federal Anti-Kickback Statute, and other healthcare criminal fraud statutes, so that a person or entity no longer needs to have actual knowledge of the federal Anti-Kickback Statute, or the specific intent to violate it, to have violated the statute. The PPACA also provided that a violation of the federal Anti-Kickback Statute is grounds for the government or a whistleblower to assert that a claim for payment of items or services resulting from such violation constitutes a false or fraudulent claim for purposes of the federal civil False Claims Act.
The federal civil and criminal false claims laws, including the federal civil False Claims Act, or FCA, prohibit, among other things, any person or entity from knowingly presenting, or causing to be presented, a false claim for payment to, or approval by, the U.S. federal government, including the Medicare and Medicaid programs, or knowingly making, using, or causing to be made or used a false record or statement material to a false or fraudulent claim or to avoid, decrease or conceal an obligation to pay money to the federal government. As a result of a modification made by the Fraud Enforcement and Recovery Act of 2009, a claim includes “any request or demand” for money or property presented to the U.S. government.
In addition, manufacturers can be held liable under the FCA even when they do not submit claims directly to government payers if they are deemed to “cause” the submission of false or fraudulent claims. The FCA also permits a private individual acting as a “whistleblower” to bring actions on behalf of the federal government alleging violations of the FCA and to share in any monetary recovery. FCA liability is potentially significant in the healthcare industry because the statute provides for treble damages and mandatory penalties. Government enforcement agencies and private whistleblowers have investigated pharmaceutical companies for or asserted liability under the FCA for a variety of alleged impermissible promotional and marketing activities, such as providing free product to customers with the expectation that the customers would bill federal programs for the product; providing consulting fees and other benefits to physicians to induce them to prescribe products; engaging in promotion for “off-label” uses; and submitting inflated best price information to the Medicaid Rebate Program.
The federal Health Insurance Portability and Accountability Act of 1996, or HIPAA, created additional federal criminal statutes that prohibits, among other things, knowingly and willfully executing, or attempting to execute, a scheme to defraud any healthcare benefit program or obtain, by means of false or fraudulent pretenses, representations or promises, any of the money or property owned by, or under the custody or control of, any healthcare benefit program, regardless of whether the payer is public or private, knowingly and willfully embezzling or stealing from a health care benefit program, willfully obstructing a criminal investigation of a health care offense and knowingly and willfully falsifying, concealing or covering up by any trick, scheme or device a material fact or making any materially false, fictitious or fraudulent statements in connection with the delivery of, or payment for, healthcare benefits, items or services relating to healthcare matters. Additionally, the PPACA amended the intent requirement of some of these criminal statutes under HIPAA so that a person or entity no longer needs to have actual knowledge of the statute, or the specific intent to violate it, to have committed a violation.
26
Additionally, the federal Open Payments program pursuant to the Physician Payments Sunshine Act, created under Section 6002 of the PPACA and its implementing regulations, require some manufacturers of drugs, devices, biologicals and medical supplies for which payment is available under Medicare, Medicaid or the Children’s Health Insurance Program (with specified exceptions) to report annually information related to specified payments or other transfers of value provided to physicians (defined to include doctors, dentists, optometrists, podiatrists, and chiropractors), other healthcare professionals (such as physician assistants and nurse practitioners) and teaching hospitals, or to entities or individuals at the request of, or designated on behalf of, the physicians, and teaching hospitals and to report annually specified ownership and investment interests held by physicians and their immediate family members.
In addition, we may be subject to data privacy and security regulation of both the federal government and the states in which we conduct our business. HIPAA, as amended by the Health Information Technology for Economic and Clinical Health Act, or HITECH, and their implementing regulations, impose requirements relating to the privacy, security and transmission of individually identifiable health information held by covered entities subject to the law, such as health plans, healthcare clearinghouses, and certain healthcare providers, and their business associates, defined as independent contractors or agents of covered entities that create, receive, maintain or transmit protected health information in connection with providing a service for or on behalf of a covered entity and their subcontractors that use, disclose, access, or otherwise process protected health information. Among other things, HITECH created new tiers of civil monetary penalties, amended HIPAA to make civil and criminal penalties and HIPAA’s security standards directly applicable to business associates, and gave state attorneys general new authority to file civil actions for damages or injunctions in federal courts to enforce the federal HIPAA laws and seek attorneys’ fees and costs associated with pursuing federal civil actions.
Further, the U.S. Public Health Service Act, prohibits, among other things, the introduction into interstate commerce of a biological product unless a biologics license is in effect for that product.
Many states have also adopted laws similar to each of the above federal laws, which may be broader in scope and apply to items or services reimbursed by any third-party payer, including commercial insurers. We may also be subject to state laws that require pharmaceutical companies to comply with the pharmaceutical industry’s voluntary compliance guidelines and the relevant compliance guidance promulgated by the federal government, state and local laws that require the registration of pharmaceutical sales representatives, state laws that require drug manufacturers to report information related to payments and other transfers of value to physicians and other healthcare providers or marketing expenditures and pricing information, and/or state laws governing the privacy and security of health information in certain circumstances, many of which differ from each other in significant ways and may not have the same effect, thus complicating compliance efforts.
Ensuring that our internal operations and business arrangements with third parties comply with applicable healthcare laws and regulations will likely be costly. It is possible that governmental authorities will conclude that our business practices do not comply with current or future statutes, regulations or case law involving applicable fraud and abuse or other healthcare laws and regulations. If our operations were found to be in violation of any of these laws or any other governmental regulations that may apply to us, we may be subject to significant civil, criminal and administrative penalties, damages, fines, disgorgement, imprisonment, possible exclusion from government funded healthcare programs, contractual damages, reputational harm, diminished profits and future earnings, additional reporting obligations and oversight if we become subject to a corporate integrity agreement or other agreement to resolve allegations of non-compliance with these laws, and curtailment of our operations, any of which could substantially disrupt our operations. If the physicians or other providers or entities with whom we expect to do business are found not to be in compliance with applicable laws, they may be subject to criminal, civil or administrative sanctions, including exclusions from government funded healthcare programs.
27
Coverage and Reimbursement
Significant uncertainty exists as to the coverage and reimbursement status of any product candidates for which we obtain regulatory approval. In the United States and markets in other countries, sales of any products for which we receive regulatory approval for commercial sale will depend, in part, on the extent to which third-party payers provide coverage, and establish adequate reimbursement levels for such products. In the United States, third-party payers include federal and state healthcare programs, private managed care providers, health insurers and other organizations.
The process for determining whether a third-party payer will provide coverage for a product may be separate from the process for setting the price of a product or for establishing the reimbursement rate that such a payer will pay for the product. Third-party payers may limit coverage to specific products on an approved list, or also known as a formulary, which might not include all of the FDA-approved products for a particular indication. Third-party payers are increasingly challenging the price, examining the medical necessity and reviewing the cost-effectiveness of medical products, therapies and services, in addition to questioning their safety and efficacy.
We may need to conduct expensive pharmaco-economic studies in order to demonstrate the medical necessity and cost-effectiveness of our products, in addition to the costs required to obtain the FDA approvals. Our product candidates may not be considered medically necessary or cost-effective. Payer’s decision to provide coverage for a product does not imply that an adequate reimbursement rate will be approved. Further, the determination of one payer to provide coverage for a product does not assure that other payers will also provide such coverage for the product.
Adequate third-party reimbursement may not be available to enable us to maintain price levels sufficient to realize an appropriate return on our investment in product development.
Different pricing and reimbursement schemes exist in other countries. In the European Union, pricing and reimbursement schemes vary widely from country to country. Some countries provide that products may be marketed only after a reimbursement price has been agreed. Some countries may require the completion of additional studies that compare the cost-effectiveness of a particular product candidate to currently available therapies (so called health technology assessments) in order to obtain reimbursement or pricing approval. For example, the European Union provides options for its member states to restrict the range of products for which their national health insurance systems provide reimbursement and to control the prices of medicinal products for human use. EU Member States may approve a specific price for a product, or they may instead adopt a system of direct or indirect controls on the profitability of the company placing the product on the market. Other EU Member States allow companies to fix their own prices for products but monitor and control prescription volumes and issue guidance to physicians to limit prescriptions. Recently, many countries in the EU have increased the amount of discounts required on pharmaceuticals and these efforts could continue as countries attempt to manage healthcare expenditures, especially in light of the severe fiscal and debt crises experienced by many countries in the EU. The downward pressure on healthcare costs in general, particularly prescription products, has become intense. As a result, increasingly high barriers are being erected to the entry of new products. Political, economic, and regulatory developments may further complicate pricing negotiations, and pricing negotiations may continue after reimbursement has been obtained. Reference pricing used by various EU Member States, and parallel trade (arbitrage between low-priced and high-priced EU Member States), can further reduce prices.
The downward pressure on health care costs has become very intense. As a result, increasingly high barriers are being erected to the entry of new products. In addition, in some countries, cross-border imports from low-priced markets exert a commercial pressure on pricing within a country.
The marketability of any of product candidates for which we receive regulatory approval for commercial sale may suffer if the government and third-party payers fail to provide adequate coverage and reimbursement. In addition, emphasis on managed care in the United States has increased and we expect will continue to increase the pressure on healthcare pricing. Coverage policies and third-party reimbursement rates may change at any time. Even if favorable coverage and reimbursement status is attained for one or more products for which we receive regulatory approval, less favorable coverage policies and reimbursement rates may be implemented in the future.
28
Healthcare Reform Measures
The United States and some non-U.S. jurisdictions are considering or have enacted a number of legislative and regulatory proposals designed to change the healthcare system. Among policy makers and payers in the United States and elsewhere, there is significant interest in promoting changes in healthcare systems with the stated goals of containing healthcare costs, improving quality and/or expanding access. In the United States, the pharmaceutical industry has been a particular focus of these efforts and has been significantly affected by major legislative initiatives.
For example, the pharmaceutical industry in the United States has been affected by the passage of PPACA, which, among other things: imposed new fees on entities that manufacture or import certain branded prescription drugs; expanded pharmaceutical manufacturer obligations to provide discounts and rebates to certain government programs; implemented a licensure framework for follow-on biologic products; expanded health care fraud and abuse laws; revised the methodology by which rebates owed by manufacturers to the state and federal government under the Medicaid Drug Rebate Program are calculated for certain drugs and biologics, including products that are inhaled, infused, instilled, implanted or injected; imposed an additional rebate similar to an inflation penalty on new formulations of drugs; extended the Medicaid Drug Rebate Program to utilization of prescriptions of individuals enrolled in Medicaid managed care organizations; expanded the 340B program which caps the price at which manufacturers can sell covered outpatient pharmaceuticals to specified hospitals, clinics and community health centers; and provided incentives to programs that increase the federal government’s comparative effectiveness research.
There have been judicial and Congressional challenges to certain aspects of the PPACA. While Congress has not passed comprehensive repeal legislation, several bills affecting the implementation of certain taxes under the PPACA have been signed into law. The Tax Cuts and Jobs Act of 2017, or Tax Act, includes a provision repealing, effective January 1, 2019, the tax-based shared responsibility payment imposed by the PPACA on certain individuals who fail to maintain qualifying health coverage for all or part of a year that is commonly referred to as the “individual mandate”. On June 17, 2021, the U.S. Supreme Court dismissed a challenge on procedural grounds that argued the PPACA is unconstitutional in its entirety because the “individual mandate” was repealed by Congress. Further, there have been a number of health reform measures by the Biden administration that have impacted the PPACA. For example, on August 16, 2022, President Biden signed the Inflation Reduction Act of 2022, or the IRA, into law, which among other things, extends enhanced subsidies for individuals purchasing health insurance coverage in PPACA marketplaces through plan year 2025. The IRA also eliminates the “donut hole” under the Medicare Part D program beginning in 2025 by significantly lowering the beneficiary maximum out-of-pocket cost and by creating a new manufacturer discount program. It is possible that the PPACA will be subject to judicial or Congressional challenges in the future. It is unclear how such challenges and the healthcare reform measures of the Biden administration.
Other legislative changes have been proposed and adopted in the United States since the PPACA was enacted. In August 2011, the Budget Control Act of 2011, among other things, included aggregate reductions of Medicare payments to providers of 2.0% per fiscal year, which went into effect in April 2013, and due to subsequent legislative amendments, including the BBA, will remain in effect until 2031, unless additional U.S. Congressional action is taken. Under current legislation, the actual reduction in Medicare payments will vary from 1% in 2022 to up to 4% in the final fiscal year of this sequester. In addition, in January 2013, President Obama signed into law the American Taxpayer Relief Act of 2012, which, among other things, reduced Medicare payments to several categories of healthcare providers and increased the statute of limitations period for the government to recover overpayments to providers from three to five years. Additional changes that may affect our business include new quality and payment programs such as Medicare payment for performance initiatives for physicians under the Medicare Access and CHIP Reauthorization Act of 2015, or MACRA, which ended the use of the statutory formula for clinician payment and established a quality payment incentive program, also referred to as the Quality Payment Program.
In addition, there has been increasing legislative and enforcement interest in the United States with respect to drug pricing practices in recent years, particularly with respect to drugs that have been subject to relatively large price increases over relatively short time periods. Specifically, there have been several recent U.S. Presidential executive orders, Congressional inquiries and proposed and enacted federal and state legislation designed to, among other things, bring more transparency to product pricing, review the relationship between pricing and manufacturer patient programs, reduce the cost of prescription drugs under Medicare and reform government program reimbursement methodologies for pharmaceutical products. At the federal level, for example, in July 2021, the Biden administration released an executive order, “Promoting Competition in the American Economy,” with multiple provisions aimed at prescription drugs. In response to Biden’s executive order, on September 9, 2021, the Department of Health and Human Services, or HHS, released a Comprehensive Plan for Addressing High Drug Prices that outlines principles for drug pricing reform and sets out a variety of potential legislative policies that Congress could pursue as well as potential administrative actions HHS can take to advance these principles. In addition, the IRA, among other things, (i) directs the Secretary of HHS to negotiate the price of certain high-expenditure, single-source drugs and biologics covered under Medicare Part B and Medicare Part D, and subjects drug manufacturers to civil monetary penalties and a potential excise tax by offering a price that is not equal to or less than the negotiated “maximum fair price” under the law, and (ii) imposes rebates under Medicare Part B and Medicare Part D to penalize price increases that outpace inflation. These provisions will take effect progressively starting in fiscal year 2023, although they may be subject to legal challenges. Further, the Biden administration released an additional executive order on October 14, 2022, directing HHS to report on how the Center for Medicare and Medicaid Innovation can be further leveraged to test new models for lowering drug costs for Medicare and Medicaid beneficiaries.
29
In addition, individual states in the United States have become increasingly active in passing legislation and implementing regulations designed to control pharmaceutical product pricing, including price or patient reimbursement constraints, discounts, restrictions on certain product access and marketing cost disclosure and transparency measures, and, in some cases, designed to encourage importation from other countries and bulk purchasing. In the future, there will likely continue to be proposals relating to the reform of the U.S. healthcare system, some of which could further limit coverage and reimbursement of products.
The Foreign Corrupt Practices Act
The Foreign Corrupt Practices Act, or FCPA, prohibits any U.S. individual or business from paying, offering or authorizing payment or offering of anything of value, directly or indirectly, to any non-U.S. official, political party or candidate for the purpose of influencing any act or decision of the non-U.S. entity in order to assist the individual or business in obtaining or retaining business. The FCPA also obligates companies whose securities are listed in the United States to comply with accounting provisions requiring the companies to maintain books and records that accurately and fairly reflect all transactions of the companies, including international subsidiaries, and to devise and maintain an adequate system of internal accounting controls for international operations.
Non-U.S. Government Regulation
To the extent that any of our product candidates, once approved, are sold in a country outside of the United States, we may be subject to similar non-U.S. laws and regulations, which may include, for instance, applicable post-marketing requirements, including safety surveillance, anti-fraud and abuse laws and implementation of corporate compliance programs and reporting of payments or other transfers of value to healthcare professionals.
In order to market our future products in the EEA (which is comprised of the 27 Member States of the European Union plus Norway, Iceland and Liechtenstein) and many other jurisdictions, we must obtain regulatory approvals from such jurisdictions. More precisely, in the EEA, medicinal products can only be commercialized after obtaining a Marketing Authorization, or MA. Our current product candidates would be subject to a centralized MA that would be granted by the European Commission.
The EU centralized MA, which is issued by the European Commission through the Centralized Procedure, based on the opinion of the Committee for Medicinal Products for Human Use of the European Medicines Agency, or EMA, is valid throughout the entire territory of the EEA. The Centralized Procedure is mandatory for certain types of products, such as biotechnology medicinal products, advanced therapeutic medicinal products, orphan medicinal products and medicinal products indicated for the treatment of HIV or AIDS, cancer, neurodegenerative disorders, diabetes, autoimmune and viral diseases. The Centralized Procedure is optional for products containing a new active substance not yet authorized in the EEA, or for products that constitute a significant therapeutic, scientific or technical innovation or which are in the interest of public health in the European Union. Further, gene therapy medicinal products, somatic cell therapy medicinal products and tissue-engineered medicinal products are additionally governed by Regulation (EC) No 1394/2007 on ATMPs, Directive 2004/23/EC and its implementing Directives governing the collection and use of human cells and tissues where applicable, Directive 2002/98/EC and its implementing Directives governing the collection and use of human blood where applicable, and the EC’s and EMA’s related guidance including GMP for (investigational) ATMPs.
Under the above-described procedures, before granting the MA, the EMA makes an assessment of the risk-benefit balance of the product on the basis of scientific criteria concerning its quality, safety and efficacy.
30
Data and Marketing Exclusivity
Upon receiving a marketing authorization in the EEA, innovative medicinal products generally receive eight years of data exclusivity and an additional two years of market exclusivity. If granted, data exclusivity prevents generic or biosimilar applicants from referencing the innovator's pre-clinical and clinical trial data contained in the dossier of the reference product when applying for a generic or biosimilar marketing authorization during a period of eight years from the date on which the reference product was first authorized in the EEA. During the additional two-year period of market exclusivity, a generic or biosimilar marketing authorization can be submitted, and the innovator's data may be referenced, but no generic or biosimilar product can be marketed until the expiration of the market exclusivity period. The overall ten-year period will be extended to a maximum of eleven years if, during the first eight years of those ten years, the marketing authorization holder obtains an authorization for one or more new therapeutic indications which, during the scientific evaluation prior to authorization, is held to bring a significant clinical benefit in comparison with existing therapies.
In the EEA, there is a special regime for biosimilars, or biological medicinal products that are similar to a reference medicinal product but that do not meet the definition of a generic medicinal product. For such products, the results of appropriate preclinical or clinical trials must be provided in support of an application for marketing authorization. Guidelines from the EMA detail the type of quantity of supplementary data to be provided for different types of biological product.
Pediatric Investigation Plan
In the EEA, Regulation (EC) No 1901/2006 provides that all marketing authorization applications for new medicinal products must include the results of trials conducted in the pediatric population, in compliance with a pediatric investigation plan, or PIP, agreed with the EMA’s Pediatric Committee, or PDCO. The PIP sets out the timing and measures proposed to generate data to support a pediatric indication of the medicinal product for which marketing authorization is being sought. The PDCO may grant a deferral of the obligation to implement some or all of the measures provided in the PIP until there are sufficient data to demonstrate the efficacy and safety of the product in adults. Furthermore, the obligation to provide pediatric clinical trial data can be waived by the PDCO when these data are not needed or appropriate because the product is likely to be ineffective or unsafe in children, the disease or condition for which the product is intended occurs only in adult populations, or when the product does not represent a significant therapeutic benefit over existing treatments for pediatric patients. Once study results are included in the product information, even when negative, the product is eligible for a six month extension to the Supplementary Protection Certificate or SPC if any is in effect at the time of authorization or, in the case of orphan medicinal products, a two-year extension of orphan market exclusivity. For other countries outside of the EEA, such as certain countries in Eastern Europe, Latin America or Asia, the requirements governing the conduct of clinical trials, product approval, pricing and reimbursement vary from country to country. In all cases, the clinical trials are to be conducted in accordance with GCP and the applicable regulatory requirements and the ethical principles that have their origin in the Declaration of Helsinki.
Orphan Drug Designation
Under the Orphan Drug Act, the FDA may designate a drug or biologic product as an orphan drug if it is intended to treat a rare disease or condition, defined as a patient population of fewer than 200,000 in the United States, or a patient population greater than 200,000 in the United States where there is no reasonable expectation that the cost of developing the drug will be recovered from sales in the United States.
In the United States, orphan drug designation entitles a party to financial incentives such as opportunities for grant funding towards clinical trial costs, tax advantages, and application fee waivers. In addition, if a product receives the first FDA approval for the indication for which it has orphan designation, the product is entitled to orphan drug exclusivity, which means the FDA may not approve any other application to market the same drug for the same indication for a period of seven years, except in limited circumstances, such as a showing of clinical superiority over the product with orphan exclusivity or where the manufacturer is unable to assure sufficient product quantity the orphan patient population.
31
In the EEA, a medicinal product can be designated as an orphan drug if its sponsor can establish that the product is intended for the diagnosis, prevention or treatment of a life-threatening or chronically debilitating condition affecting not more than five in ten thousand persons in the European Union when the application is made, or that the product is intended for the diagnosis, prevention or treatment of a life-threatening, seriously debilitating or serious and chronic condition in the European Community and that without incentives it is unlikely that the marketing of the drug in the EU would generate sufficient return to justify the necessary investment. For either of these conditions, the applicant must demonstrate that there exists no satisfactory method of diagnosis, prevention or treatment of the condition in question that has been authorized in the EU or, if such method exists, the drug will be of significant benefit to those affected by that condition.
In the EEA, an application for designation as an orphan product can be made any time prior to the filing of an application for approval to market the product. Marketing authorization for an orphan drug leads to a ten-year period of market exclusivity. During this market exclusivity period, the EMA or the member state competent authorities, cannot accept another application for a marketing authorization, or grant a marketing authorization, for a similar medicinal product for the same indication. The period of market exclusivity is extended by two years for medicines that have also complied with an agreed PIP.
This period may, however, be reduced to six years if, at the end of the fifth year, it is established that the product no longer meets the criteria for orphan drug designation, for example because the product is sufficiently profitable not to justify market exclusivity. Market exclusivity can be revoked only in very selected cases, such as consent from the marketing authorization holder, inability to supply sufficient quantities of the product, demonstration of “clinical superiority” by a similar medicinal product, or, after a review by the Committee for Orphan Medicinal Products, requested by a member state in the fifth year of the marketing exclusivity period (if the designation criteria are believed to no longer apply). Medicinal products designated as orphan drugs pursuant are eligible for incentives made available by the European Union and its Member States to support research into, and the development and availability of, orphan drugs.
Regulatory Requirements after Marketing Authorization
Where a marketing authorization is granted in relation to a medicinal product in the EEA, the holder of the marketing authorization is required to comply with a range of regulatory requirements applicable to the manufacturing, marketing, promotion and sale of medicinal products.
Similar to the United States, both marketing authorization holders and manufacturers of medicinal products are subject to comprehensive regulatory oversight by the EMA, the European Commission and/or the competent regulatory authorities of the individual EU Member States. The holder of a marketing authorization must establish and maintain a pharmacovigilance system and appoint an individual qualified person for pharmacovigilance who is responsible for oversight of that system. Key obligations include expedited reporting of suspected serious adverse reactions and submission of periodic safety update reports, or PSURs.
All new marketing authorizations must include a risk management plan, or RMP, describing the risk management system that the company will put in place and documenting measures to prevent or minimize the risks associated with the product. The regulatory authorities may also impose specific obligations as a condition of the marketing authorization. Such risk-minimization measures or post-authorization obligations may include additional safety monitoring, more frequent submission of PSURs, or the conduct of additional clinical trials or post-authorization safety studies.
In the EEA, the advertising and promotion of medicinal products are subject to both EU level and EU Member States’ laws governing promotion of medicinal products, interactions with physicians and other healthcare professionals, misleading and comparative advertising and unfair commercial practices. Although general requirements for advertising and promotion of medicinal products are established under EU directives, the details are governed by regulations in individual EU Member States and can differ from one country to another. For example, applicable laws require that promotional materials and advertising in relation to medicinal products comply with the product’s Summary of Product Characteristics, or SmPC, as approved by the competent authorities in connection with a marketing authorization. The SmPC is the document that provides information to physicians concerning the safe and effective use of the product. Promotional activity that does not comply with the SmPC is considered off-label and is prohibited in the EU. In general, direct-to-consumer advertising of prescription medicinal products is also prohibited in the EU.
32
Coverage, Pricing, and Reimbursement
In the European Union, pricing and reimbursement schemes vary widely from country to country. Some countries provide that products may be marketed only after a reimbursement price has been agreed. Some countries may require the completion of additional studies that compare the cost-effectiveness of a particular product candidate to currently available therapies (so called health technology assessments) in order to obtain reimbursement or pricing approval. For example, the European Union provides options for its member states to restrict the range of products for which their national health insurance systems provide reimbursement and to control the prices of medicinal products for human use. EU Member States may approve a specific price for a product, or they may instead adopt a system of direct or indirect controls on the profitability of the company placing the product on the market. Other EU Member States allow companies to fix their own prices for products but monitor and control prescription volumes and issue guidance to physicians to limit prescriptions. Recently, many countries in the EU have increased the amount of discounts required on pharmaceuticals and these efforts could continue as countries attempt to manage healthcare expenditures, especially in light of the severe fiscal and debt crises experienced by many countries in the EU. The downward pressure on healthcare costs in general, particularly prescription products, has become intense. As a result, increasingly high barriers are being erected to the entry of new products. Political, economic, and regulatory developments may further complicate pricing negotiations, and pricing negotiations may continue after reimbursement has been obtained. Reference pricing used by various EU Member States, and parallel trade (arbitrage between low-priced and high-priced member states), can further reduce prices.
The Health Technology Assessment, or HTA process, which is currently governed by the national laws of the individual EU Member States, is the procedure according to which the assessment of the public health impact, therapeutic impact and the economic and societal impact of use of a given medicinal product in the national healthcare systems of the individual country is conducted. The outcome of HTA regarding specific medicinal products will often influence the pricing and reimbursement status granted to these medicinal products by the competent authorities of individual EU Member States. On January 31, 2018, the European Commission adopted a proposal for a regulation on health technologies assessment. The proposed regulation is intended to boost cooperation among EU Member States in assessing health technologies, including new medicinal products, and providing the basis for cooperation at EU level for joint clinical assessments in these areas. In December 2021 the HTA Regulation was adopted and entered into force on January 11, 2022. It will apply from 2025.
Brexit
The withdrawal of the United Kingdom, or the UK, from the EU on January 31, 2020, commonly referred to as Brexit, has created significant uncertainty concerning the future relationship between the UK and the EU. The Medicines and Healthcare Products Regulatory Agency, or MHRA, is now the UK’s standalone regulator. On December 24, 2020, the EU and UK reached an agreement in principle on the framework for their future relationship, the EU-UK Trade and Cooperation Agreement, or the Trade and Cooperation Agreement. The Trade and Cooperation Agreement primarily focuses on ensuring free trade between the EU and the UK in relation to goods, including medicinal products. Although the body of the Trade and Cooperation Agreement includes general terms which apply to medicinal products, greater detail on sector-specific issues is provided in an Annex to the Trade and Cooperation Agreement.
Among the changes that will now occur are that Great Britain (England, Scotland and Wales) are treated as a third country. Northern Ireland is, with regard to EU regulations on free movement, continue to follow the EU regulatory rules. As part of the Trade and Cooperation Agreement, the EU and the UK will recognize GMP inspections carried out by the other party and the acceptance of official GMP documents issued by the other party. The Trade and Cooperation Agreement also encourages, although it does not oblige, the parties to consult one another on proposals to introduce significant changes to technical regulations or inspection procedures. Among the areas of absence of mutual recognition are batch testing and batch release. The UK has unilaterally agreed to accept EU batch testing and batch release. However, the EU continues to apply EU laws that require batch testing and batch release to take place in the EU territory. This means that medicinal products that are tested and released in the UK must be retested and re-released when entering the EU market for commercial use.
33
The UK regulatory framework in relation to clinical trials is derived from existing EU legislation (as implemented into UK law, through secondary legislation). However, it is currently unclear to what extent the UK will seek to align its regulations with the EU following entry into application of the Clinical Trials Regulation on January 31, 2022.
As regards marketing authorizations, Great Britain has a separate regulatory submission process, approval process and a national marketing authorization. Northern Ireland will, however, continue to be covered by the marketing authorizations granted by the European Commission. Since January 1, 2021, an applicant for a centralized procedure marketing authorization can no longer be established in the UK. Since this date, companies established in the UK cannot use the centralized procedure and instead must follow one of the UK national authorization procedures to obtain a marketing authorization to market products in the UK. Until December 31, 2023, MHRA may rely on a decision taken by the European Commission on the approval of a new centralized procedure marketing authorization when determining an application for a Great Britain marketing authorization; or use the MHRA’s decentralized or mutual recognition procedures which enable marketing authorizations approved in EU Member States to be granted in Great Britain. Post Brexit, the MHRA has been updating various aspects of the regulatory regime for medicinal products in the UK.
Orphan designation in Great Britain following Brexit is, unlike in the EU, not available pre-marketing authorization. Applications for orphan designation are made at the same time as an application for a marketing authorization. The criteria to be granted an orphan medicinal product designation or essentially identical to those in the EU but based on the prevalence of the condition in Great Britain. It is therefore possible that conditions that were or would have been designated as orphan conditions in Great Britain prior to the end of the Transition Period are or would no longer be and that conditions that were not or would not have been designated as orphan conditions in the EU will be designated as such in Great Britain.
It is currently unclear to what extent the UK will seek to align its regulations with the EU in the future. The UK regulatory framework in relation to clinical trials is derived from existing EU legislation (as implemented into UK law, through secondary legislation). However, the Retained EU Law (Revocation and Reform) Bill published in late 2022 which is intended to remove all EU-derived legislation from the UK statute book by the end of 2023, may result in a divergence of approach between the EU and the UK.
On January 17, 2022, the MHRA launched an eight-week consultation on reframing the UK legislation for clinical trials. The consultation closed on March 14, 2022 and aims to streamline clinical trials approvals, enable innovation, enhance clinical trials transparency, enable greater risk proportionality, and promote patient and public involvement in clinical trials. The outcome of the consultation will be closely watched and will determine whether the UK chooses to align with the regulation or diverge from it to maintain regulatory flexibility. A decision by the UK not to closely align its regulations with the new approach that will be adopted in the EU may have an effect on the cost of conducting clinical trials in the UK as opposed to other countries and/or make it harder to seek a marketing authorization in the EU for our product candidates on the basis of clinical trials conducted in the UK.
Privacy laws
We are subject to stringent and evolving United States and foreign laws, regulations, rules, contractual obligations, policies and other obligations related to data privacy and security, including the European Union’s General Data Protection Regulation, or EU GDPR. New privacy rules are being enacted in the United States and globally, and existing ones are being expanded, updated and strengthened. For example, the EU GDPR which went into effect in May 2018 introduced strict requirements regarding the processing of personal data, including health-related data.
The collection and use of personal health data in the EEA is governed by the EU GDPR, which became effective on May 25, 2018. The EU GDPR applies to any company established in the EEA and to companies established outside the EEA that process personal data in connection with the offering of goods or services to data subjects in the EEA or the monitoring of the behavior of data subjects in the EEA. The EU GDPR enhances data protection obligations for controllers and processors of personal data, including stringent requirements relating to the consent of data subjects, expanded disclosures about how personal data is used, requirements to conduct privacy impact assessments for high-risk processing, limitations on retention of personal data and mandatory data breach notification and privacy by design requirements, and creates direct obligations on service providers acting as data processors. The EU GDPR also imposes strict rules on the transfer of personal data outside of the EEA to countries that do not ensure an adequate level of protection, such as the United States. Failure to comply with the requirements of the EU GDPR and the related national data protection laws of the EEA countries may result in fines up to 20 million Euros or 4% of a company’s global annual revenues for the preceding financial year, whichever is higher. Moreover, the EU GDPR grants data subjects the right to claim compensation for damages resulting from infringement of the EU GDPR.
34
Further, the exit of the UK from the EU on January 1, 2020, often referred to as Brexit, has created uncertainty with regard to data protection regulation in the UK. Specifically, the UK exited the EU on January 1, 2020, subject to a transition period that ended December 31, 2020. The UK has implemented legislation similar to the EU GDPR, the UK GDPR, including the UK Data Protection Act, which provides for fines of up to the greater of 17.5 million British Pounds or 4% of a company’s worldwide turnover, whichever is higher. Additionally, the relationship between the UK and the EU in relation to certain aspects of data protection law remains unclear following Brexit, including with respect to regulation of data transfers between EU Member States and the UK. On June 28, 2021, the European Commission announced a decision of “adequacy” concluding that the UK ensures an equivalent level of data protection to the EU GDPR, which provides some relief regarding the legality of continued personal data flows from the European Economic Area, or EEA, to the UK. Some uncertainty remains, however, as this adequacy determination must be renewed after four years and may be modified or revoked in the interim. We cannot fully predict how the Data Protection Act, the UK GDPR, and other UK data protection laws or regulations may develop in the medium to longer term nor the effects of divergent laws and guidance regarding how data transfers to and from the UK will be regulated.
Employees
As of December 31, 2022, we had 143 full-time employees and 3 part-time employees, 118 of whom are based in Israel and 28 of whom are based in the United States. Of these employees, 116 are primarily engaged in research and development activities and 30 are primarily engaged in general and administrative and commercialization matters. A total of 17 employees have an M.D. or Ph.D. degree. None of our employees is represented by a labor union. We have never experienced any employment-related work stoppages and believe our relationships with our employees are good Israeli labor laws govern the length of the workday and workweek, minimum wages for employees, procedures for hiring and dismissing employees, determination of severance pay, annual leave, sick days, advance notice of termination, payments to the National Insurance Institute, and other conditions of employment and include equal opportunity and anti-discrimination laws. While none of our employees is party to any collective bargaining agreements, certain provisions of the collective bargaining agreements between the Histadrut (General Federation of Labor in Israel) and the Coordination Bureau of Economic Organizations (including the Industrialists’ Associations) are applicable to our employees in Israel by order of the Israeli Ministry of Economy and Industry. These provisions primarily concern pension fund benefits for all employees, insurance for work-related accidents, recuperation pay and travel expenses. We generally provide our employees with benefits and working conditions beyond the required minimums.
We are an equal opportunity employer that pledges to not discriminate against employees based on race, color, religion, sex, national origin, age, disability or genetic information. Our human capital resources objectives include, as applicable, identifying, recruiting, retaining, incentivizing and integrating our existing and additional employees. The principal purposes of our equity incentive plans are to attract, retain and motivate selected employees, consultants and directors through the granting of equity-based compensation awards. We strive to create a diverse environment, and our commitment to diversity, equity and inclusion begins with our leadership team of diverse backgrounds and experiences, including three women on the board of directors.
We are committed to the Environmental Health and Safety (EHS) safety of our employees. We continuously strive to maintain our strong safety performance as we continue to grow our business around the globe. The keys to our EHS success are a workforce that is engaged, a management team who supports and invests in employee safety, and the leadership of our skilled EHS team. In the last several years, the team has added dedicated EHS professionals to individual sites to train employees and ensure compliance with applicable safety standards and regulations. The team hosts regular meetings to share information and discuss best practices across plants.
We are also committed to developing our future leaders at every level. Our talent processes start with understanding what current and future talent is needed to deliver business goals, followed by a talent review process to assist managers with evaluating talent. Learning and development is a critical part of creating our culture of high performance, innovation, and inclusion. We believe on-the-job experience is an outstanding way to learn, and performance and development plans ensure that managers and employees have conversations about career aspirations, mobility, developmental goals and interests.
We are committed to creating an open and accountable workplace where employees feel empowered to speak up and raise issues. In an ongoing effort to understand our employees’ needs, and deliver on our values of trust, accountability and collaboration, we listen. We regularly host company-wide and business unit town halls to offer employees an opportunity to ask questions about Company activities and policies that impact them. We solicit and receive questions and feedback from our employees through this process. We also provide multiple channels to speak up, ask for guidance, and report concerns.
35
Environmental, Health and Safety Matters
We are subject to extensive environmental, health and safety laws and regulations in a number of jurisdictions, primarily Israel, governing, among other things: the use, storage, registration, handling, emission and disposal of chemicals, waste materials and sewage; chemicals, air, water and ground contamination; air emissions and the cleanup of contaminated sites, including any contamination that results from spills due to our failure to properly dispose of chemicals, waste materials and sewage. Our operations use chemicals and produce waste materials and sewage and require permits from various governmental authorities including, local municipal authorities, the Ministry of Environmental Protection and the Ministry of Health. The Ministry of Environmental Protection and the Ministry of Health, local authorities and the municipal water and sewage company conduct periodic inspections in order to review and ensure our compliance with the various regulations. These laws, regulations and permits could potentially require the expenditure by us of significant amounts for compliance or remediation. If we fail to comply with such laws, regulations or permits, we may be subject to fines and other civil, administrative or criminal sanctions, including the revocation of permits and licenses necessary to continue our business activities. In addition, we may be required to pay damages or civil judgments in respect of third-party claims, including those relating to personal injury (including exposure to hazardous substances we use, store, handle, transport, manufacture or dispose of), property damage or contribution claims. Some environmental, health and safety laws allow for strict, joint and several liability for remediation costs, regardless of comparative fault. We may be identified as a responsible party under such laws. Such developments could have a material adverse effect on our business, financial condition and results of operations. In addition, laws and regulations relating to environmental, health and safety matters are often subject to change. In the event of any changes or new laws or regulations, we could be subject to new compliance measures or to penalties for activities that were previously permitted.
Our Values
At Gamida Cell, our actions are guided by five core values that are the foundation of who we are and who we aspire to be. We live these values on a daily basis. For our values to impact our goal of bringing life-changing cell therapies to patients, they must be at the center of everything we do:
| ● | Put Patients First: Our reason to wake up each day. |
| ● | Be Respectful: We are ethical and kind. |
| ● | Drive to Success: We work hard and play hard. |
| ● | Embrace Change: Our adaptability advances medicine. |
| ● | Be Bold: We strive for cures. |
We are committed to promoting integrity, honesty and professionalism and maintaining the highest standards of ethical conduct in all of the Company’s activities. The Company’s success depends on its reputation for integrity and fairness. Therefore, it is essential that the highest standards of conduct and professional integrity be observed in all contacts made by the Company’s directors and employees, including officers, with customers, shareholders, suppliers, government officials, fellow employees and members of the general public. In this regard, Gamida Cell has established this written set of policies dealing with the rules and policies of conduct to be used in conducting the business affairs of the Company, which is available on our website (https://investors.gamida-cell.com/corporate-governance/documents-charters).
36
Environmental matters
By the nature of our operations and the size of our facility in Kiryat Gat, Israel, we do not consume a significant amount of energy. Our clean rooms are designed to limit our energy consumption, and we do not have significant emissions from our operations. We will continue to assess the environmental impact of our operations.
Corporate Information
We are an Israeli corporation incorporated in 1998. Our principal executive offices are located at 116 Huntington Avenue, 7th Floor, Boston, Massachusetts 02116. Our telephone number is (617) 892-9080. Our website address is www.gamida-cell.com.
ITEM 1A. RISK FACTORS
Investing in our ordinary shares involves a high degree of risk. You should carefully consider the risks and uncertainties described below, in addition to the other information set forth in this annual report, including the consolidated financial statements and the related notes included elsewhere in this annual report, before purchasing our ordinary shares. If any of the following risks actually occurs, our business, financial condition, cash flows and results of operations could be negatively impacted. In that case, the trading price of our ordinary shares would likely decline and you might lose all or part of your investment. Additional risks and uncertainties not presently known to us or that we currently deem immaterial also may impair our business operations.
Summary of Selected Risk Factors
Our business is subject to numerous risks that you should be aware of before making an investment decision. These risks are described more fully in this “Risk Factors” section and include, among others:
| ● | Although we are exploring a range of strategic alternatives, there is no certainty that we will be able to execute on any transaction or that such a transaction will enhance shareholder value, and any such transaction, if available and achieved, may be highly dilutive to the Company’s stockholders. |
| ● | The costs associated with a potential strategic transaction may be significant. |
| ● | We have incurred significant losses since our inception. We anticipate that we will continue to incur significant losses for the foreseeable future, and we may never achieve or maintain profitability, which raises substantial doubt regarding our ability to continue as a going concern absent access to additional sources of liquidity. |
| ● | There is substantial doubt regarding our ability to continue as a going concern. Operating our business and servicing our debt requires a significant amount of cash, and we will need to obtain additional funding in the near-term to continue to sufficiently fund our operations and pay our substantial debt, including our 5.875% convertible senior notes that mature in February 2026, or the 2021 Notes, and our first lien secured note that matures in December 2024, or the 2022 Note. |
| ● | The Indenture governing the 2021 Notes and the Loan and Security Agreement governing the 2022 Note each contain restrictions and other provisions regarding events of default that may make it more difficult to execute our strategy or to effectively compete or that could adversely affect our liquidity. |
| ● | Raising additional capital may cause dilution to our shareholders and our share price to fall, restrict our operations or require us to relinquish rights to our technologies or product candidates. |
37
| ● | We have never generated any revenue from product sales and may never be profitable. |
| ● | We are heavily dependent on the success of our product candidates, especially our primary product candidate, omidubicel, including obtaining regulatory approval to market our product candidates in the United States, the European Union and other geographies, and if omidubicel does not successfully receive regulatory approval, or is not successfully commercialized, our business will be adversely affected. |
| ● | We may be unable to obtain regulatory approval for our product candidates. |
| ● | The results of earlier studies and trials may not be predictive of future trial results, and our clinical trials may fail to adequately demonstrate the safety and efficacy of our product candidates. |
| ● | Interim, “topline” and preliminary data from our clinical trials that we announce or publish from time to time may change as more patient data become available and are subject to audit and verification procedures that could result in material changes in the final data. |
| ● | The success of our NAM technology platform and our product candidates is substantially dependent on developments within the emerging field of cellular therapies, some of which are beyond our control. |
| ● | Because our product candidates are based on novel technologies, it is difficult to predict the time and cost of development and our ability to successfully complete clinical development of these product candidates and obtain the necessary regulatory approvals for commercialization. |
| ● | We may find it difficult to enroll patients in our clinical studies, which could delay or prevent us from proceeding with clinical trials. |
| ● | Our product candidates and the administration process may cause undesirable side effects or have other properties that could delay or prevent their regulatory approval, limit the commercial profile of an approved label or result in significant negative consequences following marketing approval, if any, and result in costly and damaging product liability claims against us. |
| ● | Even if we complete the necessary clinical trials, we cannot predict when, or if, we will obtain regulatory approval to commercialize any of our product candidates, and the approval may be for a narrower indication than we seek or be subject to other limitations or restrictions that limit its commercial profile. |
| ● | Enacted and future healthcare legislation may increase the difficulty and cost for us to obtain marketing approval of and commercialize our product candidates and may affect the prices we may set. |
| ● | Our business operations and current and future relationships with investigators, healthcare professionals, consultants, third-party payers, patient organizations and customers will be subject to applicable healthcare regulatory laws, which could expose us to penalties. |
| ● | Legislative or regulatory healthcare reforms in the United States may make it more difficult and costly for us to obtain regulatory clearance or approval of our product candidates and to produce, market and distribute our products after clearance or approval is obtained. |
| ● | We may rely on third parties to conduct certain elements of our preclinical studies and clinical trials and perform other tasks for us. If these third parties do not successfully carry out their contractual duties, meet expected deadlines or comply with regulatory requirements, we may not be able to obtain regulatory approval for or commercialize our product candidates. |
| ● | We rely on a single facility located in Kiryat Gat, Israel to manufacture omidubicel. Severe natural or other disaster, power outages or disruption at this site could have a material adverse effect on our ability to manufacture sufficient commercial supply. |
| ● | We face a variety of challenges and uncertainties associated with our dependence on the availability of human umbilical cord blood units, or CBUs, at cord blood banks for the manufacture of omidubicel. |
| ● | If we are unable to obtain, maintain or protect intellectual property rights related to any of our product candidates or any future product candidates, we may not be able to compete effectively in our market. |
38
| ● | Due to our limited resources and access to capital, we must, and have in the past decided to, prioritize development of certain product candidates over other potential candidates. These decisions may prove to have been wrong and may adversely affect our revenue. |
| ● | We may not be successful in our efforts to identify, discover or license additional product candidates. |
| ● | We do not have experience producing our product candidates at commercial levels or operating a cGMP manufacturing facility. |
| ● | We currently have a limited marketing and sales organization. If we are unable to establish adequate sales and marketing capabilities to support the potential commercial launch of omidubicel, if approved, we may be unable to generate any product revenue. |
| ● | If we receive marketing approval for our product candidates, sales will be limited unless the applicable products achieve broad market acceptance by physicians, patients, third-party payers, hospital pharmacists and others in the medical community. |
| ● | The market price of our ordinary shares may fluctuate significantly, which could result in substantial losses by our investors. |
| ● | The exchange of some or all of the 2021 Notes or 2022 Note into our ordinary shares could result in significant dilution to existing shareholders, adversely affect the market price of our ordinary shares and impair our ability to raise capital through the sale of additional equity securities. |
| ● | Significant parts of our operations are located in Israel and, therefore, our results may be adversely affected by political, economic and military conditions in Israel. |
Risks Related to Our Strategic Review Process
Although we are exploring a range of strategic alternatives, there is no certainty that we will be able to execute on any transaction or that such a transaction will enhance shareholder value, and any such transaction, if available and achieved, may be highly dilutive to the Company’s stockholders.
As of December 31, 2022, we had cash and cash equivalents of $64.7 million. On March 27, 2023, we announced the initiation of a process to restructure our business to primarily focus on the commercial launch of omidubicel, following FDA approval if granted, and that we are exploring potential commercial and strategic options to support a broader launch of omidubicel. Certain potential transactions, if available and achieved, could result in substantial dilution to existing shareholders and have a material adverse effect on the price of our ordinary shares.
In light of our ongoing and projected operational expenses, there can be no assurance that any potential financing transaction or any alternative strategic transaction, if available, would be sufficient for our financing needs. In light of our current share price, raising additional funds through the issuance of additional debt or equity securities, including as part of a strategic alternative, could result in substantial dilution to our existing shareholders, and increased fixed payment obligations. Furthermore, any issued securities may have rights senior to those of our ordinary shares. Any of these events could significantly harm our business, financial condition, and prospects.
There can be no assurance that our pursuit of financing or our board of directors’ evaluation process will result in a transaction, or if any such a transaction is consummated, that it will successfully address our current liquidity challenges or otherwise enhance stockholder value. If a strategic transaction is insufficient to address our long-term financing needs, we will need to significantly delay or further scale back operations or potentially cease operations, in part or in full. If we decided to cease operations and dissolve and liquidate our assets, it is unclear to what extent we would be able to pay our obligations. In such a circumstance and in light of our current liquidity position, it is unlikely that substantial resources would be available for distribution to our shareholders.
39
The costs associated with a potential strategic transaction may be significant.
We expect to incur significant third party costs associated with identifying, evaluating, and negotiating a definitive agreement for a suitable acquisition or other strategic transaction. We can give no assurance as to the level of such costs, given that there can be no guarantee that negotiations to acquire any given target business or be acquired by a target will be successful. The greater the number of potential transactions that we negotiate and which do not reach completion, the greater the likely impact of such costs on our financial condition.
Risks Related to Our Financial Position
We have incurred significant losses since our inception. We anticipate that we will continue to incur significant losses for the foreseeable future, and we may never achieve or maintain profitability.
We are a clinical-stage biopharmaceutical company. We have incurred net losses each year since our inception in 1998, including net losses of $79.4 million and $89.8 million for the years ended December 31, 2022 and 2021, respectively. As of December 31, 2022, we had an accumulated deficit of $416.8 million.
We have devoted substantially all our financial resources to designing and developing our product candidates, including conducting preclinical studies and clinical trials, building a manufacturing facility at Kiryat Gat, Israel and providing general and administrative support for these operations. Although we have implemented significant cost reduction and other cash-focused measures to manage liquidity, we expect to continue to incur significant expenses and operating losses for the foreseeable future. These conditions raise substantial doubt about our ability to continue as a going concern, and we will be required to raise additional funds, seek alternative means of financial support, or both, in order to continue operations.
If the FDA approves omidubicel, we plan to conduct a commercial launch of omidubicel ourselves in the United States that will require a more limited investment resulting in a slower ramp of sales. In addition, we plan to continue to assess whether to pursue strategic alternatives for the commercialization of omidubicel both inside and outside of the United States to ensure that as many patients as possible have access to omidubicel. To date, we have financed our operations primarily through our public offerings of equity securities, private placements of debt and equity securities and royalty-bearing grants that we received from the Israeli Innovation Authority, or the IIA, formerly known as the Office of the Chief Scientist of the Ministry of Economy and Industry, including from Bereshit Consortium, sponsored by the IIA. The amount of our future net losses will depend, in part, on the rate of our future expenditures and our ability to obtain funding through equity or debt financings, strategic collaborations, or grants. Even if we obtain regulatory approval to market omidubicel or any other product candidates, our future revenue will depend upon the size of any markets in which such product candidates receive approval, and our ability to achieve sufficient market acceptance, pricing and reimbursement from third-party payers for such product candidates. Further, the net losses that we incur may fluctuate significantly from quarter to quarter and year to year, such that a period-to-period comparison of our results of operations may not be a good indication of our future performance. We may also incur other unanticipated costs from our operations.
There is substantial doubt regarding our ability to continue as a going concern. Operating our business and servicing our debt requires a significant amount of cash, and we will need to obtain additional funding in the near-term to continue to sufficiently fund our operations and pay our substantial debt, including the Notes.
Our financial statements have been prepared on a going concern basis under which an entity is able to realize its assets and satisfy its liabilities in the ordinary course of business. Our future operations are dependent upon the identification and successful completion of equity or debt financing and the achievement of profitable operations at an indeterminate time in the future. There can be no assurances that we will be successful in completing equity or debt financing or in achieving profitability. The financial statements do not give effect to any adjustments relating to the carrying values and classification of assets and liabilities that would be necessary should the Company be unable to continue as a going concern. Our audited consolidated financial statements as of and for the year ended December 31, 2022 accompanying this annual report note that there is substantial doubt about our ability to continue as a going concern, absent sources of additional liquidity.
40
In order to fund further operations, including commercializing omidubicel ourselves beyond our planned commercial launch that will require a more limited investment resulting in a slower ramp of sales, we will need to raise capital. We may seek these funds through a combination of private and public equity offerings, debt financings, government grants, strategic collaborations and licensing arrangements. Additional financing may not be available when we need it or may not be available on terms that are favorable to us. If we are unable to raise the requisite funds, we will need to curtail or cease operations and wind down our business, in which case, we may liquidate and distribute remaining cash to shareholders, after satisfaction of any obligations. We would incur third party costs associated with any distribution which would further limit funds to shareholders. There would be significant costs associated with winding down, such as separation of employees and termination of contracts, and we could owe certain taxes on any such transaction, all of which will further reduce the cash resources available for distribution to our shareholders.
In addition, our ability to make scheduled payments of the principal of, to pay interest on, or to refinance our indebtedness, including the Notes, depends on our future performance, which is subject to economic, financial, competitive and other factors beyond our control. Our business may never generate cash flow from operations sufficient to support our operations, service our debt and make necessary capital expenditures. As a result, we may be required to adopt one or more alternatives, subject to the restrictions contained in both the Indenture between Gamida Cell Ltd., Gamida Cell Inc., and Wilmington Savings Fund Society, FSB, entered into on February 16, 2021, or the Indenture, governing the 2021 Notes, and the Loan and Security Agreement governing the 2022 Note, such as selling assets, restructuring debt or obtaining additional equity capital on terms that may be onerous and which are likely to be highly dilutive. We believe that our current total existing funds will be sufficient to support our ongoing operating activities through the third quarter of 2023. We will require significant additional financing in the future to fund our operations. Our future funding requirements will depend on many factors, including, but not limited to:
| ● | the timing and outcome of FDA review of omidubicel; |
| ● | the progress, results and costs of any clinical trials for any future product candidates; |
| ● | the scope, progress, results and costs of product development, laboratory testing, manufacturing, preclinical development and clinical trials for any future product candidates that we may develop or otherwise obtain in the future; |
| ● | the cost of our future activities, including establishing our planned sales, marketing and distribution capabilities for omidubicel, if approved, and for any other product candidates in any particular geography where we receive marketing approval for such product candidates; |
| ● | the terms and timing of any collaborative, licensing and other arrangements that we may establish; |
| ● | the costs of preparing, filing and prosecuting patent applications, maintaining and enforcing our intellectual property rights and defending intellectual property-related claims; and |
| ● | the level of revenue, if any, received from commercial sales of any product candidates for which we receive marketing approval. |
Identifying potential product candidates and conducting preclinical testing and clinical trials is a time-consuming, expensive and uncertain process that takes years to complete, and we may never generate the necessary data or results required to obtain marketing approval and achieve product sales. In addition, our product candidates, if approved, may not achieve commercial success. Our product revenue, if any, will be derived from or based on sales of product candidates that may not be commercially available for many years, if at all. Accordingly, we will need to continue to rely on additional financing to achieve our business objectives. Any additional fundraising efforts may divert our management from their day-to-day activities, which may adversely affect our ability to develop and commercialize our product candidates. We cannot guarantee that future financing will be available in sufficient amounts or on terms acceptable to us, if at all, and the terms of any financing may adversely affect the interests or rights of our shareholders.
In light of our current liquidity challenges, our management has implemented cost reduction and other cash-focused measures, including discontinuation of our NK cell pre-clinical product development activities, and closure of our Jerusalem facilities. In March 2023, we also initiated a reduction in force affecting 17% of our workforce to better align our workforce with the current needs of our business and focus our capital resources on commercial launch of omidubicel, if approved. To conserve cash, the Company has also strategically evaluated its arrangements with suppliers and service providers and has, in several instances, either initiated an orderly wind-down of those arrangements, where feasible, or transitioned such relationships to lower cost alternative providers.
41
The reduction in force may result in unintended consequences and costs, such as the loss of institutional knowledge and expertise, attrition beyond the intended number of employees, decreased morale among our remaining employees, and the risk that we may not achieve the anticipated benefits of the reduction in force. In addition, while certain positions have been eliminated, certain functions necessary to our operations remain, and we may be unsuccessful in distributing the duties and obligations of departed employees among our remaining employees. If we are unable to realize the anticipated benefits from the reduction in force, or if we experience significant adverse consequences from the reduction in force, our business, financial condition, and results of operations may be materially adversely affected.
Moreover, negative publicity associated with our cost-reduction activities and our evaluation of alternative strategic transactions, and the negative consequences should we be unable to raise additional capital or be unsuccessful in consummating an alternative transaction, could adversely affect our relationships with our suppliers, service providers, employees, and other third parties, which in turn could further adversely affect our operations and financial condition. We may not have the ability to raise the funds necessary to repurchase the 2021 Notes for cash upon a fundamental change.
Holders of the 2021 Notes have the right to require us to repurchase the 2021 Notes for cash upon the occurrence of a fundamental change at a repurchase price equal to 100% of the principal amount of the 2021 Notes to be repurchased, plus accrued and unpaid interest, if any. This use of cash may have a material adverse effect on our liquidity. Furthermore, we may not have enough available cash or be able to obtain financing at the time we are required to repurchase the 2021 Notes. In addition, our ability to repurchase the 2021 Notes for cash may be limited by law, regulatory authority or agreements governing our future indebtedness. Our failure to repurchase 2021 Notes for cash at a time when the repurchase is required by the Indenture pursuant to which the 2021 Notes were issued would constitute a default under the Indenture.
The Indenture governing the 2021 Notes and the Loan Agreement governing the 2022 Note each contains restrictions and other provisions regarding events of default that may make it more difficult to execute our strategy or to effectively compete or that could adversely affect our liquidity.
Subject to certain exceptions and qualifications, the Indenture governing the 2021 Notes restricts our ability to, among other things, (i) pay dividends or make other payments or distributions on capital stock, or purchase, redeem, defease or otherwise acquire or retire for value any capital stock, (ii) incur indebtedness or issue preferred stock, other than certain forms of permitted debt, (iii) sell assets or dispose of certain material assets, (iv) enter into certain transactions with affiliates, (v) merge, consolidate or sell all or substantially all assets. The Indenture also requires us to make an offer to repurchase the Notes upon the occurrence of certain asset sales or disposition of certain material assets. These restrictions may make it difficult to successfully execute our business strategy or effectively compete with companies that are not similarly restricted. The Indenture governing the Notes also provides that a number of events will constitute an event of default, including, among other things, (i) a failure to pay interest or additional amounts for 30 days, (ii) failure to pay the principal of the Notes when due at maturity, upon redemption, upon any required repurchase, upon declaration of acceleration or otherwise, (iii) failure to comply with our obligation to exchange the Notes in accordance with the Indenture upon a holder’s exercise of its exchange right, (iv) not issuing certain notices required by the Indenture within a timely manner, (v) failure to comply with the other covenants or agreements in the Notes or the Indenture, (vi) a default or other failure by us to make required payments under our other indebtedness having an outstanding principal amount of $10.0 million or more, (vii) failure by us to pay final judgments aggregating in excess of $20.0 million, and (viii) certain events of bankruptcy or insolvency. In particular, pursuant to the Indenture, we have agreed to maintain a consolidated cash and cash equivalents balance of at least $20 million. Our failure to comply with this liquidity covenant would constitute a default under the Indenture, which would mature into an event of default if we continue to be out of compliance for more than 60 days after notice from the holders or the trustee. In the case of an event of default arising from certain events of bankruptcy or insolvency with respect to us, all outstanding Notes will become due and payable immediately without further action or notice. If any other event of default occurs and is continuing, the trustee or the holders of at least 25% in aggregate principal amount of the then outstanding Notes may declare all the Notes to be due and payable immediately.
42
Subject to certain exceptions and qualifications, the Loan Agreement contains certain negative covenants restricting dispositions, changes in business and business locations, mergers and acquisitions, indebtedness, issuances of preferred stock, liens, collateral accounts, restricted payments, transactions with affiliates, compliance with laws, and issuances of capital stock. The Loan Agreement requires us to make monthly installment payments in an amount equal to (a) a ratable amount of the outstanding principal amount of the Loan Agreement divided by the remaining months to the maturity date plus (b) accrued and unpaid interest on such amount. Such installment payments will also include a 5% prepayment premium on the principal being repaid. These restrictions may make it difficult to successfully execute our business strategy or effectively compete with companies that are not similarly restricted. The Loan Agreement also provides that a number of events will constitute an event of default, including, among other things, payment defaults, material inaccuracy of representations and warranties, covenant defaults, material adverse changes, bankruptcy and insolvency proceedings, cross-defaults to certain other agreements, judgments against us, change of control, termination of any guaranty, governmental approvals, and lien priority. In the case of an event of default arising from certain events of bankruptcy or insolvency with respect to us, all obligations under the Loan Agreement shall be immediately due and payable without action by the lenders. If any other event of default occurs and is continuing, the administrative agent, at the direction of certain of the lenders, may, without notice or demand, deliver a notice of an event of default and by notice to us declare all obligations immediately due and payable or suspend or terminate the obligation, if any, for the lenders to advance money or extend credit to us. Such acceleration of our debt under the Indenture or the Loan Agreement could have a material adverse effect on our liquidity if we are unable to negotiate mutually acceptable terms with the holders of the Notes or the lenders of the Loan Agreement or if alternate funding is not available to us. Furthermore, if we are unable to repay the Notes or the loan under the Loan Agreement upon an acceleration or otherwise, we would be forced into bankruptcy or liquidation.
We have never generated any revenue from product sales and may never be profitable.
We have no products approved for marketing in any jurisdiction, and we have never generated any revenue from product sales. Our ability to generate revenue and achieve profitability depends on our ability, alone or with strategic collaboration partners, to successfully complete the development of, and obtain the regulatory and marketing approvals necessary to commercialize one or more of our product candidates. Our ability to generate future revenue from the commercialization of omidubicel is uncertain. Since we plan to conduct on our own commercial launch of omidubicel, if approved, that will require a more limited investment resulting in a slower ramp of sales, we have had to undertake sufficient costs to build out a sales and distribution team. If in the future we enter into one or more partnerships for the commercialization of omidubicel, we will surrender a portion of our revenue to our partner or partners, and if we securitize royalty streams related to omidubicel, future revenues would be held in trust for beneficiaries of the financing in exchange for which we would receive certain payments based on an assessment of future sales. Furthermore, revenue from product sales will depend heavily on our ability to:
| ● | commercialize omidubicel, if approved, with collaborators or strategic partners; |
| ● | obtain regulatory approvals and marketing authorizations for omidubicel and any of our potential future product candidates for which we complete clinical studies; |
| ● | price omidubicel, if approved, in a manner designed to encourage market acceptance from the medical community and third-party payers; |
| ● | expose, educate and train physicians and other medical professionals to use omidubicel; |
| ● | maintain regulatory approval for a sustainable and scalable in-house and/or third-party manufacturing process for omidubicel that meets all applicable regulatory standards; |
| ● | establish and maintain supply and, if applicable, manufacturing relationships with third parties that can provide adequate, in both amount and quality, products to support clinical development and the market demand for our primary product candidate, if approved; |
| ● | ensure procedures utilizing our primary product candidate are approved for coverage and adequate reimbursement from governmental agencies, private insurance plans, managed care organizations, and other third-party payers in jurisdictions where they have been approved for marketing; |
| ● | address any competing technological and market developments that impact our primary product candidate or its prospective usage by medical professionals; |
| ● | negotiate favorable terms in any collaboration, licensing or other arrangements into which we may enter and perform our obligations under such collaborations; |
43
| ● | maintain, protect and expand our portfolio of intellectual property rights, including patents, patent applications, trade secrets and knowhow; and |
| ● | avoid and defend against third-party interference, infringement or other intellectual property related claims; attract, hire and retain qualified personnel. |
Even if we are successful in obtaining regulatory approvals to market our primary product candidate, our revenue will be dependent in part upon the size of the markets in the territories for which we gain regulatory approval for such products, the accepted price for such products, our ability to obtain reimbursement for such products at any price, whether we own the commercial rights for that territory in which such products have been approved and the expenses associated with manufacturing and marketing such products for such markets. Therefore, we may not generate significant revenue from the sale of omidubicel, even if approved. Further, if we are not able to generate significant revenue from the sale of omidubicel, we may be forced to curtail or cease our operations. Due to the numerous risks and uncertainties involved in product development and commercialization, it is difficult to predict the timing or amount of increased expenses, or when, or if, we will be able to achieve or maintain profitability.
Risks Related to the Clinical Development and Potential Commercialization of Our Product Candidates
We are heavily dependent on the success of our product candidates, especially our primary product candidate, omidubicel, including obtaining regulatory approval to market our product candidates in the United States, the European Union and other geographies, and if omidubicel does not successfully receive regulatory approval, or is not successfully commercialized, our business will be adversely affected.
To date, we have deployed all our efforts and financial resources to: (i) research and develop our NAM cell expansion platform, our primary product candidate, omidubicel, and our NK cell portfolio, including conducting preclinical and clinical studies and providing general and administrative support for these operations; (ii) develop and secure our intellectual property portfolio for our product candidates; and (iii) expand our manufacturing facility at Kiryat Gat to produce omidubicel for our clinical trials and commercial use, if approved. Our future success is dependent on our ability to successfully obtain regulatory approval for omidubicel and commercialize it if it receives such approval.
We cannot be certain that omidubicel will receive regulatory approval. The research, testing, manufacturing, labeling, approval, sale, marketing and distribution of products are, and will remain, subject to extensive regulation by the FDA and other regulatory authorities in the United States, Israel and other countries that each have differing regulations. We are not permitted to market omidubicel in the United States until we receive approval from the FDA, or in any foreign country until we receive the requisite approvals from the appropriate authorities in such countries for marketing authorization. We may receive a Complete Response Letter from FDA at the conclusion of its review of the BLA, rather than approval, which would have a material negative impact on our business, results of operations and prospects.
The marketing approval of our product candidates, including omidubicel, is further subject to significant risks, including:
| ● | acceptance by the FDA, EMA or other regulatory agencies of our parameters for regulatory approval relating to omidubicel and our other product candidates, including our proposed indications, primary and secondary endpoint assessments and measurements, safety evaluations and regulatory pathways; |
| ● | the acceptance by the FDA, EMA or other regulatory agencies of the number, design, size, conduct and implementation of our clinical trials of omidubicel, our trial protocols and the interpretation of data from preclinical studies or clinical trials; |
| ● | the acceptance by the FDA, EMA or other regulatory agencies of the sufficiency of the data we collect from our preclinical studies and our investigator-sponsored Phase 1/2 clinical trial of omidubicel for the treatment of severe aplastic anemia; |
| ● | if advisory committee meetings are required, the willingness of the FDA, EMA or other regulatory agencies to schedule an advisory committee meeting in a timely manner to evaluate and decide on the approval of our regulatory filings; |
| ● | if advisory committee reviews are scheduled, the recommendation of the FDA’s advisory committee to approve our applications to market omidubicel and our other product candidates in the United States, and the European Commission in the European Union, without limiting the approved labeling, specifications, distribution or use of the products, or imposing other restrictions; and/or |
| ● | the satisfaction of the FDA, EMA or other regulatory agencies with the safety and efficacy of our product candidates. |
44
In addition, omidubicel may not attain market acceptance among physicians, patients, healthcare payers or the medical community. We believe that the degree of market acceptance and our ability to generate revenues from omidubicel will depend on a number of factors, including:
| ● | our success in educating medical professionals and patients about the benefits, administration and use of omidubicel, if approved; |
| ● | timing of market introduction of omidubicel as well as competitive medicines; |
| ● | our ability to successfully demonstrate the safety and efficacy of omidubicel; |
| ● | continued projected growth of the markets in which omidubicel competes; |
| ● | the effectiveness of our marketing, sales and distribution strategy, and operations, as well as that of any current and future licensees; |
| ● | the extent to which physicians perform HSCT; |
| ● | prevalence and severity of any side effects; |
| ● | if and when we are able to obtain regulatory approvals for additional indications for omidubicel; |
| ● | availability of, and ability to maintain, coverage and adequate reimbursement and pricing from government and other third-party payers for procedures utilizing our products; |
| ● | potential or perceived advantages or disadvantages of omidubicel over alternative treatments, including cost of treatment and relative convenience and ease of administration; |
| ● | strength of sales, marketing and distribution support, including from any potential strategic partner; |
| ● | the price of omidubicel, both in absolute terms and relative to alternative treatments; |
| ● | impact of past and limitation of future medicine price increases; |
| ● | our ability to maintain a commercially viable manufacturing process that is compliant with cGMP and produces omidubicel at Kiryat Gat or through third party manufacturers; |
| ● | our ability to obtain, maintain, protect and enforce our intellectual property rights with respect to our primary product candidate as well as other product candidates and to regulatory guidelines; |
| ● | the performance of third-party distribution partners, over which we have limited control; and |
| ● | medicine labeling or medicine insert requirements of the FDA or other regulatory authorities. |
Many of these clinical, regulatory and commercial risks are beyond our control. Accordingly, we cannot assure you that we will be able to advance any of our product candidates through clinical development, or to obtain regulatory approval of or commercialize omidubicel or any of our other product candidates. If we fail to achieve these objectives or overcome the challenges presented above, we could experience significant delays or an inability to initiate the commercial launch of omidubicel that will require a more limited investment resulting in a slower ramp of sales, which will be limited, or to successfully commercialize our other product candidates. Accordingly, we may not be able to generate sufficient revenue through the sale of omidubicel or our other product candidates to enable us to continue our business.
45
We may be unable to obtain regulatory approval for our product candidates.
The research, development, testing, manufacturing, labeling, packaging, approval, promotion, advertising, storage, recordkeeping, marketing, distribution, post-approval monitoring and reporting and export and import of drug products are subject to extensive regulation by the FDA, the EU and in other countries. These regulations differ from country to country. To gain approval to market our product candidates, we must provide data from well-controlled clinical trials that adequately demonstrate the safety and efficacy of the product for the intended indication to the satisfaction of the FDA, EMA or other regulatory authority. We have not yet obtained regulatory approval to market any of our product candidates in the United States or any other country. The FDA, European Commission or other regulatory agencies can delay, limit or deny approval of our product candidates for many reasons, including:
| ● | regulatory requests for additional analyses, reports, data, non-clinical and preclinical studies and clinical trials, including with respect to our and our third-party manufacturer’s production of omidubicel in commercial processes that has the same treatment profile as the product used in our successful Phase 3 clinical trial; |
| ● | our inability to demonstrate that the product candidates are safe and effective for the target indication to the satisfaction of the FDA, EMA or other regulatory agencies; |
| ● | regulatory requests to provide additional data regarding analytical and clinical comparability from our planned commercial manufacturing sites, or the failure of a regulatory agency to accept the manufacturing processes or facilities at our manufacturing site or those of third-party manufacturers with which we contract; |
| ● | the FDA’s, EMA’s, or other regulatory agencies’ disagreement with our clinical trial protocol, the interpretation of data from preclinical studies or clinical trials, or adequacy of the conduct and control of clinical trials; |
| ● | clinical holds, other regulatory objections to commencing or continuing a clinical trial or the inability to obtain regulatory approval to commence a clinical trial in countries that require such approvals; |
| ● | the population studied in the clinical trial may not be sufficiently broad or representative to assess safety in the patient population for which we seek approval; |
| ● | unfavorable or inconclusive results of clinical trials and supportive non-clinical studies, including unfavorable results regarding safety or efficacy of our product candidates observed in clinical trials; |
| ● | our inability to demonstrate that clinical or other benefits of our product candidates outweigh any safety or other perceived risks; |
| ● | any determination that a clinical trial presents unacceptable health risks to subjects; |
| ● | our inability to obtain approval from institutional review boards, or IRBs, to conduct clinical trials at their respective sites; |
| ● | the non-approval of the formulation, labeling or the specifications of our product candidates; |
| ● | the potential for approval policies or regulations of the FDA, European Commission, EMA or other regulatory agencies to significantly change in a manner rendering our clinical data insufficient for approval; or |
| ● | resistance to approval from the advisory committees of the FDA, European Commission, EMA or other regulatory agencies for any reason including safety or efficacy concerns. |
In the United States, we are required to submit a BLA to obtain FDA approval before marketing omidubicel or any of our product candidates. A BLA must include extensive preclinical and clinical data and supporting information to establish the product candidate’s safety, purity and potency, or efficacy, for each desired indication. The BLA must also include significant information regarding the chemistry, manufacturing and controls for the product.
46
As part of the review process for our omidubicel BLA, the FDA conducted an inspection of our Kiryat Gat, Israel manufacturing facility to ensure that it can manufacture omidubicel and our other product candidates, if and when approved, in compliance with the applicable regulatory requirements. Such inspections resulted in no 483 observations to date. The FDA also inspected our clinical trial sites to ensure that our studies were properly conducted. Obtaining approval of a BLA is a lengthy, expensive and uncertain process, and approval may not be obtained. Although the FDA has accepted our BLA for filing on a priority review basis, the FDA may require that we conduct additional clinical or preclinical trials, or take other actions before it will approve our application. The FDA has moved the target action date for its review of omidubicel from January 30, 2023 to May 1, 2023. If the FDA also requires additional studies or data during its review of omidubicel, we will incur increased costs and delays in the marketing approval process, which may require us to expend more resources than we have available. In addition, the FDA may not consider any additional information to be complete or sufficient to support approval.
Regulatory authorities outside of the United States, such as in the European Union, also have requirements for approval of biologics for commercial sale with which we must comply prior to marketing in those areas. Regulatory requirements can vary widely from country to country and could delay or prevent the introduction of our product candidates. Clinical trials conducted in one country may not be accepted by regulatory authorities in other countries, and obtaining regulatory approval in one country does not mean that regulatory approval will be obtained in any other country.
However, the failure to obtain regulatory approval in one jurisdiction could have a negative impact on our ability to obtain approval in a different jurisdiction. Approval processes vary among countries and can involve additional product candidate testing and validation and additional administrative review periods. Seeking additional regulatory approvals outside the United States and European Union could require additional nonclinical studies or clinical trials, which could be costly and time consuming. These regulatory approvals may include all of the risks associated with obtaining FDA or European Commission approval. For all of these reasons, if we seek such regulatory approvals for any of our other product candidates, we may not obtain such approvals on a timely basis, if at all.
Even if we receive approval of any regulatory filing for omidubicel, the FDA may grant any such approval contingent on the performance of costly and potentially time-consuming additional post-approval clinical trials or subject to contraindications, black box warnings, restrictive surveillance or a Risk Evaluation and Mitigation Strategy, or REMS. Further, the FDA, European Commission, or other regulatory authorities may also approve our product candidates for a more limited indication or a narrower patient population than we originally requested, and these regulatory authorities may not approve the labeling that we believe is necessary or desirable for the successful commercialization of our product candidates. Following any approval for commercial sale of omidubicel or our product candidates, certain changes to the product, such as changes in manufacturing processes and additional labeling claims, as well as new safety information, will be subject to additional FDA notification, or review and approval. Also, regulatory approval for any of our product candidates may be withdrawn. To the extent we seek regulatory approval in jurisdictions outside of the United States and European Union, we may face challenges similar to those described above with regulatory authorities in applicable jurisdictions.
Any further delay in obtaining, or our inability to obtain, marketing approval for omidubicel would have a material negative impact on our business, results of operations and prospects.
Clinical development is difficult to design and implement and involves a lengthy and expensive process with uncertain outcomes.
Clinical testing is expensive and can take many years to complete, and its outcome is inherently uncertain. Bone marrow transplant and cell-based therapies that appear promising in the early phases of development may fail to reach the market. Further, a failure of one or more of our clinical trials can occur at any time during the clinical trial process. We do not know whether future clinical trials, if any, will begin on time, need to be redesigned, enroll an adequate number of patients on time or be completed on schedule, if at all. Clinical trials can be delayed, suspended or terminated for a variety of reasons, including failure to:
| ● | generate sufficient preclinical, toxicology, or other in vivo or in vitro data to support the initiation or continuation of clinical trials; |
| ● | obtain regulatory approval, or feedback on trial design, in order to commence a trial; |
| ● | identify, recruit and train suitable clinical investigators; |
| ● | reach agreement on acceptable terms with prospective contract research organizations, or CROs, and clinical trial sites, the terms of which can be subject to extensive negotiation and may vary significantly among CROs and clinical trial sites, and have such CROs and sites effect the proper and timely conduct of our clinical trials; |
47
| ● | obtain and maintain IRB approval at each clinical trial site; |
| ● | identify, recruit and enroll suitable patients to participate in a trial; |
| ● | have a sufficient number of patients complete a trial or return for post-treatment follow-up; |
| ● | ensure clinical investigators and clinical trial sites observe trial protocol or continue to participate in a trial; |
| ● | address any patient safety concerns that arise during the course of a trial; |
| ● | address any conflicts with new or existing laws or regulations; |
| ● | add a sufficient number of clinical trial sites; |
| ● | manufacture sufficient quantities at the required quality of product candidate for use in clinical trials; or |
| ● | raise sufficient capital to fund a trial. |
| ● | We may also experience numerous unforeseen events during, or as a result of, clinical trials that could delay or prevent our ability to receive marketing approval or commercialize our product candidates, including: |
| ● | we may receive feedback from regulatory authorities that requires us to modify the design of our clinical trials; |
| ● | clinical trials of our product candidates may produce negative or inconclusive results, and we may decide, or regulators may require us, to conduct additional clinical trials or abandon development programs; |
| ● | the number of patients required for clinical trials of our product candidates may be larger than we anticipate, enrollment in these clinical trials may be slower than we anticipate or participants may drop out of these clinical trials at a higher rate than we anticipate; |
| ● | our third-party contractors may fail to comply with regulatory requirements or meet their contractual obligations to us in a timely manner, or at all; |
| ● | regulators, IRBs or Ethics Committees may not authorize us or our investigators to commence a clinical trial or conduct a clinical trial at a prospective trial site or amend a trial protocol; |
| ● | we may have delays in reaching or fail to reach agreement on acceptable clinical trial contracts or clinical trial protocols with prospective trial sites and CROs; |
| ● | we or our investigators might have to suspend or terminate clinical trials of our product candidates for various reasons, including noncompliance with regulatory requirements, a finding that our product candidates have undesirable side effects or other unexpected characteristics, or a finding that the participants are being exposed to unacceptable health risks; |
| ● | the cost of clinical trials of our product candidates may be greater than we anticipate; |
| ● | the supply or quality of our product candidates or other materials necessary to conduct clinical trials of our product candidates may be insufficient or inadequate; |
| ● | there may be changes in government regulations or administrative actions; |
| ● | our product candidates may have undesirable adverse effects or other unexpected characteristics; |
| ● | we may not be able to demonstrate that a product candidate’s clinical and other benefits outweigh its safety risks; |
| ● | we may not be able to demonstrate that a product candidate provides an advantage over current standards of care of future competitive therapies in development; |
| ● | regulators may revise the requirements for approving our product candidates, or such requirements may not be as we anticipate; and |
| ● | any future collaborators that conduct clinical trials may face any of the above issues, and may conduct clinical trials in ways they view as advantageous to them but that are suboptimal for us. |
48
We may also encounter delays if a clinical trial is suspended or terminated by us, by the IRBs or Ethics Committees of the institutions in which such trials are being conducted, by the trial’s data safety monitoring board, by the FDA, national competent authorities of the EU Member States or other regulatory agencies. Such authorities may suspend or terminate one or more of our clinical trials due to a number of factors, including our failure to conduct the clinical trial in accordance with relevant regulatory requirements or clinical protocols, inspection of the clinical trial operations or trial site by the FDA, national competent authorities of the EU Member States or other regulatory agencies resulting in the imposition of a clinical hold, unforeseen safety issues or adverse side effects, failure to demonstrate a benefit from using a drug, changes in governmental regulations or administrative actions or lack of adequate funding to continue the clinical trial.
Further, conducting clinical trials in countries outside of the United States and European Union, as we plan to do for our product candidates, presents additional risks that may delay completion of our clinical trials. These risks include the failure of enrolled patients in foreign countries to adhere to clinical protocol as a result of differences in healthcare services or cultural customs, managing additional administrative burdens associated with jurisdiction-specific regulatory schemes, as well as political and economic risks relevant to such jurisdictions.
In addition, disruptions caused by public health crises (such as the COVID-19 pandemic) may increase the likelihood that we encounter difficulties or delays in initiating, screening, enrolling, conducting, or completing our ongoing and planned preclinical studies and clinical trials. For example, the submission of our BLA for omidubicel was delayed, in part, as a result of the impact of the COVID-19 pandemic on our operations.
If we experience delays in carrying out or completing any clinical trial of our product candidates, the commercial prospects of our product candidates may be harmed, and our ability to generate product revenue from any of these product candidates will be delayed. In addition, any delays in completing our clinical trials will increase our costs, slow down our product candidate development and approval process and jeopardize our ability to commence product sales and generate revenue. Any of these occurrences may significantly harm our business and financial condition. In addition, many of the factors that cause, or lead to, a delay in the commencement or completion of clinical trials may also ultimately lead to the denial of regulatory approval of our product candidates.
The results of earlier studies and trials may not be predictive of future trial results, and our clinical trials may fail to adequately demonstrate the safety and efficacy of our product candidates.
Results from preclinical studies or early-stage clinical trials are not necessarily predictive of future clinical trial results, and interim results of a clinical trial are not necessarily indicative of final results. For example, our first Phase 1 clinical trial of GDA-201, which was an investigator-initiated trial using the fresh formulation of GDA-201 demonstrated no dose-limiting toxicities and significant clinical activity in patients with non-Hodgkin lymphoma, with 13 complete responses and one partial response observed in 19 patients, for an overall response rate of 74%. However, further clinical trials may show that the response rate in a larger sample size is lower than 74%, or there may be new toxicities reported.
There is a high failure rate for product candidates proceeding through clinical trials. Many companies in the pharmaceutical industry have suffered significant setbacks in late-stage clinical trials even after achieving promising results in preclinical testing and earlier-stage clinical trials. Data obtained from preclinical and clinical activities are subject to varying interpretations, including conclusions about relapse rates that are based on small sample sizes of data, which may delay, limit or prevent regulatory approval. In addition, we may experience regulatory delays or rejections as a result of many factors, including due to changes in regulatory policy during the period of our product candidate development. Success in preclinical testing and early clinical trials does not ensure that later clinical trials will generate the same results or otherwise provide adequate data to demonstrate the efficacy and safety of a product candidate.
Interim, “topline” and preliminary data from our clinical trials that we announce or publish from time to time may change as more patient data become available and are subject to audit and verification procedures that could result in material changes in the final data.
From time to time, we may publish interim, “top-line” or preliminary data from our clinical studies. Interim data from clinical trials that we may complete are subject to the risk that one or more of the clinical outcomes may materially change as patient enrollment continues and more patient data become available. Preliminary or “top-line” data also remain subject to audit and verification procedures that may result in the final data being materially different from the preliminary data previously published. In addition, successful results in one or a few patients may not be indicative of the final results after completion of treatment of all patients in a clinical trial. As a result, interim and preliminary data should be viewed with caution until the final data are available. Adverse changes between preliminary or interim data and final data could significantly harm our business prospects.
49
The success of our NAM technology platform and our product candidates is substantially dependent on developments within the emerging field of cellular therapies, some of which are beyond our control.
Our NAM expansion technology platform and our product candidates are designed to increase the therapeutic functionality of cell therapy products, which represents a novel development within the field of cellular therapeutics. Stem cell therapies in turn represent a relatively new therapeutic area that presents a number of scientific, clinical, regulatory and ethical challenges. Any adverse developments in the field of stem cell therapies generally, and in the practice of hematopoietic stem cell transplant in particular, will negatively impact our ability to develop and commercialize our product candidates. In particular, we currently anticipate that omidubicel and any additional product candidates that we develop from our NAM technology platform would be adopted into the current standard of care for hematopoietic stem cell transplant, or HSCT, procedures. If the market for HSCT procedures declines or fails to grow at anticipated levels for any reason, or if the development and commercialization of therapies targeted at the underlying cause of diseases addressed by omidubicel obviate the need for patients to undergo HSCT procedures, our business prospects will be significantly harmed.
Because our product candidates are based on novel technologies, it is difficult to predict the time and cost of development and our ability to successfully complete clinical development of these product candidates and obtain the necessary regulatory approvals for commercialization.
Our product candidates are based on our novel NAM technology platform, and unexpected problems related to this new technology may arise that could cause us to delay, suspend or terminate our development efforts. Regulatory approval of novel product candidates such as ours can be more expensive and take longer, than for other more well-known or extensively studied pharmaceutical or biopharmaceutical product candidates due to our and regulatory agencies’ lack of experience with them. Stem cell therapies represent a relatively new therapeutic area, and the FDA and equivalent foreign regulatory authorities have cautioned consumers about potential safety risks associated with these therapies. To date, there are relatively few approved stem cell products.
Regulatory requirements governing cell therapy products have changed frequently and may continue to change in the future. For example, the FDA established the Office of Cellular, Tissue and Gene Therapies within its Center for Biologics Evaluation and Research, or CBER, to consolidate the review of gene therapy and related products, and the Cellular, Tissue and Gene Therapies Advisory Committee to advise CBER on its review. In addition, adverse developments in clinical trials of potential stem cell therapies conducted by others may cause the FDA or other regulatory bodies to change the requirements for approval of any of our product candidates. These regulatory authorities and advisory groups and the new requirements or guidelines they promulgate may lengthen the regulatory review process, require us to perform additional studies, increase our development costs, lead to changes in regulatory positions and interpretations, delay or prevent approval and commercialization of our product candidates or lead to significant post-approval limitations or restrictions.
We may find it difficult to enroll patients in our clinical studies, which could delay or prevent us from proceeding with clinical trials.
Identifying and qualifying patients to participate in clinical studies of our product candidates is critical to our success. The timing of our clinical trials depends in part on the speed at which we can recruit patients to participate in testing our product candidates, and we may experience delays in our clinical trials if we encounter difficulties in enrollment. Patient enrollment and retention in clinical trials depends on many factors, including the size of the patient population, the nature of the trial protocol, our ability to recruit clinical trial investigators with the appropriate competencies and experience, the existing body of safety and efficacy data with respect to the study drug, the number and nature of competing treatments and ongoing clinical trials of competing drugs for the same indication, the proximity of patients to clinical sites, clinicians’ and patients’ perceptions as to the potential advantages of the product candidate being studied in relation to other available therapies, including any drugs that may be approved for the indications we are investigating, the eligibility criteria for the study, our ability to obtain and maintain patient consents and the risk that patients enrolled in clinical trials will drop out of the trials before completion. For example, patients may prefer to undergo treatment with stem cell transplantation with cells sourced from matched related donors, matched unrelated donors or haploidentical donors, as opposed to being treated with omidubicel, which would adversely affect the enrollment of our clinical trials.
We may not be able to identify, recruit and enroll a sufficient number of patients to complete our clinical studies because of the perceived risks and benefits of the product candidate under study, the availability and efficacy of competing therapies and clinical studies, the proximity and availability of clinical study sites for prospective patients and the patient referral practices of physicians. If patients are unwilling to participate in our studies for any reason, the timeline for recruiting patients, conducting studies, and obtaining regulatory approval of potential products will be delayed.
50
In addition, any negative results we may report in clinical trials of our product candidate may make it difficult or impossible to recruit and retain patients in other clinical trials of that same product candidate. Delays or failures in planned patient enrollment or retention may result in increased costs, program delays or both, which could have a harmful effect on our ability to develop our product candidates, or could render further development impossible. For example, the impact of public health epidemics, such as the COVID-19 pandemic, may delay or prevent patients from enrolling or from receiving treatment in accordance with the protocol and the required timelines, which could delay our clinical trials, or prevent us from completing our clinical trials at all, and harm our ability to obtain approval for such product candidate. Further, if patients drop out of our clinical trials, miss follow-up visits, or otherwise fail to follow clinical trial protocols, the integrity of data from our clinical trials may be compromised or not accepted by the FDA or other regulatory authorities, which would represent a significant setback for the applicable program. In addition, we may rely on CROs and clinical trial sites to ensure proper and timely conduct of our future clinical trials and, while we intend to enter into agreements governing their services, we will be limited in our ability to compel their actual performance.
Our product candidates and the administration process may cause undesirable side effects or have other properties that could delay or prevent their regulatory approval, limit the commercial profile of an approved label or result in significant negative consequences following marketing approval, if any, and result in costly and damaging product liability claims against us.
Undesirable side effects, including toxicology, caused by our product candidates, or the drugs encapsulated by our product candidates, could cause us or regulatory authorities to interrupt, delay or halt clinical studies and could result in a more restrictive label or the delay or denial of regulatory approval by the FDA, European Commission, or other regulatory agencies. Results of our studies could reveal a high and unacceptable severity and prevalence of these or other side effects. In such an event, our clinical studies could be suspended or terminated, and the FDA, European Commission or other regulatory agencies could order us to cease further development of or deny or withdraw approval of our product candidates for any or all targeted indications. Moreover, during the conduct of clinical trials, patients report changes in their health, including illnesses, injuries and discomforts, to their study doctor. Often, it is not possible to determine whether or not the product candidate being studied caused these conditions.
Drug-related, drug-product related, formulation-related and administration-related side effects could affect patient recruitment, the ability of enrolled patients to complete the clinical study or result in potential product liability claims, which could exceed our clinical trial insurance coverage. We obtain clinical trial insurance policies with respect to all our clinical studies. The insurance policies are in accordance with the local regulations applicable in the jurisdictions where the studies are performed outside of clinical trials.
Further, patients with the diseases targeted by our product candidates are often already in severe and advanced stages of disease and have both known and unknown significant pre-existing and potentially life-threatening health risks. Severe (grade 4) infusion reactions have also been reported in approximately 4% of patients treated with omidubicel. The most common adverse events related to omidubicel were graft versus host disease, or GvHD, (10%), pain (8%), transplant failure (4%), hypertension (4%), and dyspnea (2%). During the course of treatment, patients may suffer adverse events, including death, for reasons that may be related to our product candidates. In our Phase 1/2 clinical trial of omidubicel for the treatment of sickle cell disease, or SCD, which is a chronic illness, two of the patients died: one due to chronic GvHD and the other due to secondary graft failure. In our Phase 1/2 trial of omidubicel for the treatment of hematologic malignancies, approximately 10% of patients who received omidubicel experienced serious GvHD. In our first Phase 1/2 clinical trial of GDA-201, adverse events included one patient who died of E. coli sepsis. There was also a low level of sporadic engraftment failures. Such events could subject us to costly litigation, require us to pay substantial amounts of money to injured patients, delay, negatively impact or end our opportunity to receive or maintain regulatory approval to market our products, or require us to suspend or abandon our commercialization efforts.
Even in a circumstance in which we do not believe that an adverse event is related to our products, the investigation into the circumstance may be time-consuming or inconclusive. For instance, allogeneic bone marrow transplant, the area in which omidubicel is being used, is associated with serious complications, including death. In addition, there are expected toxicities for patients who receive an allogeneic bone marrow transplant, such as infertility. Thus, while not directly associated with omidubicel, there are attendant risks with the space in which our product candidates operate, and any related investigations may interrupt our development and commercialization efforts, delay our regulatory approval process, or impact and limit the type of regulatory approvals our product candidates receive or maintain. As a result of these factors, a product liability claim, even if successfully defended, could have a material adverse effect on our business, financial condition or results of operations.
51
Additionally, if one or more of our product candidates receives marketing approval, and we or others later identify undesirable side effects caused by such products, a number of potentially significant negative consequences could result, including, but not limited to:
| ● | regulatory authorities may suspend or withdraw approvals of such product; |
| ● | regulatory authorities may require additional warnings on the label, such as a “black box” warning or contraindication; |
| ● | additional restrictions may be imposed on the marketing of the particular product or the manufacturing processes for the product or any component thereof; |
| ● | we may be required to create a REMS, which could include a medication guide outlining the risks of such side effects for distribution to patients, a communication plan for healthcare providers and/or other elements to assure safe use; |
| ● | we may be required to recall a product, change the way a product candidate is administered or conduct additional clinical trials; |
| ● | we could be sued and held liable for harm caused to patients; |
| ● | the product may become less competitive; and |
| ● | our reputation may suffer. |
Any of these events could prevent us from achieving or maintaining market acceptance of the particular product candidate, if approved, and could significantly harm our business, results of operations and prospects.
Risks Related to Government Regulation
Even if we complete the necessary clinical trials, we cannot predict when, or if, we will obtain regulatory approval to commercialize any of our product candidates, and the approval may be for a narrower indication than we seek or be subject to other limitations or restrictions that limit its commercial profile.
We cannot commercialize a product candidate until the appropriate regulatory authorities have reviewed and approved the product candidate. Even if our current or future product candidates meet safety and efficacy endpoints in clinical trials, the regulatory authorities may not complete their review processes in a timely manner, or we may not be able to obtain regulatory approval. Additional delays may result if an FDA Advisory Committee or other regulatory authority recommends non-approval or restrictions on approval. In addition, we may experience delays or rejections based upon additional government regulation from future legislation or administrative action, or changes in regulatory authority policy during the period of product development, clinical trials and the review process.
Regulatory authorities also may approve a product candidate for more limited indications than requested or they may impose significant limitations in the form of warnings or a REMS. These regulatory authorities may require precautions or contra-indications with respect to conditions of use or they may grant approval subject to the performance of costly post-marketing clinical trials. In addition, regulatory authorities may not approve the labeling claims that are necessary or desirable for the successful commercialization of any of our product candidates. Any of the foregoing scenarios could materially harm the commercial prospects for our product candidates and materially and adversely affect our business, financial condition, results of operations and prospects.
52
Even if we obtain regulatory approval for a product candidate, our products will remain subject to regulatory scrutiny.
If one of our product candidates is approved, it will be subject to ongoing regulatory requirements for manufacturing, labeling, packaging, storage, advertising, promotion, sampling, record-keeping, conduct of post-marketing studies, and submission of safety, efficacy, and other post- market information, including both federal and state requirements in the United States and European Union and requirements of comparable regulatory authorities.
Manufacturers and manufacturers’ facilities are required to comply with extensive FDA, EMA, national competent authorities of the EU Member States and the requirements of additional regulatory authorities, including ensuring that quality control and manufacturing procedures conform to cGMP regulations. As such, we and our contract manufacturers will be subject to continual review and inspections to assess compliance with cGMP and adherence to commitments made in any approved marketing application. Accordingly, we and others with whom we work must continue to expend time, money, and effort in all areas of regulatory compliance, including manufacturing, production, and quality control.
We will have to comply with requirements concerning advertising and promotion for our products. Promotional communications with respect to prescription drugs and biologics are subject to a variety of legal and regulatory restrictions and must be consistent with the information in the product’s approved label. As such, we may not promote our products “off-label” for indications or uses for which they do not have approval. The holder of an approved application must submit new or supplemental applications and obtain approval for certain changes to the approved product, product labeling, or manufacturing process. We could also be asked to conduct post-marketing clinical studies to verify the safety and efficacy of our products in general or in specific patient subsets. An unsuccessful post- marketing study or failure to complete such a study could result in the withdrawal of marketing approval.
If a regulatory agency discovers previously unknown problems with a product, such as adverse events of unanticipated severity or frequency, or problems with the facility where the product is manufactured, or disagrees with the promotion, marketing or labeling of a product, such regulatory agency may impose restrictions on that product or us, including requiring withdrawal of the product from the market. If we fail to comply with applicable regulatory requirements, a regulatory agency or enforcement authority may, among other things:
| ● | issue warning letters; |
| ● | impose civil or criminal penalties; |
| ● | suspend or withdraw regulatory approval; |
| ● | suspend any of our clinical studies; |
| ● | refuse to approve pending applications or supplements to approved applications submitted by us; |
| ● | impose restrictions on our operations, including closing our contract manufacturers’ facilities; or |
| ● | seize or detain products, or require a product recall. |
Any government investigation of alleged violations of law could require us to expend significant time and resources in response and could generate negative publicity. Any failure to comply with ongoing regulatory requirements may significantly and adversely affect our ability to commercialize and generate revenue from our products. If regulatory sanctions are applied or if regulatory approval is withdrawn, the value of our company and our operating results will be adversely affected.
Moreover, the policies of the FDA and of other equivalent foreign regulatory authorities may change and additional government regulations may be enacted that could prevent, limit or delay regulatory approval of our product candidates. We cannot predict the likelihood, nature or extent of government regulation that may arise from future legislation or administrative or executive action, either in the United States or abroad. If we are slow or unable to adapt to changes in existing requirements or the adoption of new requirements or policies, or if we are not able to maintain regulatory compliance, we may lose any marketing approval that we may have obtained and we may not achieve or sustain profitability.
53
A Breakthrough Therapy Designation by the FDA may not lead to a faster development or regulatory review or approval process and it does not increase the likelihood that our product candidates will receive marketing approval.
We have obtained Breakthrough Therapy Designation for omidubicel for the treatment of hematologic malignancies and may receive it in the future if the clinical data support such a designation for one or more of our other product candidates. A breakthrough therapy is defined as a drug or biologic that is intended, alone or in combination with one or more other drugs or biologics, to treat a serious or life-threatening disease or condition and preliminary clinical evidence indicates that the drug, or biologic, may demonstrate substantial improvement over existing therapies on one or more clinically significant endpoints, such as substantial treatment effects observed early in clinical development. For product candidates that have been designated as breakthrough therapies, interaction and communication between the FDA and the sponsor of the trial can help to identify the most efficient path for clinical development while minimizing the number of patients placed in ineffective control regimens. Biologics designated as breakthrough therapies by the FDA may also be eligible for accelerated approval.
Designation as a breakthrough therapy is within the discretion of the FDA. Accordingly, even if we believe one of our current or future product candidates meets the criteria for designation as a breakthrough therapy, the FDA may disagree and instead determine not to make such designation.
In any event, the receipt of a Breakthrough Therapy Designation for omidubicel for the treatment of hematologic malignancies may not result in a faster development process, review or approval compared to drugs considered for approval under non-expedited FDA review procedures and does not assure ultimate approval by the FDA. In addition, the FDA may later decide that the product no longer meets the conditions to qualify for Breakthrough Therapy Designation.
We may be unable to maintain the benefits associated with orphan drug designations that we have obtained, including market exclusivity, which may cause our revenue, if any, to be reduced.
We have obtained orphan drug designation for omidubicel from the FDA and the European Commission for the treatment of hematologic malignancies, and we may pursue orphan drug designation for certain of our future product candidates. Under the Orphan Drug Act, the FDA may designate a drug or biologic product as an orphan drug if it is intended to treat a rare disease or condition, defined as a patient population of fewer than 200,000 in the United States, or a patient population greater than 200,000 in the United States where there is no reasonable expectation that the cost of developing the drug will be recovered from sales in the United States. In the European Union, the EMA’s Committee for Orphan Medicinal Products, or COMP, grants orphan drug designation to promote the development of products that are intended for the diagnosis, prevention, or treatment of a life-threatening or chronically debilitating condition affecting not more than five in 10,000 persons in the European Union. Additionally, designation is granted for products intended for the diagnosis, prevention, or treatment of a life-threatening, seriously debilitating or serious and chronic condition when, without incentives, it is unlikely that sales of the drug in the European Union would be sufficient to justify the necessary investment in developing the drug or biological product or where there is no satisfactory method of diagnosis, prevention, or treatment, or, if such a method exists, the medicine must be of significant benefit to those affected by the condition.
54
In the United States, orphan drug designation entitles a party to financial incentives such as opportunities for grant funding towards clinical trial costs, tax advantages, and application fee waivers. In addition, if a product receives the first FDA approval for the indication for which it has orphan designation, the product is entitled to orphan drug exclusivity, which means the FDA may not approve any other application to market the same drug for the same indication for a period of seven years, except in limited circumstances, such as a showing of clinical superiority over the product with orphan exclusivity or where the manufacturer is unable to assure sufficient product quantity the orphan patient population. In the European Union, orphan drug designation entitles a party to financial incentives such as reduction of fees or fee waivers and, potentially, ten years of market exclusivity following the granting of marketing authorization. This period may be reduced to six years if the orphan drug designation criteria are no longer met, including where it is shown that the product is sufficiently profitable not to justify maintenance of market exclusivity.
Even though we have obtained orphan drug designation for omidubicel from the FDA for the treatment of hematologic malignancies and from the European Commission for allogeneic ex-vivo-expanded umbilical cord blood-derived haematopoietic CD34+ progenitor cells and allogeneic non-expanded umbilical cord blood-derived haematopoietic mature myeloid and lymphoid cells (also known as NiCord), we may not be the first to obtain marketing approval for such indication due to the uncertainties associated with developing pharmaceutical products. Further, orphan drug exclusivity may not effectively protect the product candidate from competition because different drugs with different active moieties can be approved for the same condition. Even after an orphan drug is approved, the FDA or European Commission can subsequently approve the same drug with the same active moiety for the same condition if the FDA or European Commission concludes that the later drug is clinically superior in that it is safer, more effective, or makes a major contribution to patient care. Orphan drug designation neither shortens the development time or regulatory review time of a drug or biologic nor gives the drug or biologic any advantage in the regulatory review or approval process.
Enacted and future healthcare legislation may increase the difficulty and cost for us to obtain marketing approval of and commercialize our product candidates and may affect the prices we may set.
In the United States, the European Union and other jurisdictions, there have been, and we expect there will continue to be, a number of legislative and regulatory changes and proposed changes to the healthcare system that could affect our future results of operations. In particular, there have been and continue to be a number of initiatives at the U.S. federal and state levels that seek to reduce healthcare costs and improve the quality of healthcare. For example, in March 2010, the Patient Protection and Affordable Care Act, as amended by the Health Care and Education Reconciliation Act, or collectively the PPACA, was enacted, which substantially changed the way healthcare is financed by both governmental and private payers. Among the provisions of the PPACA, those of greatest importance to the pharmaceutical and biotechnology industries include the following: an annual, non-deductible fee payable by any entity that manufactures or imports certain branded prescription drugs and biologic agents (other than those designated as orphan drugs), which is apportioned among these entities according to their market share in certain government healthcare programs;
| ● | new requirements to report certain financial arrangements with physicians and teaching hospital personnel including transplant teams, including reporting “transfers of value” made or distributed to physicians, as defined by such law, and reporting investment interests held by physicians and their immediate family members; |
| ● | a new methodology by which rebates owed by manufacturers under the Medicaid Drug Rebate Program are calculated for drugs that are inhaled, infused, instilled, implanted or injected; |
| ● | expansion of eligibility criteria for Medicaid programs by, among other things, allowing states to offer Medicaid coverage to certain individuals with income at or below 133% of the federal poverty level, thereby potentially increasing a manufacturer’s Medicaid rebate liability; |
| ● | a licensure framework for follow-on biologic products; |
| ● | a new Patient-Centered Outcomes Research Institute to oversee, identify priorities in, and conduct comparative clinical effectiveness research, along with funding for such research; and |
| ● | establishment of a Center for Medicare Innovation at the Centers for Medicare & Medicaid Services, or CMS, to test innovative payment and service delivery models to lower Medicare and Medicaid spending, potentially including prescription drug spending. |
55
There have been judicial and Congressional challenges to certain aspects of the PPACA. For example, the Tax Cuts and Jobs Act of 2017, or Tax Act, included a provision repealing, effective January 1, 2019, the tax-based shared responsibility payment imposed by the PPACA on certain individuals who fail to maintain qualifying health coverage for all or part of a year that is commonly referred to as the “individual mandate”. On June 17, 2021, the U.S. Supreme Court dismissed a challenge on procedural grounds that argued the PPACA is unconstitutional in its entirety because the “individual mandate” was repealed by Congress. Further, there have been a number of health reform measures by the Biden administration that have impacted the PPACA. For example, on August 16, 2022, President Biden signed the Inflation Reduction Act of 2022, or IRA, into law, which among other things, extends enhanced subsidies for individuals purchasing health insurance coverage in ACA marketplaces through plan year 2025. The IRA also eliminates the “donut hole” under the Medicare Part D program beginning in 2025 by significantly lowering the beneficiary maximum out-of-pocket cost and by creating a new manufacturer discount program. It is possible that the PPACA will be subject to judicial or Congressional challenges in the future. It is unclear how such challenges and the healthcare reform measures of the Biden administration will impact the PPACA and our business.
In addition, other legislative changes have been proposed and adopted in the United States since the PPACA was enacted. In August 2011, the Budget Control Act of 2011, among other things, led to aggregate reductions of Medicare payments to providers of 2% per fiscal year. These reductions went into effect in April 2013 and, due to subsequent legislative amendments to the statute, will remain in effect until 2031, unless additional action is taken by Congress. Under current legislation, the actual reduction in Medicare payments will vary from 1% in 2022 to up to 4% in the final fiscal year of this sequester. In January 2013, the American Taxpayer Relief Act of 2012 was signed into law, which, among other things, further reduced Medicare payments to several types of providers, including hospitals, imaging centers and cancer treatment centers, and increased the statute of limitations period for the government to recover overpayments to providers from three to five years. These new laws or any other similar laws introduced in the future may result in additional reductions in Medicare and other health care funding, which could negatively affect our customers and accordingly, our financial operations.
Moreover, payment methodologies are subject to changes in healthcare legislation and regulatory initiatives. For example, CMS has developed value-based payment models for a variety of care settings, including the inpatient prospective payment system used for reimbursing inpatient hospital services. In addition, recently there has been heightened governmental scrutiny over the manner in which manufacturers set prices for their marketed products, which has resulted in several U.S. Presidential executive orders, Congressional inquiries and proposed and enacted federal and state legislation designed to, among other things, bring more transparency to drug pricing, reduce the cost of prescription drugs under government payer programs, and review the relationship between pricing and manufacturer patient programs. For example, in July 2021, the Biden administration released an executive order, “Promoting Competition in the American Economy,” with multiple provisions aimed at prescription drugs. In response to Biden’s executive order, on September 9, 2021, the Department of Health and Human Services, or HHS, released a Comprehensive Plan for Addressing High Drug Prices that outlines principles for drug pricing reform and sets out a variety of potential legislative policies that Congress could pursue as well as potential administrative actions HHS can take to advance these principles. In addition, the IRA, among other things, (i) directs the Secretary of HHS to negotiate the price of certain high-expenditure, single-source drugs and biologics covered under Medicare Part B and Medicare Part D, and subjects drug manufacturers to civil monetary penalties and a potential excise tax by offering a price that is not equal to or less than the negotiated “maximum fair price” under the law, and (ii) imposes rebates under Medicare Part B and Medicare Part D to penalize price increases that outpace inflation. The IRA permits HHS to implement many of these provisions through guidance, as opposed to regulation, for the initial years. These provisions will take effect progressively starting in fiscal year 2023, although they may be subject to legal challenges. It is currently unclear how the IRA will be effectuated but is likely to have a significant impact on the pharmaceutical industry. Further, the Biden administration released an additional executive order on October 14, 2022, directing HHS to report on how the Center for Medicare and Medicaid Innovation can be further leveraged to test new models for lowering drug costs for Medicare and Medicaid beneficiaries.
We expect that additional U.S. federal healthcare reform measures will be adopted in the future, any of which could limit the amounts that the U.S. federal government will pay for healthcare products and services, which could result in reduced demand for our product candidates or additional pricing pressures.
Individual states in the United States have also increasingly passed legislation and implemented regulations designed to control pharmaceutical and biological product pricing, including price or patient reimbursement constraints, discounts, restrictions on certain product access and marketing cost disclosure and transparency measures, and, in some cases, designed to encourage importation from other countries and bulk purchasing. Legally mandated price controls on payment amounts by third- party payers or other restrictions could harm our business, results of operations, financial condition and prospects. In addition, regional healthcare authorities and individual hospitals are increasingly using bidding procedures to determine what pharmaceutical products and which suppliers will be included in their prescription drug and other healthcare programs. This could reduce the ultimate demand for our product candidates or put pressure on our product pricing.
56
In the European Union, similar political, economic and regulatory developments may affect our ability to profitably commercialize our product candidates, if approved. In addition to continuing pressure on prices and cost containment measures, legislative developments at the European Union or member state level may result in significant additional requirements or obstacles that may increase our operating costs. The delivery of healthcare in the European Union, including the establishment and operation of health services and the pricing and reimbursement of medicines, is almost exclusively a matter for national, rather than European Union, law and policy. National governments and health service providers have different priorities and approaches to the delivery of health care and the pricing and reimbursement of products in that context. In general, however, the healthcare budgetary constraints in most European Union member states have resulted in restrictions on the pricing and reimbursement of medicines by relevant health service providers. Any increase in European Union and national regulatory burdens on those wishing to develop and market products could prevent or delay marketing approval of our product candidates, restrict or regulate post- approval activities and affect our ability to commercialize our product candidates, if approved. In markets outside of the United States and European Union, reimbursement and healthcare payment systems vary significantly by country, and many countries have instituted price ceilings on specific products and therapies.
We cannot predict the likelihood, nature or extent of government regulation that may arise from future legislation or administrative action in the United States, the European Union or any other jurisdiction. If we or any third parties we may engage are slow or unable to adapt to changes in existing requirements or the adoption of new requirements or policies, or if we or such third parties are not able to maintain regulatory compliance, our product candidates may lose any regulatory approval that may have been obtained and we may not achieve or sustain profitability.
Our business operations and current and future relationships with investigators, healthcare professionals, consultants, third-party payers, patient organizations and customers will be subject to applicable healthcare regulatory laws, which could expose us to penalties.
Our business operations and current and future arrangements with investigators, healthcare professionals, consultants, third-party payers, patient organizations and customers, may expose us to broadly applicable fraud and abuse, privacy and security and other healthcare laws and regulations. These laws may constrain the business or financial arrangements and relationships through which we conduct our operations, including how we research, market, sell and distribute our product candidates, if approved. Such laws include:
| ● | the U.S. federal Anti-Kickback Statute, which prohibits, among other things, persons or entities from knowingly and willfully soliciting, offering, receiving or providing any remuneration (including any kickback, bribe, or certain rebate), directly or indirectly, overtly or covertly, in cash or in kind, to induce or reward, or in return for, either the referral of an individual for, or the purchase, lease, order or recommendation of, any good, facility, item or service, for which payment may be made, in whole or in part, under any U.S. federal healthcare program, such as Medicare and Medicaid. A person or entity does not need to have actual knowledge of the statute or specific intent to violate it in order to have committed a violation; |
| ● | the U.S. federal civil and criminal false claims, including the civil False Claims Act, which prohibit, among other things, including through civil whistleblower or qui tam actions, and civil monetary penalties laws which prohibit individuals or entities from knowingly presenting, or causing to be presented, to the U.S. federal government, claims for payment or approval that are false or fraudulent, knowingly making, using or causing to be made or used, a false record or statement material to a false or fraudulent claim, or from knowingly making a false statement to avoid, decrease or conceal an obligation to pay money to the U.S. federal government. Pharmaceutical manufacturers can cause false claims to be presented to the U.S. federal government by engaging in impermissible marketing practices, such as the off-label promotion of a product for an indication for which it has not received FDA approval. In addition, the government may assert that a claim including items and services resulting from a violation of the U.S. federal Anti-Kickback Statute constitutes a false or fraudulent claim for purposes of the civil False Claims Act; |
57
| ● | the Health Insurance Portability and Accountability Act, or HIPAA, which imposes criminal and civil liability for, among other things, knowingly and willfully executing, or attempting to execute, a scheme to defraud any healthcare benefit program, or knowingly and willfully falsifying, concealing or covering up a material fact or making any materially false statement, in connection with the delivery of, or payment for, healthcare benefits, items or services. Similar to the U.S. federal Anti-Kickback Statute, a person or entity does not need to have actual knowledge of the healthcare fraud statute implemented under HIPAA or specific intent to violate it in order to have committed a violation; |
| ● | HIPAA, as amended by the Health Information Technology for Economic and Clinical Health Act, or HITECH, and its implementing regulations, which also imposes certain obligations, including mandatory contractual terms, with respect to safeguarding the privacy and security of individually identifiable health information of covered entities subject to the rule, such as health plans, healthcare clearinghouses and certain healthcare providers, as well as their business associates, independent contractors of a covered entity that perform certain services involving the use or disclosure of individually identifiable health information on their behalf and their subcontractors that use, disclose, access, or otherwise process individually identifiable health information; |
| ● | the Food Drug and Cosmetic Act, or the FDCA, which prohibits, among other things, the adulteration or misbranding of drugs, biologics and medical devices; |
| ● | the U.S. Public Health Service Act, which prohibits, among other things, the introduction into interstate commerce of a biological product unless a biologics license is in effect for that product; |
| ● | the U.S. Physician Payments Sunshine Act and its implementing regulations, which requires certain manufacturers of drugs, devices, biologics and medical supplies that are reimbursable under Medicare, Medicaid, or the Children’s Health Insurance Program, with specific exceptions, to report annually to the government information related to certain payments and other transfers of value to physicians (defined to include doctors, dentists, optometrists, podiatrists, and chiropractors), certain other healthcare professionals (such as physician assistants and nurse practitioners), and teaching hospitals, as well as ownership and investment interests held by physicians and their immediate family members; |
| ● | analogous U.S. state laws and regulations, including: state anti-kickback and false claims laws, which may apply to our business practices, including but not limited to, research, distribution, sales and marketing arrangements and claims involving healthcare items or services reimbursed by any third-party payer, including private insurers; state laws that require pharmaceutical companies to comply with the pharmaceutical industry’s voluntary compliance guidelines and the relevant compliance guidance promulgated by the U.S. federal government, or otherwise restrict payments that may be made to healthcare providers and other potential referral sources; state laws and regulations that require drug manufacturers to file reports relating to pricing and marketing information, which requires tracking gifts and other remuneration and items of value provided to healthcare professionals and entities; state and local laws requiring the registration of pharmaceutical sales representatives; and state laws governing the privacy and security of health information in certain circumstances, many of which differ from each other in significant ways and often are not preempted by HIPAA, thus complicating compliance efforts; the U.S. Foreign Corrupt Practices Act of 1977, as amended, which prohibits, among other things, U.S. companies and their employees and agents from authorizing, promising, offering, or providing, directly or indirectly, corrupt or improper payments or anything else of value to non-U.S. government officials, employees of public international organizations and non-U.S. government owned or affiliated entities, candidates for non-U.S. political office, and non-U.S. political parties or officials thereof; and |
| ● | similar healthcare laws and regulations in the European Union and other jurisdictions, including reporting requirements detailing interactions with and payments to healthcare providers. |
Ensuring that our internal operations and future business arrangements with third parties comply with applicable healthcare laws and regulations will involve substantial costs. It is possible that governmental authorities will conclude that our business practices do not comply with current or future statutes, regulations, agency guidance or case law involving applicable fraud and abuse or other healthcare laws and regulations. If our operations are found to be in violation of any of the laws described above or any other governmental laws and regulations that may apply to us, we may be subject to significant penalties, including civil, criminal and administrative penalties, damages, fines, exclusion from government-funded healthcare programs, such as Medicare and Medicaid or similar programs in other countries or jurisdictions, integrity oversight and reporting obligations to resolve allegations of non-compliance, disgorgement, individual imprisonment, contractual damages, reputational harm, diminished profits and the curtailment or restructuring of our operations. If any of the physicians or other providers or entities with whom we expect to do business are found to not be in compliance with applicable laws, they may be subject to criminal, civil or administrative sanctions, including exclusions from government funded healthcare programs and imprisonment, which could affect our ability to operate our business. Further, defending against any such actions can be costly, time-consuming and may require significant personnel resources. Therefore, even if we are successful in defending against any such actions that may be brought against us, our business may be impaired.
58
Legislative or regulatory healthcare reforms in the United States may make it more difficult and costly for us to obtain regulatory clearance or approval of our product candidates and to produce, market and distribute our products after clearance or approval is obtained.
From time to time, legislation is drafted and introduced in Congress that could significantly change the statutory provisions governing the regulatory clearance or approval, manufacture and marketing of regulated products or the reimbursement thereof. In addition, FDA regulations and guidance are often revised or reinterpreted by the FDA in ways that may significantly affect our business and our products. Any new regulations or revisions or reinterpretations of existing regulations may impose additional costs or lengthen review times of our product candidates. We cannot determine what effect changes in regulations, statutes, legal interpretation or policies, when and if promulgated, enacted or adopted may have on our business in the future. Such changes could, among other things, require:
| ● | changes to manufacturing methods; |
| ● | change in protocol design; |
| ● | additional treatment arm (control); |
| ● | recall, replacement, or discontinuance of one or more of our products; and |
| ● | additional recordkeeping. |
We face competition from other biotechnology and pharmaceutical companies, and our operating results will suffer if we fail to compete effectively.
The biotechnology and pharmaceutical industries are intensely competitive and subject to rapid and significant technological change. We face competition from major multinational pharmaceutical companies, established and early-stage biotechnology companies, and universities and other research institutions. Many of our competitors have greater financial and other resources, such as larger research and development staff and more experienced marketing and manufacturing organizations. Large pharmaceutical companies, in particular, have extensive experience in clinical testing, obtaining regulatory approvals, recruiting patients and manufacturing pharmaceutical products. These companies also have significantly greater research, sales and marketing capabilities and collaborative arrangements in our target markets with leading companies and research institutions.
Established pharmaceutical companies may also invest heavily to accelerate discovery and development of novel therapeutics or to in-license novel therapeutics that could make the product candidates that we develop obsolete. As a result of all of these factors, our competitors may succeed in obtaining patent protection or FDA approval or discovering, developing and commercializing treatments in the rare disease indications that we are targeting before we do. Smaller or early-stage companies may also prove to be significant competitors, particularly through collaborative arrangements with large, established companies.
Doctors may recommend that patients undergo stem cell transplantation using cells from matched related donors, matched or mismatched unrelated donors, haploidentical donors or unmodified umbilical cord blood instead of using omidubicel or may choose other therapy options instead of our other NAM-derived product candidates. In addition, there are several clinical-stage development programs that seek to improve umbilical cord blood transplantation through the use of ex vivo expansion technologies to increase the quantity of hematopoietic stem cells for use in HSCT or the use of ex vivo differentiation technologies to increase the quantity of hematopoietic progenitor cells for use in HSCT. We are aware of several other companies with product candidates in various stages of development for allogeneic HSCT grafts, including but not limited to ExCellThera, Garuda Therapeutics and Bellicum Pharmaceuticals, and for NK cells, including, Takeda Pharmaceutical Company Limited, Fate Therapeutics, Artiva, Sanofi, MiNK Therapeutics, ONK Therapeutics, Shoreline, Cellularity, NKarta, Wugen, Century Therapeutics, Appia Bio and FujiFilm Cellular Dynamics. In addition, many universities and private and public research institutes may develop technologies of interest to us but license them to our competitors. Our competitors may succeed in developing, acquiring or licensing on an exclusive basis, technologies and drug products that are more effective or less costly than omidubicel or any other product candidates that we are currently developing or that we may develop, which could render our products obsolete and noncompetitive.
59
We believe that our ability to successfully compete will depend on, among other things:
| ● | the results of our preclinical studies and clinical trials; |
| ● | our ability to recruit and enroll patients for our clinical trials; |
| ● | the efficacy, safety and reliability of our product candidates; |
| ● | the speed at which we develop our product candidates; |
| ● | our ability to design and successfully execute appropriate clinical trials; |
| ● | our ability to protect, develop and maintain intellectual property rights related to our products; |
| ● | our ability to maintain a good relationship with regulatory authorities; |
| ● | the timing and scope of regulatory approvals, if any; |
| ● | our ability to commercialize and market any of our product candidates that receive regulatory approval; |
| ● | market perception and acceptance of stem cell therapeutics; |
| ● | acceptance of our product candidates by physicians and institutions that perform HSCT procedures; |
| ● | the price of our products; |
| ● | coverage and adequate levels of reimbursement under private and governmental health insurance plans, including Medicare; and |
| ● | our ability to manufacture and sell commercial quantities of any approved products to the market. |
If our competitors market products that are more effective, safer or less expensive than our future products, if any, or that reach the market sooner than our future products, if any, we may not achieve commercial success. Any inability to successfully compete effectively will adversely impact our business and financial prospects.
Even if we obtain and maintain approval for omidubicel or our other product candidates from the FDA, we may never obtain approval outside of the United States, which would limit our market opportunities and adversely affect our business.
Approval of a product candidate in the United States by the FDA does not ensure approval of such product candidate by regulatory authorities in other countries or jurisdictions, and approval by non-U.S. regulatory authority does not ensure approval by regulatory authorities in other countries or by the FDA. However, the failure to obtain approval from the FDA or other regulatory authorities may negatively impact our ability to obtain approval in non-U.S. countries. Sales of omidubicel or our other product candidates outside of the United States will be subject to the regulatory requirements of other jurisdictions governing clinical trials and marketing approval. Even if the FDA grants marketing approval for a product candidate, comparable regulatory authorities in other countries also must approve the manufacturing and marketing of the product candidate in those countries. Approval procedures vary among jurisdictions and can involve requirements and administrative review periods different from, and more onerous than, those in the United States, including additional preclinical studies or clinical trials. In many countries outside the United States, a product candidate must be approved for reimbursement before it can be approved for sale in that country. In some cases, the price that we intend to charge for our product candidates, if approved, is also subject to approval.
60
Even if a product candidate is approved in another country, the applicable regulatory agency may limit the indications for which the product may be marketed, require extensive warnings on the product labeling or require expensive and time-consuming additional clinical trials or reporting as conditions of approval. Regulatory authorities in countries outside of the United States and the European Union also have requirements for approval of product candidates with which we must comply prior to marketing in those countries. Obtaining non-U.S. regulatory approvals and compliance with non-U.S. regulatory requirements could result in significant delays, difficulties and costs for us and could delay or prevent the introduction of our product candidates in certain countries.
Further, clinical trials conducted in one country may not be accepted by regulatory authorities in other countries. Also, regulatory approval for a product candidate may be withdrawn. If we fail to comply with the regulatory requirements, our target market will be reduced and our ability to realize the full market potential of omidubicel or our other product candidates will be harmed and our business, financial condition, results of operations and prospects will be adversely affected.
The misuse or off-label use of our products may harm our reputation in the marketplace, result in injuries that lead to product liability suits or result in costly investigations, fines or sanctions by regulatory bodies if we are deemed to have engaged in the promotion of these uses, any of which could be costly to our business.
We have initially sought marketing approval for omidubicel for the treatment of hematologic malignancies. We will train our marketing and sales personnel or the marketing and sales personnel of any strategic partner to not promote our products, if approved, for any other uses outside of any FDA-cleared indications for use, known as “off-label use.”
We cannot, however, prevent a physician from using our products off-label, when in the physician’s independent professional medical judgment, he or she deems it appropriate. As a result, there may be increased risk of injury to patients if physicians attempt to use our products for these uses for which they are not approved. Furthermore, the use of our products for indications other than those approved by the FDA or any non-U.S. regulatory body may not effectively treat such conditions, which could harm our reputation in the marketplace among physicians and patients.
If the FDA, the national competent authorities of the EU Member States any other regulatory body in a jurisdiction in which we operate determines that our promotional materials or training constitute promotion of an off-label use, it could request that we modify our training or promotional materials or subject us to regulatory or enforcement actions, including the issuance or imposition of an untitled letter, which is used for violators that do not necessitate a warning letter, injunction, seizure, civil fine or criminal penalties. It is also possible that other federal, state or non-U.S. enforcement authorities might take action under other regulatory authority, such as false claims laws, if they consider our business activities to constitute promotion of an off-label use, which could result in significant penalties, including, but not limited to, criminal, civil and administrative penalties, damages, fines, disgorgement, exclusion from participation in government healthcare programs and the curtailment of our operations.
Collection and use of data, including personal information, is governed by restrictive regulations that could lead to government enforcement actions, private litigation, adverse publicity, or other adverse actions that could negatively affect our operating results of business.
In the ordinary course of business, we collect, receive, store, process, generate, use, transfer, disclose, make accessible, protect, secure, dispose of, transmit, and share (collectively, processing) personal data and other sensitive information, including proprietary and confidential business data, trade secrets, intellectual property, data we collect about trial participants in connection with clinical trials, and sensitive third-party data.
Our data processing activities may subject us to numerous data privacy and security obligations, such as various laws, regulations, guidance, industry standards, external and internal privacy and security policies, contractual requirements, and other obligations relating to data privacy and security. Outside the United States, an increasing number of laws, regulations, and industry standards apply to data privacy and security. For example, the EU GDPR and the UK GDPR impose strict requirements for the processing of personal data of individuals located, respectively, within the EEA and the UK.
61
The EU and UK GDPR impose requirements relating to (a) having legal bases for processing personal information relating to identifiable individuals and transferring such information outside the European Economic Area and/or the UK including to the United States, (b) providing details to those individuals regarding the processing of their personal information, (c) keeping personal information secure and confidential, (d) having data processing agreements with third parties who process personal information, (e) responding to individuals’ requests to exercise their rights in respect of their personal information, (f) reporting security breaches involving personal data to the competent national data protection authority and, possibly, affected individuals, (g) appointing data protection officers, (h) conducting data protection impact assessments and (i) recordkeeping. The EU and UK GDPR impose additional responsibilities and liabilities in relation to personal data that we process and we may be required to put in place additional mechanisms ensuring compliance with the new data protection rules. Failure to comply with the requirements of the EU GDPR and related national data protection laws of the member states of the European Union may result in substantial fines (up to or the great of €20 million or 4% of annual global revenue), other administrative penalties and civil claims being brought against us, which could have a material adverse effect on our business, results of operations and financial condition. Such civil claims, based on a private right of actions in the EU GDPR, allow data subjects and consumer associations to lodge complaints with supervisory authorities, seek judicial remedies, and obtain compensation for damages resulting from violations of the EU GDPR.
In the ordinary course of business, we may transfer personal data from Europe and other jurisdictions to the United States or other countries. Europe and other jurisdictions have enacted laws requiring data to be localized or limiting the transfer of personal data to other countries. In particular, the EEA and the UK have significantly restricted the transfer of personal data to the United States and other countries whose privacy laws it believes are inadequate. Other jurisdictions may adopt similarly stringent interpretations of their data localization and cross-border data transfer laws. Although there are currently various mechanisms that may be used to transfer personal data from the EEA and UK to the United States in compliance with law, such as the EEA and UK’s standard contractual clauses, these mechanisms are subject to legal challenges, and there is no assurance that we can satisfy or rely on these measures to lawfully transfer personal data to the United States.
If there is no lawful manner for us to transfer personal data from the EEA, the UK or other jurisdictions to the United States, or if the requirements for a legally compliant transfer are too onerous, we could face significant adverse consequences, including the interruption or degradation of our operations, the need to relocate part of or all of our business or data processing activities to other jurisdictions at significant expense, increased exposure to regulatory actions, substantial fines and penalties, the inability to transfer data and work with partners, vendors and other third parties, and injunctions against our processing or transferring of personal data necessary to operate our business. Additionally, companies that transfer personal data out of the EEA and UK to other jurisdictions, particularly to the United States, are subject to increased scrutiny from regulators, individual litigants, and activist groups. Some European regulators have ordered certain companies to suspend or permanently cease certain transfers out of Europe for allegedly violating the EU GDPR’s cross-border data transfer limitations.
Obligations related to data privacy and security are quickly changing, becoming increasingly stringent, and creating regulatory uncertainty. Additionally, these obligations may be subject to differing applications and interpretations, which may be inconsistent or conflict among jurisdictions. Preparing for and complying with these obligations requires us to devote significant resources, which may necessitate changes to our services, information technologies, systems, and practices and to those of any third parties that process personal data on our behalf. In addition, these obligations may require us to change our business model.
We may at times fail (or be perceived to have failed) in our efforts to comply with our data privacy and security obligations. Moreover, despite our efforts, our personnel or third parties on whom we rely may fail to comply with such obligations, which could negatively impact our business operations. If we or the third parties on which we rely fail, or are perceived to have failed, to address or comply with applicable data privacy and security obligations, we could face significant consequences, including but not limited to: government enforcement actions (e.g., investigations, fines, penalties, audits, inspections, and similar); litigation (including class-action claims); additional reporting requirements and/or oversight; bans on processing personal data; and orders to destroy or not use personal data.
Any of these events could have a material adverse effect on our reputation, business, or financial condition, including but not limited to: loss of customers; interruptions or stoppages in our business operations (including, as relevant, clinical trials); inability to process personal data or to operate in certain jurisdictions; limited ability to develop or commercialize our products; expenditure of time and resources to defend any claim or inquiry; adverse publicity; or substantial changes to our business model or operations.
62
Risks Related to our Reliance on Third Parties
We may rely on third parties to conduct certain elements of our preclinical studies and clinical trials and perform other tasks for us. If these third parties do not successfully carry out their contractual duties, meet expected deadlines or comply with regulatory requirements, we may not be able to obtain regulatory approval for or commercialize our product candidates.
We have relied upon, and may again rely upon, third-party vendors, including CROs, to monitor and manage data for our preclinical studies and clinical trials. We may rely on these parties for execution of our preclinical studies and clinical trials, and we control only certain aspects of their activities. Nevertheless, we are responsible for ensuring that each of our studies is conducted in accordance with the applicable protocol, legal, regulatory and scientific standards, and our reliance on the vendors and CROs does not relieve us of our regulatory responsibilities.
We and our CROs and other vendors are required to comply with good clinical practice, or GCP, cGMP, the Helsinki Declaration, the International Council for Harmonization Guideline for Good Clinical Practice, applicable European Commission Directives on Clinical Trials, laws and regulations applicable to clinical trials conducted in other territories, good laboratory practices, or GLP, which are regulations and guidelines enforced by the FDA, the Competent Authorities of the Member States of the European Economic Area, or EEA, and comparable regulatory authorities for all our product candidates in clinical development as well as rules and regulations regarding the collection and use of personal data such as the GDPR.
Regulatory authorities enforce these regulations through periodic inspections of study sponsors, principal investigators, study sites and other contractors. If we or any of our CROs or vendors fail to comply with applicable regulations, including GCP and cGMP regulations, the clinical data generated in our clinical studies may be deemed unreliable and the FDA, EMA or comparable regulatory authorities may require us to perform additional clinical studies before approving our marketing applications. Our failure to comply with these regulations may require us to repeat clinical studies, which would delay the regulatory approval process.
If any of our relationships with these third-party CROs or vendors were to terminate, we may not be able to enter into arrangements with alternative CROs or vendors or do so on commercially reasonable terms. In addition, our CROs are not our employees, and, except for remedies available to us under our agreements with such CROs, we cannot control whether or not they devote sufficient time and resources to our ongoing clinical, nonclinical and preclinical programs. If CROs do not successfully carry out their contractual duties or obligations or meet expected deadlines, if they need to be replaced or if the quality or accuracy of the clinical data they obtain is compromised due to the failure to adhere to our clinical protocols, regulatory requirements or for other reasons, our clinical studies may be extended, delayed or terminated, and we may not be able to obtain regulatory approval for or successfully commercialize our product candidates. We may also be subject to higher CRO costs than anticipated, which could adversely affect our results of operations and the commercial prospects for our product candidates, increase our costs and delay our ability to generate revenue.
Replacing or adding additional CROs involves additional cost and requires management time and focus. In addition, there is a natural transition period when a new CRO commences work. As a result, delays occur, which can materially impact our ability to meet our desired clinical development timelines. Though we expect to carefully manage our relationships with our CROs, we may encounter similar challenges or delays in the future, which could have a material adverse impact on our business, financial condition and prospects.
Independent clinical investigators and CROs that we engage to conduct our clinical trials may not devote sufficient time or attention to our clinical trials or be able to repeat their past success.
We expect to continue to depend on third parties, including independent clinical investigators and CROs, to conduct any future clinical trials. CROs may also assist us in the collection and analysis of data. There is a limited number of third-party service providers and vendors that specialize or have the expertise required to achieve our business objectives. Identifying, qualifying and managing performance of third-party service providers can be difficult, time consuming and cause delays in our development programs.
63
These investigators and CROs will not be our employees and we will not be able to control, other than through contract, the amount of resources, including time, which they devote to our product candidates and clinical trials. If independent investigators or CROs fail to devote sufficient resources to the development of our product candidates, or if their performance is substandard, it may delay or compromise the prospects for approval and commercialization of any product candidates that we develop.
Investigators for our clinical trials may serve as scientific advisors or consultants to us from time to time and receive compensation in connection with such services. Under certain circumstances, we may be required to report some of these relationships to the FDA or other equivalent foreign regulatory authorities. The FDA or other equivalent foreign regulatory authorities may conclude that a financial relationship between us and an investigator has created a conflict of interest or otherwise affected interpretation of the study. The FDA or other equivalent foreign regulatory authorities may therefore question the integrity of the data generated at the applicable clinical trial site and the utility of the clinical trial itself may be jeopardized. This could result in a delay in approval or rejection of our marketing applications by the FDA or other equivalent foreign regulatory authorities, as the case may be, and may ultimately lead to the denial of marketing approval of one or more of our product candidates.
In addition, the use of third-party service providers requires us to disclose our proprietary information to these parties, which could increase the risk that this information will be misappropriated. Further, the FDA and other equivalent foreign regulatory authorities require that we comply with standards, commonly referred to as GCP, for conducting, recording and reporting clinical trials to assure that data and reported results are credible and accurate and that the rights, integrity and confidentiality of trial subjects are protected. Failure of clinical investigators or CROs to meet their obligations to us or comply with GCP procedures could adversely affect the clinical development of our product candidates and harm our business.
We rely on a limited number of suppliers to provide the raw materials other than cord blood (serum and growth factor) needed to produce our product candidates. We have a relationship with a single supplier, Miltenyi Biotec GmbH, for certain equipment (columns and beads) necessary to create our product candidates.
We do not have any control over the availability of these raw materials or pieces of equipment. If we or our providers are unable to purchase these raw materials or equipment on acceptable terms, at sufficient quality levels, or in adequate quantities, if at all, the development and commercialization of our product candidates or any future product candidates, could be delayed or there could be a shortage in supply, which could impair our ability to meet our development objectives for our product candidates or generate revenue from the sale of any approved products.
Even following our establishment of our own planned cGMP-compliant manufacturing capabilities, we intend to continue to rely on third-party suppliers for these raw materials and pieces of equipment, which will expose us to risks including:
| ● | failure of any supplier to become or maintain its status as a cGMP-compliant manufacturer of raw materials, which status is a prerequisite to our attainment of a BLA for omidubicel and our other product candidate; |
| ● | termination or nonrenewal of supply or service agreements with third parties in a manner or at a time that is costly or damaging to us; and |
| ● | disruptions to the operations of our third-party suppliers and service providers caused by conditions unrelated to our business or operations, including the bankruptcy of the supplier or service provider. |
64
We rely on a single facility located in Kiryat Gat, Israel to manufacture omidubicel. Severe natural or other disaster, power outages or disruption at this site could have a material adverse effect on our ability to manufacture sufficient commercial supply.
Unless and until we establish an alternative supplier, we will be solely dependent on our facility in Kiryat Gat, Israel for the manufacture of the clinical supply of omidubicel and, if omidubicel is approved, commercial supply of omidubicel. We have completed construction on the facility in Kiryat Gat. The FDA completed its pre-licensing inspections of our facility in Kiryat Gat, and we are awaiting final FDA approval of this facility to manufacture commercial supplies of omidubicel. Such inspection resulted in no 483 observations to date. In addition, the Israeli Ministry of Health has also completed physical inspections of the facility in Kiryat Gat, Israel. Severe natural or other disasters, power outages, ongoing or revived hostilities or other political or economic factors could severely disrupt our manufacturing operations at our Kiryat Gat facility. If any event occurred that prevented us from using all or a significant portion of this facility or otherwise disrupted operations, it may be difficult or, in certain cases, impossible for us to continue manufacturing omidubicel for a substantial period of time in sufficient quantities, or at all. The disaster recovery and business continuity plans we have in place currently are limited and are unlikely to prove adequate to guarantee a sufficient continuation of supply in the event of a serious disaster or similar event. Although we intend to establish an alternative source supplier or manufacturer for the commercial supply of omidubicel, we cannot guarantee that we will be able to establish an alternative source, supplier or partner for the manufacturing of omidubicel at acceptable commercial terms, or at all.
Our reliance on third parties requires us to share our trade secrets and other intellectual property, which increases the possibility that a competitor will discover them or that our trade secrets and other intellectual property will be misappropriated or disclosed.
Because we rely on third parties to provide us with the materials that we use to develop and manufacture our primary product candidate, we may, at times, share trade secrets and other intellectual property with such third parties. We seek to protect our proprietary technology in part by entering into confidentiality agreements and, if applicable, material transfer agreements, collaborative research agreements, consulting agreements, or other similar agreements with our collaborators, advisors, employees and consultants prior to beginning research or disclosing proprietary information. These agreements typically limit the rights of the third parties to use or disclose our confidential information, such as trade secrets and intellectual property. Despite the contractual provisions employed when working with third parties, the need to share trade secrets and other confidential information increases the risk that such trade secrets become known by our competitors, are inadvertently incorporated into the technology of others, or are disclosed or used in violation of these agreements. Given that our proprietary position is based, in part, on our know-how and trade secrets, a competitor’s discovery of our trade secrets or other unauthorized use or disclosure would impair our competitive position and may have a material adverse effect on our business.
Despite our efforts to protect our trade secrets, our competitors or other third parties may discover our trade secrets, either through breach of these agreements, independent development or publication of information including our trade secrets by third parties. A competitor’s or other third party’s discovery of our trade secrets would impair our competitive position and have an adverse impact on our business, financial condition, results of operations and prospects.
We face a variety of challenges and uncertainties associated with our dependence on the availability of human umbilical cord blood units, or CBUs, at cord blood banks for the manufacture of omidubicel.
CBUs are one of the raw materials for the manufacture of omidubicel. The CBUs currently used in the manufacture of omidubicel are procured directly by the clinical cell processing facilities from cord blood banks, which hold more than 800,000 CBUs that have been donated, processed and cryopreserved. However, the availability of CBUs for the manufacture of omidubicel depends on a number of regulatory, political, economic and technical factors outside of our control, including:
| ● | government policies relating to the regulation of CBUs for clinical use; |
| ● | the availability of government funding for cord blood banks; |
| ● | pregnancy and birth rates, and the willingness of mothers to consent to the donation of CBUs and the terms of such consent; |
| ● | individual cord blood bank policies and practices relating to CBU acquisition and banking; |
| ● | the pricing of CBUs; |
| ● | the methods used in searching for and matching CBUs to patients, which involve emerging technology related to current and future CBU parameters that guide the selection of an appropriate CBU for transplantation; and |
| ● | methods for the procurement and shipment of CBUs and their handling and storage at clinical sites, any or all of which may have been complicated by public health policies aimed at slowing the spread of the COVID-19 virus. |
65
Additionally, we do not have control over the types of CBUs used in the manufacture of omidubicel. We rely heavily on these clinical cell processing facilities to procure CBUs from cord blood banks that are compliant with government regulations and within the current standard of care. In addition, we may identify specific characteristics of CBUs, such as their volume and red blood cell content, that may limit their ability to be used to manufacture omidubicel even though these CBUs may otherwise be suitable for use in allogeneic transplant. As a result, the requirement for CBUs to meet our specifications may limit the potential inventory of CBUs eligible for use in the manufacture of omidubicel. There is a large variability in the tests, methods and equipment utilized by cord blood banks in testing CBUs before storage. This could result in CBUs that are found to be unsuitable for production after their arrival at the manufacturing site. In the United States, cord blood banks are required to file a BLA and meet certain continued regulatory requirements in order to bank and provide CBUs for transplantation. Despite these requirements, most of the cord blood banks in the United States are not licensed. While the FDA currently allows CBUs from unlicensed cord blood banks to be used for transplantation and we have used CBUs from such facilities in the manufacture of omidubicel for our clinical trials, the FDA may later prohibit the use of such CBUs for transplantation. Additionally, although CBUs from non-U.S. cord blood banks, which are generally unlicensed, are currently available in the United States for use in transplantation and we have used CBUs from non-U.S. cord blood banks in our clinical trials, we anticipate we will not be able to use cord blood from non-U.S. cord blood banks for the manufacturing of omidubicel. Any inability to procure adequate supplies of CBUs will adversely impact our ability to develop and commercialize omidubicel.
Risks Related to Our Intellectual Property
If we are unable to obtain, maintain or protect intellectual property rights related to any of our product candidates or any future product candidates, we may not be able to compete effectively in our market.
We rely upon a combination of patents, trade secret protection and confidentiality agreements to protect the intellectual property related to our technologies and product candidates. Our success depends in large part on our ability to obtain and maintain patent and other intellectual property protection in the United States and in other countries with respect to our proprietary technology and product candidates.
We have sought to protect our proprietary position by filing patent applications in the United States and in other countries, with respect to our novel technologies and product candidates, which are important to our business. Patent prosecution is expensive and time consuming. We may not be able to prepare, file and prosecute all necessary or desirable patent applications at a reasonable cost or in a timely manner or in all jurisdictions. It is also possible that we will fail to identify patentable aspects of our research and development activities before it is too late to obtain patent protection.
Further, the patent position of biopharmaceutical companies generally is highly uncertain and involves complex legal and factual questions for which legal principles remain unsettled. This renders the patent prosecution process particularly expensive and time-consuming. There is no assurance that all potentially relevant prior art relating to our patent applications has been found and that there are no material defects in the form, preparation, or prosecution of our patent applications, which can invalidate a patent or prevent a patent from issuing from a pending patent application. Even if patents do successfully issue, and even if such patents cover our product candidates, because the issuance of a patent is not conclusive as to its inventorship, scope, validity or enforceability, our patents or pending patent applications may be challenged in the courts or patent offices in the United States and abroad, which may result in such patents being narrowed, found unenforceable or invalidated. For example, we may be subject to a third-party pre-issuance submission of prior art to the United States Patent and Trademark Office, or USPTO, or become involved in post-grant review procedures, oppositions, derivations, reexaminations, inter parts review, or IPR, or interference proceedings, in the United States or elsewhere, challenging our patent rights or the patent rights of others. An adverse determination in any such challenges may result in loss of exclusivity or in patent claims being narrowed, invalidated or held unenforceable, in whole or in part, which could limit our ability to stop others from using or commercializing similar or identical technology and products, or limit the duration of the patent protection of our technology and products. Furthermore, even if they are unchallenged, our patent applications and any future patents may not adequately protect our intellectual property, provide exclusivity for our product candidates, or prevent others from designing around our claims. Any of these outcomes could impair our ability to prevent competition from third parties, which may have an adverse impact on our business.
66
If we cannot obtain and maintain effective patent rights for our product candidates, we may not be able to compete effectively and our business and results of operations would be harmed.
In addition to the protection afforded by any patents that have been or may be granted, we rely on trade secret protection and confidentiality agreements to protect proprietary know-how that is not patentable or that we elect not to patent, processes for which patents are difficult to enforce and any other elements of our product candidate discovery and development processes that involve proprietary know-how, information or technology that is not covered by patents. However, trade secrets can be difficult to protect. We seek to protect our proprietary technology and processes, in part, by entering into confidentiality agreements with our employees, consultants, scientific advisors and contractors. We also seek to preserve the integrity and confidentiality of our data, trade secrets and intellectual property by maintaining the physical security of our premises and physical and electronic security of our information technology systems. Notwithstanding these measures, organizations and systems, agreements or security measures may be breached, and we may not have adequate remedies for any breach. In addition, our trade secrets and intellectual property may otherwise become known or be independently discovered by competitors. Although we expect all our employees and consultants and other third parties who may be involved in the development of intellectual property for us to assign their inventions to us, and all of our employees, consultants, advisors and any third parties who have access to our proprietary knowhow, information, or technology to enter into confidentiality agreements, we cannot provide any assurances that we have entered into such agreements with all applicable third parties or that all such agreements have been duly executed. Even if we have entered into such agreements, we cannot assure you that our counterparties will comply with the terms of such agreements or that the assignment of intellectual property rights under such agreements is self-executing. We may be forced to bring claims against third parties, or defend claims that they may bring against us, to determine the ownership of what we regard as our intellectual property. If we fail in prosecuting or defending any such claims, in addition to paying monetary damages, we may lose valuable intellectual property rights. Even if we are successful in prosecuting or defending against such claims, litigation could result in substantial costs and be a distraction to our senior management and scientific personnel.
We also cannot assure you that our trade secrets and other confidential proprietary information will not be disclosed or that competitors will not otherwise gain access to our trade secrets or independently develop substantially equivalent information and techniques. Misappropriation or unauthorized disclosure of our trade secrets and intellectual property could impair our competitive position and may have a material adverse effect on our business. Additionally, if the steps taken to maintain our trade secrets and intellectual property are deemed inadequate, we may have insufficient recourse against third parties for misappropriating the trade secret. Any of the foregoing could significantly harm our business, results of operations and prospects.
Patent reform legislation and rule changes could increase the uncertainties and costs surrounding the prosecution of our patent applications and the enforcement or defense of any issued patents.
Our ability to obtain patents is highly uncertain because, to date, some legal principles remain unsettled, there has not been a consistent policy regarding the breadth or interpretation of claims allowed in patents in the United States and the specific content of patents and patent applications that are necessary to support and interpret patent claims is highly uncertain due to the complex nature of the relevant legal, scientific, and factual issues. Changes in either patent laws or interpretations of patent laws in the United States and other countries may diminish the value of our intellectual property or narrow the scope of our patent protection.
For example, on September 16, 2011, the Leahy-Smith America Invents Act, or the Leahy-Smith Act, was signed into law. The Leahy-Smith Act includes a number of significant changes to United States patent law. These include provisions that affect the way patent applications will be prosecuted and may also affect patent litigation. The USPTO has developed new and untested regulations and procedures to govern the full implementation of the Leahy-Smith Act and many of the substantive changes to patent law associated with the Leahy-Smith Act, and in particular, the first to file provisions only became effective in March 2013. Prior to March 2013, in the United States, the first to invent was entitled to the patent. As of March 2013, assuming the other requirements for patentability are met, the first to file a patent application is generally entitled to the patent. Publications of discoveries in the scientific literature often lag behind the actual discoveries, and patent applications in the United States and other jurisdictions are typically not published until 18 months after filing, or in some cases not at all. Therefore, we cannot be certain that we were the first to make the inventions claimed in our patents or pending patent applications, or that we were the first to file for patent protection of such inventions. The Leahy-Smith Act has also introduced procedures making it easier for third parties to challenge issued patents, as well as to intervene in the prosecution of patent applications. Finally, the Leahy-Smith Act contains new statutory provisions that require the USPTO to issue new regulations for their implementation, and it may take the courts years to interpret the provisions of the new statute.
67
However, the Leahy-Smith Act and its implementation could increase the uncertainties and costs surrounding the prosecution of our patent applications and the enforcement or defense of our issued patents. Further, the U.S. Supreme Court has ruled on several patent cases in recent years, either narrowing the scope of patent protection available in certain circumstances or weakening the rights of patent owners in certain situations. In addition to increasing uncertainty with regard to our ability to obtain patents in the future, this combination of events has created uncertainty with respect to the value of patents, once obtained. Depending on actions by the U.S. Congress, the federal courts, and the USPTO, the laws and regulations governing patents could change in unpredictable ways that would weaken our ability to obtain new patents or to enforce patents that we have owned or licensed or that we might obtain in the future. Any inability to obtain, enforce, and defend patents covering our proprietary technologies would materially and adversely affect our business prospects and financial condition.
Similarly, changes in patent laws and regulations in other countries or jurisdictions or changes in the governmental bodies that enforce them or changes in how the relevant governmental authority enforces patent laws or regulations may weaken our ability to obtain new patents or to enforce patents that we own or that we may obtain in the future. Further, the laws of some countries do not protect proprietary rights to the same extent or in the same manner as the laws of the United States. As a result, we may encounter significant problems in protecting and defending our intellectual property both in the United States and abroad. For example, if the issuance to us, in a given country, of a patent covering an invention is not followed by the issuance, in other countries, of patents covering the same invention, or if any judicial interpretation of the validity, enforceability, or scope of the claims, or the written description or enablement, in a patent issued in one country is not similar to the interpretation given to the corresponding patent issued in another country, our ability to protect our intellectual property in those countries may be limited. Changes in either patent laws or in interpretations of patent laws in the United States and other countries may materially diminish the value of our intellectual property or narrow the scope of our patent protection. Any of the foregoing could significantly harm our business, results of operations and prospects.
If our trademarks and trade names are not adequately protected, then we may not be able to build name recognition in our markets of interest and our business may be adversely affected.
Our registered or unregistered trademarks or trade names may be challenged, infringed, circumvented or declared generic or determined to be infringing on other marks. We may not be able to protect our rights to these trademarks and trade names, which we need to build name recognition by potential partners or customers in our markets of interest. Over the long term, if we are unable to establish name recognition based on our trademarks and trade names, then we may not be able to compete effectively and our business may be adversely affected. If other entities use trademarks similar to ours in different jurisdictions, or have senior rights to ours, it could interfere with our use of our current trademarks throughout the world.
Intellectual property rights of third parties could adversely affect our ability to commercialize our product candidates, and we might be required to litigate or obtain licenses from third parties in order to develop or market our product candidate. Such litigation or licenses could be costly or not available on commercially reasonable terms.
It is inherently difficult to conclusively assess our freedom to operate without infringing on or otherwise violating third-party rights. Our competitive position may suffer if patents issued to third parties or other third-party intellectual property rights cover our product candidates or elements thereof, or our manufacturing or uses relevant to our development plans. In such cases, we may not be in a position to develop or commercialize products or our product candidates unless we successfully pursue litigation to nullify or invalidate the third-party intellectual property right concerned, or enter into a license agreement with the intellectual property right holder, if available on commercially reasonable terms.
68
There may also be pending patent applications that if they result in issued patents, could be alleged to be infringed by our product candidates. If such an infringement claim should be brought and be successful, we may be required to pay substantial damages, including treble damages and attorneys’ fees if we are found to have willfully infringed, we may be forced to cease the development and commercialization of and otherwise abandon our product candidates, or we may need to seek a license from any patent holders. No assurances can be given that a license will be available on commercially reasonable terms, if at all. Even if we were able to obtain such a license, it could be granted on non-exclusive terms, thereby providing our competitors and other third parties access to the same technologies licensed to us.
It is also possible that we have failed to identify relevant third-party patents or applications. For example, U.S. applications filed before November 29, 2000, and certain U.S. applications filed after that date that will not be filed outside the U.S. remain confidential until patents issue. Patent applications in the U.S. and elsewhere are published approximately 18 months after the earliest filing to which priority is claimed, with such earliest filing date being commonly referred to as the priority date. Therefore, patent applications covering our product candidates or platform technology could have been filed by others without our knowledge. Additionally, pending patent applications which have been published can, subject to certain limitations, be later amended in a manner that could cover our platform technologies, our product candidates or the use of our product candidates. Third-party intellectual property right holders may also actively bring infringement claims against us. We cannot guarantee that we will be able to successfully defend, settle or otherwise resolve such infringement claims. If we are unable to successfully settle future claims on terms acceptable to us, we may be required to engage in or continue costly, unpredictable and time-consuming litigation and may be prevented from or experience substantial delays in pursuing the development of and/or marketing of our product candidates. If we fail in any such dispute, in addition to being forced to pay damages, we may be temporarily or permanently prohibited from commercializing our product candidates that are held to be infringing. We might, if possible, also be forced to redesign our product candidates so that we no longer infringe the third-party intellectual property rights, which may not be commercially feasible. Any of these events, even if we were ultimately to prevail, could require us to divert substantial financial and management resources that we would otherwise be able to devote to our business and otherwise significantly harm our business, results of operations and prospects.
Third-party claims of intellectual property infringement may prevent or delay our development and commercialization efforts.
Our commercial success depends in part on our avoiding infringing or otherwise violating the patents and proprietary rights of third parties. There have been many lawsuits and other proceedings involving patent and other intellectual property rights in the biotechnology and pharmaceutical industries, including patent infringement lawsuits, interferences, oppositions, post grant review, IPR, and reexamination proceedings before the USPTO and corresponding non-U.S. patent offices. Numerous U.S. and non-U.S. issued patents and pending patent applications, which are owned by third parties, exist in the fields in which we are developing product candidates. As the pharmaceutical industry expands and more patents are issued, the risk increases that our product candidates may be subject to claims of infringement of the patent rights of third parties or other intellectual property claims.
Third parties may assert that we are employing their proprietary technology without authorization. There may be third-party patents or patent applications with claims to materials, formulations, methods of manufacture, or methods for treatment related to the use or manufacture of our product candidates. Because patent applications can take many years to issue, there may be currently pending patent applications that may later result in issued patents that our product candidates may infringe. In addition, third parties may obtain patents in the future and claim that use of our technologies infringes upon these patents. If any third-party patents were held by a court of competent jurisdiction to cover the manufacturing process of any of our product candidates, any materials formed during the manufacturing process or any final product itself, the holders of any such patents may be able to block our ability to commercialize such product candidates unless we obtain a license under the applicable patents, or until such patents expire or are finally determined to be invalid or unenforceable.
Similarly, if any third-party patents were held by a court of competent jurisdiction to cover aspects of our formulations, processes for manufacture, or methods of use, the holders of any such patents may be able to block our ability to develop and commercialize the applicable product candidate unless we obtain a license or until such patent expires or is finally determined to be invalid or unenforceable. In either case, such a license may not be available on commercially reasonable terms or at all.
69
Parties making claims against us may obtain injunctive or other equitable relief, which could effectively block our ability to further develop and commercialize one or more of our product candidates. Defense of these claims, regardless of their merit, would involve substantial litigation expense and would be a substantial diversion of employee resources from our business. In the event of a successful claim of infringement against us, we may have to pay substantial damages, including treble damages and attorneys’ fees for willful infringement, pay royalties, redesign our infringing products or obtain one or more licenses from third parties, which may be impossible or require substantial time and monetary expenditure.
Furthermore, because of the substantial amount of discovery required in connection with intellectual property litigation, there is a risk that some of our confidential information could be compromised by disclosure during this type of litigation. There could also be public announcements of the results of hearings, motions, or other interim proceedings or developments. If securities analysts or investors perceive these results to be negative, it could have a material adverse effect on the price of our ordinary shares. Any of the foregoing could significantly harm our business, results of operations and prospects.
We may not be successful in obtaining or maintaining necessary rights to our product candidates through acquisitions and in-licenses.
Because our programs may require the use of intellectual property or proprietary rights held by third parties, the growth of our business will likely depend in part on our ability to acquire, in-license, or use these intellectual property and proprietary rights. In addition, our product candidates may require specific formulations to work effectively and efficiently and the rights to these formulations may be held by others. We may be unable to acquire or in-license any compositions, methods of use, processes, or other third-party intellectual property rights from third parties that we identify as necessary for our product candidates. The licensing and acquisition of third-party intellectual property rights is a competitive area, and a number of more established companies are also pursuing strategies to license or acquire third-party intellectual property rights that we may consider attractive. These established companies may have a competitive advantage over us due to their size, cash resources, and greater clinical development and commercialization capabilities. In addition, the Indenture governing our Notes contain restrictions that may limit our ability to enter into acquisition or in-licensing agreements.
For example, we sometimes collaborate with academic institutions to accelerate our preclinical research or development under written agreements with these institutions, some of which provide that the applicable institution will own certain rights in any technology developed thereunder.
Typically, these institutions provide us with an option to negotiate a license to any of the institution’s rights in technology resulting from the collaboration. Regardless of such option, we may be unable to negotiate a license within the specified timeframe or under terms that are acceptable to us. If we are unable to do so, the institution may offer the intellectual property rights to other parties, potentially blocking our ability to pursue our program.
In addition, companies that perceive us to be a competitor may be unwilling to assign or license rights to us. We are also subject to certain restrictions regarding obtaining licenses of third-party intellectual property pursuant to the terms of the agreements governing the Notes, and we may be unable to license or acquire third-party intellectual property rights on terms that would allow us to make an appropriate return on our investment. If we are unable to successfully obtain rights to required third-party intellectual property rights, we may have to abandon development of that program and our business and financial condition could suffer.
We may be involved in lawsuits to protect or enforce our intellectual property, which could be expensive, time consuming and unsuccessful.
Competitors may infringe, misappropriate or otherwise violate our intellectual property or that of our licensors that we may acquire in the future. To counter infringement or unauthorized use, we may be required to file infringement claims, which can be expensive and time-consuming. If we initiate legal proceedings against a third party to enforce a patent covering one of our product candidates, the defendant could counterclaim that the patent covering our product or product candidate is invalid and/or unenforceable. In patent litigation in the United States, defendant counterclaims alleging invalidity and/or unenforceability are common, and there are numerous grounds upon which a third party can assert invalidity or unenforceability of a patent. In an infringement proceeding, a court may decide that a patent of ours is not valid or is unenforceable, or may refuse to stop the other party from using the technology at issue on the grounds that our patents do not cover the technology in question. Third parties may also raise similar claims before administrative bodies in the United States or abroad, even outside the context of litigation. Such mechanisms include re-examination, post grant review, inter parties review, or IPR, and equivalent proceedings in non-U.S. jurisdictions (e.g., opposition proceedings). Such proceedings could result in revocation of or amendment to our patents in such a way that they no longer cover our product candidates. The outcome following legal assertions of invalidity and unenforceability is unpredictable. With respect to the validity question, for example, we cannot be certain that there is no invalidating prior art, of which we, our patent counsel, and the patent examiner were unaware during prosecution. If a defendant were to prevail on a legal assertion of invalidity and/or unenforceability, we would lose at least part, and perhaps all, of the patent protection on our product candidates. An adverse result in any litigation or defense proceedings could put one or more of our patents at risk of being invalidated or interpreted narrowly, could put our patent applications at risk of not issuing and could have a material adverse impact on our business.
70
Interference proceedings provoked by third parties or brought by us may be necessary to determine the priority of inventions with respect to our patent applications. An unfavorable outcome could require us to cease using the related technology or to attempt to license rights to it from the prevailing party. Our business could be harmed if the prevailing party does not offer us a license on commercially reasonable terms. Our defense of litigation or interference proceedings may fail and, even if successful, may result in substantial costs and distract our management and other employees. We may not be able to prevent misappropriation of our intellectual property rights, particularly in countries where the laws may not protect those rights as fully as in the United States.
Furthermore, because of the substantial amount of discovery required in connection with intellectual property litigation, there is a risk that some of our confidential information could be compromised by disclosure during this type of litigation. There could also be public announcements of the results of hearings, motions, or other interim proceedings or developments. If securities analysts or investors perceive these results to be negative, it could have a material adverse effect on the price of our ordinary shares. Any of the foregoing could significantly harm our business, results of operations and prospects.
We may be subject to claims that our employees, consultants, or independent contractors have wrongfully used or disclosed confidential information of third parties or that our employees have wrongfully used or disclosed alleged trade secrets of their former employers.
We employ individuals who were previously employed at universities or other biotechnology or pharmaceutical companies, including our competitors or potential competitors. Although we try to ensure that our employees, consultants and independent contractors do not use the proprietary information or know-how of others in their work for us, we may be subject to claims that we or our employees, consultants, or independent contractors have inadvertently or otherwise used or disclosed intellectual property, including trade secrets or other proprietary information, of any of our employees’ former employers or other third parties. Litigation may be necessary to defend against these claims. If we fail in defending any such claims, in addition to paying monetary damages, we may lose valuable intellectual property rights or personnel, which could adversely impact our business. Even if we are successful in defending against such claims, litigation could result in substantial costs and be a distraction to management and other employees. Any of the foregoing could significantly harm our business, results of operations and prospects.
We may be subject to claims challenging the inventorship of our intellectual property.
We may be subject to claims that former employees, collaborators or other third parties have an interest in or right to compensation with respect to our current patent and patent applications, future patents or other intellectual property as an inventor or co-inventor. For example, we may have inventorship disputes arise from conflicting obligations of consultants or others who are involved in developing our product candidates. Litigation may be necessary to defend against these and other claims challenging inventorship or claiming the right to compensation. If we fail in defending any such claims, in addition to paying monetary damages, we may lose valuable intellectual property rights, such as exclusive ownership of, or right to use, valuable intellectual property. Such an outcome could have a material adverse effect on our business. Even if we are successful in defending against such claims, litigation could result in substantial costs and be a distraction to management and other employees. To the extent that our employees have not effectively waived the right to compensation with respect to inventions that they helped create, they may be able to assert claims for compensation with respect to our future revenue. As a result, we may receive less revenue from future products if such claims are successful which in turn could impact our future profitability, business, results of operations and prospects.
71
We may become subject to claims for remuneration or royalties for assigned service invention rights by our employees, which could result in litigation and adversely affect our business.
A significant portion of our intellectual property has been developed by our employees in the course of their employment for us. Under the Israeli Patent Law, 5727-1967, or the Patent Law, inventions conceived by an employee in the course and as a result of or arising from his or her employment with a company are regarded as “service inventions,” which belong to the employer, absent a specific agreement between the employee and employer giving the employee service invention rights. The Patent Law also provides that if there is no such agreement between an employer and an employee, the Israeli Compensation and Royalties Committee, or the Committee, a body constituted under the Patent Law, shall determine whether the employee is entitled to remuneration for his inventions. Case law clarifies that the right to receive consideration for “service inventions” can be waived by the employee and that in certain circumstances, such waiver does not necessarily have to be explicit. The Committee will examine, on a case-by-case basis, the general contractual framework between the parties, using interpretation rules of the general Israeli contract laws. Further, the Committee has not yet determined one specific formula for calculating this remuneration (but rather uses the criteria specified in the Patent Law). Although we generally enter into assignment-of-invention agreements with our employees pursuant to which such individuals assign to us all rights to any inventions created in the scope of their employment or engagement with us, we may face claims demanding remuneration in consideration for assigned inventions. As a consequence of such claims, we could be required to pay additional remuneration or royalties to our current and/or former employees, or be forced to litigate such claims, which could negatively affect our business.
Obtaining and maintaining our patent protection depends on compliance with various procedural, document submission, fee payment and other requirements imposed by government patent agencies, and our patent protection could be reduced or eliminated for non-compliance with these requirements.
Periodic maintenance fees, renewal fees, annuity fees and various other government fees on patents and/or applications will be due to be paid to the USPTO and various government patent agencies outside of the United States over the lifetime of our patents and/or applications and any patent rights we may own or license in the future. We rely on our outside counsel or third-party service providers to pay these fees due to the USPTO and non-U.S. patent agencies. The USPTO and various non-U.S. government patent agencies require compliance with several procedural, documentary, fee payment and other similar provisions during the patent application process. We employ reputable law firms and other professionals to help us comply. In many cases, an inadvertent lapse can be cured by payment of a late fee or by other means in accordance with the applicable rules. There are situations, however, in which non-compliance can result in abandonment or lapse of the patents or patent applications, resulting in partial or complete loss of patent rights in the relevant jurisdiction. In such an event, potential competitors might be able to enter the market and this circumstance could harm our business.
We may enjoy only limited geographical protection with respect to certain patents and we may not be able to protect our intellectual property rights throughout the world.
Filing and prosecuting patent applications and defending patents covering our product candidates in all countries throughout the world would be prohibitively expensive. Competitors may use our technologies in jurisdictions where we have not obtained patent protection to develop their own products and, further, may export otherwise infringing products to territories where we have patent protection, but enforcement rights are not as strong as that in the United States. These products may compete with our product candidates, and our patents or other intellectual property rights may not be effective or sufficient to prevent them from competing.
72
In addition, we may decide to abandon national and regional patent applications before grant. The examination of each national or regional patent application is an independent proceeding. As a result, patent applications in the same family may issue as patents in some jurisdictions, such as in the United States, but may issue as patents with claims of different scope or may even be refused in other jurisdictions. It is also quite common that depending on the country, the scope of patent protection may vary for the same product candidate or technology. The laws of some jurisdictions do not protect intellectual property rights to the same extent as the laws or rules and regulations in the United States, and many companies have encountered significant difficulties in protecting and defending such rights in such jurisdictions. The legal systems of certain countries, particularly certain developing countries, do not favor the enforcement of patents, trade secrets and other intellectual property protection, which could make it difficult for us to stop the infringement of our patents or marketing of competing products in violation of our proprietary rights generally. Proceedings to enforce our patent rights in other jurisdictions, whether or not successful, could result in substantial costs and divert our efforts and attention from other aspects of our business, could put our patents at risk of being invalidated or interpreted narrowly and our patent applications at risk of not issuing as patents, and could provoke third parties to assert claims against us. We may not prevail in any lawsuits that we initiate and the damages or other remedies awarded, if any, may not be commercially meaningful.
Accordingly, our efforts to enforce our intellectual property rights around the world may be inadequate to obtain a significant commercial advantage from the intellectual property that we develop or license. Furthermore, while we intend to protect our intellectual property rights in our expected significant markets, we cannot ensure that we will be able to initiate or maintain similar efforts in all jurisdictions in which we may wish to market our product candidates. Accordingly, our efforts to protect our intellectual property rights in such countries may be inadequate, which may have an adverse effect on our ability to successfully commercialize our product candidates in all our expected significant non-U.S. markets. If we encounter difficulties in protecting, or are otherwise precluded from effectively protecting, the intellectual property rights important for our business in such jurisdictions, the value of these rights may be diminished and we may face additional competition from others in those jurisdictions.
Some countries also have compulsory licensing laws under which a patent owner may be compelled to grant licenses to third parties. In addition, some countries limit the enforceability of patents against government agencies or government contractors. In those countries, the patent owner may have limited remedies, which could materially diminish the value of such patents. If we are forced to grant a license to third parties with respect to any patents relevant to our business, our competitive position may be impaired.
Patent terms may be inadequate to protect our competitive position on our product candidates for an adequate amount of time.
Patents have a limited lifespan. In the United States, if all maintenance fees are timely paid, the natural expiration of a patent is generally 20 years from its earliest U.S. non-provisional filing date. Various extensions may be available, but the life of a patent, and the protection it affords, is limited. Even if patents covering our product candidates are obtained, once the patent life has expired for a product candidate, we may be open to competition from competitive medications, including biosimilar and generic medications. Given the amount of time required for the development, testing and regulatory review of new product candidates, patents protecting such product candidates might expire before or shortly after such product candidates are commercialized. As a result, our patent portfolio may not provide us with sufficient rights to exclude others from commercializing product candidates similar or identical to ours.
Depending upon the timing, duration and conditions of any FDA marketing approval of our product candidates, one or more of our U.S. patents may be eligible for limited patent term extension under the Drug Price Competition and Patent Term Restoration Act of 1984, referred to as the Hatch-Waxman Amendments, and similar legislation in the European Union. The Hatch-Waxman Amendments permit a patent term extension of up to five years for a patent covering an approved product as compensation for effective patent term lost during product development and the FDA regulatory review process. However, we may not receive an extension if we fail to exercise due diligence during the testing phase or regulatory review process, fail to apply within applicable deadlines, fail to apply prior to expiration of relevant patents or otherwise fail to satisfy applicable requirements. Moreover, the length of the extension could be less than we request. Only one patent per approved product can be extended, the extension cannot extend the total patent term beyond 14 years from approval and only those claims covering the approved drug, a method for using it or a method for manufacturing it may be extended. If we are unable to obtain patent term extension or the term of any such extension is less than we request, the period during which we can enforce our patent rights for the applicable product candidate will be shortened and our competitors may obtain approval to market competing products sooner. As a result, our revenue from applicable products could be reduced. Further, if this occurs, our competitors may take advantage of our investment in development and trials by referencing our clinical and preclinical data and launch their product earlier than might otherwise be the case, and our competitive position, business, financial condition, results of operations, and prospects could be materially harmed.
73
Intellectual property rights do not necessarily address all potential threats to our competitive advantage.
The degree of future protection afforded by our intellectual property rights is uncertain because intellectual property rights have limitations and may not adequately protect our business or permit us to maintain our competitive advantage. The following examples are illustrative:
| ● | others may be able to make products that are similar to our product candidates but that are not covered by the claims of the patents that we own; |
| ● | we might not have been the first to invent the inventions covered by our patents or the first to file patent applications covering our inventions; |
| ● | others may independently develop similar or alternative technologies or duplicate any of our technologies without infringing our intellectual property rights; |
| ● | it is possible that our pending patent applications will not lead to issued patents; |
| ● | issued patents that we own may be held invalid or unenforceable as a result of legal challenges by our competitors; |
| ● | issued patents that we own may not provide coverage for all aspects of our product candidates in all countries; |
| ● | our competitors might conduct research and development activities in countries where we do not have patent rights and then use the information learned from such activities to develop competitive products for sale in our major commercial markets; |
| ● | we may not develop additional proprietary technologies that are patentable; and |
| ● | the patents of others may have an adverse effect on our business. |
Should any of these events occur, they could significantly harm our business, results of operations and prospects.
Risks Related to Our Business Operations
Our future success depends in part on our ability to attract, retain and motivate qualified personnel.
We are highly dependent on our employees, consultants and advisors. The loss of their services without a proper replacement may adversely impact the achievement of our objectives. Our employees, consultants and advisors may leave our employment at any time. Recruiting and retaining qualified employees, consultants and advisors for our business, including scientific and technical personnel, is critical to our success. There is currently a shortage of skilled personnel in our industry, which is likely to continue for the foreseeable future. This is particularly the case in Israel and Boston, Massachusetts, where our operations are focused and where there is a “war for talent” among members of our industry. As a result, competition for skilled personnel is intense, and the turnover rate is high. We may not be able to attract and retain personnel on acceptable terms or at all, given the competition among numerous pharmaceutical companies for individuals with similar skill sets. In addition, failure to succeed in preclinical or clinical studies or a failure or delay in obtaining regulatory approval of our product candidates may make it more challenging to recruit and retain qualified personnel. The inability to recruit and retain qualified personnel, or the loss of the services of any members of our senior management team without proper replacement, may impede the progress of our research, development and commercialization objectives.
74
Our workforce reduction announced on March 27, 2023 may not result in anticipated savings, could result in total costs and expenses that are greater than expected and could disrupt our business.
On March 27, 2023, we announced as part of our strategic restructuring that we had authorized a headcount reduction of 17%, with the majority of impacted employees tied to the discontinuation of the pre-clinical NK cell therapy candidates. We expect to substantially complete the terminations during the second quarter of 2023 and estimate that we will reduce our operating expenses going forward. However, these estimates are subject to several assumptions, and actual results may differ. We may not realize, in full or in part, the anticipated benefits and savings from this plan due to unforeseen difficulties, delays or unexpected costs. If we are unable to realize the expected cost savings from the announced plan, our operating results and financial condition could be adversely affected. The workforce reduction may be disruptive to our operations and could yield unanticipated consequences, such as attrition beyond planned staff reductions, increased difficulties in our day-to-day operations and reduced employee morale. Our workforce reductions could also harm our ability to attract and retain qualified management, scientific, clinical, and/or manufacturing personnel. Any failure to attract or retain qualified personnel could prevent us from successfully developing our primary product candidate or potential product candidates.
We will need to expand our organization, and we may experience difficulties in managing this growth, which could disrupt our operations.
Our future financial performance and our ability to commercialize product candidates and compete effectively will depend, in part, on our ability to effectively manage any future growth. As our development and commercialization plans and strategies develop, we expect to need additional managerial, operational, sales, marketing, financial and legal personnel. Our management may need to divert a disproportionate amount of its attention away from our day-to-day activities and devote a substantial amount of time to managing these growth activities. We may not be able to effectively manage the expansion of our operations, which may result in weaknesses in our infrastructure, operational mistakes, loss of business opportunities, loss of employees and reduced productivity among remaining employees. Our expected growth could require significant capital expenditures and may divert financial resources from other projects, such as the development of additional product candidates. If our management is unable to effectively manage our growth, our expenses may increase more than expected, our ability to generate and/or grow revenue could be reduced, and we may not be able to implement our business strategy.
Due to our limited resources and access to capital, we must, and have in the past decided to, prioritize development of certain product candidates over other potential candidates. These decisions may prove to have been wrong and may adversely affect our revenue.
Because we have limited resources and access to capital to fund our operations, we must decide which product candidates to pursue and the amount of resources to allocate to each. Our decisions concerning the allocation of research, collaboration, management and financial resources toward particular product candidates may not lead to the development of viable commercial products and may divert resources away from better opportunities. Similarly, our decisions to delay, terminate or collaborate with third parties in respect of certain product development programs may also prove not to be optimal and could cause us to miss valuable opportunities. For instance, we made the decision to prioritize the development of omidubicel for the treatment of hematologic malignancies over sickle cell disease because our hematologic malignancy program is at a more advanced stage of development, while our sickle cell program remains exploratory. If we make incorrect determinations regarding the market potential of our product candidates or misread trends in the pharmaceutical industry, in particular for our primary product candidate, our business, financial condition and results of operations could be materially adversely affected.
Business disruptions could seriously harm our future revenue and financial condition and increase costs and expenses.
Our operations and those of our third-party suppliers and collaborators could be subject to earthquakes, power shortages, telecommunications failures, water shortages, floods, hurricanes or other extreme weather conditions, public health crises, labor disputes, war or other business interruptions. Although we have limited business interruption insurance policies in place, any interruption could come with high costs for us, as salaries and loan payments would usually continue. Moreover, any interruption could seriously harm one or more of our research, development or manufacturing programs, the commercialization of any approved product or our clinical trial operations.
75
The war in Ukraine continues to cause geopolitical and macroeconomic uncertainty, and an escalation of the conflict could disrupt our supply chain, adversely affect our ability to conduct ongoing and future clinical trials of our product candidates or commercialize our products. Furthermore, both the ongoing COVID-19 pandemic and the war in Ukraine have resulted in significant disruptions to global financial markets and contributed to a general global economic slowdown. The resulting high inflation rates may materially affect our business and corresponding financial position and cash flows. Inflationary factors, such as increases in the cost of our clinical trial materials and supplies, interest rates and overhead costs may adversely affect our operating results. Rising interest rates also present a recent challenge impacting the U.S. economy and could make it more difficult for us to obtain traditional financing on acceptable terms, if at all, in the future. Additionally, the general consensus among economists suggests that we should expect a higher recession risk to continue over the next year, which, together with the foregoing, could result in further economic uncertainty and volatility in the capital markets in the near term, and could negatively affect our operations. Furthermore, such economic conditions have produced downward pressure on share prices.
In addition, the war in Ukraine has had significant ramifications on global financial markets and contributed to a slowdown in the global economy, and which may adversely impact our ability to raise capital on favorable terms or at all.
We may not be successful in our efforts to identify, discover or license additional product candidates.
Although a substantial amount of our effort will focus on the continued clinical testing, potential approval and commercialization of omidubicel and our other product candidates, the success of our business also depends upon our ability to identify, discover or license additional product candidates, including within our NK-cell pipeline. Our research programs or licensing efforts may fail to yield additional product candidates for clinical development for a number of reasons, including but not limited to the following:
| ● | our research or business development methodology or search criteria and process may be unsuccessful in identifying potential product candidates; |
| ● | we may not be able or willing to assemble sufficient resources to acquire or discover additional product candidates; |
| ● | our product candidates may not succeed in preclinical or clinical testing; |
| ● | our product candidates may be shown to have harmful side effects or may have other characteristics that may make the products unmarketable or unlikely to receive marketing approval; |
| ● | competitors may develop alternatives that render our product candidates obsolete or less attractive; |
| ● | product candidates we develop may be covered by third parties’ patents or other exclusive rights; |
| ● | the market for a product candidate may change during our development program so that such product may become unprofitable to continue to develop; |
| ● | a product candidate may not be capable of being produced in commercial quantities at an acceptable cost, or at all; and |
| ● | a product candidate may not be accepted as safe and effective by patients, the medical community, or third-party payers. |
If any of these events occur, we may be forced to abandon our development efforts for a program or programs, or we may not be able to identify, license, or discover additional product candidates, which would have a material adverse effect on our business and could potentially cause us to cease operations. Research programs to identify new product candidates require substantial technical, financial and human resources. We may focus our efforts and resources on potential programs or product candidates that ultimately prove to be unsuccessful.
76
Our business and operations would suffer in the event of computer system failures, cyber-attacks or a deficiency in our cybersecurity.
Despite the implementation of security measures, our internal computer systems, and those of third parties on which we rely, are vulnerable to damage from a variety of causes, including computer viruses, malware, intentional or accidental mistakes or errors by users with authorized access to our computer systems, malicious internet-based activity, online and offline fraud, natural disasters, terrorism, war, telecommunication and electrical failures, cyber-attacks or cyber-intrusions over the Internet, attachments to emails, and other similar threats. The risk of a security breach or disruption, particularly through cyber-attacks or cyber intrusions, including by computer hackers, non-U.S. governments, extra-state actors and cyber terrorists, has generally increased as the number, intensity and sophistication of attempted attacks and intrusions from around the world have increased. If such an event were to occur and cause interruptions in our operations, it could result in a material disruption of our drug development programs, loss of sensitive data and income, reputational harm, and diversion of funds. For example, the loss or compromise of clinical trial data from completed or ongoing or planned clinical trials could result in delays in our regulatory approval efforts and significantly increase our costs to recover or reproduce the data. To the extent that any disruption or security breach was to result in a loss of or damage to our data or applications, or inappropriate disclosure of confidential or proprietary information, we could incur material legal claims and liability, damage to our reputation, and the further development of our drug candidates could be delayed. Further, any breach, loss or compromise of clinical study participant personal data may also subject us to civil fines and penalties, including under GDPR and relevant member state law in the European Union, or, potentially, other relevant state and federal privacy laws in the United States.
In the current environment, there are numerous and evolving risks to cybersecurity and privacy, including criminal hackers, hacktivists, state-sponsored intrusions, industrial espionage, employee malfeasance and human or technological error. High-profile security breaches at other companies and in government agencies have increased in recent years, and security industry experts and government officials have warned about the risks of hackers and cyber-attacks targeting businesses such as ours. Computer hackers and others routinely attempt to breach the security of technology products, services and systems, and to fraudulently induce employees, customers, or others to disclose information or unwittingly provide access to systems or data.
While we have implemented security measures designed to protect against security incidents, there can be no assurance that these measures will be effective. We take steps to detect and remediate vulnerabilities, but we may not be able to detect and remediate all vulnerabilities because the threats and techniques used to exploit the vulnerability change frequently and are often sophisticated in nature. Therefore, such vulnerabilities could be exploited but may not be detected until after a security incident has occurred. These vulnerabilities pose material risks to our business. Further, we may experience delays in developing and deploying remedial measures designed to address any such identified vulnerabilities. We can provide no assurance that our current IT systems, software, or third-party services, or any updates or upgrades thereto will be fully protected against third-party intrusions, viruses, hacker attacks, information or data theft or other similar threats.
Legislative or regulatory action in these areas is also evolving, and we may be unable to adapt our IT systems to accommodate these changes. We have experienced and expect to continue to experience sophisticated attempted cyber-attacks of our IT networks. Although none of these attempted cyber-attacks has had a material adverse impact on our operations or financial condition, we cannot guarantee that any such incidents will not have such an impact in the future.
77
International expansion of our business exposes us to business, regulatory, political, operational, financial and economic risks associated with doing business outside of the United States or Israel.
Other than substantial operations in Israel (as further described below), we currently have limited international operations, but our business strategy incorporates potentially significant international expansion, particularly in anticipation of approval of our product candidates. We plan to retain sales representatives and third-party distributors and conduct physician, infectious disease specialist, hospital pharmacist and patient association outreach activities, as well as clinical trials, outside of the United States, EU and Israel. Doing business internationally involves a number of risks, including but not limited to:
| ● | multiple, conflicting and changing laws and regulations such as privacy regulations, tax laws, export and import restrictions, employment laws, regulatory requirements and other governmental approvals, permits, and licenses; |
| ● | failure by us to obtain regulatory approvals for the use of our product candidates in various countries; |
| ● | additional potentially relevant third-party patent or other intellectual property rights; |
| ● | complexities and difficulties in obtaining protection and enforcing our intellectual property; |
| ● | difficulties in staffing and managing international operations; |
| ● | complexities associated with managing multiple payer reimbursement regimes, government payers, price controls or patient self-pay systems; |
| ● | limits in our ability to penetrate international markets; |
| ● | financial risks, such as longer payment cycles, difficulty collecting accounts receivable, the impact of local and regional financial crises on demand and payment for our products and exposure to foreign currency exchange rate fluctuations; |
| ● | natural disasters, political and economic instability, including wars, terrorism, and political unrest, outbreak of disease, boycotts, curtailment of trade, and other business restrictions; |
| ● | certain expenses including, among others, expenses for travel, translation and insurance; and |
| ● | regulatory and compliance risks that relate to maintaining accurate information and control over sales and activities that may fall within the purview of the U.S. Foreign Corrupt Practices Act its books and records provisions, or its anti-bribery provisions. |
Any of these factors could significantly harm our future international expansion and operations and, consequently, our results of operations.
We may be subject to extensive environmental, health and safety, and other laws and regulations in multiple jurisdictions.
Our business involves the controlled use, directly or indirectly through our service providers, of hazardous materials, various biological compounds and chemicals; therefore, we, our agents and our service providers may be subject to various environmental, health and safety laws and regulations, including those governing air emissions, water and wastewater discharges, noise emissions, the use, management and disposal of hazardous, radioactive and biological materials and wastes and the cleanup of contaminated sites. The risk of accidental contamination or injury from these materials cannot be eliminated. If an accident, spill or release of any regulated chemicals or substances occurs, we could be held liable for resulting damages, including for investigation, remediation and monitoring of the contamination, including natural resource damages, the costs of which could be substantial. We are also subject to numerous environmental, health and workplace safety laws and regulations, including those governing laboratory procedures, exposure to blood-borne pathogens and the handling of biohazardous materials and chemicals. Although we maintain workers’ compensation insurance to cover the costs and expenses that may be incurred because of injuries to our employees resulting from the use of these materials, this insurance may not provide adequate coverage against potential liabilities. Additional or more stringent federal, state, local or non-U.S. laws and regulations affecting our operations may be adopted in the future. We may incur substantial capital costs and operating expenses and may be required to obtain consents to comply with any of these or certain other laws or regulations and the terms and conditions of any permits or licenses required pursuant to such laws and regulations. For instance, we have undergone inspections and obtained approvals from various governmental agencies. We hold a general business license from the City of Jerusalem that is valid until December 31, 2027.
78
We also hold a toxic substances permit from the Ministry of Environmental Protection (the Hazardous Material Division) and a Certificate of GMP Compliance of a Manufacturer from the Israeli Ministry of Health - Pharmaceutical Administration. Failure to renew any of the foregoing licenses and permits may harm our on-going and future operations. In addition, fines and penalties may be imposed for noncompliance with environmental, health and safety and other laws and regulations or for the failure to have, or comply with the terms and conditions of our business license, or required environmental or other permits or consents.
Our employees and independent contractors may engage in misconduct or other improper activities, including noncompliance with regulatory standards and requirements.
We are exposed to the risk of fraud or other misconduct by our employees and independent contractors. Misconduct by these parties could include intentional failures to comply with FDA and other equivalent foreign regulations, provide accurate information to the FDA or equivalent foreign regulatory authorities, comply with manufacturing standards we may establish, comply with federal and state healthcare fraud and abuse laws and regulations, report financial information or data accurately or disclose unauthorized activities to us. In particular, sales, marketing and business arrangements in the healthcare industry are subject to extensive laws and regulations intended to prevent fraud, misconduct, kickbacks, self-dealing and other abusive practices. These laws and regulations may restrict or prohibit a wide range of pricing, discounting, marketing and promotion, sales commission, customer incentive programs and other business arrangements. Employee and independent contractor misconduct could also involve the improper use of information obtained in the course of clinical trials, including individually identifiable information, creating fraudulent data in our preclinical studies or clinical trials or illegal misappropriation of product candidates. If our operations are found to be in violation of any of these laws, we may be subject to significant penalties, including civil, criminal and administrative penalties, damages, fines, exclusion from government-funded healthcare programs, such as Medicare and Medicaid or similar programs in other countries or jurisdictions, integrity oversight and reporting obligations to resolve allegations of non-compliance, disgorgement, imprisonment, contractual damages, reputational harm, diminished profits and the curtailment or restructuring of our operations. It is not always possible to identify and deter misconduct by employees and other third parties, and the precautions we take to detect and prevent this activity may not be effective in controlling unknown or unmanaged risks or losses or in protecting us from governmental investigations or other actions or lawsuits stemming from a failure to be in compliance with such laws or regulations. Additionally, we are subject to the risk that a person or government could allege such fraud or other misconduct, even if none occurred. If any such actions are instituted against us, and we are not successful in defending ourselves or asserting our rights, those actions could have a significant impact on our business, including the imposition of significant fines or other sanctions.
Under current Israeli law, we may not be able to enforce employees’ covenants not to compete and therefore may be unable to prevent our competitors from benefiting from the expertise of some of our former employees.
We generally enter into non-competition agreements with our key employees, in most cases within the framework of their employment agreements.
These agreements prohibit our key employees, if they cease working for us, from competing directly with us or working for our competitors for a limited period. Under applicable Israeli law, we may be unable to enforce these agreements or any part thereof. If we cannot enforce our noncompetition agreements with our employees, then we may be unable to prevent our competitors from benefiting from the expertise of our former employees, which could materially adversely affect our business, results of operations and ability to capitalize on our proprietary information.
Risks Related to Commercialization of Our Product Candidates
We do not have experience producing our product candidates at commercial levels or operating a cGMP manufacturing facility.
The Israeli Ministry of Health issued a certification of GMP compliance for our manufacturing facility at Kiryat Gat, Israel in July 2021 and we are working to establish cGMP compliance under the FDA’s regulations. The FDA has completed its pre-licensing inspection of the Kiryat Gat, Israel facility, and there are no 483 observations to date.
79
We do not have an extensive number of employees with the experience or ability to manufacture our product candidates at commercial levels. Although we completed the required studies and validation activities for the omidubicel BLA submission, unless and until FDA determines that our manufacturing facility at Kiryat Gat is cGMP compliant, we will not be authorized to manufacture commercial supplies of omidubicel at our Kiryat Gat facility and, even if we receive this authorization, FDA and equivalent foreign regulatory authority may request additional studies or validation activities. If we do not conduct all such necessary activities as requested by FDA or equivalent foreign regulatory authorities, our commercialization efforts will be delayed. We may encounter technical or scientific issues related to manufacturing or development that we may be unable to resolve in a timely manner or with available funds. We also may encounter problems hiring and retaining the experienced specialist scientific, quality control and manufacturing personnel needed to operate our manufacturing process, which could result in delays in our production or difficulties in maintaining compliance with applicable regulatory requirements. Any problems in our manufacturing process or facilities could make us a less attractive collaborator for potential partners, including larger pharmaceutical companies, which could limit our access to additional attractive development programs. Problems in our manufacturing process or facilities also could restrict our ability to meet market demand for our product candidates.
We currently have a limited marketing and sales organization. If we are unable to establish adequate sales and marketing capabilities to support the potential commercial launch of omidubicel or enter into agreements with third parties to market and sell omidubicel, if approved, we may be unable to generate any product revenue.
Although we have a chief executive officer with commercial experience to lead our efforts to commercialize omidubicel should it receive regulatory approval, we currently have a limited sales and marketing organization, and we have limited experience selling and marketing our product candidates. To successfully commercialize any product candidates that may result from our development programs, we will need to develop these capabilities, either on our own or with others. If omidubicel or any other product candidate receives regulatory approval, we may establish a sales and marketing organization independently or by utilizing experienced third parties with technical expertise and supporting distribution capabilities to commercialize our product candidates in major markets, all of which will be expensive, difficult and time consuming. Any failure or delay in the development of our internal sales, marketing and distribution capabilities or identification of appropriate strategic partnering would adversely impact our ability to commercialize our product candidates.
Further, our initial estimate of the size of the required sales force may be materially more or less than the size of the sales force actually required to effectively commercialize our product candidates. As such, we may be required to hire sales representatives and third-party partners to adequately support the commercialization of our product candidates, or we may incur excess costs if we hire more sales representatives than necessary. With respect to certain geographical markets, we may enter into collaborations with other entities to utilize their local marketing and distribution capabilities, but we may be unable to enter into such agreements on favorable terms, if at all. We also may enter into collaborations with large pharmaceutical companies to develop and commercialize product candidates. If our future collaborators do not commit sufficient resources to develop and commercialize our future products, if any, and we are unable to develop the necessary marketing capabilities on our own, we will be unable to generate sufficient product revenue to sustain our business. We may compete with companies that currently have extensive and well-funded marketing and sales operations. Without an internal team or the support of a third party to perform marketing and sales functions, we may be unable to compete successfully against these more established companies.
Our efforts to educate the medical community, including physicians, hospital pharmacists and infectious disease specialists, and third-party payers on the benefits of our product candidates may require significant resources and may never be successful. If any of our product candidates are approved, but fail to achieve market acceptance among physicians, patients or third-party payers, we will not be able to generate significant revenue from such product, which could have a material adverse effect on our business, financial condition, results of operations and prospects.
80
If we receive marketing approval for our product candidates, sales will be limited unless the applicable products achieve broad market acceptance by physicians, patients, third-party payers, hospital pharmacists and others in the medical community.
The commercial success of our product candidates will depend upon the acceptance of the product by the medical community, including physicians, patients, healthcare payers and hospital personnel, including transplant teams and pharmacists. The degree of market acceptance of any approved product will depend on a number of factors, including:
| ● | the demonstration of clinical safety and efficacy of our product candidates in clinical trials; |
| ● | the efficacy, potential and perceived advantages of our product candidates over alternative treatments; |
| ● | the prevalence and severity of any adverse side effects; |
| ● | product labeling or product insert requirements of the FDA or other equivalent foreign regulatory authorities, including any limitations or warnings contained in a product’s approved labeling; |
| ● | distribution and use restrictions imposed by the FDA or other equivalent foreign regulatory authorities agreed to by us as part of a mandatory or voluntary risk management plan; |
| ● | our ability to obtain third-party payer coverage and adequate reimbursement for our products; |
| ● | the willingness of patients to pay for drugs out of pocket in the absence of third-party coverage; |
| ● | the demonstration of the effectiveness of our product candidates in reducing the cost of treatment; |
| ● | the strength of marketing and distribution support; |
| ● | the timing of market introduction of competitive products; |
| ● | the availability of products and their ability to meet market demand; and |
| ● | publicity concerning our product candidates or competing products and treatments. |
There are a number of alternatives to our product candidates, including stem cell transplantation using cells from matched related donors, matched unrelated donors, haploidentical donors or unmodified umbilical cord blood. If our product candidates are approved but do not achieve an adequate level of acceptance by physicians, patients, healthcare payers and hospital personnel, including transplant teams and pharmacists, we may not generate sufficient revenue from the product, and we may not become or remain profitable. In addition, our efforts to educate the medical community and third-party payers on the benefits of our product candidates may require significant resources and may never be successful.
It may be difficult for us to profitably sell our product candidates if coverage and reimbursement for these products is limited by government authorities and/or third-party payer policies.
Significant uncertainty exists as to the coverage and reimbursement status of any product candidates for which we may obtain regulatory approval. In the United States and markets in other countries, sales of any products for which we receive regulatory approval for commercial sale will depend, in part, on the extent to which third-party payers provide coverage, and establish adequate reimbursement levels, for such products. In the United States, third-party payers include federal and state healthcare programs, private managed care providers, health insurers and other organizations.
The process for determining whether a third-party payer will provide coverage for a product may be separate from the process for setting the price of a product or for establishing the reimbursement rate that such a payer will pay for the product. Third-party payers may limit coverage to specific products on an approved list, or also known as a formulary, which might not include all of the FDA-approved products for a particular indication.
Third-party payers are increasingly challenging the price, examining the medical necessity and reviewing the cost-effectiveness of medical products, therapies and services, in addition to questioning their safety and efficacy.
81
We may need to conduct expensive pharmaco-economic studies in order to demonstrate the medical necessity and cost-effectiveness of our products, in addition to the costs required to obtain the FDA approvals. Our product candidates may not be considered medically necessary or cost-effective. Payer’s decision to provide coverage for a product does not imply that an adequate reimbursement rate will be approved. Further, the determination of one payer to provide coverage for a product does not assure that other payers will also provide such coverage for the product. Adequate third-party reimbursement may not be available to enable us to maintain price levels sufficient to realize an appropriate return on our investment in product development.
Different pricing and reimbursement schemes exist in other countries. In the European Union, pricing and reimbursement schemes vary widely from country to country. Some countries provide that products may be marketed only after a reimbursement price has been agreed. Some countries may require the completion of additional studies that compare the cost-effectiveness of a particular product candidate to currently available therapies (so called health technology assessments) in order to obtain reimbursement or pricing approval. For example, the European Union provides options for its member states to restrict the range of products for which their national health insurance systems provide reimbursement and to control the prices of medicinal products for human use. EU Member States may approve a specific price for a product, or they may instead adopt a system of direct or indirect controls on the profitability of the company placing the product on the market. Other EU Member States allow companies to fix their own prices for products but monitor and control prescription volumes and issue guidance to physicians to limit prescriptions. Recently, many countries in the EU have increased the amount of discounts required on pharmaceuticals and these efforts could continue as countries attempt to manage healthcare expenditures, especially in light of the severe fiscal and debt crises experienced by many countries in the EU. The downward pressure on healthcare costs in general, particularly prescription products, has become intense. As a result, increasingly high barriers are being erected to the entry of new products. Political, economic, and regulatory developments may further complicate pricing negotiations, and pricing negotiations may continue after reimbursement has been obtained. Reference pricing used by various EU Member States, and parallel trade (arbitrage between low-priced and high-priced EU Member States), can further reduce prices.
The Health Technology Assessment, or HTA process, which is currently governed by the national laws of the individual EU Member States, is the procedure according to which the assessment of the public health impact, therapeutic impact and the economic and societal impact of use of a given medicinal product in the national healthcare systems of the individual country is conducted. The outcome of HTA regarding specific medicinal products will often influence the pricing and reimbursement status granted to these medicinal products by the competent authorities of individual EU Member States. On January 31, 2018, the European Commission adopted a proposal for a regulation on health technologies assessment. The proposed regulation is intended to boost cooperation among EU Member States in assessing health technologies, including new medicinal products, and providing the basis for cooperation at EU level for joint clinical assessments in these areas. In December 2021 the HTA Regulation was adopted and entered into force on January 11, 2022. It will apply from 2025.
The marketability of any of our product candidates for which we receive regulatory approval for commercial sale may suffer if the government and third-party payers fail to provide adequate coverage and reimbursement. In addition, emphasis on managed care in the United States has increased and we expect will continue to increase the pressure on healthcare pricing. Coverage policies and third-party reimbursement rates may change at any time. Even if favorable coverage and reimbursement status is attained for one or more products for which we receive regulatory approval, less favorable coverage policies and reimbursement rates may be implemented in the future.
In addition to any healthcare reform measures that may affect reimbursement, market acceptance and sales of our product candidates, if approved, will depend on, in part, the extent to which the procedures utilizing our product candidates, performed by health care providers, will be covered by third-party payers, such as government health care programs, commercial insurance and managed care organizations. In the event health care providers and patients accept our product candidates as medically useful, cost effective and safe, there is uncertainty on how exactly our products will be reimbursed. Third-party payers determine the extent to which new products will be covered as a benefit under their plans and the level of reimbursement for any covered product or procedure that may utilize a covered product. Coverage will be dependent on FDA-approval and other factors; reimbursement may vary across payers which is a risk for our product candidates. Establishment of reimbursement guidelines for products is difficult to predict at this time what third-party payers will decide with respect to the coverage and reimbursement for our product candidates.
82
A primary trend in the U.S. healthcare industry and elsewhere has been cost containment, including price controls, restrictions on coverage and reimbursement and requirements for substitution of less expensive products. Third-party payers decide which products and procedures they will pay for and establish reimbursement and co-payment levels. Government and other third-party payers are increasingly challenging the prices charged for health care products and procedures, examining the cost effectiveness of procedures, and the products used in such procedures, in addition to their safety and efficacy, and payers limit coverage and reimbursement to the appropriate patient per a products label. We cannot be sure that coverage will be available for our product candidates, if approved, or, if coverage is available, the level of direct or indirect reimbursement.
We expect to experience pricing pressures in connection with the sale of any of our product candidates due to the trend toward managed healthcare, the increasing influence of health maintenance organizations, and additional legislative changes. The downward pressure on healthcare costs in general, particularly prescription drugs and other treatments, has become increasingly intense. As a result, high barriers exist to the successful commercialization of new products. Further, the adoption and implementation of any future governmental cost containment or other health reform initiative may result in additional downward pressure on the price that we may receive for any approved product.
Reimbursement by a third-party payer may depend upon a number of factors including the third-party payer’s determination that use of a product is:
| ● | a covered benefit or part of a covered benefit under its health plan; |
| ● | safe, effective and medically necessary; |
| ● | appropriate for the specific patient; |
| ● | cost-effective; and |
| ● | neither experimental nor investigational. |
There is significant uncertainty related to the insurance coverage and reimbursement of newly approved products. In the United States, the principal decisions about reimbursement are typically made by The Centers for Medicare & Medicaid Services, or CMS, an agency within the U.S. Department of Health and Human Services, as CMS decides whether and to what extent products, and the procedures that utilize such products, will be covered and reimbursed under Medicare. Private payers may follow CMS, but have their own methods and approval processes for determining reimbursement for new products and the procedures that utilize such products. It is difficult to predict what CMS as well as other payers will decide with respect to reimbursement for fundamentally novel products such as ours, as there is no body of established practices and precedents for these new products.
In addition, under current Medicare hospital inpatient reimbursement policies CMS offers a process whereby manufacturers may apply for the temporary New Technology Add-on Payment or NTAP program for a new medical technology when the applicable Diagnosis-Related Group, or DRG, based inpatient prospective payment rate is inadequate to cover the cost of a new product. As part of our commercialization efforts, we have submitted an application for omidubicel to be eligible under the NTAP program, but may withdraw the application if we determine that participation in the NTAP program would not be consistent with our reimbursement strategy. To obtain add-on payment, a technology must be considered “new,” represent an advance in medical technology that substantially improves, relative to technologies previously available, the diagnosis or treatment of Medicare beneficiaries, and data reflecting the cost of the new technology must not yet be available in the data used to recalibrate the DRGs and the sponsor much show that admissions involving the furnishing of the technology exceed cost thresholds established by CMS for each applicable DRG. If an application is approved, new technology add-on payments are made to hospitals for no less than two years and no more than three years. We must demonstrate the safety and effectiveness of our technology to the FDA in addition to meeting CMS’s requirements for the NTAP program before add-on payments can be made, and we cannot assure that CMS will agree to provide such incremental payments for omidubicel or any of our other product candidates.
83
Obtaining coverage and reimbursement approval for a product from a government or other third-party payer is a time-consuming and costly process that could require us to provide supporting scientific, clinical and cost effectiveness data for the use of our products to the payer. We may not be able to provide data sufficient to gain acceptance with respect to coverage and reimbursement. Further, no uniform policy requirement for coverage and reimbursement exists among third-party payers in the United States. Similarly, health care providers enter into participation agreements with third-party payers wherein reimbursement rates are negotiated. Therefore, coverage and reimbursement can differ significantly from payer to payer and health care provider to health care provider. As a result, we cannot be sure that coverage or adequate reimbursement will be available for our product candidates, if approved or procedures utilizing such products. Also, we cannot be sure that reimbursement amounts will not reduce the demand for, or the price of, our future products. If reimbursement is not available, or is available only to limited levels, we may not be able to commercialize our product candidates, or achieve profitably at all, even if approved.
We are subject to the risk of various legal and regulatory proceedings, including litigation in the ordinary course of business. Our business further entails a significant risk of product liability and our ability to obtain sufficient insurance coverage could have a material effect on our business, financial condition, results of operations or prospects.
In the ordinary course of business, we may become subject to various legal and regulatory proceedings, which may include but are not limited to those involving antitrust, tax, environmental, intellectual property, data privacy and other matters, including general commercial litigation. Any claims raised in legal and regulatory proceedings, whether with or without merit, could be time consuming and expensive to defend and could divert management’s attention and resources. Additionally, the outcome of legal and regulatory proceedings may differ from our expectations because the outcomes of these proceedings are often difficult to predict reliably. Various factors and developments can lead to changes in our estimates of liabilities and related insurance receivables, where applicable, or may require us to make additional estimates, including new or modified estimates that may be appropriate due to a judicial ruling or judgment, a settlement, regulatory developments or changes in applicable law. A future adverse ruling, settlement or unfavorable development could result in charges that could have a material adverse effect on our results of operations in any particular period. In accordance with customary practice, we maintain insurance against some, but not all, of these potential claims. In the future, we may not be able to maintain insurance at commercially acceptable premium levels.
Furthermore, our business exposes us to significant product liability risks inherent in the development, testing, manufacturing and marketing of therapeutic treatments. Product liability claims could delay or prevent completion of our development programs. If we succeed in marketing products, such claims could result in an FDA investigation of the safety and effectiveness of our products, our manufacturing processes and facilities or our marketing programs and potentially a recall of our products or more serious enforcement action, limitations on the approved indications for which they may be used or suspension or withdrawal of approvals. Regardless of the merits or eventual outcome, liability claims may also result in decreased demand for our products, injury to our reputation, costs to defend the related litigation, a diversion of management’s time and our resources, substantial monetary awards to trial participants or patients and a decline in our share price. We do not currently have product liability insurance and do not anticipate obtaining product liability insurance until such time as we have received FDA or other comparable authority approval for a product and there is a product that is being provided to patients outside of clinical trials. Any insurance we have or may obtain may not provide sufficient coverage against potential liabilities. Furthermore, product liability insurance is becoming increasingly expensive. As a result, we may be unable to obtain sufficient insurance at a reasonable cost to protect us against losses caused by product liability claims that could have a material adverse effect on our business.
Risks Related to Ownership of our Ordinary Shares
Our executive officers, directors and principal shareholders maintain the ability to exert significant control over matters submitted to our shareholders for approval.
Certain of our executive officers, directors and holders of more than 5% of our voting securities beneficially owned as of December 31, 2022 hold shares that represent approximately 38.6% of our share capital. As a result, if these shareholders were to act together, they would be able to control all matters submitted to our shareholders for approval, as well as our management and affairs. For example, these persons, if they act together, would control the election of directors and approval of any merger, consolidation or sale of all or substantially all our assets. This concentration of voting power could delay or prevent an acquisition of our company on terms that other shareholders may desire or result in management of our company that our public shareholders disagree with.
84
The market price of our ordinary shares may fluctuate significantly, which could result in substantial losses by our investors.
The stock market in general, and the market for pharmaceutical companies in particular, has experienced extreme volatility that has often been unrelated to the operating performance of particular companies. As a result of this volatility, you may not be able to sell your ordinary shares at or above the initial public offering price. The following factors, in addition to other risk factors described in this section, may have a significant impact on the market price of our ordinary shares:
| ● | inability to obtain the approvals necessary to commence marketing of omidubicel ; |
| ● | investor reaction to the news of our strategic restructuring; |
| ● | unsatisfactory results of clinical trials; |
| ● | announcements of regulatory approvals or the failure to obtain them, or specific label indications or patient populations for their use, or changes or delays in the regulatory review process; |
| ● | announcements of therapeutic innovations or new products by us or our competitors; |
| ● | adverse actions taken by regulatory agencies with respect to our clinical trials, manufacturing supply chain or sales and marketing activities; |
| ● | changes or developments in laws or regulations, and payer reimbursement requirements applicable to any candidate product in any of our platforms; |
| ● | any adverse changes to our relationship with manufacturers or suppliers, especially manufacturers of candidate products; |
| ● | any intellectual property infringement, misappropriation or other actions in which we may become involved; |
| ● | announcements concerning our competitors or the pharmaceutical industry in general; |
| ● | achievement of expected product sales and profitability or our failure to meet expectations; |
| ● | our commencement of, or involvement in, litigation; |
| ● | any changes in our board of directors or management; and |
| ● | the other factors described in this “Risk Factors” section. |
If our quarterly operating results fall below the expectations of investors or securities analysts, the price of our ordinary shares could decline substantially. Furthermore, any quarterly fluctuations in our operating results may, in turn, cause the price of our shares to fluctuate substantially. We believe that quarterly comparisons of our financial results are not necessarily meaningful and should not be relied upon as an indication of our future performance.
Further, the stock market in general, the Nasdaq Global Market and the market for biotechnology companies in particular, have experienced extreme price and volume fluctuations that have often been unrelated or disproportionate to the operating performance of companies like ours, including due to coordinate buying and selling activities and market manipulation. Broad market and industry factors may negatively affect the market price of our ordinary shares regardless of our actual operating performance. In addition, a systemic decline in the financial markets, recent and potential future disruptions in access to bank deposits or lending commitments due to bank failures and related factors beyond our control may cause our share price to decline rapidly and unexpectedly. Price volatility of our ordinary shares might be worse if the trading volume of our ordinary shares is low. In the past, following periods of market volatility, shareholders have often instituted securities class action litigation. If we were involved in securities litigation, it could have a substantial cost and divert resources and attention of management from our business, even if we are successful.
Sales of a substantial number of shares of our ordinary shares in the public market, or the perception that these sales might occur, could depress the market price of our ordinary shares and could impair our ability to raise capital through the sale of additional equity securities. We are unable to predict the effect that sales may have on the prevailing market price of our ordinary shares. In addition, we have registered all ordinary shares that we may issue under our equity compensation plans, and, as such, these shares can be freely sold in the public market upon issuance.
85
Moreover, the liquidity of our ordinary shares may be limited, not only in terms of the number of ordinary shares that can be bought and sold at a given price, but by potential delays in the timing of executing transactions in our ordinary shares and a reduction in security analyst and media’s coverage of our company, if any. These factors may result in lower prices for our ordinary shares than might otherwise be obtained and could also result in a larger spread between the bid and ask prices for our ordinary shares. In addition, without a large float, our ordinary shares will be less liquid than the stock of companies with broader public ownership and, as a result, the trading prices of our ordinary shares may be more volatile. In the absence of an active public trading market, an investor may be unable to liquidate its investment in our ordinary shares. Trading of a relatively small volume of our ordinary shares may have a greater impact on the trading price of our ordinary shares than would be the case if our public float were larger. We cannot predict the prices at which our ordinary shares will trade in the future.
The exchange of some or all of the 2021 Notes or 2022 Note into our ordinary shares could result in significant dilution to existing shareholders, adversely affect the market price of our ordinary shares and impair our ability to raise capital through the sale of additional equity securities.
Our 2021 Notes may be exchanged, at the election of the holder, for our ordinary shares at an initial share price of $17.76. As of December 31, 2022, the 2021 Notes had an aggregate outstanding balance of approximately $72.2 million.
Our 2022 Note is exchangeable into our ordinary shares at an exchange rate of 0.52356 ordinary shares per $1.00 principal amount, together with a make-whole premium equal to all accrued and unpaid and remaining coupons due through December 12, 2024. As of December 31, 2022, the 2022 Note had an aggregate outstanding balance of approximately $24.3 million. On January 31, 2023, we issued 26,178 ordinary shares in exchange for the discharge of $50,000.00 of the aggregate outstanding balance and issued 5,149 ordinary shares in exchange for the discharge of $7,614.58 of interest make-whole payment. On March 6, 2023, we issued 3,115,182 ordinary shares in exchange for the discharge of $5,950,000.00 of the aggregate outstanding balance and issued 628,036 ordinary shares in exchange for the discharge of $892,500.00 of interest make-whole payment. The exchange of some or all of the 2021 Notes or 2022 Note could result in significant dilution to existing shareholders, adversely affect the market price of our ordinary shares and impair our ability to raise capital through the sale of additional equity securities.
If we are or become classified as a “passive foreign investment company,” our U.S. shareholders may suffer adverse tax consequences as a result.
Generally, for any taxable year, if at least 75% of our gross income is passive income, or at least 50% of the value of our assets (generally determined based on a weighted quarterly average) is attributable to assets that produce passive income or are held for the production of passive income, including cash, we would be characterized as a “passive foreign investment company,” or PFIC, for U.S. federal income tax purposes. For purposes of these tests, passive income generally includes dividends, interest, gains from commodities and securities transactions, certain gains from the disposition of investment property and rents and royalties other than rents and royalties which are received from unrelated parties in connection with the active conduct of a trade or business. If we are characterized as a PFIC, our U.S. shareholders may suffer adverse tax consequences, including having gains realized on the sale of our ordinary shares treated as ordinary income, rather than capital gain, the loss of the preferential rate applicable to dividends received on our ordinary shares by individuals who are U.S. holders, having interest charges apply to distributions by us and gains from the sales of our shares, and additional tax reporting requirements.
Our status as a PFIC generally will depend on the nature and composition of our income and the nature, composition and value of our assets (which may be determined based on the fair market value of each asset, with the value of goodwill and going concern value determined in large part by reference to the market value of our ordinary shares, which may be volatile). If our market capitalization declines while we hold a substantial amount of cash for any taxable year, we may be a PFIC for such taxable year. The manner and timeframe in which we spend the cash we raise in any offering, the transactions we enter into, and how our corporate structure may change in the future will affect the nature and composition of our income and assets. Until such time as we start generating revenue from operations, our PFIC status may depend, in part, on the treatment of payments we receive from other sources (including government grants), which is uncertain, and the magnitude of such payments compared to passive income from investments. Based upon the value of our assets, including any goodwill, and the nature and composition of our income and assets, we do not believe that we were classified as a PFIC for the taxable year ended December 31, 2022. Because the determination of whether we are a PFIC for any taxable year is a factual determination made annually after the end of each taxable year by applying principles and methodologies that in some circumstances are unclear and subject to varying interpretation, there can be no assurance that we will not be considered a PFIC in any taxable year. Accordingly, our U.S. counsel expresses no opinion with respect to our PFIC status for our taxable year ended December 31, 2022, and also expresses no opinion with regard to our expectations regarding our PFIC status in the future.
86
The tax consequences that would apply if we are classified as a PFIC would also be different from those described above if a U.S. shareholder were able to make a valid “qualified electing fund,” or QEF, election. At this time, we do not expect to provide U.S. shareholders with the information necessary for a U.S. shareholder to make a QEF election. Prospective investors should assume that a QEF election will not be available.
If a “United States person” is treated as owning at least 10% of our shares, such holder may be subject to adverse U.S. federal income tax consequences.
If a “United States person” is treated as owning (directly, indirectly or constructively through the application of attribution rules) at least 10% of the value or voting power of our shares, such person may be treated as a “United States shareholder” with respect to each “controlled foreign corporation” in our group (if any). Because our group includes one or more U.S. subsidiaries, certain of our current or future non-U.S. subsidiaries could be treated as controlled foreign corporations (regardless of whether we are or are not treated as a controlled foreign corporation). A United States shareholder of a controlled foreign corporation may be required to annually report and include in its U.S. taxable income its pro rata share of the controlled foreign corporation’s “Subpart F income,” “global intangible low-taxed income” and investments in U.S. property, whether or not such controlled foreign corporation makes any distributions. An individual that is a United States shareholder with respect to a controlled foreign corporation generally would not be allowed certain tax deductions or foreign tax credits that would be allowed to a United States shareholder that is a U.S. corporation. A failure to comply with these reporting obligations may subject a Untied States shareholder to significant monetary penalties and may prevent the statute of limitations with respect to the United States shareholder’s U.S. federal income tax return for the year for which reporting was due from starting. We cannot provide any assurances that we will assist investors in determining whether we (or any of our current or future non-U.S. subsidiaries) are treated as a controlled foreign corporation or whether such investor is treated as a United States shareholder with respect to any of such controlled foreign corporations or furnish to any United States shareholders information that may be necessary to comply with the aforementioned reporting and tax paying obligations. United States investors should consult their own advisors regarding the potential application of these rules to their investment in our shares.
The intended tax effects of our corporate structure and intercompany arrangements depend on the application of the tax laws of various jurisdictions and on how we operate our business.
During the ordinary course of business, there are many transactions and calculations for which the ultimate tax determination is uncertain. For example, our effective tax rates could be adversely affected by changes in foreign currency exchange rates or by changes in the relevant tax, accounting and other laws, regulations, principles and interpretations. As we intend to operate in numerous countries and taxing jurisdictions, the application of tax laws can be subject to diverging and sometimes conflicting interpretations by tax authorities of these jurisdictions. It is not uncommon for taxing authorities in different countries to have conflicting views, for instance, with respect to, among other things, the manner in which the arm’s length standard is applied for transfer pricing purposes, or with respect to the valuation of intellectual property.
If tax authorities in any of the countries in which we operate were to successfully challenge our transfer prices as not reflecting arms’ length transactions, they could require us to adjust our transfer prices and thereby reallocate our income to reflect these revised transfer prices, which could result in a higher tax liability to us. In addition, if the country from which the income is reallocated does not agree with the reallocation, both countries could tax the same income, potentially resulting in double taxation. If tax authorities were to allocate income to a higher tax jurisdiction, subject our income to double taxation or assess interest and penalties, it would increase our consolidated tax liability, which could adversely affect our financial condition, results of operations and cash flows. Similarly, a tax authority could assert that we are subject to tax in a jurisdiction where we believe we have not established a taxable connection, often referred to as a “permanent establishment” under international tax treaties, and such an assertion, if successful could increase our expected tax liability in one or more jurisdictions.
For U.S. tax purposes, our ability to use our net operating loss carryforwards to offset future taxable income may be subject to certain limitations.
Under the Tax Act, as modified by the Coronavirus Aid, Relief, and Economic Security Act, U.S. federal net operating losses, or NOLs, generated in taxable years beginning after December 31, 2017, may be carried forward indefinitely, but the deductibility of such NOLs may be limited. In addition, under Section 382 of the U.S. Internal Revenue Code of 1986, as amended, or the Code, a corporation that undergoes an “ownership change” (generally defined as a greater than 50% change (by value) in its stock ownership over a three-year period) is subject to limitations on its ability to utilize its pre-change U.S. federal NOLs to offset future taxable income. If we have undergone an ownership change in the past, or if future changes in our stock ownership, some of which are outside of our control, results in an ownership change, our ability to utilize our U.S. federal NOLs may be limited by Section 382 of the Code. As a result, even if we earn net taxable income, our ability to use our NOLs to offset such income may be limited, which could increase our tax liability and decrease our cash flow. It is uncertain if and to what extent states will conform to U.S. federal income tax law with respect to the treatment of NOLs.
87
The tax benefits that are available to us require us to continue to meet various conditions and may be terminated or reduced in the future, which could increase our costs and taxes.
Some of our operations in Israel may entitle us to certain tax benefits under the Law for the Encouragement of Capital Investments, 5719-1959, or the Investment Law, once we begin to produce revenue. If we do not meet the requirements for maintaining these benefits, they may be reduced or cancelled and the relevant operations would be subject to Israeli corporate tax at the standard rate, which is set at 23% in 2022 and thereafter. In addition to being subject to the standard corporate tax rate, we could be required to refund any tax benefits that we will receive, plus interest and penalties thereon. Even if we continue to meet the relevant requirements, the tax benefits that our current “Preferred Enterprise” is entitled to may not be continued in the future at their current levels or at all. If these tax benefits were reduced or eliminated, the amount of taxes that we will pay would likely increase, as all our operations would consequently be subject to corporate tax at the standard rate, which could adversely affect our results of operations. Additionally, if we increase our activities outside of Israel, for example, by way of acquisitions, our increased activities may not be eligible for inclusion in Israeli tax benefits programs.
We have never paid cash dividends on our share capital, and we do not anticipate paying any cash dividends in the foreseeable future.
We have never declared or paid cash dividends on our ordinary shares. We currently anticipate that we will retain future earnings for the development, operation and expansion of our business and do not anticipate declaring or paying any cash dividends in the foreseeable future. As a result, capital appreciation, if any, of our ordinary shares will be investors’ sole source of gain for the foreseeable future. In addition, Israeli law limits our ability to declare and pay dividends, and may subject our dividends to Israeli withholding taxes.
If securities or industry analysts do not publish or cease publishing research or reports about us, our business or our market, or if they adversely change their recommendations or publish negative reports regarding our business or our ordinary shares, our share price and trading volume could be negatively impacted.
The trading market for our ordinary shares is influenced by the research and reports that industry or securities analysts publish about us, our business, our market or our competitors. We do not have any control over these analysts, and we cannot provide any assurance that analysts will continue to cover us or provide favorable coverage. If any of the analysts who cover us adversely change their recommendation regarding our shares, or provide more favorable relative recommendations about our competitors, our share price would likely decline. If any analyst who cover us were to cease coverage of our company or fail to regularly publish reports on us, we could lose visibility in the financial markets, which in turn could cause our share price or trading volume to decline.
We are an emerging growth company and the reduced disclosure requirements applicable to emerging growth companies may make our ordinary shares less attractive to investors.
We are an emerging growth company, as defined in the JOBS Act, and we may take advantage of certain exemptions from various requirements that are applicable to other public companies that are not emerging growth companies. For as long as we remain an emerging growth company, we are permitted and intend to rely on exemptions from certain disclosure requirements that are applicable to other public companies that are not “emerging growth companies.” These exemptions include:
| ● | not being required to comply with the auditor attestation requirements in the assessment of our internal control over financial reporting; |
| ● | not being required to comply with any requirement that may be adopted by the Public Company Accounting Oversight Board regarding mandatory audit firm rotation or a supplement to the auditor’s report providing additional information about the audit and the financial statements; |
| ● | reduced disclosure obligations regarding executive compensation; and |
| ● | exemptions from the requirements of holding a nonbinding advisory vote on executive compensation and shareholder approval of any golden parachute payments not previously approved. |
88
We may take advantage of these provisions until such time that we are no longer an emerging growth company. We will cease to be an emerging growth company upon the earlier to occur of: (1) December 31, 2023; (2) the last day of the fiscal year in which we have total annual gross revenue of $1.24 billion or more; (2) the date on which we have issued more than $1.0 billion in nonconvertible debt during the previous three years; or (4) the date on which we are deemed to be a large accelerated filer under the rules of the SEC. We may choose to take advantage of some but not all of these reduced burdens, and therefore the information that we provide holders of our ordinary shares may be different than the information you might receive from other public companies in which you hold equity. In addition, Section 107 of the JOBS Act also provides that an emerging growth company can take advantage of an extended transition period for complying with new or revised accounting standards applicable to public companies. We have elected to take advantage of this extended transition period. When we are no longer deemed to be an emerging growth company, which we expect to occur beginning on January 1, 2024, we will not be entitled to the exemptions provided in the JOBS Act discussed above. We cannot predict if investors will find our ordinary shares less attractive as a result of our reliance on exemptions under the JOBS Act. If some investors find our ordinary shares less attractive as a result, there may be a less active trading market for our ordinary shares and our share price may be more volatile.
Risks Related to Israeli Law and Our Operations in Israel
Significant parts of our operations are located in Israel and, therefore, our results may be adversely affected by political, economic and military conditions in Israel.
We have substantial operations in Israel, including our research and development facilities and our manufacturing facilities at Kiryat Gat, that may be influenced by regional instability, political instability and extreme military tension. Accordingly, political, economic and military conditions in Israel and the surrounding region could directly affect our business. Any armed conflicts, political instability, terrorism, cyberattacks or any other hostilities involving Israel or the interruption or curtailment of trade between Israel and its present trading partners could affect adversely our operations.
The Israeli government is currently pursuing extensive changes to Israel’s judicial system. In response to the foregoing developments, individuals, organizations and institutions, both within and outside of Israel, have voiced concerns that the proposed changes may negatively impact the business environment in Israel including due to reluctance of foreign investors to invest or transact business in Israel as well as to increased currency fluctuations, downgrades in credit rating, increased interest rates, increased volatility in security markets, and other changes in macroeconomic conditions. To the extent that any of these negative developments do occur, they may have an adverse affect on our business, our results of operations and our ability to raise additional funds, if deemed necessary by our management and board of directors.
Ongoing and revived hostilities or other Israeli political or economic factors, could prevent or delay shipments of our products, harm our operations and product development and cause any future sales to decrease. In the event that hostilities disrupt the ongoing operation of our facilities or the airports and seaports on which we depend to import and export our supplies and products, our operations may be materially adverse affected.
Our operations may be disrupted as a result of the obligation of management or key personnel or consultants to perform military service.
Many Israeli citizens are obligated to perform several days, and in some cases more, of annual military reserve duty each year until they reach the age of 40 (or older, for reservists who are military officers or who have certain occupations) and, in the event of a military conflict, may be called to active duty. In response to increases in terrorist activity, there have been periods of significant call-ups of military reservists. It is possible that there will be military reserve duty call-ups in the future. Our operations could be disrupted by such call-ups, which may include the call-up of members of our management. Such disruption could materially adversely affect our business, financial condition and results of operations.
89
Because we incur a portion of our expenses in currencies other than the U.S. dollar, our financial condition and results of operations may be harmed by currency fluctuations and inflation.
While our reporting and functional currency is the U.S. dollar, we pay a meaningful portion of our expenses in NIS, Euros and other currencies. All of the salaries of our employees, our general and administrative expenses (including rent for our real property facility in Israel), and the fees that we pay to certain of our partners, are denominated in NIS. Certain of our suppliers are located in Europe and are paid in Euros. As a result, we are exposed to the currency fluctuation risks relating to the denomination of our future expenses in U.S. dollars. More specifically, if the U.S. dollar becomes devalued against the NIS or the Euro, our NIS- or Euro- denominated expenses will be greater than anticipated when reported in U.S. dollars. Inflation in Israel compounds the adverse impact of such devaluation by further increasing the amount of our Israeli expenses. Israeli inflation may also (in the future) outweigh the positive effect of any appreciation of the U.S. dollar relative to the NIS, if, and to the extent that, it outpaces such appreciation or precedes such appreciation. The Israeli rate of inflation did not have a material adverse effect on our financial condition during 2021 or 2022. Given our general lack of currency hedging arrangements to protect us from fluctuations in the exchange rates of the NIS or the Euro and other non-U.S. currencies in relation to the U.S. dollar (and/or from inflation of such non-U.S. currencies), we may be exposed to material adverse effects from such movements. We cannot predict any future trends in the rate of inflation in Israel or in Europe or the rate of devaluation (if any) of the U.S. dollar against the NIS or the Euro.
Provisions of Israeli law and our amended and restated articles of association may delay, prevent or make undesirable an acquisition of all or a significant portion of our shares or assets.
Certain provisions of Israeli law and our amended and restated articles of association could have the effect of delaying or preventing a change in control and may make it more difficult for a third-party to acquire us or for our shareholders to elect different individuals to our board of directors, even if doing so would be beneficial to our shareholders, and may limit the price that investors may be willing to pay in the future for our ordinary shares. For example, our amended and restated articles of association provide that our directors are elected on a staggered basis, such that a potential acquirer cannot readily replace our entire board of directors at a single annual general meeting of the shareholders. In addition, Israeli corporate law regulates mergers and requires that a tender offer be affected when more than a specified percentage of shares in a company are purchased.
Our amended and restated articles of association also include, among others things, the following restrictions may delay, prevent or make undesirable an acquisition of all or a significant portion of our shares or assets:
| ● | An amendment to our amended and restated articles of association generally require a vote of the holders of a majority of our outstanding ordinary shares entitled to vote present and voting on the matter at a general meeting of shareholders (referred to as simple majority), and the amendment of a number of provisions, such as the provision dividing our directors into three classes, requires a vote of the holders of at least 60% of our voting power. The affirmative vote of a majority of the directors in addition to the approval of our shareholders, is also required in order to amend our amended and restated articles of association. |
| ● | A director may not be removed except by a vote of the holders of at least 60% of our voting power, unless otherwise the director is prohibited from serving as a director under applicable law or upon a determination by the board that their physical or mental state prevents them from serving; and director vacancies may be filled by our board of directors. |
| ● | Subject to certain exceptions, we are restricted from engaging in certain business combination transactions, with any shareholder who holds 20% or more of our voting power. The transactions subject to such restrictions include mergers, consolidations and dispositions of our assets with a market value of 10% or more of our assets or outstanding shares. Subject to certain exceptions, such restrictions will apply for a period of three years following each time a shareholder became the holder of 20% or more of our voting power. |
| ● | Subject to certain exceptions, there is a restriction on certain transactions which may have a significant effect on the Company’s structure, assets or business, including significant mergers and acquisitions, a disposition of all or substantially all of the assets of the Company, a voluntary dissolution and material changes to the principal business of the Company. |
90
Further, Israeli tax considerations may make potential transactions undesirable to us or to some of our shareholders whose country of residence does not have a tax treaty with Israel granting tax relief to such shareholders from Israeli tax. With respect to certain mergers, Israeli tax law may impose certain restrictions on future transactions, including with respect to dispositions of shares received as consideration, for a period of two years from the date of the merger.
Furthermore, under the Encouragement of Research, Development and Technological Innovation in the Industry Law 5744-1984 (formerly known as the Law for the Encouragement of Research and Development in Industry 5744-1984), and the regulations and guidelines promulgated thereunder, or the Innovation Law, to which we are subject due to our receipt of grants from the Israel Innovation Authority, or IIA (formerly known as the Office of the Chief Scientist of the Ministry of Economy and Industry, or the OCS), a recipient of IIA grants such as us must report to IIA regarding any change of control of our company or regarding any change in the holding of the means of control of our company which results in any non- Israeli citizen or resident becoming an “interested party”, as defined in the Innovation Law, in our company, and in the latter event, the non-Israeli citizen or resident will be required to execute an undertaking in favor of IIA, in a form prescribed by IIA, acknowledging the restrictions imposed by such law and agreeing to abide by its terms.
Investors may have difficulties enforcing a U.S. judgment, including judgments based upon the civil liability provisions of the U.S. federal securities laws against us, or our executive officers and directors or asserting U.S. securities laws claims in Israel.
Not all our directors are residents of the United States and most of our assets are located outside the United States. Service of process upon us or our non-U.S. resident directors and enforcement of judgments obtained in the United States against us or our non-U.S. directors may be difficult to obtain within the United States. We have been informed by our legal counsel in Israel that it may be difficult to assert claims under U.S. securities laws in original actions instituted in Israel or obtain a judgment based on the civil liability provisions of U.S. federal securities laws. Israeli courts may refuse to hear a claim based on a violation of U.S. securities laws against us or our non-U.S. directors because Israel may not be the most appropriate forum to bring such a claim. In addition, even if an Israeli court agrees to hear a claim, it may determine that Israeli law and not U.S. law is applicable to the claim. If U.S. law is found to be applicable, the content of applicable U.S. law must be proved as a fact, which can be a time-consuming and costly process. Certain matters of procedure will also be governed by Israeli law. There is little binding case law in Israel addressing the matters described above. Israeli courts might not enforce judgments rendered outside Israel, which may make it difficult to collect on judgments rendered against us or our non-U.S. directors.
Moreover, among other reasons, including but not limited to, fraud or absence of due process, or the existence of a judgment which is at variance with another judgment that was given in the same matter if a suit in the same matter between the same parties was pending before a court or tribunal in Israel, an Israeli court will not enforce a non-Israeli judgment if it was given in a state whose laws do not provide for the enforcement of judgments of Israeli courts (subject to exceptional cases) or if its enforcement is likely to prejudice the sovereignty or security of the State of Israel.
Your liabilities and responsibilities as a shareholder will be governed by Israeli law, which differs in some material respects from the U.S. law that governs the liabilities and responsibilities of shareholders of U.S. corporations.
We are incorporated under Israeli law. The rights and responsibilities of holders of our ordinary shares are governed by our amended and restated articles of association and the Israeli Companies Law 5759-1999, or the Companies Law. These rights and responsibilities differ in some respects from the rights and responsibilities of shareholders in typical U.S. corporations. In particular, pursuant to the Companies Law each shareholder of an Israeli company has to act in good faith in exercising his or her rights and fulfilling his or her obligations toward the company and other shareholders and to refrain from abusing his or her power in the company, including, among other things, in voting at the general meeting of shareholders and class meetings, on amendments to a company’s articles of association, increases in a company’s authorized share capital, mergers, and transactions requiring shareholders’ approval under the Companies Law. In addition, a controlling shareholder of an Israeli company or a shareholder who knows that it possesses the power to determine the outcome of a shareholder vote or who has the power to appoint or prevent the appointment of a director or officer in the company, or has other powers toward the company, has a duty of fairness toward the company. However, Israeli law does not define the substance of this duty of fairness.
91
Because Israeli corporate law has undergone extensive revision in recent years, there is little case law available to assist in understanding the implications of these provisions that govern shareholder behavior.
Our amended and restated articles of association provide that unless we consent to an alternate forum, the federal district courts of the United States shall be the exclusive forum of resolution of any claims arising under the Securities Act which may impose additional litigation costs on our shareholders.
Our amended and restated articles of association provide that the federal district courts of the United States shall be the exclusive forum for the resolution of any complaint asserting a cause or causes of action arising under the Securities Act, including all causes of action asserted against any defendant to such complaint. Section 22 of the Securities Act creates concurrent jurisdiction for federal and state courts over all such Securities Act actions. Accordingly, both U.S. state and federal courts have jurisdiction to entertain such claims. This choice of forum provision may limit a shareholder’s ability to bring a claim in a judicial forum that it finds favorable for disputes with us or our directors, officers or other employees and may increase the costs associated with such lawsuits, which may discourage such lawsuits against us and our directors, officers and employees. Alternatively, if a court were to find these provisions of our amended and restated articles of association inapplicable to, or unenforceable in respect of, one or more of the specified types of actions or proceedings, we may incur additional costs associated with resolving such matters in other jurisdictions, which could adversely affect our business and financial condition. Any person or entity purchasing or otherwise acquiring any interest in our share capital shall be deemed to have notice of and to have consented to the choice of forum provisions of our amended and restated articles of association described above. This provision would not apply to shall not apply to causes of action arising under the Exchange Act.
Our amended and restated articles of association provide that unless the Company consents otherwise, the competent courts of Tel Aviv, Israel shall be the sole and exclusive forum for substantially all disputes between the Company and its shareholders under the Companies Law and the Israeli Securities Law, which could limit its shareholders ability to brings claims and proceedings against, as well as obtain favorable judicial forum for disputes with the Company, its directors, officers and other employees.
The competent courts of Tel Aviv, Israel shall be the exclusive forum for (i) any derivative action or proceeding brought on behalf of the Company, (ii) any action asserting a claim of breach of fiduciary duty owed by any director, officer or other employee of the Company to the Company or the Company’s shareholders, or (iii) any action asserting a claim arising pursuant to any provision of the Companies Law or the Israeli Securities Law. This exclusive forum provisions is intended to apply to claims arising under Israeli Law and would not apply to claims brought pursuant to the Securities Act or the Exchange Act or any other claim for which federal courts would have exclusive jurisdiction. Such exclusive forum provision in our amended and restated articles of association will not relieve the Company of its duties to comply with federal securities laws and the rules and regulations thereunder, and shareholders of the Company will not be deemed to have waived the Company’s compliance with these laws, rules and regulations. This exclusive forum provision may limit a shareholders ability to bring a claim in a judicial forum of its choosing for disputes with the Company or its directors or other employees which may discourage lawsuits against the Company, its directors, officers and employees.
92
ITEM 1B. UNRESOLVED STAFF COMMENTS
Not applicable.
ITEM 2. PROPERTIES
Our principal executive offices are located at 116 Huntington Avenue, 7th Floor, Boston, Massachusetts 02116. We also maintain an office at 5 Nahum Heftsadie Street, Givaat Shaul, Jerusalem 91340, Israel, where we lease an approximately 1,300 square foot facility. This facility houses our administrative headquarters, research and development laboratories and pilot manufacturing facility.
We believe that our existing facilities are adequate to meet our current needs, and that suitable additional or alternative spaces will be available in the future on commercially reasonable terms.
We also have a lease agreement for an approximately 52,000 square foot facility in Kiryat Gat, Israel, where we recently completed construction for a planned commercial-grade manufacturing facility. The Israeli Ministry of Health issued a GMP certificate and we are working to establish cGMP compliance under the FDA’s regulations for this facility.
ITEM 3. LEGAL PROCEEDINGS
From time to time, we may become party to litigation or other legal proceedings that we consider to be part of the ordinary course of business. We are not currently party to any material legal proceedings.
ITEM 4. MINE SAFETY DISCLOSURE
Not Applicable.
93
PART II
ITEM 5. MARKET FOR REGISTRANT’S COMMON EQUITY, RELATED SHAREHOLDER MATTERS AND ISSUER PURCHASES OF EQUITY SECURITIES
Market Information and Holders
Our ordinary shares have been listed on the Nasdaq Global Market under the symbol “GMDA” since October 26, 2018.
As of March 29, 2023, we had 153 shareholders of record.
Material Israeli Tax Considerations
The following is a summary of the material Israeli tax laws applicable to us, and some Israeli Government programs benefiting us. This section also contains a discussion of some Israeli tax consequences to persons owning our ordinary shares. This summary does not discuss all the aspects of Israeli tax law that may be relevant to a particular investor in light of his or her personal investment circumstances or to some types of investors subject to special treatment under Israeli law. Examples of this kind of investor include traders in securities or persons that own, directly or indirectly, 10% or more of our outstanding voting capital, all of whom are subject to special tax regimes not covered in this discussion. Some parts of this discussion are based on a new tax legislation which has not been subject to judicial or administrative interpretation. The discussion should not be construed as legal or professional tax advice and does not cover all possible tax considerations.
SHAREHOLDERS ARE URGED TO CONSULT THEIR OWN TAX ADVISORS AS TO THE ISRAELI OR OTHER TAX CONSEQUENCES OF THE PURCHASE, OWNERSHIP AND DISPOSITION OF OUR ORDINARY SHARES, INCLUDING, IN PARTICULAR, THE EFFECT OF ANY NON-U.S., STATE OR LOCAL TAXES.
General Corporate Tax Structure in Israel
Israeli resident companies are generally subject to corporate tax on their taxable income at the rate of 23% in 2022 tax year and thereafter. However, the effective tax rate payable by a company that derives income from a Preferred Enterprise or a Technology Enterprise (as discussed below) may be considerably less. Capital gains derived by an Israeli resident company are subject to tax at the prevailing corporate tax rate.
Law for the Encouragement of Industry (Taxes), 1969
The Law for the Encouragement of Industry (Taxes), 1969, or the Industry Encouragement Law, provides certain tax benefits for an “Industrial Company”. The Industry Encouragement Law defines an “Industrial Company” as an Israeli resident company incorporated in Israel, of which 90% or more of its income in any tax year, other than income from certain government loans, is derived from an “Industrial Enterprise” owned by it and located in Israel or in the “Area”, in accordance with the definition in the section 3A of the Israeli Income Tax Ordinance (New Version) 1961, or the “Ordinance”. An “Industrial Enterprise” is defined as an enterprise which is held by an Industrial Company whose principal activity in any given tax year is industrial production.
The following tax benefits, among others, are available to Industrial Companies:
| ● | amortization over an eight-year period of the cost of patents and rights to use a patent and know-how that were purchased in good faith and are used for the development or advancement of the Industrial Enterprise, commencing from the tax year where the Industrial Enterprise began to use them; |
| ● | under certain conditions, the right to elect to file consolidated tax returns with Israeli Industrial Companies controlled by it; and |
| ● | expenses related to a public offering are deductible in equal amounts over three years commencing on the year of the initial public offering. |
94
We believe that we qualify as an “Industrial Company” within the meaning of the Industry Encouragement Law. There can be no assurance that we will continue to qualify as an Industrial Company or that the benefits described above will be available to us in the future.
Tax Benefits under the Law for the Encouragement of Capital Investments, 1959
The Law for the Encouragement of Capital Investments, 1959, generally referred to as the “Investment Law”, provides certain incentives for capital investments in production facilities (or other eligible assets).
The Investment Law was significantly amended several times over the recent years, with the three most significant changes effective as of April 1, 2005, referred to in this annual report on Form 20-F as the 2005 Amendment, as of January 1, 2011, referred to in this annual report on Form 20-F as the 2011 Amendment, and as of January 1, 2017, referred to in this annual report on Form 20-F as the 2017 Amendment. Pursuant to the 2005 Amendment, tax benefits granted in accordance with the provisions of the Investment Law prior to its revision by the 2005 Amendment remain in force but any benefits granted subsequently are subject to the provisions of the amended Investment Law. Similarly, the 2011 Amendment introduced new benefits to replace those granted in accordance with the provisions of the Investment Law in effect prior to the 2011 Amendment. However, companies entitled to benefits under the Investment Law as in effect prior to January 1, 2011 were entitled to choose to continue to enjoy such benefits, provided that certain conditions are met, or elect instead, irrevocably, to forego such benefits and have the benefits of the 2011 Amendment apply. The 2017 Amendment introduces new benefits for Technology Enterprises, alongside the existing tax benefits. We did not utilize any of the benefits for which we were eligible under the Investment Law prior to the 2011 Amendment, and starting in the 2017 tax year we elected to apply for the new benefits under the 2011 Amendment.
Tax benefits under the 2011 Amendment
On December 29, 2010, the Israeli Parliament approved the 2011 Amendment. The 2011 Amendment significantly revised the tax incentive regime in Israel and commenced on January 1, 2011.
The 2011 Amendment introduced new tax benefits for income generated by a “Preferred Company” through its “Preferred Enterprise” (as such terms are defined in the Investment Law) as of January 1, 2011. The definition of a Preferred Company includes a company incorporated in Israel that is not fully owned by a governmental entity, and that has, among other things, Preferred Enterprise status and is controlled and managed from Israel.
A Preferred Company is entitled to a reduced corporate tax rate with respect to the income attributed to the Preferred Enterprise, at the following rates:
| Tax Year | Development Region “A” | Other Areas within Israel | ||||||
| 2011-2012 | 10 | % | 15 | % | ||||
| 2013 | 7 | % | 12.5 | % | ||||
| 2014-2016 | 9 | % | 16 | % | ||||
| 2017 onwards(1) | 7.5 | % | 16 | % | ||||
| (1) | In December 2016, the Israeli Parliament (the Knesset) approved an amendment to the Investments Law pursuant to which the tax rate applicable to Preferred Enterprises in Development Region “A” would be reduced to 7.5% as of January 1, 2017. |
In addition, Income derived by a Preferred Company from a “Special Preferred Enterprise” (as such term is defined in the Investment Law) would be entitled, during a benefits period of 10 years, to further reduced tax rates of 8%, or to 5% if the Special Preferred Enterprise is located in a Development Region “A”. Since January 1, 2017, the definition for “Special Preferred Enterprise” includes less stringent conditions.
95
The classification of income generated from the provision of usage rights in know-how or software that were developed in the Preferred Enterprise, as well as royalty income received with respect to such usage, as preferred income is subject to the issuance of a pre-ruling from the Israel Tax Authority stipulates that such income is associated with the productive activity of the Preferred Enterprise in Israel.
Dividends distributed from income which is attributed to a “Preferred Enterprise” or to a “Special Preferred Enterprise” will be subject to withholding tax at source at the following rates: (i) Israeli resident corporations - 0%, (although, if such dividends are subsequently distributed to individuals or a non-Israeli company, the below will apply) (ii) Israeli resident individuals - 20% (iii) non-Israeli residents (individuals and corporations) - 20% (subject to the receipt in advance of a valid certificate from the Israel Tax Authority allowing for a reduced tax rate, 20%, or such lower rate as may be provided in an applicable tax treaty).
The 2011 Amendment also revised the grant track to apply only to the approved programs located in Development Region “A” and shall provide not only cash grants (as prior to the 2011 Amendment) but also the granting of loans. The rates for grants and loans shall not be fixed but up to 20% of the amount of the approved investment (may be increased with additional 4%). In addition, a company owning a Preferred Enterprise under the grant track may be entitled also to the tax benefits which are prescribed for a Preferred Enterprise.
The tax benefits under the 2011 Amendment also include accelerated depreciation and amortization for tax purposes.
New Tax Benefits under the 2017 Amendment that became Effective on January 1, 2017.
The 2017 Amendment was enacted as part of the Economic Efficiency Law that was published on December 29, 2016, and is effective as of January 1, 2017. The 2017 Amendment provides new tax benefits for two types of “Technology Enterprises”, as described below, and is in addition to the other existing tax beneficial programs under the Investment Law.
The 2017 Amendment provides that a technology company satisfying certain conditions will qualify as a “Preferred Technology Enterprise” and will thereby enjoy a reduced corporate tax rate of 12% on income that qualifies as “Preferred Technology Income”, as defined in the Investment Law. The tax rate is further reduced to 7.5% for a Preferred Technology Enterprise located in Development Region “A”. In addition, a Preferred Technology Company will enjoy a reduced corporate tax rate of 12% on capital gain derived from the sale of certain “Benefitted Intangible Assets” (as defined in the Investment Law) to a related foreign company if the Benefitted Intangible Assets were acquired from a foreign company after January 1, 2017 for at least NIS 200 million, and the sale receives prior approval from IIA.
The 2017 Amendment further provides that a technology company satisfying certain conditions will qualify as a “Special Preferred Technology Enterprise” (an enterprise for which, among others, total consolidated revenues of its parent company and all subsidiaries is at least NIS 10 billion) and will thereby enjoy a reduced corporate tax rate of 6% on “Preferred Technology Income” regardless of the company’s geographic location within Israel. In addition, a Special Preferred Technology Enterprise will enjoy a reduced corporate tax rate of 6% on capital gain derived from the sale of certain “Benefitted Intangible Assets” to a related foreign company if the Benefitted Intangible Assets were either developed by the Special Preferred Technology Enterprise or acquired from a foreign company after January 1, 2017, and the sale received prior approval from IIA. A Special Preferred Technology Enterprise that acquires Benefitted Intangible Assets from a foreign company for more than NIS 500 million will be eligible for these benefits for at least ten years, subject to certain approvals as specified in the Investment Law.
Dividends distributed by a Preferred Technology Enterprise or a Special Preferred Technology Enterprise to Israeli shareholders, paid out of Preferred Technology Income, are generally subject to withholding tax at source at the rate of 20% (in the case of non-Israeli shareholders - subject to the receipt in advance of a valid certificate from the Israel Tax Authority allowing for a reduced tax rate, 20%, or such lower rate as may be provided in an applicable tax treaty). However, if such dividends are paid to an Israeli company, no tax is required to be withheld (although, if such dividends are subsequently distributed to individuals or a non-Israeli company, the aforesaid will apply). If such dividends are distributed to a foreign company and other conditions are met, the withholding tax rate will be 4%, or a lower rate under a tax treaty, if applicable, subject to the receipt in advance of a valid certificate from the Israel Tax Authority allowing for a reduced tax rate.
96
We are examining the impact of the 2017 Amendment and the degree to which we will qualify as a Preferred Technology Enterprise or Special Preferred Technology Enterprise, and the amount of Preferred Technology Income that we may have, or other benefits that we may receive from the 2017 Amendment.
Taxation of the Company Shareholders
Capital Gains
Capital gain tax is imposed on the disposal of capital assets by an Israeli resident, and on the disposal of such assets by a non-Israel resident if those assets are either (i) located in Israel, (ii) are shares or a right to a share in an Israeli resident corporation, or (iii) represent, directly or indirectly, rights to assets located in Israel, unless a tax treaty between Israel and the seller’s country of residence provides otherwise. The Ordinance distinguishes between “Real Capital Gain” and the “Inflationary Surplus”. Real Capital Gain is the excess of the total capital gain over Inflationary Surplus computed generally on the basis of the increase in the Israeli Consumer Price Index (“CPI”) between the date of purchase and the date of disposal.
The Real Capital Gain accrued by individuals on the sale of our ordinary shares (that were purchased after January 1, 2012, whether listed on a stock exchange or not) will be taxed at the rate of 25%. However, if such shareholder is a “Substantial Shareholder” (i.e., a person who holds, directly or indirectly, alone or together with such person’s relative or another person who collaborates with such person on a permanent basis, 10% or more of one of the Israeli resident company’s means of control) at the time of sale or at any time during the preceding twelve (12) months period and/or claims a deduction for interest and linkage differences expenses in connection with the purchase and holding of such shares, such gain will be taxed at the rate of 30%.
The Real Capital Gain derived by corporations will be generally subject to the ordinary corporate tax (23% in 2022 and thereafter).
Individual shareholders dealing in securities, or to whom such income is otherwise taxable as ordinary business income are taxed in Israel at their marginal tax rates applicable to business income (up to 47% in 2022 and thereafter excluding excess tax as discussed below).
Notwithstanding the foregoing, capital gain derived from the sale of our ordinary shares by a non-Israeli resident (whether an individual or a corporation) shareholder generally should be exempt under the Ordinance from Israeli taxation provided, among other things, that the following conditions are met: (i) the shares were purchased upon or after the Company was listed for trading on Nasdaq; (ii) such gains were not derived from a permanent business or business activity that the non-Israeli resident maintains in Israel, and (iii) neither such shareholders nor the particular gain are not subject to the Israeli Income Tax Law (Inflationary Adjustments) 5745-1985. These provisions dealing with capital gain are not applicable to a person whose gains from selling or otherwise disposing of the shares are deemed to be business income. In addition, non-Israeli corporations will not be entitled to the foregoing exemptions if an Israeli resident (i) has a controlling interest of more than 25% in such non-Israeli corporation or (ii) is the beneficiary of or is entitled to 25% or more of the revenue or profits of such non-Israeli corporation, whether directly or indirectly.
97
In addition, the sale of shares may be exempt from Israeli capital gain tax under the provisions of an applicable tax treaty (subject to the receipt in advance of a valid certificate from the Israel Tax Authority allowing for an exemption). For example, the U.S.-Israel Double Tax Treaty generally exempts U.S. resident holding the shares as a capital asset and is entitled to claim the benefits afforded to such a resident by the U.S.-Israel Double Tax Treaty, or a Treaty U.S. Resident, from Israeli capital gain tax in connection with such sale, provided that (i) the U.S. resident owned, directly or indirectly, less than 10% of an Israeli resident company’s voting power at any time within the 12 month period preceding such sale, subject to certain conditions; (ii) the seller, being an individual, is present in Israel for a period or periods of less than 183 days in the aggregate at the taxable year; and (iii) the capital gain from the sale, exchange or disposition was not derived through a permanent establishment that the U.S. resident maintains in Israel, (iv) the capital gains arising from such sale, exchange or disposition is not attributed to real estate located in Israel; or (v) the capital gains arising from such sale, exchange or disposition is not attributed to royalties. If any such case occurs, the sale, exchange or disposition of our ordinary shares would be subject to Israeli tax, to the extent applicable. However, under the U.S.-Israel Tax Treaty, such Treaty U.S. Resident would be permitted to claim a credit for such taxes against U.S. federal income tax imposed on any gain from such sale, exchange or disposition, under the circumstances and subject to the limitations specified in the U.S.-Israel Double Tax Treaty.
In some instances where our shareholders may be liable for Israeli tax on the sale of their ordinary shares, the payment of the consideration may be subject to withholding of Israeli tax at source. Shareholders may be required to demonstrate that they are exempt from tax on their capital gains in order to avoid withholding at source at the time of sale. Specifically, in transactions involving a sale of all of the shares of an Israeli resident company, in the form of a merger or otherwise, the Israel Tax Authority may require from shareholders who are not liable for Israeli tax to sign declarations in forms specified by this authority or obtain a specific exemption from the Israel Tax Authority to confirm their status as non-Israeli resident, and, in the absence of such declarations or exemptions, may require the purchaser of the shares to withhold taxes at source.
Either the purchaser, the Israeli stockbrokers or financial institution through which the shares are held is obliged, subject to the above mentioned exemptions, to withhold tax upon the sale of securities on the amount of the consideration paid upon the sale of the securities at the rate of 25% in respect of an individual, or at a rate of corporate tax, in respect of a corporation (23% in 2022 and thereafter).
At the sale of securities traded on a stock exchange a detailed return, including a computation of the tax due, must be filed and an advanced payment must be paid on January 31 and July 31 of every tax year in respect of sales of securities made within the previous six months. However, if all tax due was withheld at source according to applicable provisions of the Ordinance and regulations promulgated thereunder the aforementioned return need not be filed provided that (i) such income was not generated from business conducted in Israel by the taxpayer, (ii) the taxpayer has no other taxable sources of income in Israel with respect to which a tax return is required to be filed and (iii) the taxpayer is not obliged to pay excess tax (as further explained below); and no advance payment must be paid. Capital gain is also reportable on the annual income tax return.
Dividend Policy
We have never declared or paid any cash dividends to our shareholders of our ordinary shares, and we do not anticipate or intend to pay cash dividends in the foreseeable future. Payment of cash dividends, if any, in the future will be at the discretion of our board of directors in compliance with applicable legal requirements and will depend on a number of factors, including future earnings, our financial condition, operating results, contractual restrictions, capital requirements, business prospects, our strategic goals and plans to expand our business, applicable law and other factors that our board of directors may deem relevant.
The Israeli Companies Law imposes further restrictions on our ability to declare and pay dividends. Payment of dividends may be subject to Israeli withholding taxes.
The Israeli Income Tax Ordinance (New Version) 1961, or the Ordinance, generally provides that a non-Israeli resident (either individual or corporation) is subject to an Israeli income tax on the receipt of dividends at the rate of 25% (30% if the dividends recipient is a “Substantial Shareholder” (as defined above), at the time of distribution or at any time during the preceding 12 months period) or 20% if the dividend is distributed from income attributed to Preferred Enterprise. Such dividends are generally subject to Israeli withholding tax at a rate of 25% so long as the shares are registered with a Nominee Company (whether the recipient is a Substantial Shareholder or not), and 20% if the dividend is distributed from income attributed to a Preferred Enterprise (in the case of non-Israeli shareholders - subject to the receipt in advance of a valid certificate from the ITA allowing for a reduced tax rate, 20%, or such lower rate as may be provided in an applicable tax treaty); If the dividend is attributable partly to income derived from a Preferred Enterprise, and partly from other sources of income, the income tax rate will be a blended rate reflecting the relative portions of the types of income. We cannot assure you that we will designate the profits that we may distribute in a way that will reduce shareholders tax liability.
98
For example, under the U.S.-Israel Double Tax Treaty the following rates will apply in respect of dividends distributed by an Israeli resident company to a Treaty U.S. Resident: (i) if the Treaty U.S. Resident is a corporation which holds during that portion of the taxable year which precedes the date of payment of the dividend and during the whole of its prior taxable year (if any), at least 10% of the outstanding shares of the voting shares of the Israeli resident paying corporation and not more than 25% of the gross income of the Israeli resident paying corporation for such prior taxable year (if any) consists of certain type of interest or dividends - the maximum tax rate of withholding is 12.5%, and (ii) in all other cases, the tax rate is 25%, or the domestic rate (if such is lower). Notwithstanding the foregoing, dividends distributed from income attributed to Preferred Enterprise are subject to a withholding tax rate of 15% for such U.S. corporation shareholder, provided that the condition related to our gross income for the previous year (as set forth in the previous sentence) is met. The aforementioned rates under the Israel U.S. Double Tax Treaty will not apply if the dividend income was derived through a permanent establishment that the Treaty U.S. Resident maintains in Israel. If the dividend is attributable partly to income derived from a Preferred Enterprise and partly to other sources of income, the withholding rate will be a blended rate reflecting the relative portions of the two types of income. U.S. residents who are subject to Israeli withholding tax on a dividend may be entitled to a credit or deduction for United States federal income tax purposes in the amount of the taxes withheld, subject to detailed rules contained in U.S. tax legislation.
A non-Israeli resident who receives dividend income derived from or accrued from Israel, from which the full amount of tax was withheld at source, is generally exempt from the obligation to file tax returns in Israel with respect to such income, provided that (i) such income was not generated from business conducted in Israel by the taxpayer, and (ii) the taxpayer has no other taxable sources of income in Israel with respect to which a tax return is required to be filed and (iii) the taxpayer is not obliged to pay excess tax (as further explained below).
Payers of dividends on our shares, including the Israeli shareholder effectuating the transaction, or the financial institution through which the securities are held, are generally required, subject to any of the foregoing exemption, reduced tax rates and the demonstration of a shareholder of his, her or its foreign residency, to withhold taxes upon the distribution of dividends at a rate of 25% provided that the shares are registered with a Nominee Company (for corporations and individuals).
Excess Tax
Individuals who are subject to tax in Israel (whether any such individual is an Israeli resident or non-Israeli resident) are also subject to an additional tax at a rate of 3% on annual income exceeding NIS 663,240 for 2022, which amount is linked to the annual change in the Israeli consumer price index, including, but not limited to, dividends, interest and capital gain.
Foreign Exchange Regulations
Non-residents of Israel who hold our ordinary shares are able to receive any dividends, and any amounts payable upon the dissolution, liquidation and winding up of our affairs, repayable in non-Israeli currency at the rate of exchange prevailing at the time of conversion. However, Israeli income tax is generally required to have been paid or withheld on these amounts. In addition, the statutory framework for the potential imposition of currency exchange control has not been eliminated, and may be restored at any time by administrative action.
Estate and Gift Tax
Israeli law presently does not impose estate or gift taxes.
Recent Sales of Unregistered Securities
On February 16, 2021, Gamida Cell Inc. sold $75 million of 5.875% convertible senior notes due in 2026, or the 2021 Notes, to certain funds managed by Highbridge Capital Management, LLC, which funds were accredited investors and qualified institutional buyers. The notes were sold at 100% of the principal amount thereof, are senior unsecured obligations of ours and will accrue interest at a rate of 5.875% per year. Subject to certain limitations, the holders of the notes can elect to exchange the notes for our ordinary shares at an initial exchange rate of 56.3063 shares per $1,000 principal amount of notes (equivalent to an exchange price of $17.76 per share). The sale was made in reliance on the exemption from registration afforded by Section 4(a)(2) of the Securities Act.
On December 12, 2022, we and our wholly owned subsidiary, Gamida Cell Inc., entered into a Loan and Security Agreement, or the Loan Agreement, pursuant to which Gamida Cell Inc. borrowed an aggregate principal amount of $25.0 million through the issuance and sale of a first lien secured note, or the 2022 Note, to a fund managed by Highbridge Capital Management, LLC. The 2022 Note is exchangeable, at the option of the lenders, into our ordinary shares at an exchange rate of 0.52356 ordinary shares per $1.00 principal amount, together with a make-whole premium equal to all accrued and unpaid and remaining coupons due through the maturity date. The exchange rate is subject to adjustment in the event of ordinary share dividends, reclassifications and certain other fundamental transactions affecting the ordinary shares. We have fully and unconditionally guaranteed the obligations of Gamida Cell Inc. under the Loan Agreement and the 2021 Note and the obligations are secured by substantially all of our and our subsidiary’s assets. The issuance of the ordinary shares issuable pursuant to the 2022 Note was made in reliance on the exemption from registration afforded by Section 4(a)(2) of the Securities Act.
99
ITEM 6. [RESERVED]
ITEM 7. MANAGEMENT’S DISCUSSION AND ANALYSIS OF FINANCIAL CONDITION AND RESULTS OF OPERATIONS
The following discussion of our financial condition, changes in financial condition, plan of operations and results of operations should be read in conjunction with (i) our audited consolidated financial statements as at December 31, 2022 and December 31, 2021 and (ii) the section entitled “Business” included in this annual report. The discussion contains forward-looking statements that involve risks, uncertainties and assumptions. Our actual results may differ materially from those anticipated in these forward-looking statements as a result of many factors.
Company Overview
We are a cell therapy pioneer working to turn cells into powerful therapeutics. We apply a proprietary expansion platform leveraging the properties of nicotinamide, or NAM, to allogeneic cell sources including umbilical cord blood-derived cells and natural killer, or NK, cells to create cell therapy candidates with the potential to redefine standards of care. Our primary product candidate is omidubicel, an advanced cell therapy candidate for allogeneic hematopoietic stem cell transplant that, if approved, has the potential to expand access and improve outcomes for patients with blood cancers. Historically, we had also developed a line of enhanced and engineered NK cells targeted at solid tumors and hematological malignancies
Omidubicel, our primary product candidate, is designed to address the limitations of current donor sources used for HSCT. Omidubicel consists of NAM-expanded and enhanced hematopoietic stem cells and differentiated immune cells, including T cells. The final cell therapy product is cryopreserved until the patient is ready to begin the transplant, when it is thawed and infused. Omidubicel has the potential to be a stem cell donor source in two broad patient groups: (i) patients with high-risk leukemias and lymphomas who require HSCT; and (ii) patients with severe hematologic disorders such as severe aplastic anemia. Based on results from our clinical studies, if approved, omidubicel has the potential to improve outcomes as compared to other donor sources and to increase access for patients who cannot find an appropriate donor.
In October 2021, the complete results from our pivotal Phase 3 clinical study of omidubicel in 125 patients with various hematologic malignancies were published in the peer-reviewed medical journal Blood. The trial achieved its primary endpoint of time to neutrophil engraftment as well as all three of the prespecified secondary endpoints. These secondary endpoints were the proportion of patients who achieved platelet engraftment by day 42, the proportion of patients with grade 2 or grade 3 bacterial or invasive fungal infections in the first 100 days following transplant, and the number of days alive and out of the hospital in the first 100 days following transplant. All three secondary endpoints demonstrated statistical significance in an intent-to-treat analysis.
100
In December 2021, we reported data from an analysis of a subset of 37 patients from the Phase 3 randomized trial of omidubicel at Annual Meeting of the American Society of Hematology, or ASH. The analysis was aimed at investigating the reduced infection rates observed in the study and showed that the omidubicel-treated patients had more rapid recovery of a wide variety of immune cells including CD4+ T cells, B cells, NK cells and dendritic cell subtypes. The recovery of the immune system provides rationale for fewer severe bacterial, fungal and viral infections in patients treated with omidubicel. In February 2023 we presented additional data at the Transplantation and Cellular Therapy, or TCT, Meetings of the American Society for Transplantation and Cellular Therapy. These new data focused on peripheral blood lymphocyte counts measured in correlation with time to neutrophil and platelet engraftment in omidubicel-transplanted and standard cord blood-transplanted patients. Seven days post-transplant, omidubicel-transplanted patients showed a robust reconstitution of a broad repertoire of immune cells, which correlated with successful neutrophil engraftment. These data support past findings that omidubicel stimulates faster immune recovery than standard cord blood and may also explain the lower incidence of serious bacterial, fungal and viral infections for omidubicel transplanted patients.
In early 2022, the FDA agreed that the initiation of our rolling biologics license application, or BLA, submission for omidubicel was appropriate and we initiated the rolling submission process. We completed submission of the BLA in June 2022. The FDA accepted the BLA in July 2022. Subsequently, the FDA issued an information request and viewed the data in our response as a major amendment. On November 18, 2022, we received correspondence from the U.S. Food and Drug Administration, or FDA, that the agency had updated our previous target action date under the Prescription Drug User Fee Act, or PDUFA, from January 30, 2023 to May 1, 2023, for our BLA for omidubicel. In the fourth quarter of 2022, the Israeli Ministry of Health and the FDA completed physical inspections of our Kiryat Gat facility which, to date, has resulted in no 483 observations.
Beginning in March 2023, we initiated a strategic restructuring of our business to primarily focus on the commercial launch of omidubicel, following FDA approval if granted. This launch will involve a more limited financial investment than we had previously planned in order to manage our financial resources, resulting in a slower ramp of sales. To support a more fulsome commercial launch of omidubicel, if approved, we intend to explore potential commercial or strategic options. We plan to engage a strategic advisor for this process. Potential strategic alternatives that may be evaluated include a sale of our assets or merger of our company, securing additional financing, and commercial or strategic partnerships that would enable further commercialization and development of our programs. There can be no assurance that this strategic review process will result in our pursuing any transaction. We aim to run this strategic review process into the third quarter of 2023. Additionally, there can be no assurances that any particular course of action, business arrangement or transaction, or series of transactions, will be pursued, successfully consummated or lead to increased shareholder value. If we are unable to secure additional financing or a commercial or strategic partnership for omidubicel, our board of directors may decide to pursue a dissolution and liquidation. In the event of such liquidation or other wind-down event, holders of our securities may suffer a total loss of their investment.
In connection with our strategic restructuring:
| ● | We intend to allocate the vast majority of our resources to support the commercial launch of omidubicel, following approval by the FDA if granted, including manufacturing at our dedicated and certified Kiryat Gat facility. To manage our cash runway, we will hire employees at a reduced pace and reduce planned commercial and medical operating expenses, which we anticipate will result in lower sales than we had previously planned. |
| ● | Solely for financial reasons, we are reducing planned investment in the development of our clinical stage NK cell therapy candidate, GDA-201. While we will continue enrollment into the Phase 1/2 clinical trial of GDA-201 for the treatment of follicular and diffuse large B-cell lymphomas, we will not advance any previously planned Phase 2 start-up activities. We intend to complete the treatment of patients in the Phase 1 portion of the Phase 1/2 study; however, following our assessment of the results from the Phase 1 portion of the study, we may decide not to proceed with the enrollment of patients in the Phase 2 portion of the study and we may wind down the Phase 1/2 study of GDA-201. |
| ● | Solely for financial reasons, we will discontinue the development of our engineered NK cell therapy pipeline, including GDA-301, GDA-501, and GDA-601, but will retain the intellectual property rights to develop, sell or license these assets in the future. |
| ● | We have implemented a reduction in force to rationalize the employee base to support the new business strategy, which will include closing our Jerusalem research and development facility and terminating the lease or securing a sub-tenant for the space. We expect that we will incur charges of approximately $1.1 million for severance and other employee termination-related costs primarily in the second quarter of 2023. |
101
We have incurred significant net losses since our formation in 1998. Our net losses were $79.4 million and $89.8 million for the years ended December 31, 2022 and 2021, respectively. As of December 31, 2022, our accumulated deficit was $416.8 million. We expect to continue to incur losses for the foreseeable future, and our losses may fluctuate significantly from year to year.
Although we completed a convertible debt financing in 2021 and both an equity financing transaction and convertible debt financing in 2022, we will need substantial additional funding to support our operating activities as we proceed to commercialize omidubicel, if approved. Adequate funding may not be available to us on acceptable terms, or at all, in which case we may be required to suspend the commercialization of omidubicel, enter into a strategic transaction or wind down our business.
To continue to fund our operations, we expect to continue to raise capital and to seek potential commercial or strategic partnerships for omidubicel, if approved. We may obtain additional financing in the future through the issuance of our ordinary shares, through other equity or debt financings or through collaborations or partnerships with other companies. We may not be able to raise additional capital or secure a partnership on terms acceptable to us, or at all, and any failure to raise capital or secure a partnership as and when needed could compromise our ability to execute on our business plan. Although it is difficult to predict future liquidity requirements, we believe that our current total existing funds will be sufficient to support our ongoing operating activities through the third quarter of 2023. However, our ability to successfully transition to profitability will be dependent upon achieving a level of revenue adequate to support our cost structure. We cannot assure you that we will ever be profitable or generate positive cash flow from operating activities.
Components of Results of Operations
Revenue
We do not currently have any products approved for sale and, to date, we have not recognized any revenue. In the future, we may generate revenue from a combination of product sales, reimbursements, up-front payments and future collaborations. If we fail to achieve clinical success or obtain regulatory approval of any of our product candidates in a timely manner, our ability to generate future revenue will be impaired. If omidubicel is approved for commercial sale, we may generate revenue from product sales, or alternatively, we may receive royalties from any collaborators we partner with to commercialize our product candidates.
Research and development expenses, net
The largest component of our total operating expenses has historically been, and we expect will continue to be, research and development. Our research and development expenses, net of IIA grants, consist primarily of:
| ● | salaries and related costs, including share-based compensation expense, for our personnel in research and development functions; |
| ● | expenses incurred under agreements with third parties, including CROs, subcontractors, suppliers and consultants, for the conduct of our preclinical studies and clinical trials; |
| ● | expenses incurred to acquire, develop and manufacture preclinical study and clinical trial materials; and |
| ● | facility and equipment costs, including depreciation expense, maintenance and allocated direct and indirect overhead costs. |
102
Research and development expenses (net of grants) are recognized in the consolidated statements of operations when incurred.
Through December 31, 2022, we have received an aggregate of approximately $36.8 million in grants from the Israeli Innovation Authority, or the IIA, including from the Bereshit Consortium sponsored by the IIA, of which $34.2 million is royalty-bearing grants, and approximately $2.6 million is non-royalty-bearing grants, and all of which was awarded for research and development funding. Pursuant to the terms of the royalty-bearing grants, we are obligated to pay the IIA royalties at the rate of between 3.0% to 3.5% on future sales of the developed product, up to a limit of 100% of the amounts of the U.S. dollar-linked grants received, plus annual interest calculated at a rate based on the 12-month LIBOR, which was 0.1% in 2021 and 4.0% in 2022. We have not paid any royalties to the IIA to date. The Bereshit Consortium program does not require payments of royalties to the IIA, but all other restrictions under the Innovation Law, such as local manufacturing obligations and know-how transfer limitations, as further detailed hereunder, are applicable to the know how developed by us with the funding received in such consortium program.
In addition to paying any royalties due, we must abide by other restrictions associated with receiving such grants under the Encouragement of Research, Development and Technological Innovation in the Industry Law 5744-1984, which will also continue to apply to us following the repayment in full of the amounts due to the IIA. The Innovation Law restricts our ability to manufacture products and transfer technologies outside of Israel, and may impair our ability to enter into agreements that involve IIA-funded products or know-how without the approval of the IIA. Any approval, if given, will generally be subject to additional financial obligations by us. Failure to comply with the requirements under the Innovation Law may subject us to mandatory repayment of grants received by us, together with interest and penalties, as well as expose us to criminal proceedings.
Pursuant to the IIA’s licensing rules, or the Licensing Rules, a grant recipient may enter into licensing arrangements or grant other rights in know-how developed under IIA programs outside of Israel, subject to the prior consent of the IIA and payment of license fees, calculated in accordance with the Licensing Rules. The amount of the license fees is based on various factors, including the consideration received by the licensor in connection with the license, and shall not exceed six times the amount of the grants received by the grant recipient (plus accrued interest) for the applicable know-how being licensed. In certain cases, such as when the license consideration includes nonmonetary compensation or when a “special relationship” exists between the licensor and licensee (e.g., when a party controls the other party or is the other party’s exclusive distributor), or when the agreed upon consideration does not reflect, in the IIA’s opinion, the market value of the license, the IIA may base the value of the transaction on an economic assessment that it obtains for such purpose.
We are currently focused on advancing our product candidates, and our future research and development expenses will depend on their clinical success. Research and development expenses will continue to be significant and will increase over at least the next several years as we continue to develop our product candidates and conduct preclinical studies and clinical trials of our product candidates. Government grants received from the IIA are recognized as a reduction of the related research and development expenses.
We do not believe that it is possible at this time to accurately project total expenses required for us to reach commercialization of omidubicel or any of our other product candidates. In the first half of 2022, with the objective of extending our cash runway, we reduced operating expenses, primarily by implementing a workforce reduction of approximately 10% in January 2022 and delaying other hiring and planned spending, and in the second half of 2022, we completed an equity financing transaction and convertible debt financing. In March 2023, we announced a strategic restructuring of our operations to prioritize resources toward the launch of omidubicel, reduce operating expenses and extend cash runway, and seek potential commercial or strategic partnerships to maximize patient access to omidubicel.
We have initiated hiring and other expenditures in preparation for the potential commercialization of omidubicel. A majority of the anticipated savings is in research and development expenses.
103
Commercial expenses
Commercial expenses consist primarily of personnel costs, including share-based compensation, related to executive and commercial functions, preparation for the potential commercialization of omidubicel, and external consulting service fees.
General and administrative expenses
General and administrative expenses consist primarily of personnel costs, including share-based compensation, related to directors, executive, finance, and administrative functions, facility costs and external professional service costs, including legal, accounting and audit services and other consulting fees. Other significant expenses are related to audit, legal, regulatory and tax-related services, director and officer insurance premiums, executive compensation, and other customary costs associated with being a public company.
If omidubicel is approved for commercial sale, we anticipate that our general and administrative expenses will increase, and we anticipate an increase in payroll and expense as a result of our preparation for commercial operations, particularly as it relates to the sales and marketing of our product.
Financial expenses, net
Financial expenses, net, is our financing expenses from the 2022 Notes and 2021 Notes after deducting financing income from deposits and marketable securities.
Income taxes
We have yet to generate taxable income in Israel, as we have historically incurred operating losses resulting in carry forward tax losses totaling approximately $274.9 million (including capital losses of $0.5 million) as of December 31, 2022. In addition, the US subsidiary has net operating losses carryforward of $37.5 million for federal tax purposes as of December 31, 2022. We anticipate that we will continue to generate tax losses for the foreseeable future and that we will be able to carry forward these tax losses indefinitely to future taxable years. Accordingly, we do not expect to pay taxes in Israel until we have taxable income after the full utilization of our carry forward tax losses. We provided a full valuation allowance, to reduce deferred tax assets to their estimated realizable value, since it is more likely than not that all of the deferred tax assets will not be realized.
Analysis of Results of Operations
Comparison of the years ended December 31, 2022 and 2021
The following table summarizes our results of operations for the years ended December 31, 2022 and 2021:
| Year ended December 31, | ||||||||
| 2022 | 2021 | |||||||
| (in thousands) | ||||||||
| Research and development expenses, net(1) | $ | 42,692 | 50,177 | |||||
| Commercial expenses(1) | 12,900 | 20,013 | ||||||
| General and administrative expenses(1) | 19,401 | 16,977 | ||||||
| Total operating loss | 74,993 | 87,167 | ||||||
| Financial expenses, net | 4,382 | 2,626 | ||||||
| Loss | 79,375 | 89,793 | ||||||
| (1) | Includes share-based compensation expense as follows: |
104
| Year ended December 31, | ||||||||
| 2022 | 2021 | |||||||
| (in thousands) | ||||||||
| Research and development expenses, net | $ | 1,890 | 1,384 | |||||
| Commercial expenses | 1,284 | 947 | ||||||
| General and administrative expenses | 1,867 | 1,902 | ||||||
| Total share-based compensation | $ | 5,041 | 4,233 | |||||
Research and development expenses, net
Research and development expenses, net, decreased by approximately $7.5 million to $42.7 million in the year ended December 31, 2022 from $50.2 million in the year ended December 31, 2021. The decrease was attributable mainly to a $9.0 million decrease in clinical activities relating to the conclusion of our omidubicel Phase 3 clinical trial, offset by an increase of $0.8 million in clinical activities related to GDA-201 and an increase of $0.4 million in headcount-related expenses.
Commercial expenses
Our commercial expenses decreased by approximately $7.1 million to $12.9 million in the year ended December 31, 2022 from $20.0 million in the year ended December 31, 2021. The decrease was attributable mainly to an approximately $8.2 million decrease in launch readiness activities offset by a $1.1 million increase in salaries and benefits resulting from headcount-related expenses.
General and administrative expenses
General and administrative expenses increased by approximately $2.4 million to $19.4 million in the year ended December 31, 2022, up from $17.0 million in the year ended December 31, 2021. The increase was attributable to a $1.4 million increase to our corporate headquarters and headcount related expenses, and an increase of $1.0 million in professional services expenses related to general company growth.
Financial expenses, net
Financial expenses, net, increased by approximately $1.8 million to $4.4 million in the year ended December 31, 2022, compared to $2.6 million in the year ended December 31, 2021. The increase was primarily due to $2.1 million in expenses related to the closing of our 2022 senior convertible note, offset by a $0.3 million increase in interest income from cash management.
Critical Accounting Estimates
This discussion and analysis of our consolidated financial statements has been prepared in accordance with generally accepted accounting principles in the United States, or U.S. GAAP, as set forth in the Financial Accounting Standards Board, or FASB, Accounting Standards Codification, or ASC.
Prior to 2021, we prepared our financial statements in accordance with International Financial Reporting Standards, or IFRS, as issued by the International Accounting Standards Board, or IASB, as permitted in the United States, based on our status as a foreign private issuer. At the end of the 2021 fiscal year, we lost our status as a foreign private issuer, and became subject to the U.S. domestic filer requirements, one of which requires us to prepare our consolidated financial statements in accordance with U.S. generally accepted accounting principles, or U.S. GAAP.
105
We are devoting substantially all of our efforts toward research and development activities. In the course of such activities, we have sustained operating losses and we expect such losses to continue in the foreseeable future. Our accumulated deficit as of December 31, 2022 was $416.8 million and negative cash flows from operating activities during the year ended December 31, 2022 was $70.4 million. We are planning to finance our operations from our existing and potential future working capital resources and we continue to evaluate additional sources of capital and financing. However, there is no assurance that additional capital and/or financing will be available to us, and even if available, whether it will be on acceptable terms or in the amounts required. Based on our assessment of our financial position at the date of issuance of our consolidated financial statements for the year ended December 31, 2022, we believe that our existing capital resources will be adequate to satisfy our expected liquidity requirements through the third quarter of 2023.
While our significant accounting policies are more fully described in the notes to our consolidated financial statements appearing elsewhere in this annual report on Form 10-K, we believe that the accounting policies discussed below are critical to our financial results and to the understanding of our past and future performance, as these policies relate to the more significant areas involving management’s estimates and assumptions. We consider an accounting estimate to be critical if: (i) it requires us to make assumptions because information was not available at the time or it included matters that were highly uncertain at the time we were making our estimate; and (ii) changes in the estimate could have a material impact on our financial condition or results of operations.
Convertible notes
On February 15, 2021, we entered into a Note Purchase Agreement, pursuant to which Gamida Cell Ltd.’s wholly owned U.S. subsidiary, Gamida Cell Inc., issued convertible senior notes, or the 2021 Notes, with an aggregate original principal amount of $75.0 million in a private placement. The 2021 Notes are guaranteed by Gamida Cell Ltd. pursuant to an Indenture, dated February 16, 2021, between Gamida Cell Inc., Gamida Cell Ltd., and Wilmington Savings Fund Society, FSB, which is filed as exhibit to this annual report on Form 10-K.
The 2021 Notes were issued on a senior unsecured basis, have a maturity date of February 15, 2026, bear 5.875% interest, and may be exchanged, at the election of the holder, for ordinary shares of Gamida Cell Ltd. at an initial per share price of $17.76, subject to adjustments. The net proceeds from the private placement were approximately $70.8 million after deducting placement agent fees, escrowed amounts and other expenses, and the transaction closed on February 16, 2021.
On December 12, 2022, we entered into a Loan and Security Agreement, pursuant to which Gamida Cell Inc. issued $25.0 million in aggregate principal amount in a convertible senior note, or the 2022 Note. The 2022 Note bear interest of 7.5% which will be paid on a quarterly basis and monthly principal installment payments. The 2022 Note are exchangeable, at the option of the lenders, into ordinary shares at an exchange rate of 0.52356 ordinary shares per $1.00 principal amount, together with a make-whole premium equal to all accrued and unpaid and remaining coupons due through the maturity date. The exchange rate is subject to adjustment in the event of ordinary share dividends, reclassifications and certain other fundamental transactions affecting the ordinary shares.
We account for the 2021 Notes in accordance with ASC 470-20 “Debt with Conversion and Other Options.” The 2021 Notes are accounted for as a single liability measured at its amortized cost, as no other embedded features require bifurcation and recognition as derivatives according to ASC 815-40.
We have elected the fair value option to measure the 2022 Note upon issuance, in accordance with ASC 825-10. Under the fair value option, the 2022 Note is measured at fair value each period with changes in fair value reported in the statements of operations. According to ASC 825-10, changes in fair value that are caused by changes in the instrument-specific credit risk will be presented separately in other comprehensive income (loss).
Share-based compensation
We account for share-based compensation in accordance with ASC No. 718 “Compensation - Stock Compensation,” or ASC No. 718, which requires companies to estimate the fair value of equity-based payment awards on the date of grant using an option-pricing model. The value of the award is recognized as an expense over the requisite service periods, which is the vesting period of the respective award, on a straight-line basis when the only condition to vesting is continued service. We selected the binominal option-pricing model as the most appropriate fair value method for our option awards. The fair value of restricted shares, is based on the closing market value of the underlying shares at the date of grant. Since our initial public offering, the fair value of our ordinary shares has been determined based on the closing price of our ordinary shares on the Nasdaq Global Market. We recognize forfeitures of equity-based awards as they occur.
106
Recent Accounting Pronouncements
See note 2 of the accompanying audited consolidated financial statements for the year ended December 31, 2022.
Internal Control over Financial Reporting
Failure to achieve and maintain effective internal controls in accordance with Section 404 of the Sarbanes-Oxley Act of 2002, or Section 404, could have a material adverse effect on our business, results of operation or financial condition. In addition, current and potential shareholders could lose confidence in our financial reporting, which could have a material adverse effect on the price of our ordinary shares. Pursuant to Section 404 and the related rules adopted by the SEC and the Public Company Accounting Oversight Board, our management is required to report on the effectiveness of our internal control over financial reporting. In addition, once we no longer qualify as an “emerging growth company” under the JOBS Act and lose the ability to rely on the exemptions related thereto discussed above, our independent registered public accounting firm will also need to attest to the effectiveness of our internal control over financial reporting under Section 404. We have completed the process of determining whether our existing internal controls over financial reporting systems are compliant with Section 404 and whether there are any material weaknesses or significant deficiencies in our existing internal controls. Based on this process, our management concluded that our internal controls over financial reporting were effective as of December 31, 2022.
Liquidity and Capital Resources
Sources of Liquidity
Since our inception, we have incurred losses and negative cash flows from our operations. For the years ended December 31, 2022 and December 31, 2021, we incurred a net loss of $79.4 and $89.8 million, respectively, and net cash of $70.4 million and $81.8 million, respectively, was used in our operating activities. As of December 31, 2022 and December 31, 2021 we had working capital of $42.3 million and $73.2 million, respectively, and an accumulated deficit of $413.8 million and $337.5 million, respectively. Our principal sources of liquidity as of December 31, 2022 and December 31, 2021 consisted of cash and cash equivalents and marketable securities of $64.7 million and $95.9 million, respectively.
At-the-Market Ordinary Shares Offering
On September 10, 2021, we entered into an Open Market Sale Agreement under which we have the option to offer and sell our ordinary shares having an aggregate gross sales price of up to $50 million from time to time through Jefferies LLC. Pursuant to the Open Market Sales Agreement and upon delivery of notice by the Company, Jefferies may sell our ordinary shares under an “at the market offering.” During the year ended December 31, 2022, we sold 1,540,165 ordinary shares for gross proceeds of $4.4 million, resulting in net proceeds of $4.2 million after deducting sales commissions and offering expenses of $0.2 million.
Highbridge Financings
On February 16, 2021, Gamida Cell Inc. sold $75 million of the 2021 Notes to certain funds managed by Highbridge Capital Management, LLC, which funds were accredited investors and qualified institutional buyers. The notes were sold at 100% of the principal amount thereof, are senior unsecured obligations of ours and will accrue interest at a rate of 5.875% per year. Subject to certain limitations, the holders of the notes can elect to exchange the notes for our ordinary shares at an initial exchange rate of 56.3063 shares per $1,000 principal amount of notes (equivalent to an exchange price of $17.76 per share). The sale was made in reliance on the exemption from registration afforded by Section 4(a)(2) of the Securities Act.
107
On December 12, 2022, we and our wholly owned subsidiary, Gamida Cell Inc., entered into the Loan Agreement, pursuant to which Gamida Cell Inc. borrowed an aggregate principal amount of $25.0 million through the issuance and sale of the 2022 Note to a fund managed by Highbridge Capital Management, LLC. The 2022 Note is exchangeable, at the option of the lenders, into our ordinary shares at an exchange rate of 0.52356 ordinary shares per $1.00 principal amount, together with a make-whole premium equal to all accrued and unpaid and remaining coupons due through the maturity date. The exchange rate is subject to adjustment in the event of ordinary share dividends, reclassifications and certain other fundamental transactions affecting the ordinary shares. We have fully and unconditionally guaranteed the obligations of Gamida Cell Inc. under the Loan Agreement and the 2021 Note and the obligations are secured by substantially all of our and our subsidiary’s assets. The Loan Agreement and the Notes will mature on December 12, 2024, unless earlier repurchased, redeemed or exchanged in accordance with the terms, and bear interest at the annual rate of 7.50%, payable on a quarterly basis, with the interest rate increasing to 12.00% at any time upon any event of default under the Loan Agreement or certain failures to register the resale of the ordinary shares issuable pursuant to the Note.
The Loan Agreement contains customary representations and warranties and covenants, including a $20.0 million minimum liquidity covenant and certain negative covenants restricting dispositions, changes in business and business locations, mergers and acquisitions, indebtedness, issuances of preferred stock, liens, collateral accounts, restricted payments, transactions with affiliates, compliance with laws, and issuances of capital stock. Most of these restrictions are subject to certain minimum thresholds and exceptions. Certain of the negative covenants will terminate when less than $5.0 million of principal amount is outstanding under the Loan Agreement.
Capital Resources
Overview
Through December 31, 2022, we have financed our operations primarily through private placements and public offerings of equity securities and through the grants received from the IIA. See “Note 5 – Convertible Senior Notes, Net” of our Consolidated Financial Statements for further discussion of our obligations under the 2021 Notes and 2022 Note.
Cash flows
The following table summarizes our statement of cash flows for the years ended December 31, 2022 and 2021:
| Year ended December 31, | ||||||||
| 2022 | 2021 | |||||||
| (in thousands) | ||||||||
| Net cash provided by (used in) | ||||||||
| Operating activities | $ | (70,423 | ) | (81,760 | ) | |||
| Investing activities | 34,044 | (60,921 | ) | |||||
| Financing activities | 45,144 | 71,403 | ||||||
Net cash used in operating activities
The cash used in operating activities during the aforementioned periods resulted primarily from our net losses incurred during such periods, as adjusted for non-cash charges and measurements and changes in components of working capital. Adjustments to net losses for non-cash items include share based compensation, accrued expenses and current liabilities, operating lease right-of-use assets and operating lease liabilities.
Net cash used in operating activities was $70.4 million during the year ended December 31, 2022, compared to $81.8 million used in operating activities during the year ended December 31, 2021. The $11.4 million decrease in cash used was attributable primarily due to delayed cash payments in connection with omidubicel launch readiness activities.
108
Net cash provided by (used in) investing activities
Net cash provided by investing activities was $34.0 million during the year ended December 31, 2022, compared to $60.9 million used in investing activities during the year ended December 31, 2021. The $94.9 million increase is primarily related to a decrease of $86.2 million of purchases of marketable securities and proceeds from maturity and changes in bank deposits, and, by a decrease of $8.7 million from the purchase of property and equipment.
Net cash provided by financing activities
Net cash provided by financing activities was $45.1 million during the year ended December 31, 2022, compared to $71.4 million during the year ended December 31, 2021. The $26.3 million decrease is primarily related to net proceeds of $70.8 million received from the 2021 issuance of our convertible senior notes compared to $22.8 million received from the issuance of our convertible senior notes in 2022 and $22.3 million of net proceeds received from the issuance of our ordinary shares in public offerings in 2022.
Funding Requirements
Although it is difficult to predict future liquidity requirements, we believe that our current total existing funds will be sufficient to support our ongoing operating activities through the third quarter of 2023. We cannot provide any assurance that new financing will be available to us on commercially acceptable terms, if at all. These conditions raise substantial doubt about our ability to continue as a going concern. We have based this estimate on assumptions that may prove to be wrong, and we could use our capital resources sooner than we currently expect.
If the FDA approves omidubicel, we plan to conduct a limited initial launch of omidubicel ourselves in the United States. In addition, we intend to explore commercial and strategic options for the commercialization of omidubicel both inside of and outside of the United States to ensure that as many patients as possible have access to omidubicel.
Our present and future funding requirements will depend on many factors, including, among other things:
| ● | the progress of the FDA’s priority review of our BLA filing for omidubicel; |
| ● | the costs related to obtaining regulatory approval for omidubicel and any of our other product candidates, and any delays we may encounter as a result of regulatory requirements or adverse clinical trial results with respect to any of these product candidates; |
| ● | selling, marketing and patent-related activities undertaken in connection with the commercialization of omidubicel, if approved; |
| ● | the costs involved in filing and prosecuting patent applications and obtaining, maintaining and enforcing patents or defending against claims or infringements raised by third parties, and license royalties or other amounts we may be required to pay to obtain rights to third-party intellectual property rights; and |
| ● | establishing a sales, marketing and distribution infrastructure and scaling up manufacturing capabilities to commercialize any products for which we obtain regulatory approval and determine to commercialize internally. |
We have annual operating lease obligations related to our Boston and Kiryat Gat facilities in aggregate of $0.9 million, which is included in general and administrative expenses.
Until such time, if ever, as we can generate substantial product revenue, we may finance our cash needs through a combination of equity offerings, debt financings, collaborations, strategic alliances and licensing arrangements. To the extent that we raise additional capital through the sale of equity or convertible debt securities, your ownership interest will be diluted, and the terms of any additional securities may include liquidation or other preferences that adversely affect your rights as a shareholder. Debt financing, if available, may involve agreements that include covenants limiting or restricting our ability to take specific actions, such as incurring additional debt, making capital expenditures or declaring dividends. If we raise funds through additional collaborations, strategic alliances or licensing arrangements with third parties, we may have to relinquish valuable rights to our technologies, future revenue streams, research programs or product candidates or to grant licenses on terms that may not be favorable to us.
109
Additional financing may not be available when we need it or may not be available on terms that are favorable to us. If we are unable to raise additional funds through equity or debt financings when needed, we may be required to delay, limit, reduce or terminate our product development or future commercialization efforts or grant rights to develop and market product candidates that we would otherwise prefer to develop and market ourselves. For more information as to the risks associated with our future funding needs, see “Item 1A. Risk Factors-Principal Risk Factors.”
ITEM 7A. QUANTITATIVE AND QUALITATIVE DISCLOSURES ABOUT MARKET RISK
Not applicable.
ITEM 8. FINANCIAL STATEMENTS AND SUPPLEMENTARY DATA
Our audited consolidated financial statements for the years ended December 31, 2022 and 2021 are incorporated herein by reference to pages F-1 to F-30 at the end of this report and the supplementary data is not applicable.
ITEM 9. CHANGES IN AND DISAGREEMENTS WITH ACCOUNTANTS ON ACCOUNTING AND FINANCIAL DISCLOSURE
We have had no changes in, or disagreements with our principal independent accountants.
ITEM 9A. CONTROLS AND PROCEDURES
Evaluation of Disclosure Controls and Procedures
We have established disclosure controls and procedures (as defined in Exchange Act Rule 13a–15(e) and 15d-15(e)) of the Securities Exchange Act of 1934). Under the supervision and with the participation of our management, we conducted an evaluation of the effectiveness of our disclosure controls and procedures as of December 31, 2022 to ensure that the information required to be disclosed by us in the reports that we file or submit under the Securities Exchange Act of 1934 is recorded, processed, summarized, and reported within the time periods specified in the SEC’s rules and forms. Disclosure controls and procedures include, without limitation, controls and procedures designed to ensure that information required to be disclosed by us in the reports that we file or submit under the Securities Exchange Act of 1934 is accumulated and communicated to our management, including our principal executive officer and principal financial officer as appropriate, to allow timely decisions regarding required disclosure. Our management, with participation of our principal executive officer and principal financial officer, has evaluated the effectiveness of our disclosure controls and procedures as of December 31, 2022. Based on that evaluation, our principal executive officer and principal financial officer concluded that our disclosure controls and procedures were effective as of December 31, 2022 to provide reasonable assurance that the information required to be disclosed by us in this annual report was (a) reported within the time periods specified by SEC rules and regulations and (b) communicated to our management, including our Chief Executive Officer and Chief Financial Officer, to allow timely decisions regarding any required disclosure.
Management’s Report on Internal Control Over Financial Reporting
Our management is responsible for establishing and maintaining adequate internal control over financial reporting, as such term is defined in Exchange Act Rules 13a-15(f) and 15d-15(f). Under the supervision and with the participation of our management, including our principal executive, financial and accounting officer, we conducted an evaluation of the effectiveness of our internal control over financial reporting as of December 31, 2022 based on the framework in Internal Control-Integrated Framework 2013 issued by the Committee of Sponsoring Organizations of the Treadway Commission (COSO). Based on that evaluation, our management concluded that our internal control over financial reporting was effective as of December 31, 2022.
Attestation Report of the Registered Public Accounting Firm
This annual report does not include an attestation report of our registered public accounting firm due to the Company’s emerging growth company status which provides an exemption.
110
Cybersecurity
We utilize information technology for internal and external communications with vendors, clinical sites, banks, investors and shareholders. Loss, disruption or compromise of these systems could significantly impact operations and results.
We are not aware of any material cybersecurity violation or occurrence. We believe our efforts toward prevention of such violation or occurrence, including system design and controls, processes and procedures, training and monitoring of system access, limit, but may not prevent unauthorized access to our systems.
Other than temporary disruption to operations that may be caused by a cybersecurity breach, we consider cash transactions to be the primary risk for potential loss. We and our financial institution take steps to minimize the risk by requiring multiple levels of authorization and other controls.
Changes in Internal Control Over Financial Reporting
There were no changes in our internal control over financial reporting (as defined in Exchange Act Rules 13a-15(f) and 15d-15(f)) during the fiscal quarter ended December 31, 2022 that materially affected, or are reasonably likely to materially affect, our internal control over financial reporting.
Inherent Limitations on Effectiveness of Internal Controls
In designing and evaluating the disclosure controls and procedures, management does not expect that our internal control over financial reporting will prevent or detect all errors and all fraud. A control system, no matter how well conceived and operated, can provide only reasonable, not absolute, assurance that the objectives of the control systems are met. Further, the design of a control system must reflect the fact that there are resource constraints, and the benefits of controls must be considered relative to their costs. The design of any disclosure controls and procedures also is based in part upon certain assumptions about the likelihood of future events, and there can be no assurance that any design will succeed in achieving its stated goals under all potential future conditions. Our management, including our Chief Executive Officer and Chief Financial Officer, believes that our disclosure controls and procedures and internal control over financial reporting are designed to provide reasonable assurance of achieving their objectives and are effective at the reasonable assurance level. However, our management does not expect that our disclosure controls and procedures or our internal control over financial reporting will prevent all errors and all fraud.
ITEM 9B. OTHER INFORMATION
Not applicable.
ITEM 9C. DISCLOSURE REGARDING FOREIGN JURISDICTION THAT PREVENTS INSPECTIONS
Not applicable.
111
PART III
ITEM 10. DIRECTORS, EXECUTIVE OFFICERS AND CORPORATE GOVERNANCE
Directors and Executive Officers.
The table below sets forth our directors and executive officers as of March 24, 2023. The business address for each of our executive officers and directors is c/o 116 Huntington Avenue, 7th Floor, Boston, Massachusetts 02116.
| Name | Age | Position | ||
| Abigail Jenkins | 47 | Director, Chief Executive Officer and President | ||
| Shai Lankry | 46 | Chief Financial Officer | ||
| Michele Korfin | 51 | Chief Operating and Chief Commercial Officer | ||
| Ronit Simantov | 58 | Chief Medical and Chief Scientific Officer | ||
| Josh Patterson | 47 | General Counsel and Chief Compliance Officer | ||
| Julian Adams | 68 | Director | ||
| Stephen T. Wills | 66 | Director | ||
| Kenneth I. Moch | 68 | Director | ||
| Shawn C. Tomasello | 64 | Chairwoman of the Board of Directors | ||
| Ivan Borrello | 59 | Director |
Executive Officers
Abigail Jenkins has served as our Chief Executive Officer, President and on our board of directors since September 2022. From March 2021 through August 2022, Ms. Jenkins served as Chief Commercial and Business Officer of Lyndra Therapeutics, Inc. From May 2018 to March 2021, Ms. Jenkins served as Senior Vice President and head of the Vaccines Business Unit of Emergent BioSolutions Inc. From June 2016 to May 2018, Ms. Jenkins served as Chief Commercial Officer and U.S. business head of Aquinox Pharmaceuticals, Inc. (now Neoleukin Therapeutics, Inc.). Ms. Jenkins holds a B.A. from Indiana University Bloomington and a M.S. from The Johns Hopkins University, and completed the Executive Scholar Program in General Management, Business & Leadership from Northwestern University’s Kellogg School of Management.
Shai Lankry has served as our Chief Financial Officer since April 2018. Mr. Lankry has more than 15 years of senior management experience in finance. Prior to joining Gamida Cell, from 2016 to 2018, Mr. Lankry served as a Finance Director at West Pharmaceutical Services Inc., leading the R&D and operations financials for the Israeli subsidiary. From 2013 to 2017, Mr. Lankry was the Chief Financial Officer and Israeli Site Manager of Macrocure Ltd. where he played an integral role in the company’s 2014 US initial public offering and its 2017 acquisition by Leap Therapeutics Inc. Mr. Lankry is a licensed Israeli CPA and holds an M.B.A. in Finance from Tel-Aviv University.
Michele Korfin has served as our Chief Operating and Chief Commercial Officer since August 2020. Prior to joining Gamida Cell, Ms. Korfin served as Chief Operating Officer at TYME Technologies, Inc. (Nasdaq: TYME), a biotechnology company focused on therapeutic candidates that target cancer metabolism, from 2018 until 2020. From 2016 until 2018, she was Vice President of Market Access at Kite Pharma, Inc., or Kite, a biotechnology company engaged in the development of cancer immunotherapy products that is now part of Gilead Sciences. At Kite, she oversaw the market access strategy, including payer relations, reimbursement and government affairs for Yescarta®, the first approved CAR-T therapy in lymphoma. She also worked closely with the manufacturing and supply chain teams at Kite to prepare for FDA approval and commercialization. Before joining Kite, Ms. Korfin spent more than a decade at Celgene Corporation (now part of Bristol Myers Squibb) in a variety of key strategic and operational roles, including overseeing the global development programs for Revlimid® in lymphoma and chronic lymphocytic leukemia. She also led Celgene Corporation’s oncology sales force of over 120 representatives responsible for Abraxane®, which is now a standard of care in pancreatic cancer. Ms. Korfin holds an M.B.A. from Harvard Business School and a B.S. in Pharmacy from Rutgers University. She is a Registered Pharmacist in New Jersey. She is also on the Board of Trustees of BioNJ, the organization that represents the biotechnology industry for New Jersey.
112
Ronit Simantov, M.D. has served as our Chief Medical Officer and Chief Scientific Officer since July 2017. Prior to joining Gamida Cell, Dr. Simantov served as vice president, Oncology Global Medical Affairs between January 2014 and June 2017 and as US Medical Affair Lead, Oncology Business Unit between September 2011 and December 2013 for Pfizer Inc. Prior to that, Dr. Simantov served as vice president of clinical research oncology for OSI Pharmaceuticals and as Chief Medical Officer for CuraGen Corporation (acquired by Celldex) where she led development of small molecules and antibody drug conjugates. Dr. Simantov serves on the board of directors of Tempest Therapeutics, Inc. and Clovis Oncology. Prior to joining industry, Dr. Simantov spent seven years on the academic faculty at Weill Medical College of Cornell University, where she directed the fellowship program and conducted angiogenesis and vascular biology research. Dr. Simantov has authored over 40 peer-reviewed manuscripts. Dr. Simantov holds an M.D. from New York University School of Medicine and a B.A. from Johns Hopkins University. Dr. Simantov completed a residency in internal medicine at New York Hospital Cornell Medical Center, and a fellowship in hematology and oncology at Weill Cornell Medicine.
Josh Patterson has served as our General Counsel and Chief Compliance officer since August 2021. Prior to joining Gamida Cell, Mr. Patterson served as General Counsel between March 2020 and August 2021 and as Vice President, Legal and Corporate Secretary between March 2018 and March 2020 for Akcea Therapeutics, Inc., a biotechnology company that merged with Ionis Pharmaceuticals, Inc. in 2020. Between December 2006 and March 2018, Mr. Patterson served in various leadership positions at Ionis Pharmaceuticals, Inc. (Nasdaq: IONS), a biotechnology company that specializes in discovering and developing RNA-targeted therapeutics, including as Executive Director and Deputy General Counsel. Mr. Patterson holds a B.A. from Carthage College and a J.D. from the Syracuse University College of Law.
Non-Employee Directors
Julian Adams, Ph.D., has served on our board of directors since August 2016. Dr. Adams has more than 35 years of experience in drug discovery and development. From November 2017 to September 2022, Dr. Adams served as our Chief Executive Officer, and, from 2003 to 2016, Dr. Adams held roles of increasing responsibility at Infinity Pharmaceuticals, Inc. (Nasdaq: INFI), where he built and led the company’s R&D efforts which ultimately led to the approval of duvelisib, also known as Copiktra®, for the treatment of certain leukemias and lymphomas. From 1999 to 2003, Dr. Adams served as a Senior Vice President at Millenium Pharmaceuticals, Inc., a subsidiary of the biopharmaceutical company Takeda Pharmaceutical Company Limited since 2008, where he led the development of bortezomib, also known as Velcade®, for the treatment of multiple myeloma. He has previously served on the boards of directors of numerous biotechnology companies, and currently serves as the chariman of the board of directors of Elicio Therapeutics Inc. Dr. Adams holds a B.S. from McGill University and a Ph.D. from the Massachusetts Institute of Technology in the field of synthetic organic chemistry.
Kenneth I. Moch has served on our board of directors since July 2016. Mr. Moch has more than 35 years of experience in managing and financing biomedical technologies, and has played a key role in building five life science companies. He currently serves as president of Euclidean Life Science Advisors, LLC, where he provides management and advisory services for early-stage biotechnology companies. From 2016 to 2020, Mr. Moch served as the president and chief executive officer of Cognition Therapeutics, Inc., a company developing therapies for Alzheimer’s disease. He previously was the managing partner of The Salutramed Group, LLC, and serves as the chief executive officer of several life sciences companies, including of Chimerix, Inc., an antiviral therapeutics company focused on stem cell transplantation, and Biocyte Corporation, which pioneered the use of cord blood stem cell storage and transplantation. He began his career in biotech as a co-founder of The Liposome Company, the first lipid nanoparticle company. Mr. Moch also serves as a director of Zynerba Pharmaceuticals, Inc. (Nasdaq: ZYNE). In the public policy arena, Mr. Moch served for over 15 years as a member of the governing board of the Biotechnology Innovation Organization, or BIO, including serving as Chair of BIO’s Bioethics Committee and is a previous Chairman of BioNJ. He is a Founding Member of the New York University Working Group on Compassionate Use and Pre-Approval Access, and a Faculty Affiliate of the Division of Medical Ethics, Department of Population Health, NYU School of Medicine. Mr. Moch holds an A.B. in Biochemistry from Princeton University and an M.B.A. with emphasis in Finance and Marketing from the Stanford Graduate School of Business.
113
Shawn Tomasello has served on our board of directors since June 2019 and was appointed as Chairwoman of our board of directors in March 2023. From 2015 to 2018, Ms. Tomasello as the Chief Commercial Officer of Kite Pharma. Prior to joining Kite Pharma, from 2014 to 2015, Ms. Tomasello served as the Chief Commercial Officer of Pharmacyclics Inc. (Nasdaq: PCYC), a pharmaceutical manufacturer acquired by Abbvie, Inc. From April 2005 to August 2014, Ms. Tomasello was employed at Celgene Corporation, most recently as President of the Americas, Hematology and Oncology, where she was responsible for all aspects of the commercial organization encompassing multiple brands spanning 11 indications. Ms. Tomasello serves on the board of directors of 4D Molecular Therapeutics, Inc. (Nasdaq: FDMT), TCR2 Therapeutics Inc. (Nasdaq: TCRR), AlloVir, Inc. (Nasdaq: ALVR), as well as Centrexion Therapeutics Corporation and Orna Therapeutics, Inc. Ms. Tomasello holds a B.S. in Marketing from the University of Cincinnati and her M.B.A. from Murray State University, Kentucky.
Stephen T. Wills has served on our board of directors since June 2019. Mr. Wills currently serves as the Chief Financial Officer (since 1997), and Chief Operating Officer (since 2011), of Palatin Technologies, Inc. (NYSE: PTN), a biopharmaceutical company developing targeted, receptor-specific peptide therapeutics for the treatment of diseases with significant unmet medical need and commercial potential. Mr. Wills has served on the boards of directors of MediWound Ltd. (Nasdaq: MDWD), since April 2017, and as Chairman since January 2018, and of Amryt Pharma, plc (Nasdaq: AMYT), a biopharmaceutical company focused on developing and delivering treatments to help improve the lives of patients with rare and orphan diseases, since September 2019 (Chairman of audit committee and member of the finance committee). Mr. Wills also serves on the board of trustees and executive committee of The Hun School of Princeton, a college preparatory day and boarding school, since 2013, and its Chairman since June 2018. Mr. Wills served on the board of directors of Caliper Corporation, a psychological assessment and talent development company, since March 2016, and as Chairman from December 2016 to December 2019, when Caliper was acquired by PSI Corporation. Mr. Wills, a certified public accountant, holds a B.S. in accounting from West Chester University, and an M.S. in taxation from Temple University.
Ivan Borrello, M.D., has served on our board of directors since June 2022. Dr. Borrello has served as an Associate Professor of Oncology at the Sidney Kimmel Comprehensive Cancer Center at Johns Hopkins University School of Medicine since 2008. He is also an Attending Physician at The Johns Hopkins Hospital and Director of the Cellular Therapeutics and Multiple Myeloma programs. Dr. Borrello is a co-founder of WindMIL Therapeutics where he has served as senior clinical advisor since 2014, and is a co-founder of Meridian Therapeutics where he has served as senior clinical advisor since 2021. From 2001 to 2008, he was an Assistant Professor of Immunotherapy and Hematopoiesis, Hematologic Malignancies at Johns Hopkins Oncology Center. Dr. Borrello holds a B.A. in Biology from Catholic University and an M.D. from the Medical College of Virginia.
Diversity of the Board of Directors.
| Board Diversity Matrix (As of March 24, 2023) | ||||||||||||||||
| Total Number of Directors | 6 | |||||||||||||||
| Female | Male | Non-Binary | Did Not Disclose Gender | |||||||||||||
| Part I: Gender Identity | ||||||||||||||||
| Directors | 2 | 4 | - | - | ||||||||||||
| Part II: Demographic Background | ||||||||||||||||
| African American or Black | - | - | - | - | ||||||||||||
| Alaskan Native or Native American | - | - | - | - | ||||||||||||
| Asian | - | - | - | - | ||||||||||||
| Hispanic or Latinx | - | - | - | - | ||||||||||||
| White | 2 | 4 | - | - | ||||||||||||
| Two or More Races or Ethnicities | - | - | - | - | ||||||||||||
| LGBTQ+ | 1 | - | - | - | ||||||||||||
| Did Not Disclose Demographic Background | - | - | - | - | ||||||||||||
Delinquent Section 16(a) Reports
Section 16(a) of the Exchange Act requires our directors and executive officers, and persons who own more than 10% of a registered class of our equity securities, to file with the SEC initial reports of ownership and reports of changes in ownership of our ordinary shares and other equity securities. Officers, directors and greater than 10% shareholders are required by SEC regulation to furnish us with copies of all Section 16(a) forms they file. Based solely on our review of the reports filed with the SEC and written representations that no other reports were required under Section 16(a) of the Exchange Act, we believe that all Section 16(a) filing requirements were met during the 2022 fiscal year, with the exception of: one Form 3 filed late on behalf of Dr.. Simantov; one Form 4 reporting one transaction filed late on behalf of Dr.. Simantov; and one Form 4 reporting one transaction filed late on behalf of Dr. Adams, due to technical administrative errors.
114
Code of Ethics
We have adopted a written code of business conduct and ethics that applies to our directors, officers and employees, including our principal executive officer, principal financial and accounting officer or controller, or persons performing similar functions, known as the Code of Ethics and Business Conduct. The Code of Ethics and Business Conduct is available on our website at https://www.gamida-cell.com under the Corporate Governance section of our Investors & Media page. If we make any substantive amendments to, or grant any waivers from, the code of business conduct and ethics for any officer or director, we will disclose the nature of such amendment or waiver on our website or in a current report on Form 8-K.
Material Changes to Procedures by which Shareholders may Recommend Nominees
Not applicable.
Board Practices
Our amended and restated articles of association provide that we may have between 5 and 11 directors. Our board of directors currently consists of six directors. Our board of directors has determined that Shawn Tomasello, Stephen Wills, Kenneth Moch and Ivan Borrello are independent directors within the meaning of the applicable Nasdaq listing standards. In making this determination, the Board found that none of these directors or nominees for director had a material or other disqualifying relationship with us. Our directors are divided into three classes with staggered three-year terms. Each class of directors consists, as nearly as possible, of one-third of the total number of directors constituting the entire board of directors. At each annual general meeting of our shareholders, the election or re-election of directors following the expiration of the term of office of the directors of that class of directors will be for a term of office that expires on the third annual general meeting following such election or re-election, such that from 2019 and after, at each annual general meeting the term of office of only one class of directors will expire. Each director will hold office until the annual general meeting of our shareholders in which his or her term expires, unless they are removed by a vote of 60% of the total voting power of our shareholders at a general meeting of our shareholders or upon the occurrence of certain events, in accordance with the Companies Law and our amended and restated articles of association.
Our directors are divided among the three classes as follows:
(i) the Class I directors are Abigail Jenkins, Shawn Tomasello and Stephen T. Wills, and their terms will expire at the annual general meeting of the shareholders to be held in 2025 and when their successors are elected and qualified;
(ii) the Class II director is Kenneth I. Moch and his term will expire at the annual general meeting of the shareholders to be held in 2023 and when his successor is elected and qualified; and
(iii) the Class III directors are Julian Adams and Ivan Borrello, and their terms will expire at the annual general meeting of the shareholders to be held in 2024 and when their successors are elected and qualified.
Because our ordinary shares do not have cumulative voting rights in the election of directors, the holders of a majority of the voting power represented at a shareholders meeting have the power to elect all our directors up for election or re-election.
115
In addition, if a director’s office becomes vacant, the remaining serving directors may continue to act in any manner, provided that their number is not less than the minimum number specified in our amended and restated articles of association. If the number of serving directors is lower than five, then our board of directors may only act in an emergency or to fill the office of director which has become vacant up to a number equal to the minimum number provided for in our amended and restated articles of association, or in order to call a general meeting of our shareholders for the purpose of electing directors to fill any of our vacancies. In addition, the directors may appoint, immediately or as of a future date, additional director(s) to serve until the annual general meeting of our shareholders at which the term of the applicable class to which such director was assigned expires, provided that the total number of directors in office shall not exceed 11 directors. The office of a director that was appointed by our board of directors to fill any vacancy shall only be for the remaining period of time during which the director whose service has ended and so filled would have held office.
Pursuant to the Companies Law and our amended and restated articles of association, a resolution proposed at any meeting of our board of directors at which a quorum is present is generally adopted if approved by a vote of a majority of the directors present and eligible to vote. A quorum of the board of directors requires at least a majority of the directors then in office who are lawfully entitled to participate in the meeting. On July 27, 2022 our shareholders approved certain amendments to our amended and restated articles of association, which require an affirmative vote of two-thirds of the directors in order to approve certain transactions which may have a significant effect on our company and to approve certain business combinations with any shareholder (and its affiliates) who holds (beneficially or of record) 20% or more of the voting power in the Company and an affirmative vote of a majority of the directors to amend our amended and restated articles of association. See Exhibit 4.1 – “Description of Securities” for more information.
Under the Companies Law, the chief executive officer of a public company may not serve as the chairman of the board of directors of the company unless approved by the holders of a majority of the shares of the company represented at the meeting in person or by proxy or written ballot, for a period that shall not exceed three years for each shareholder approval, provided that:
| ● | at least a majority of the shares of non-controlling shareholders or shareholders that do not have a personal interest in the approval voted at the meeting are voted in favor (disregarding abstentions); or |
| ● | the total number of shares of non-controlling shareholders or shareholders that do not have a personal interest in the approval voted against the proposal does not exceed 2% of the aggregate voting rights in the company. |
In addition, under the Companies Law, our board of directors must determine the minimum number of directors who are required to have financial and accounting expertise. Under applicable regulations, a director with financial and accounting expertise is a director who, by reason of his or her education, professional experience and skill, has a high level of proficiency in and understanding of business accounting matters and financial statements. He or she must be able to thoroughly comprehend the financial statements of the listed company and initiate debate regarding the manner in which financial information is presented. In determining the number of directors required to have such expertise, the board of directors must consider, among other things, the type and size of the company and the scope and complexity of its operations. Our board of directors has determined that we require at least one director with the requisite financial and accounting expertise. Stephen T. Wills has such financial and accounting expertise.
Observers
Novartis Pharma A.G., or Novartis, has the right to appoint a non-voting observer to our board of directors, subject to them holding at least 4% of the total voting power of our shareholders.
Alternate directors
Our amended and restated articles of association provide, as allowed by the Companies Law, that any director may, by written notice to us, appoint another person who is qualified to serve as a director to serve as an alternate director. The alternate director will be regarded as a director. Under the Companies Law, a person who is not qualified to be appointed as a director, a person who is already serving as a director or a person who is already serving as an alternate director for another director, may not be appointed as an alternate director. Nevertheless, a director who is already serving as a director may be appointed as an alternate director for a member of a committee of the board of directors as long as he or she is not already serving as a member of such committee. The term of appointment of an alternate director may be for one meeting of the board of directors or until notice is given of the cancellation of the he appointment.
116
External directors
Under the Companies Law, companies incorporated under the laws of the State of Israel that are “public companies,” including companies with shares listed on The Nasdaq Global Market, are required to appoint at least two external directors.
Pursuant to regulations promulgated under the Companies Law, companies with shares traded on a U.S. stock exchange, including The Nasdaq Global Market, may, subject to certain conditions, “opt out” from the Companies Law requirements to appoint external directors and related Companies Law rules concerning the composition of the audit committee and compensation committee of the board of directors. In accordance with these regulations, we elected to “opt out” from the Companies Law requirement to appoint external directors and related Companies Law rules concerning the composition of the audit committee and compensation committee of the board of directors.
Under these regulations, the exemptions from such Companies Law requirements will continue to be available to us so long as: (i) we do not have a “controlling shareholder” (as such term is defined under the Companies Law), (ii) our shares are traded on a U.S. stock exchange, including The Nasdaq Global Market, and (iii) we comply with the director independence requirements, the audit committee and the compensation committee composition requirements, under U.S. laws (including applicable Nasdaq Rules) applicable to U.S. domestic issuers.
Compensation and talent committee
Under the Companies Law, the board of directors of any public company must appoint a compensation committee. Our compensation and talent committee, which consists of Stephen T. Wills, Kenneth I. Moch and Shawn C. Tomasello, assists our board of directors in determining compensation for our directors and officers. Mr. Moch serves as chairperson of the committee. Our board of directors has determined that each member of our compensation committee is independent under the Nasdaq Rules, including the additional independence requirements applicable to the members of a compensation committee.
The function of the compensation and talent committee is described in the approved charter of the committee and includes, among other things, (a) assisting the board in fulfilling its oversight responsibilities with respect to our compensation policies, plans and programs, and to review and recommend to the board for approval the compensation to be paid to our executive officers and directors; (b) assisting the board in fulfilling its responsibilities to ensure processes and programs are in place to attract, motivate, reward and retain top talent to the our executive officer ranks; (c) review and discuss with management our disclosures contained under the caption “Compensation Discussion and Analysis, when and as required by applicable rules and regulations of the SEC in effect from time to time, for use in any of our annual reports on Form 10-K, registration statements, proxy statements or information statements filed with the SEC; (d) preparing and reviewing, as applicable, certain reports and disclosures as required by applicable rules and regulations in effect from time to time; (e) assisting the board in fulfilling its responsibilities related to the compensation of directors, the chief executive officer and other “office holders” (as defined under the Companies Law); (f) assisting the Board in administering our equity incentive plans; and (g) making such other determinations in respect of compensation, compensation practices and related matters as may be required by a compensation committee under the rules of Nasdaq Stock Market or the Companies Law.
A copy of the compensation and talent committee charter is available on the “Investors & Media - Corporate Governance - Documents & Charters” page of our website www.gamida-cell.com.
Nominating and corporate governance committee
Our nominating and corporate governance committee consists of Kenneth Moch and Ivan Borrello. Mr. Moch serves as chairperson of the committee. The function of the nominating and corporate governance committee is described in the approved charter of the committee and includes, among other things: (a) identifying, reviewing and evaluating candidates to serve as members of the board of directors; (b) recommending nominees for election as directors, and reviewing and evaluation of incumbent members of the board of directors; (c) making recommendations to the board of directors regarding corporate governance guidelines and matters; and (d) overseeing all aspects of our corporate governance functions and ethical conduct.
117
A copy of the nominating and corporate governance committee charter is available on the “Investors & Media - Corporate Governance - Documents & Charters” page of our website www.gamida-cell.com.
Science and technology committee
In July 2020, the board of directors formed a science and technology committee. The science and technology committee consists of Julian Adams and Ivan Borrello. The function of the science and technology committee is described in the approved charter of the committee, and includes the review of Company matters relating to scientific and technologic capabilities and programs, reporting to the board of directors regarding such review to help facilitate the board of director’s oversight of our scientific strategic direction and investment in R&D and technology. The committee also discusses significant emerging trends and issues in science and technology and considers the potential impact thereof on us.
Compliance committee
In August 2021, the board of directors formed a compliance committee, which consists of Shawn C. Tomasello and Julian Adams. Ms. Tomasello serves as chairperson of the committee. The function of the compliance committee is described in the approved charter of the committee and includes assisting the board of directors in overseeing our development, operation and monitoring of a compliance program consistent with the Office of Inspector General’s compliance program guidance for pharmaceutical manufacturers (and any foreign equivalent guidance provided by relevant authorities outside the United States), as well as the identification and evaluation of our principal legal and regulatory compliance risks attendant to operating in the health care and life sciences industry.
Audit committee
Under the Companies Law, the board of directors of any public company must appoint an audit committee. Our audit committee consists of Stephen Wills, Kenneth I. Moch and Shawn Tomasello. Mr. Wills serves as chairperson of the committee. Our board of directors affirmatively determined that Stephen Wills is an audit committee financial expert as defined by the SEC rules and has the requisite financial experience as defined by the Nasdaq Stock Market Listing Rules.
The function of the audit committee is described in the approved charter of the committee and includes, among other things, (a) overseeing our accounting and financial reporting processes, the audit of our financial statements, the effectiveness of our internal control over financial reporting, systems of disclosure controls and procedures, the quality and integrity of our financial statements and reports, and prepare such reports as may be required of an audit committee under applicable rules and regulations, and the pre-approval of all audit, audit-related and all permitted non-audit services, if any, by our independent auditor, and the compensation therefor; (b) deciding whether to approve certain acts and transactions requiring the approval of the committee under the Companies Law; (c) assisting the board of directors in its oversight of (i) the integrity of our financial statements and other published financial information, (ii) our compliance with applicable financial and accounting related standards, rules and regulations and (iii) the selection, retention (subject to shareholder approval), and termination of our independent auditor; (d) determining whether there are delinquencies in our business management practices, inter alia, by consulting with our internal auditor or independent auditor, and to suggesting corrective measures to the board of directors; and (e) fulfilling any other duties of the committee as shall be required under the Companies Law, the applicable rules and regulations promulgated under the Exchange Act or applicable Nasdaq rules.
A copy of the audit committee charter is available on the “Investors & Media - Corporate Governance - Documents & Charters” page of our website www.gamida-cell.com.
118
Approval of transactions with related parties
Under the Companies Law, the approval of the audit committee is required to effect specified actions and transactions with office holders and controlling shareholders and their relatives, or in which they have a personal interest. See “Fiduciary duties and approval of specified related party transactions under Israeli law” below. The term “controlling shareholder” means any shareholder with the ability to direct the activities of the company, other than by virtue of being an office holder. A shareholder is presumed to be a controlling shareholder if the shareholder holds 50% or more of the voting rights in a company or has the right to appoint 50% or more of the directors of the company or its chief executive officer. For the purpose of approving transactions with controlling shareholders, the term “controlling shareholder” also includes any shareholder that holds 25% or more of the voting rights of the company if no other shareholder holds more than 50% of the voting rights in the company. For purposes of determining the holding percentage stated above, two or more shareholders who have a personal interest in a transaction that is brought for the company’s approval are deemed as joint holders. As of the date of this annual report on Form 10-K, we do not have a controlling shareholder as defined under the Companies Law.
Internal auditor
Under the Companies Law, the board of directors of a public company must appoint an internal auditor based on the recommendation of the audit committee. The role of the internal auditor is, among other things, to examine whether a company’s actions comply with applicable law and orderly business procedure. Under the Companies Law, the internal auditor cannot be an interested party or an office holder or a relative of an interested party or an office holder, nor may the internal auditor be the company’s independent auditor or its representative. An “interested party” is defined in the Companies Law as: (i) a holder of 5% or more of the issued share capital or voting power in a company, (ii) any person or entity who has the right to designate one or more directors or to designate the chief executive officer of the company, or (iii) any person who serves as a director or as a chief executive officer of the company. Our internal auditor is Yisrael Gewirtz, who serves as a partner at Fahn Kanne Control Management Ltd.
Fiduciary duties and approval of specified related party transactions under Israeli law
Fiduciary duties of office holders
The Companies Law imposes a duty of care and a duty of loyalty on all office holders of a company.
The duty of care of an office holder is based on the duty of care set forth in connection with the tort of negligence under the Israeli Torts Ordinance (New Version), 5728-1968. The duty of care requires an office holder to act with the degree of proficiency with which a reasonable office holder in the same position would have acted under the same circumstances. The duty of care includes, among others, a duty to use reasonable means, in light of the circumstances, to obtain:
| ● | information on the advisability of a given action brought for his or her approval or performed by virtue of his or her position; and |
| ● | all other important information pertaining to these actions. |
The duty of loyalty requires an office holder to act in good faith and for the benefit of the company, and includes, among others, the duty to:
| ● | refrain from any act involving a conflict of interest between the performance of his or her duties in the company and his or her other duties or personal affairs; |
| ● | refrain from any activity that is competitive with the business of the company; |
| ● | refrain from exploiting any business opportunity of the company for the purpose of gaining a personal benefit for himself or herself or for others; and |
| ● | disclose to the company any information or documents relating to the company’s affairs which the office holder received as a result of his or her position as an office holder. |
119
We may approve an act specified above that would otherwise constitute a breach of the duty of loyalty of an office holder, provided, that the office holder acted in good faith, the act or its approval does not harm the company, and the office holder discloses his or her personal interest, including any related material information or document, a sufficient time before the approval of such act. Any such approval is subject to the terms of the Companies Law, setting forth, among other things, the stakeholders of the company entitled to provide such approval, and the methods of obtaining such approval.
Disclosure of personal interests of an office holder and approval of acts and transactions
The Companies Law requires that an office holder promptly disclose to the company any personal interest that he or she may have and all related material information or documents relating to any existing or proposed transaction with the company. An interested office holder’s disclosure must be made promptly and, in any event no later than the first meeting of the board of directors at which the transaction is considered. An office holder is not obliged to make such disclosure if the personal interest of the office holder derives solely from the personal interest of his or her relative in a transaction that is not considered as an extraordinary transaction.
Under the Companies Law, once an office holder has complied with the above disclosure requirements, a company may approve a transaction between the company and the office holder or a third-party in which the office holder has a personal interest, or approve an action by the office holder that would otherwise be deemed a breach of duty of loyalty; however, a company may not approve a transaction or action that is not performed by the office holder in good faith or unless it is in the company’s interest.
Under the Companies Law, unless the articles of association of a company provide otherwise, a transaction with an office holder or a transaction with a third party in which the office holder has a personal interest and an action of an office holder that would otherwise be deemed a breach of duty of loyalty, which is not an extraordinary transaction, requires approval of the board of directors. Our amended and restated articles of association do not provide otherwise.
Under the Companies Law, an extraordinary transaction in which an office holder has a personal interest requires approval first by the company’s audit committee and subsequently by the board of directors. The compensation of, or an undertaking to indemnify or insure, an office holder who is not a director requires approval first by the company’s compensation committee, then by the company’s board of directors, and, if such compensation arrangement or an undertaking to indemnify or insure is inconsistent with the company’s stated compensation policy or if the office holder is the chief executive officer (subject to a number of exceptions), then such arrangement is subject to a Special Approval for Compensation. Arrangements regarding the compensation, indemnification or insurance of a director or the chief executive officer of the company require the approval of the compensation committee, board of directors and, subject to certain exceptions, shareholders by an ordinary majority, in that order, and in the case of the chief executive officer or under certain circumstances, a Special Approval for Compensation.
A director who has a personal interest in a matter that is considered at a meeting of the board of directors or the audit committee may generally not be present at the meeting or vote on the matter unless a majority of the directors or members of the audit committee have a personal interest in the matter, or unless the chairman of the audit committee or board of directors (as applicable) determines that he or she should be present to present the transaction that is subject to approval. If a majority of the directors have a personal interest in the matter, such matter also requires approval of the shareholders of the company.
Under the Companies Law, the definition of a “personal interest” includes the personal interest of a person in an action or a transaction of a company, including the personal interest of such person’s relative or the interest of any corporation in which the person and/or such person’s relative is a director or chief executive officer, a 5% or more shareholder or holds 5% or more of the voting rights, or has the right to appoint at least one director or the chief executive officer, but excluding a personal interest stemming solely from the fact of holding shares in the company. A personal interest also includes (1) a personal interest of a person who votes according to a proxy of another person, including in the event that the other person has no personal interest, and (2) a personal interest of a person who gave the proxy to another person to vote on his or her behalf, regardless of whether the proxy holder has discretion how to vote on the matter.
120
Under the Companies Law, an “extraordinary transaction” which requires approval is defined as any of the following:
| ● | a transaction other than in the ordinary course of business; |
| ● | a transaction that is not on market terms; or |
| ● | a transaction that may have a material impact on the company’s profitability, assets or liabilities. |
An extraordinary transaction in which an office holder has a personal interest requires approval of the company’s audit committee followed by the approval of the board of directors.
Disclosure of personal interests of a controlling shareholder and approval of transactions
Under the Companies Law, the disclosure requirements that apply to an office holder also apply to a controlling shareholder of a public company. See “Item 10. Directors, Executive Officers and Corporate Governance-Board Practices - Audit committee-Approval of transactions with related parties” for a definition of controlling shareholder. Unless exempted under the Companies Law, extraordinary transactions with a controlling shareholder or in which a controlling shareholder has a personal interest, which includes transactions for the provision of services by a controlling shareholder or his or her relative, whether directly or indirectly, including through a company controlled by such controlling shareholder, and if such controlling shareholder or relative thereof is an office holder in the company, any transactions regarding his or her terms of office, require the approval of the audit committee, the board of directors and a majority of the shares voted by the shareholders of the company participating and voting on the matter in a shareholders’ meeting. In addition, the shareholder approval must fulfill one of the following requirements, which we refer to as a Special Majority:
| ● | at least a majority of the shares held by shareholders who do not have a personal interest in the transaction and are voting at the meeting must be voted in favor of approving the transaction, excluding abstentions; or |
| ● | the shares voted by shareholders who do not have a personal interest in the transaction who vote against the transaction represent no more than 2% of the voting rights in the company. |
In addition, any extraordinary transaction with a controlling shareholder or in which a controlling shareholder has a personal interest with a term of more than three years requires approval once every three years, unless, with respect to certain transactions that are not related to provision of services or terms of office, the audit committee determines that the longer duration of the transaction is reasonable given the circumstances related thereto.
Arrangements regarding the compensation, indemnification or insurance of a controlling shareholder in his or her capacity as an office holder require the approval of the compensation committee, board of directors and shareholders by a Special Majority and the terms thereof may not be inconsistent with the company’s stated compensation policy.
Pursuant to regulations promulgated under the Companies Law, certain transactions and arrangements with a controlling shareholder or his or her relative, or with directors or office holders, which would otherwise require approval of a company’s shareholders, may be exempt from shareholder approval under certain conditions.
121
Compensation of Directors and Executive Officers
Directors. The Companies Law requires the approval of the compensation of a public company’s directors (including directors who serve as executive officers and the chief executive officer) in the following order: (i) the compensation committee, (ii) the board of directors and, (iii) unless exempted under regulations promulgated under the Companies Law, the approval of the shareholders at a general meeting. If the compensation of our directors is inconsistent with our stated compensation policy, then, those provisions that must be included in the compensation policy according to the Companies Law must have been considered by the compensation committee and board of directors, and shareholder approval will also be required, provided that:
| ● | at least a majority of the shares held by all shareholders who are not controlling shareholders and do not have a personal interest in such matter, present and voting at such meeting, are voted in favor of the compensation package, excluding abstentions; or |
| ● | the total number of shares of non-controlling shareholders and shareholders who do not have a personal interest in such matter voting against the compensation package does not exceed 2% of the aggregate voting rights in the company. |
Executive officers other than the chief executive officer. The Companies Law requires the approval of the compensation of a public company’s executive officers (other than an officer who is also a director and the chief executive officer) in the following order: (i) the compensation committee, (ii) the company’s board of directors, and (iii) if such compensation arrangement is inconsistent with the company’s stated compensation policy, the company’s shareholders (by a special majority vote as discussed above with respect to the approval of director compensation).
However, if the shareholders of the company do not approve a compensation arrangement with an executive officer that is inconsistent with the company’s stated compensation policy, the compensation committee and board of directors may override the shareholders’ decision if each of the compensation committee and the board of directors provide detailed reasons for their decision in accordance with the Companies Law.
An amendment to an existing arrangement with an office holder who is not the chief executive officer or a director requires only the approval of the compensation committee, if the compensation committee determines that the amendment is not material in comparison to the existing arrangement. However, according to regulations promulgated under the Companies Law, an amendment to an existing arrangement with an office holder who is subordinate to the chief executive officer (and who is not a director) shall not require the approval of the compensation committee, if (i) the amendment is approved by the chief executive officer and the company’s compensation policy determines that a non-material amendment to the terms of service of an office holder (other than the chief executive officer) may be approved by the chief executive officer and (ii) the engagement terms are consistent with the company’s compensation policy.
Chief executive officer. Under the Companies Law, the compensation of a public company’s chief executive officer (who is not a director) is required to be approved by: (i) the company’s compensation committee; (ii) the company’s board of directors, and (iii) the company’s shareholders (by a special majority vote as discussed above with respect to the approval of director compensation). However, if the shareholders of the company do not approve the compensation arrangement with the chief executive officer and, provided that he or she is not also a director, the compensation committee and board of directors may override the shareholders’ decision if each of the compensation committee and the board of directors provide a detailed report for their decision in accordance with the Companies Law. The approval of each of the compensation committee and the board of directors should be in accordance with the company’s stated compensation policy; however, in special circumstances, they may approve compensation terms of a chief executive officer that are inconsistent with such policy provided that they have considered those provisions that must be included in the compensation policy according to the Companies Law and that shareholder approval was obtained (by a special majority vote as discussed above with respect to the approval of director compensation).
In addition, in the case of a new chief executive officer, the compensation committee may waive the shareholder approval requirement with regards to the approval of the engagement terms of a candidate for the chief executive officer position, if they determine that the compensation arrangement is consistent with the company’s stated compensation policy, and that the chief executive officer did not have a prior business relationship with the company or a controlling shareholder of the company and that subjecting the approval of the engagement to a shareholder vote would impede the company’s ability to employ the chief executive officer candidate.
122
Duties of Shareholders
Under the Companies Law, a shareholder has a duty to refrain from abusing its power in the company and to act in good faith and in an acceptable manner in exercising its rights and performing its obligations to the company and other shareholders, including, among other things, when voting at general meetings of shareholders on the following matters:
| ● | an amendment to the articles of association; |
| ● | an increase in the company’s authorized share capital; |
| ● | a merger; and |
| ● | the approval of related party transactions and acts of office holders that require shareholder approval. |
A shareholder also has a general duty to refrain from discriminating against other shareholders.
The remedies generally available upon a breach of contract will also apply to a breach of the above-mentioned shareholder duties, and in the event of discrimination against other shareholders, additional remedies are available to the injured shareholder.
In addition, any controlling shareholder, any shareholder that knows that its vote can determine the outcome of a shareholder vote and any shareholder that, under a company’s articles of association, has the power to appoint or prevent the appointment of an office holder, or any other power with respect to the company, has a duty to act with fairness towards the company. The Companies Law does not describe the substance of this duty, except to state that the remedies generally available upon a breach of contract will also apply in the event of a breach of the duty to act with fairness, taking the shareholder’s position in the company into account.
Approval of Private Placements
Under the Companies Law and the regulations promulgated thereunder, a private placement of securities does not require approval at a general meeting of the shareholders of a company; provided however, that in special circumstances, such as a private placement completed in lieu of a special tender offer or a private placement which qualifies as a related party transaction (see “Item 10. Directors, Executive Officers and Corporate Governance-Board Practices-Fiduciary duties and approval of specified related party transactions under Israeli law”), approval at a general meeting of the shareholders of a company is required.
Exculpation, Insurance and Indemnification of Office Holders
Under the Companies Law, a company may not exculpate an office holder from liability for a breach of the duty of loyalty. A company may exculpate an office holder in advance from liability to the company, in whole or in part, for damages caused to the company as a result of a breach of the duty of care but only if a provision authorizing such exculpation is included in its articles of association. Our amended and restated articles of association include such a provision. An Israeli company may not exculpate a director from liability arising out of a breach of the duty of care with respect to a dividend or distribution to shareholders.
Under the Companies Law and the Securities Law, 5738-1968, or the Securities Law, a company may indemnify an office holder in respect of the following liabilities, payments and expenses incurred for acts performed as an office holder, either pursuant to an undertaking made in advance of an event or following an event, provided a provision authorizing such indemnification is contained in its articles of association:
| ● | a monetary liability incurred by or imposed on him or her in favor of another person pursuant to a judgment, including a settlement or arbitrator’s award approved by a court. However, if an undertaking to indemnify an office holder with respect to such liability is provided in advance, then such undertaking must be limited to certain events which, in the opinion of the board of directors, can be foreseen based on the company’s activities when the undertaking to indemnify is given, and to an amount or according to criteria determined by the board of directors as reasonable under the circumstances, and such undertaking shall detail the foreseen events and described above amount or criteria; |
| ● | reasonable litigation expenses, including reasonable attorneys’ fees, incurred by the office holder as (1) a result of an investigation or proceeding instituted against him or her by an authority authorized to conduct such investigation or proceeding, provided that (i) no indictment was filed against such office holder as a result of such investigation or proceeding; and (ii) no financial liability was imposed upon him or her as a substitute for the criminal proceeding as a result of such investigation or proceeding or, if such financial liability was imposed, it was imposed with respect to an offense that does not require proof of criminal intent; or (2) in connection with a monetary sanction; a monetary liability imposed on him or her in favor of an injured party at an Administrative Procedure (as defined below) pursuant to Section 52(54)(a)(1)(a) of the Securities Law; |
123
| ● | expenses incurred by an office holder or certain compensation payments made to an injured party that were instituted against an office holder in connection with an Administrative Procedure under the Securities Law, including reasonable litigation expenses and reasonable attorneys’ fees; and |
| ● | reasonable litigation expenses, including attorneys’ fees, incurred by the office holder or imposed by a court in proceedings instituted against him or her by the company, on its behalf or by a third party or in connection with criminal proceedings in which the office holder was acquitted or as a result of a conviction for an offense that does not require proof of criminal intent. |
“Administrative Procedure” is defined as a procedure pursuant to chapters H3 (Monetary Sanction by the Israeli Securities Authority), H4 (Administrative Enforcement Procedures of the Administrative Enforcement Committee) or I1 (Arrangement to prevent Procedures or Interruption of procedures subject to conditions) to the Securities Law.
Under the Companies Law and the Securities Law, a company may insure an office holder against the following liabilities incurred for acts performed by him or her as an office holder if and to the extent provided in the company’s articles of association:
| ● | a breach of duty of care to the company or to a third party, to the extent such a breach arises out of the negligent conduct of the office holder; |
| ● | a breach of duty of loyalty to the company, provided that the office holder acted in good faith and had a reasonable basis to believe that the act would not harm the company; |
| ● | a monetary liability imposed on the office holder in favor of a third party; |
| ● | a monetary liability imposed on the office holder in favor of an injured party at an Administrative Procedure pursuant to Section 52(54)(a)(1)(a) of the Securities Law; and |
| ● | expenses incurred by an office holder in connection with an Administrative Procedure instituted against him or her, including reasonable litigation expenses and reasonable attorneys’ fees. |
Under the Companies Law, a company may not indemnify, exculpate or insure an office holder against any of the following:
| ● | a breach of duty of loyalty, except for indemnification and insurance for a breach of the duty of loyalty to the company to the extent that the office holder acted in good faith and had a reasonable basis to believe that the act would not harm the company; |
| ● | a breach of the duty of care committed intentionally or recklessly, excluding a breach arising out of the negligent conduct of the office holder; |
| ● | an act or omission committed with intent to derive illegal personal benefit; or |
| ● | a fine, monetary sanction or forfeit levied against the office holder. |
Under the Companies Law, exculpation, indemnification and insurance of office holders must be approved by the compensation committee and the board of directors and, with respect to certain office holders or under certain circumstances, also by the shareholders. See “Item 10. Directors, Executive Officers and Corporate Governance-Board Practices-Fiduciary duties and approval of specified related party transactions under Israeli law.”
Our amended and restated articles of association permit us to, exculpate, indemnify and insure our office holders as permitted under the Companies Law. Our office holders are currently covered by a directors and officers’ liability insurance policy. As of the date of this registration statement, no claims for directors’ and officers’ liability insurance have been filed under this policy, we are not aware of any pending or threatened litigation or proceeding involving any of our directors or officers in which indemnification is sought, nor are we aware of any pending or threatened litigation that may result in claims for indemnification by any director or officer.
We have entered into agreements with each of our directors and executive officers exculpating them, to the fullest extent permitted by law, from liability to us for damages caused to us as a result of a breach of duty of care, and undertaking to indemnify them to the fullest extent permitted by law. The insurance is subject to our discretion depending on its availability, effectiveness and cost. Effective as November 17, 2021, the maximum amount set forth in such agreements is (1) with respect to indemnification in connection with a public offering of our securities by us, the gross proceeds raised by us and/or any selling shareholder in such public offering, and (2) with respect to all other permitted indemnification, the greater of (i) an amount equal to 25% of our shareholders’ equity on a consolidated basis, according to our most recent financial statements as of the time of the actual payment of indemnification; (ii) $150 million and (iii) 40% of the Company Total Market Cap, which means the average closing price of our ordinary shares over the 30 trading days prior to the actual payment of indemnification multiplied by the total number of our issued and outstanding shares as of the date of actual payment). In the opinion of the SEC, indemnification of directors and executive officers for liabilities arising under the Securities Act however, is against public policy and therefore unenforceable.
124
ITEM 11. EXECUTIVE COMPENSATION
Summary Compensation Table
The table below provides information with respect to the fiscal years ended December 31, 2022 and December 31, 2021 regarding the compensation of the principal executive officer, the former principal executive officer and the two most highly paid executive officers at the end of fiscal year 2022. In addition, the table below reflects the compensation granted to our five most highly compensated office holders (as defined in the Companies Law) during or with respect to the year ended December 31, 2022 and 2021. Such executive officers and office holders are referred to herein as our Covered Executives.
| Name and Principal Position | Year | Salary | Bonus | Share Awards(1) | Option Awards(1) | Nonequity Incentive Plan Compensation | Nonqualified deferred compensation earnings | All
Other | Total | ||||||||||||||||||||||||||
| Abigail Jenkins | 2022 | 156,538 | — | 52,664 | 101,793 | — | — | — | 310,996 | ||||||||||||||||||||||||||
| Chief Executive Officer(3) | 2021 | — | — | — | — | — | — | — | — | ||||||||||||||||||||||||||
| Dr. Julian Adams | 2022 | 482,027 | — | 143,022 | 766,114 | 204,575 | — | 123,135 | 1,718,873 | ||||||||||||||||||||||||||
| Former Chief Executive Officer(4) | 2021 | 547,350 | — | 296,237 | 1,049,159 | 125,000 | — | — | 2,017,746 | ||||||||||||||||||||||||||
| Shai Lankry – | 2022 | 327,500 | — | 145,438 | 305,099 | 96,250 | — | — | 874,287 | ||||||||||||||||||||||||||
| Chief Financial Officer | 2021 | 321,298 | — | 233,655 | 350,013 | 132,407 | — | 76,579 | 1,113,952 | ||||||||||||||||||||||||||
| Michele Korfin – | 2022 | 454,964 | — | 193,079 | 434,208 | 150,500 | — | — | 1,232,751 | ||||||||||||||||||||||||||
| Chief Operating and Commercial Officer | 2021 | 428,984 | — | 250,415 | 106,088 | 47,813 | — | — | 833,301 | ||||||||||||||||||||||||||
| Ronit Simantov – | 2022 | 457,160 | — | 189,710 | 245,237 | 135,150 | — | — | 1,027,257 | ||||||||||||||||||||||||||
| Chief Medical and Chief Scientific Officer | 2021 | 434,467 | — | 299,823 | 304,595 | 113,190 | — | — | 1,152,074 | ||||||||||||||||||||||||||
| Josh Patterson – | 2022 | 396,667 | — | 105,600 | 139,939 | 82,000 | — | — | 724,206 | ||||||||||||||||||||||||||
| General Counsel(5) | 2021 | 129,590 | — | 104,781 | 377,269 | 50,000 | — | — | 661,640 | ||||||||||||||||||||||||||
| (1) | For further information about the assumptions used for the valuation of the Share Awards and Option Awards, see Note 11 to Consolidated Financial Statements elsewhere in this Annual Report. |
| (2) | Except with respect to Dr. Adams, amounts included in this column for each Covered Executive represent medical and other insurance and 401(k) contributions made by us. |
| (3) | Ms. Jenkins joined us as President, Chief Executive Officer and Director, effective September 19, 2022. |
| (4) | Dr. Adams retired as our chief executive officer, effective September 19, 2022. The amount reported in the salary column for 2022 is comprised of (i) payments for his services as our chief executive officer that include base salary of $591,151, nonequity incentive plan compensation of $204,575, and medical, other insurance, and 401(k) contributions made by us of 27,738 included in All Other Compensation and (ii) payments for his services as a member of our board of directors subsequent to his retirement that include fees of $14,011 in the salary column, an option award with a value of $10,450, and a restricted share unit, or RSU, award with a value of $3,580. |
| (5) | Mr. Patterson joined us as General Counsel in August 2021. |
Narrative Disclosure to Summary Compensation Table
Compensation Philosophy and Objectives
Our executive compensation program is designed to attract, motivate and retain highly experienced leaders who will contribute to our success and enhance shareholder value, while demonstrating professionalism in a highly achievement-oriented culture. Our program is based on merit and rewards excellent performance in the long term, and it aims to embed our core values within our leadership team’s behavior.
To that end, our program is designed:
| ● | To closely align the interests of the executive officers with those of our shareholders in order to enhance shareholder value; |
125
| ● | To align a significant portion of the executive officers’ compensation with our short and long-term goals and performance; |
| ● | To provide the executive officers with a structured compensation package, including competitive salaries, performance-motivating cash and equity incentive programs and benefits; |
| ● | To strengthen the retention and the motivation of executive officers in the long term, and to be able to present to each executive officer an opportunity to advance in a growing organization; |
| ● | To provide appropriate awards in order to incentivize superior individual performance; and |
| ● | To maintain consistency in the way executive officers are compensated. |
Our executive compensation program was prepared taking into account our size and business and financial characteristics.
Role of the Compensation Committee and Executive Officers in Setting Executive Compensation
The compensation and talent committee of our Board, or the compensation and talent committee, is responsible for determining our executives’ compensation. During the past fiscal year, after taking into consideration the six factors described above, the compensation and talent committee engaged Radford, which is part of Aon plc, as its compensation consultant. Our compensation and talent committee selected Radford based on Radford’s general reputation in the industry. The compensation and talent committee requested that Radford:
| ● | evaluate the efficacy of our existing compensation strategy and practices in supporting and reinforcing our long-term strategic goals; and |
| ● | assist in refining our compensation strategy and in developing and implementing an executive compensation program to execute that strategy. |
As part of its engagement, the compensation and talent committee also requested that Radford develop a group of comparator companies and to perform analyses of competitive performance and compensation levels for that group, and finally, to develop recommendations for our executive compensation program that were presented to the compensation and talent committee for its consideration. Following an active dialogue with Radford, the compensation and talent committee approved the recommendations.
Historically, the compensation and talent committee has made significant adjustments to annual compensation, determined bonus and equity awards and established new performance objectives at one or more meetings held during the first quarter of the year. However, the compensation and talent committee also considers matters related to individual compensation, such as compensation for new executive hires, as well as high-level strategic issues, such as the efficacy of our compensation strategy, potential modifications to that strategy and new trends, plans or approaches to compensation, at various meetings throughout the year. Generally, the compensation and talent committee’s process comprises two related elements: the determination of compensation levels and the establishment of performance objectives for the current year. For all executives other than the chief executive officer, our compensation and talent committee typically reviews and discusses each executive’s performance and his or her proposed compensation with our chief executive officer. Based on those discussions and at its discretion, the compensation and talent committee then determines the compensation of each executive officer for approval by the board of directors. The chief executive officer may not participate in, or be present during, any deliberations or determinations of the compensation and talent committee regarding his or her compensation and his or her compensation is subjected to shareholder approval. The compensation and talent committee evaluates the chief executive officer and makes recommendations to the board of directors regarding the chief executive officer’s compensation, which is then approved by the full board of directors in its discretion. In determining the performance and compensation of all executives and directors, as part of its deliberations, the compensation and talent committee may review and consider, as appropriate, materials such as financial reports and projections, operational data, tax and accounting information, tally sheets that set forth the total compensation that may become payable to executives in various hypothetical scenarios, executive and director stock ownership information, Company stock performance data, analyses of historical executive compensation levels and current Company-wide compensation levels, as well as recommendations from the committee’s compensation consultant, including analyses of executive and director compensation paid at other companies identified by the consultant.
126
The compensation and talent committee also evaluates our executive compensation program in light of our shareholders’ views and our transforming business needs and expects to continue to consider the outcome of our “say on pay” votes and our shareholders’ views when making future executive compensation decisions. The compensation programs for our executives are also subject to the approval of our board of directors and in the case of our chief executive officer and directors, and certain other cases, the approval of our shareholders. For additional information regarding our executive compensation program, see “Item 10. Directors, Executive Officers and Corporate Governance—Compensation of Directors and Executive Officers.”
Executive Compensation Program
The annual compensation arrangements for our Covered Executives consist of an annual base salary and long-term incentive compensation in the form of equity awards. Our Covered Executives are also eligible to receive short-term incentive compensation in the form of annual incentive awards, which may be paid in cash or equity-based awards. We have historically emphasized the use of equity to provide incentives for our Covered Executives, to focus on the growth of our overall enterprise value and, correspondingly, to create sustainable value for our shareholders.
Annual Base Salary
We have entered into agreements with each of our Covered Executives that establish annual base salaries, which are generally reviewed and approved in the first quarter of the fiscal year by our compensation and talent committee. Annual base salaries are intended to provide a fixed component of compensation to our Covered Executives, in order to compensate our Covered Executives for the satisfactory performance of their duties, reflecting their experience, expertise, roles and responsibilities.
Base salaries for our Covered Executives have generally been set at levels deemed necessary to attract and retain individuals with superior talent. Merit-based increases to salaries are based on our chief executive officer’s assessment of the individual executive’s performance, the recommendations made by the chief executive officer and the competitive market in which we operates for talent.
The following table presents the annual base salaries earned by each of our Covered Executives during the fiscal years ended 2022 and 2021, respectively, as determined by the board of directors or compensation and talent committee, as applicable:
| Name and Title | 2022 Base Salary ($) | 2021 Base Salary ($) | ||||||
| Abigail Jenkins – Chief Executive Officer(1) | 156,538 | — | ||||||
| Dr. Julian Adams – Former Chief Executive Officer(2) | 591,151 | 550,020 | ||||||
| Shai Lankry – Chief Financial Officer | 330,000 | 315,000 | ||||||
| Michele Korfin – Chief Operating and Commercial Officer | 460,000 | 429,781 | ||||||
| Joshua Patterson – General Counsel | 400,000 | 129,590 | ||||||
| Dr. Ronit Simantov – Chief Medical and Chief Scientific Officer | 460,000 | 442,960 | ||||||
| (1) | Ms. Jenkins’s employment with us commenced on September 19, 2022. Pursuant to the terms of Ms. Jenkins’s employment agreement dated September 18, 2022, or the Jenkins Employment Agreement, Ms. Jenkins is paid an annual base salary of $550,000. |
| (2) | Dr. Adams retired as our chief executive officer effective September 19, 2022. |
127
Annual Incentive Compensation
Our Covered Executives are eligible to receive annual incentive compensation based on the satisfaction of individual and corporate performance objectives established by the Board of Directors. Each named executive office has a target annual incentive opportunity, calculated as a percentage of annual base salary, and may earn more or less than the target amount based on our Company’s and his or her individual performance. The 2022 target annual incentive opportunity for each of our Covered Executives is set forth below (other than Ms. Jenkins, who was not eligible for a 2022 bonus given the commencement of her employment with us in September 2022):
| Named Executive Officer | Target Bonus % of Salary | Target Bonus ($) | ||||||
| Abigail Jenkins | 50 | % | — | |||||
| Dr. Julian Adams(1) | 50 | % | 275,010 | |||||
| Shai Lankry | 35 | % | 110,250 | |||||
| Michele Korfin | 40 | % | 171,912 | |||||
| Josh Patterson | 40 | % | 152,000 | |||||
| Dr. Ronit Simantov | 40 | % | 171,912 | |||||
| (1) | Dr. Adams retired as our chief executive officer effective September 19, 2022. |
On February 8, 2023, the board of directors, upon recommendation of the compensation and talent committee, approved the annual incentives to be paid to the Covered Executives for performance in 2022 consistent with our compensation policy for executive officers and directors, which amounts are reported in the “Non-Equity Incentive Plan Compensation” column of the Summary Compensation Table above. The board of directors determined that the corporate goals had been achieved at 82.5% of the overall target, and that as a baseline, the achievement of the corporate goals and individual goals would account for 75% and 25%, respectively, of each named executive officer’s 2022 annual incentive payout. In light of the corporate reorganization, the board of directors further determined that certain of the Covered Officers had made strong personal contributions to the Company and determined that the weighting of the annual performance bonus for such Covered Executives would be adjusted, within the parameters of the annual bonus program and in consultation with the chief executive officer, to reflect such personal contributions.
Equity-Based Awards
Our equity-based incentive awards granted to our Covered Executives are designed to align the interests of our Covered Executives with those of our shareholders. Vesting of equity awards is generally tied to each officer’s continuous service with us and serves as an additional retention measure. Our executives generally are awarded an initial new hire grant upon commencement of employment and thereafter on an annual basis, subject to the discretion of the Board or compensation and talent committee, as applicable. The equity awards described in this section are included in the “Share Awards” and “Option Awards” columns, as applicable, of the Summary Compensation Table above.
In 2022, we granted a blend of options, RSUs and restricted share unit awards to our Covered Executives. We believe this blended approach will enable us to deliver competitive equity awards and enhances the retention of key talent.
Retirement Benefits and Other Compensation
Our Covered Executives did not participate in, or otherwise receive any benefits under, any pension, retirement or deferred compensation plan sponsored by us during 2022 or 2021, except for customary 401(k) matching contribution for our U.S. based Covered Executives. Our Covered Executives are eligible to participate in our benefit programs on the same basis as all employees of our Company. We generally do not provide perquisites or personal benefits to our Covered Executives except in limited circumstances, and we did not provide any perquisites or personal benefits to our Covered Executives in 2022 or 2021.
Agreements with Our Covered Executives and Potential Payments upon Termination or Change in Control
We have entered into an employment agreement with each of our Covered Executives that provide for the basic terms of their employment, including base salary, annual incentive opportunity and equity grants, as well as certain severance and change of control benefits. Prior to Mr. Adams’ resignation on September 19, 2022, we had an employment agreement with Mr. Adams as described below. Each of our Covered Executives is employed at will and may be terminated at any time for any reason.
128
Abigail Jenkins
We entered into an at-will employment agreement with Ms. Jenkins on September 18, 2022. Under the terms of her employment agreement, Ms. Jenkins is eligible to receive a base salary of $550,000 with an annual target incentive opportunity of up to 50% of her annual base salary. In connection with her employment agreement, Ms. Jenkins entered into a covenant not to disclose our confidential information during her employment term and an assignment of intellectual property rights. Subject to certain conditions, Ms. Jenkins is also subject to non-competition and non-solicitation provisions during her employment term and for a period of 12 months thereafter.
Ms. Jenkins’s employment may be terminated (a) by us at any time for cause (as defined in her employment agreement), or (b) by us or Ms. Jenkins for any reason. In the event of Ms. Jenkins’ resignation for any reason or a termination by the Company without cause, the terminating party will give the other party three months’ notice of such termination; provided, however, that, in the event of such termination or resignation during the twelve-month period following a change in control, the terminating party will give the other party six months’ notice of such termination. In the event of a termination of Ms. Jenkins’ employment by the Company without cause (as defined in her employment agreement) or her resignation for any reason, she will receive her base salary in effect through the date of termination, less applicable withholdings, reimbursement for approved but unpaid business expenses through the date of termination, fully earned and declared (by the Board) annual target bonus as of the date of termination which was not paid yet, any other amount and/or entitlement owed to Ms. Jenkins pursuant to applicable law upon such termination, and, as applicable, the separation benefits described below.
Potential Payments Upon Termination or Change in Control
Upon termination of her employment not in connection with a change in control, subject to certain conditions, in addition to the payments set forth in the preceding paragraph, Ms. Jenkins is entitled to receive a lump sum payment within 30 days of the date of termination that is equal to 95% of Ms. Jenkins’ annual base salary in effect, less applicable withholdings, if such termination is by the Company without cause, or if Ms. Jenkins resigns on account of good reason (each, as defined in her employment agreement). In the event of a change in control of the Company, if Ms. Jenkins’s employment is terminated by the Company without cause, or if she resigns on account of good reason (each, as defined in Ms. Jenkins’s employment agreement), in each case within 12 months following such change in control, in addition to the payments set forth in the preceding paragraph, Ms. Jenkins will be entitled to receive: (a) a lump sum payment within 30 days of the date of such termination in an amount equal to 100% of her annual base salary in effect, less applicable withholdings, plus a special bonus equal to 80% of her annual base salary in effect, less applicable withholdings and less any severance pay-related amounts (if any) then paid, payable or accrued; and (b) any options and other equity awards of the Company that have been granted to Ms. Jenkins prior to the change in control and are outstanding as of the date of termination shall fully vest and become exercisable on such date in accordance with the terms of the applicable plans.
Dr. Julian Adams
We entered into an at-will employment agreement with Dr. Julian Adams in November 2017, which agreement has been amended from time to time. Under the terms of his amended employment agreement, Dr. Adams was eligible to receive a base salary of $570,000 with an annual target incentive opportunity of up to 50% of his annual base salary. In connection with his employment agreement, Dr. Adams entered into a covenant not to disclose our confidential information during his employment term and an assignment of intellectual property rights. Subject to certain conditions, Dr. Adams is also subject to non-competition and non-solicitation provisions during his employment term and for a period of 12 months thereafter.
Potential Payments Upon Termination or Change in Control
Upon termination of his employment, subject to certain conditions, Dr. Adams would have been entitled to (i) for a period of eight months following the date on which his employment is terminated, if such termination was by the Company without cause, or if he resigned for good reason (each, as defined in his amended employment agreement); and (ii) for a period of three months following the date termination if he resigned or was terminated for any other reason: (a) a lump-sum payment of his annual cash incentive target gross bonus (pro-rated for the portion of that year until his last day of employment), and (b) monthly payments equal to Dr. Adams’s monthly base salary as well as health insurance and disability benefit premiums.
129
In the event of a change in control of the Company, if Dr. Adams’s employment had been terminated by the Company without cause, or if he resigned on account of good reason in each case within 12 months following such change in control, Dr. Adams would have been entitled to a payment equal to his annual target bonus, as well as to acceleration of the vesting of all of his outstanding equity. Dr. Adams retired as Chief Executive Officer of the Company effective September 19, 2022, and received the payments and benefits described under clause (ii) of the foregoing paragraph for a voluntary resignation.
Shai Lankry
We entered into an employment agreement with Mr. Shai Lankry in April 2018 and following Mr. Lankry’s relocation to the United States on November 1, 2021, he signed a new employment agreement dated December 15, 2021, or the US Agreement. Under the terms of his US Agreement, Mr. Lankry is eligible to receive a base salary of $330,000 and an annual target incentive opportunity of 35% of his annual base salary. In addition, in 2021 Mr. Lankry was entitled to reimbursement of the expenses and fees associated with Mr. Lankry’s obtaining authorization to work in the United States and relocation expenses of up to $100,000. In connection with his employment agreement, Mr. Lankry entered into a covenant not to disclose our confidential information during his employment term and an assignment of intellectual property rights.
Potential Payments Upon Termination or Change in Control
Mr. Lankry’s employment may be terminated (i) by us at any time for cause (as defined in Mr. Lankry’s employment agreement), or (ii) by us or Mr. Lankry for any reason. In the event of a termination by the company for any reason other than for cause, the company will give Mr. Lankry six months’ notice of such termination, and in the event of Mr. Lankry’s resignation for any reason, he shall give the company one month’s notice. In addition, in the event that the Mr. Lankry is terminated by the company or a successor entity without cause prior to the six-month anniversary of a change in control of the company, Mr. Lankry will be entitled to accelerated vesting of any then unvested outstanding equity he holds.
Michele Korfin
We entered into an employment agreement with Ms. Korfin in August 2020 for an unspecified time period, with a notice period of one month. Under the terms of her employment agreement, Ms. Korfin is eligible to receive a base salary of $460,000 and an annual target incentive opportunity of 40% of her annual base salary. In connection with her employment agreement, Ms. Korfin entered into a covenant not to disclose our confidential information during her employment term and an assignment of intellectual property rights. Ms. Korfin is also subject to a non-competition provision for 18 months following a termination for cause or resignation for good reason, and for 12 months following a termination for any other reason.
Potential Payments Upon Termination or Change in Control
If Ms. Korfin’s employment is terminated by the Company at any time without cause, or if she resigns on account of good reason (each, as defined in Ms. Korfin’s employment agreement), subject to certain conditions, Ms. Korfin will be entitled to a lump sum severance payment equal to six months’ base salary, as well as additional monthly payments of her base salary and COBRA coverage for six months following the date of her termination.
In the event of a change in control of the Company, 50% of Ms. Korfin’s unvested equity awards will vest as of immediately prior to such change in control, and if Ms. Korfin is terminated by the Company without cause or she resigns for good reason, in either case, within twelve months following a change in control of the Company, all of her equity awards shall fully vest as of immediately prior to such termination.
Josh Patterson
We entered into an at-will employment agreement with Mr. Josh Patterson in July 2021, as amended on July 15, 2022. Under the terms of his agreement, Mr. Patterson is eligible to receive a base salary of $380,000 with an annual target incentive opportunity of 40% of his annual base salary. In connection with his employment agreement, Mr. Patterson entered into a covenant not to disclose our confidential information during his employment term and an assignment of intellectual property rights. Mr. Patterson is also subject to a non-competition provision for (i) a period of twelve (12) months from his last day of employment, in the event his separation from the Company arises from a termination by the Company not for cause (as defined in Mr. Patterson’s employment agreement) or a resignation by him for good reason (as defined in Mr. Patterson’s employment agreement); or (ii) a period of six (6) months from his last day of employment in the event his separation from the Company arises from any other reason.
130
Potential Payments Upon Termination or Change in Control
Mr. Patterson’s employment may be terminated (a) by us at any time for cause (as defined in Mr. Patterson’s employment agreement), or (b) by us or Mr. Patterson for any reason. In the event of Mr. Patterson’s termination by us without cause, we will give Mr. Patterson three months’ notice of such termination, and in the event of Mr. Patterson’s resignation for any reason, he shall give us three months’ notice. In the event of a change in control (as defined in Mr. Patterson’s employment agreement) of the Company, the terminating party agrees to provide six months’ notice of such termination to the other party. The Company shall have the right to determine whether or not Mr. Patterson will actively work during the notice period.
If Mr. Patterson’s employment is terminated without cause or Mr. Patterson terminates his employment for any reason, in either case absent a change in control or outside the change in control period, then Mr. Patterson will receive a payment equal to the sum of the base salary through the date of termination, reimbursement for approved but unpaid business expenses through the date of termination, fully earned and declared (by the board of directors of Gamida Cell Ltd.) annual target bonus (as defined in Mr. Patterson’s employment agreement) as of the date of termination which was not paid yet, any other amount and/or entitlement owed to him pursuant to applicable law upon such termination, and, if applicable, the non-compete payments as described in Mr. Patterson’s employment agreement. Specifically, if Mr. Patterson’s employment is terminated without cause or Mr. Patterson terminates his employment for good reason, in either case absent a change in control or outside the change in control period, then Mr. Patterson will be entitled to receive a non-compete payment of a single lump sum equal to 65% of his base salary within 30 days after the date of termination, less any severance pay-related amounts (if any) then paid, payable or accrued and released to or for his benefit.
In connection with a change of control (as defined in Mr. Patterson’s employment agreement), if during the change in control period, Mr. Patterson’s is terminated by us not for cause (as defined in Mr. Patterson’s employment agreement) or he resigns for good reason (as defined in Mr. Patterson’s employment agreement), then (a) we will pay Mr. Patterson an amount equal to 100% of his base salary (as defined in Mr. Patterson’s employment agreement), less applicable deductions and withholdings and any severance pay-related amounts, if any, then paid, payable or accrued and released to or for his benefit; and (b) any equity awards granted to him prior to the change of control shall fully vest and become exercisable on such date in accordance with their terms, in exchange for Mr. Patterson’s agreement to certain non-competition and non-solicitation provisions.
Dr. Ronit Simantov
We entered into an at-will employment agreement with Dr. Ronit Simantov in April 2017, as amended on July 26, 2022. Under the terms of her employment agreement, as amended, Dr. Simantov is eligible to receive a base salary of $460,000 and an annual target incentive opportunity of 35% of her annual base salary, as well as a one-time signing bonus of $50,000. In connection with her employment agreement, Dr. Simantov entered into a covenant not to disclose our confidential information during her employment term and an assignment of intellectual property rights.
Potential Payments Upon Termination or Change in Control
In connection with a change of control (as defined in Dr. Simantov’s employment agreement), if during the change in control period, Dr. Simantov is terminated by us not for cause (as defined in Dr. Simantov’s employment agreement) or she resigns for good reason (as defined in Dr. Simantov’s employment agreement), then (a) we will pay Dr. Simantov an amount equal to 100% of her base salary (as defined in Dr. Simantov’s employment agreement), less applicable deductions and withholdings and any severance pay-related amounts, if any, and (b) any equity awards granted to her prior to the change of control shall fully vest and become exercisable on such date in accordance with their terms, in exchange for Dr. Simantov’s agreement to certain non-competition and non-solicitation provisions.
If Dr. Simantov’s employment is terminated for cause, she shall receive the base salary through the date of termination (as defined in Dr. Simantov’s employment agreement), and any other amount and/or entitlement owed to her pursuant to applicable law upon such termination, as well as reimbursement for approved but unpaid business expenses through the date of termination. She will not be entitled to any other compensation, benefits or other amounts from us or otherwise upon such termination for cause.
If Dr. Simantov’s employment is terminated without cause or Dr. Simantov terminates her employment for any reason, in either case absent a change in control or outside the change in control period, then Dr. Simantov will receive a payment equal to the sum of the base salary through the date of termination, reimbursement for approved but unpaid business expenses through the date of termination, fully earned and declared (by the board of directors of the Gamida Cell Ltd.) annual target bonus (as defined in Dr. Simantov’s employment agreement) as of the date of termination which was not paid yet, any other amount and/or entitlement owed to her pursuant to applicable law upon such termination, and, if applicable, the non-compete payments as described in Dr. Simantov’s employment agreement. Specifically, if Dr. Simantov’s employment is terminated without cause or Dr. Simantov terminates her employment for good reason (as defined in Dr. Simantov’s employment agreement), she will be entitled to receive a non-compete payment of a single lump sum equal to 65% of her base salary within 30 days after the date of termination, less any severance pay-related amounts (if any) then paid, payable or accrued and released to or for her benefit.
131
Outstanding Equity Awards at Fiscal Year End 2022
| Option Awards | Stock Awards | |||||||||||||||||||||||
| Name | Number of securities underlying unexercised options (#) exercisable | Number of securities underlying unexercised options (#) unexercisable | Option exercise price ($) | Option expiration date | Number of shares or units of stock that have not vested (#) | Market value of shares of units of stock that have not vested ($) | ||||||||||||||||||
| Abigail Jenkins(1) | — | 1,000,000 | 2.22 | September 18, 2032 | — | — | ||||||||||||||||||
| Abigail Jenkins(2) | — | — | — | — | 250,000 | 555,000 | ||||||||||||||||||
| Julian Adams | 60,000 | — | 7.50 | March 2, 2027 | — | — | ||||||||||||||||||
| Julian Adams | 596,574 | — | 4.90 | December 28, 2027 | — | — | ||||||||||||||||||
| Julian Adams(3) | 129,375 | 8,625 | 11.01 | March 11, 2029 | — | — | ||||||||||||||||||
| Julian Adams(4) | 77,625 | 60,375 | 4.70 | September 10, 2030 | — | — | ||||||||||||||||||
| Julian Adams(5) | 81,375 | 104,625 | 9.51 | February 25, 2031 | — | — | ||||||||||||||||||
| Julian Adams(6) | - | 291,100 | 2.93 | January 28, 2032 | — | — | ||||||||||||||||||
| Julian Adams(7) | — | 9,500 | 1.79 | November 18, 2032 | — | — | ||||||||||||||||||
| Julian Adams(8) | — | — | — | — | 20,766 | 197,494 | ||||||||||||||||||
| Julian Adams(9) | — | — | — | — | 48,500 | 142,105 | ||||||||||||||||||
| Julian Adams(10) | — | — | — | — | 2,000 | 3,580 | ||||||||||||||||||
| Shai Lankry | 186,421 | — | 4.90 | May 14, 2028 | — | — | ||||||||||||||||||
| Shai Lankry(11) | 35,625 | 2,375 | 11.01 | March 14, 2029 | — | — | ||||||||||||||||||
| Shai Lankry(12) | 26,125 | 11,875 | 4.70 | February 24, 2030 | — | — | ||||||||||||||||||
| Shai Lankry(13) | 27,147 | 34,095 | 9.51 | February 25, 2031 | — | — | ||||||||||||||||||
| Shai Lankry(14) | — | 92,400 | 2.93 | January 27, 2032 | — | — | ||||||||||||||||||
| Shai Lankry(15) | — | — | — | — | 6,896 | 98,371 | ||||||||||||||||||
| Shai Lankry(16) | — | — | — | — | 28,481 | 135,284 | ||||||||||||||||||
| Shai Lankry(9) | — | — | — | — | 15,400 | 45,122 | ||||||||||||||||||
| Shai Lankry(17) | — | — | — | — | 13,800 | 80,868 | ||||||||||||||||||
| Michele Korfin(18) | 281,250 | 218,750 | 4.36 | August 31, 2030 | — | — | ||||||||||||||||||
| Michele Korfin(13) | 8,814 | 11,333 | 9.51 | February 25, 2031 | — | — | ||||||||||||||||||
| Michele Korfin(14) | — | 125,000 | 2.93 | January 27, 2032 | — | — | ||||||||||||||||||
| Michele Korfin(17) | — | — | — | — | 21,500 | 125,990 | ||||||||||||||||||
| Michele Korfin(9) | — | — | — | — | 20,800 | 60,944 | ||||||||||||||||||
| Michele Korfin(15) | — | — | — | — | 2,239 | 31,242 | ||||||||||||||||||
| Michele Korfin(16) | — | — | — | — | 50,012 | 230,840 | ||||||||||||||||||
| Ronit Simantov | 186,574 | — | 4.90 | November 16, 2027 | — | — | ||||||||||||||||||
| Ronit Simantov(11) | 46,312 | 3,088 | 11.01 | March 11, 2029 | — | — | ||||||||||||||||||
| Ronit Simantov(12) | 33,687 | 15,313 | 4.70 | February 24, 2030 | — | — | ||||||||||||||||||
| Ronit Simantov(13) | 23,625 | 30,375 | 9.51 | February 25, 2031 | — | — | ||||||||||||||||||
| Ronit Simantov(14) | — | 79,700 | 2.93 | January 27, 2032 | — | — | ||||||||||||||||||
| Ronit Simantov(9) | — | — | — | — | 13,300 | 38,969 | ||||||||||||||||||
| Ronit Simantov(17) | — | — | — | — | 19,400 | 113,684 | ||||||||||||||||||
| Ronit Simantov(8) | — | — | — | — | 6,000 | 85,590 | ||||||||||||||||||
| Ronit Simantov(16) | — | — | — | — | 45,102 | 214,233 | ||||||||||||||||||
| Josh Patterson(18) | 54,687 | 120,313 | 3.80 | October 6, 2031 | ||||||||||||||||||||
| Josh Patterson(14) | — | 77,900 | 2.93 | January 27, 2032 | ||||||||||||||||||||
| Josh Patterson(19) | — | — | — | — | 20,000 | 109,623 | ||||||||||||||||||
| Josh Patterson(17) | — | — | — | — | 19,000 | 111,340 | ||||||||||||||||||
| Josh Patterson(9) | — | — | — | — | 13,000 | 38,090 | ||||||||||||||||||
| (1) | One fourth (1/4th) of the shares subject to the option award vested on September 19, 2023, and one twelfth (1/12th) of the remaining shares subject to the option award vested or shall vest in equal quarterly installments thereafter, subject to the officer’s continuous service through such vesting date. |
| (2) | The restricted stock unit award shall vest in three equal annual installments on September 19, 2023, September 19, 2024, and September 19, 2025, subject to the officer’s continuous service through such vesting date. |
| (3) | One fourth (1/4th) of the shares subject to the option award vested on March 13, 2020, and one twelfth (1/12th) of the remaining shares subject to the option award vested or shall vest in equal quarterly installments thereafter, subject to the individual’s continuous service through such vesting date. |
132
| (4) | One fourth (1/4th) of the shares subject to the option award vested on September 10, 2021, and one twelfth (1/12th) of the remaining shares subject to the option award vested or shall vest in equal quarterly installments thereafter, subject to the individual’s continuous service through such vesting date. |
| (5) | One fourth (1/4th) of the shares subject to the option award shall vest on February 25, 2022, and one twelfth (1/12th) of the remaining shares subject to the option award shall vest in equal quarterly installments thereafter, subject to the individual’s continuous service through such vesting date. |
| (6) | One fourth (1/4th) of the shares subject to the option award shall vest on January 28, 2023, and one twelfth (1/12th) of the remaining shares subject to the option award shall vest in equal quarterly installments thereafter, subject to the individual’s continuous service through such vesting date. |
| (7) | The option vests in equal quarterly installments over a twelve-month period, with the first such installment vesting on February 11, 2023, subject to the individual’s continuous service through each such vesting date. |
| (8) | The restricted shares shall vest in three equal annual installments on February 25, 2022, February 25, 2023, and February 25, 2024, subject to the individual’s continuous service through each such vesting date. |
| (9) | The RSU award shall vest in three equal annual installments on January 28, 2023, January 28, 2024, and January 28, 2025, subject to the individual’s continuous service through each such vesting date. |
| (10) | The RSU will vest on in equal quarterly installments over a twelve-month period, with the first such installment vesting on February 11, 2023, subject to the individual’s continuous service through such vesting date. |
| (11) | One fourth (1/4th) of the shares subject to the option award vested on March 13, 2020, and one twelfth (1/12th) of the remaining shares subject to the option award vested or shall vest in equal quarterly installments thereafter, subject to the officer’s continuous service through such vesting date. |
| (12) | One fourth (1/4th) of the shares subject to the option award vested on February 24, 2021, and one twelfth (1/12th) of the remaining shares subject to the option award vested or shall vest in equal quarterly installments thereafter, subject to the officer’s continuous service through such vesting date. |
| (13) | One fourth (1/4th) of the shares subject to the option award vested on February 25, 2022, and one twelfth (1/12th) of the remaining shares subject to the option award vested or shall vest in equal quarterly installments thereafter, subject to the officer’s continuous service through such vesting date. |
| (14) | One fourth (1/4th) of the shares subject to the option award vested on January 28, 2023, and one twelfth (1/12th) of the remaining shares subject to the option award vested or shall vest in equal quarterly installments thereafter, subject to the officer’s continuous service through such vesting date. |
| (15) | The restricted shares shall vest in three equal annual installments on February 25, 2022, February 25, 2023, and February 25, 2024, subject to the officer’s continuous service through such vesting date. |
| (16) | 20% of the restricted shares shall vest upon the omidubicel BLA acceptance, an additional 30% of the restricted shares shall vest upon BLA approval, and the remaining 50% shall vest on the one-year anniversary of the BLA approval; provided, in each case, that such applicable vesting event actually occurs (which is uncertain and not assured) and subject to the officer’s continuous service through such vesting date. |
| (17) | The restricted shares shall vest in one annual installment on December 31, 2023 subject to the officer’s continuous service through such vesting date. |
| (18) | One fourth (1/4th) of the shares subject to the option award vested on August 30, 2022, and one twelfth (1/12th) of the remaining shares subject to the option award vested or shall vest in equal quarterly installments thereafter, subject to the officer’s continuous service through such vesting date. |
| (19) | The restricted shares shall vest in three equal annual installments on August 30, 2022, August 30, 2023, and August 30, 2024, subject to the officer’s continuous service through such vesting date. |
133
Securities authorized for issuance under equity compensation plans.
The following table summarizes our equity compensation plan information as of December 31, 2022. Information is included for equity compensation plans approved by our shareholders. We do not have any equity compensation plans not approved by our shareholders.
| Plan Category | Number of securities to be issued upon exercise of outstanding options, warrants and rights (a) | Weighted- average exercise price of outstanding options, warrants and rights (b) | Number of securities remaining available for future issuance under equity compensation plans (excluding securities reflected in column (a)) | |||||||||
| Equity compensation plans approved by shareholders | 7,276,771 | 4.70 | 1,169,694 | |||||||||
| Equity compensation plans not approved by shareholders | — | — | — | |||||||||
| Total | 7,276,771 | 4.70 | 1,169,694 | |||||||||
Additional Narrative Disclosure
Employee Share and Option Plan (1998)
In 1998, our board of directors adopted our Employee Share and Option Plan (1998), or the 1998 Plan. There are currently no options outstanding or options available for issuance under the 1998 Plan. There are currently 180,329 ordinary shares, which resulted from the exercise of certain options granted under the 1998 Plan, held in trust in favor of the employees who exercised such options. The 1998 Plan remains in effect in order to allow our employees to enjoy certain tax benefits under Israeli tax law.
Stock Option Plan (1999)
In 1999, our board of directors adopted our Stock Option Plan (1999), or the 1999 Plan. There are currently no options outstanding or options available for issuance under the 1999 Plan. There are currently 5,000 ordinary shares, which resulted from the exercise of certain options granted under the 1999 Plan, held in trust in favor of the employees who exercised such options. The 1999 Plan remains in effect in order to allow our employees to enjoy certain tax benefits under Israeli tax law.
2003 Israeli Share Option Plan
In July 2003, our board of directors adopted our 2003 Israeli Share Option Plan, or the 2003 Plan. There are currently no options outstanding or options available for issuance under the 2003 Plan. There are currently 54,569 ordinary shares, which resulted from the exercise of certain options granted under the 2003 Plan, held in trust in favor of the employees who exercised such options. The 2003 Plan remains in effect in order to allow our employees to enjoy certain tax benefits under Israeli tax law.
2014 Israeli Share Incentive Plan
In November 2014 and December 2014, respectively, our board of directors adopted and our shareholders approved our 2014 Israeli Share Incentive Plan, or the 2014 Plan. The 2014 Plan replaced our 2003 Plan. We are no longer granting options under the 2014 Plan because it was superseded by our 2017 Share Incentive Plan, or the 2017 Plan, although previously granted awards remain outstanding. As of December 31, 2022, no options are outstanding under the 2014 Plan.
The 2014 Plan provides for the grant of options to the Company’s and affiliates’ directors, employees, officers, consultants, advisors and service providers, and any other person whose services are considered valuable to us or our affiliates, to encourage a sense of proprietorship of such persons, and to stimulate the active interest of such persons in the development and financial success of the Company by providing them with opportunities to purchase shares in the Company.
The 2014 Plan is administered by our board of directors directly or upon recommendation of a committee designated by the board of directors, which determines, subject to Israeli law, the grantees of awards and the terms of the grant, including, exercise prices, vesting schedules, acceleration of vesting and the other matters necessary in the administration of the 2014 Plan. The 2014 Plan enables us to issue awards under various tax regimes, including, without limitation, pursuant to Section 102 of the Israeli Income Tax Ordinance (New Version) 1961, or the Ordinance, and under Section 3(i) of the Ordinance.
134
Section 102 of the Ordinance allows employees, directors and officers, who are not controlling shareholders, to receive favorable tax treatment for compensation in the form of shares or options. Section 102 of the Ordinance includes two alternatives for tax treatment involving the issuance of options or shares to a trustee for the benefit of the grantees and also includes an additional alternative for the issuance of options or shares directly to the grantee. Section 102(b)(2) of the Ordinance, which provides the most favorable tax treatment for grantees, permits the issuance to a trustee under the “capital gain track.” Note however, that according to Section 102(b)(3) of the Ordinance, if the Company granting the shares or options is a publicly traded Company or is listed for trading on any stock exchange within a period of 90 days from the date of grant, any difference between the exercise price of the Awards (if any) and the average closing price of the Company’s shares at the 30 trading days preceding the grant date (when the Company is listed on a stock exchange) or 30 trading days following the listing of the Company, as applicable, will be taxed as “ordinary income” at the grantee’s marginal tax rate. In order to comply with the terms of the capital gain track, all securities granted under a specific plan and subject to the provisions of Section 102 of the Ordinance, as well as the shares issued upon exercise of such securities and other shares received following any realization of rights with respect to such securities, such as share dividends and share splits, must be registered in the name of a trustee selected by the board of directors and held in trust for the benefit of the relevant grantee. The trustee may not release these securities to the relevant grantee before 24 months from the date of grant and deposit of such securities with the trustee. However, under this track, we are not allowed to deduct an expense with respect to the issuance of the options or shares.
The 2014 Plan provides that options granted to our employees, directors and officers who are not controlling shareholders and who are considered Israeli residents may be intended to qualify for special tax treatment under the “capital gain track” provisions of Section 102(b) of the Ordinance as detailed above. Our Israeli non-employee service providers and controlling shareholders may only be granted options under Section 3(i) of the Ordinance, which does not provide for similar tax benefits.
The options granted under the 2014 Plan are currently fully vested.
Options expiry is determined by the specific option agreement or at the end of an extended period following the termination of the grantee’s employment or service. In the event of the death of a grantee while employed by or performing service for us or a subsidiary, or in the event of termination of a grantee’s employment or services for reasons of disability, the grantee, or in the case of death, his or her legal successor, may exercise options that have vested prior to termination within the twelve (12) month period from the date of disability or death. If a grantee’s employment or service is terminated by reason of retirement in accordance with applicable law, the grantee may exercise his or her vested options within the twelve (12) month period after the date of such retirement. If we terminate a grantee’s employment or service for cause, all of the grantee’s vested and unvested options will expire on the date of termination. If a grantee’s employment or service is terminated for any other reason, the grantee may generally exercise his or her vested options within 90 days of the date of termination.
Options may not be assigned, transferred or given as collateral nor may any right with respect to the options be given to a third party. As long as options and/or shares are held by the Section 102 trustee, all rights of the grantee over the shares may not be transferred, assigned, pledged or mortgaged, except by will or the laws of descent and distribution.
In the event of a merger, acquisition or reorganization of our Company, or a sale of all, or substantially all, of our shares or assets or other transaction having a similar effect on us, then without the consent of the option holder, our board of directors or its designated committee, as applicable, may but is not required to (i) cause any outstanding options to be assumed or an equivalent award to be substituted by such successor corporation, or (ii) in case the successor corporation does not assume or substitute the award (a) if provided for in the relevant option agreement — all unvested options of the applicable grantee shall become vested and such grantee shall have the right to exercise such options in connection with such transaction or (b) cancel the options and substitute for any other type of asset or property determined by the Board or the committee as fair under the circumstances.
2017 Share Incentive Plan
In January 2017 and February 2017, respectively, our board of directors adopted and our shareholders approved our 2017 Plan. The 2017 Plan replaced our 2014 Plan. We are no longer granting options under the 2014 Plan because it was superseded by the 2017 Plan, although previously granted awards remain outstanding. As of December 31, 2021, we had options to purchase 4,925,619 ordinary shares outstanding under the 2017 Plan with a weighted-average exercise price of $5.38. On February 25, 2021 and November 17, 2021, our board of directors and shareholders, respectively, approved an amendment and restatement of the 2017 Plan.
As of December 31, 2022, our amended and restated 2017 Plan had up to 1,169,694 ordinary shares available for issuance. The amended and restated 2017 Plan also contains an “evergreen” provision, which provides for an automatic allotment of ordinary shares to be added every year to the pool of ordinary shares available for grant under the 2017 Plan. Under the evergreen provision, on January 1 of each year (beginning January 1, 2022), the number of ordinary shares available under the 2017 Plan automatically increases by the lesser of the following: (i) 4% of our outstanding ordinary shares on the last day of the immediately preceding year; and (ii) an amount determined in advance of January 1 by the board.
135
The 2017 Plan provides for the grant of awards, including options, restricted shares and RSUs, to our and our affiliates’ directors, employees, officers, consultants, advisors, and any other person whose services are considered valuable to us or our affiliates, to increase their efforts on our and our affiliates’ behalf, and to promote the success of our business by providing them with opportunities to acquire a proprietary interest in us.
The 2017 Plan is administered by a committee designated by the board of directors, which determines, subject to Israeli law, the grantees of awards and the terms of the grant, including, exercise prices, vesting schedules, acceleration of vesting and conditions and restrictions applicable to an award, as well other matters necessary in the administration of the 2017 Plan. In the event that the Board does not appoint or establish a committee, the 2017 Plan shall be administered by the Board. The 2017 Plan enables us to issue awards under various tax regimes, including, without limitation, pursuant to Section 102 of the Ordinance as discussed under “2014 Israeli Share Option Plan” above, and under Section 3(i) of the Ordinance and Section 422 of the United States Internal Revenue Code of 1986, as amended, or the Code.
The 2017 Plan provides that awards granted to our employees, directors and officers who are not controlling shareholders and who are considered Israeli residents are intended to qualify for special tax treatment under the “capital gain track” provisions of Section 102(b) of the Ordinance as detailed above. Our Israeli non-employee service providers and controlling shareholders may only be granted awards under Section 3(i) of the Ordinance, which does not provide for similar tax benefits.
Awards granted under the 2017 Plan to U.S. residents may qualify as “incentive stock options” within the meaning of Section 422 of the Code, or may be non-qualified. The exercise price for “incentive stock options” must not be less than the fair market value on the date on which an option is granted, or 110% of the fair market value if the option holder holds more than 10% of our share capital.
The vesting schedule of options granted under the 2017 Plan is set forth in each grantee’s grant letter.
Awards terminate upon the date set out in the grantee’s specific award agreement or at the end of an extended period following the termination of the grantee’s employment or service. In the event of the death of a grantee while employed by or performing service for us or an affiliate, or within the three (3) month period after the termination, or in the event of termination of a grantee’s employment or services for reasons of disability, the grantee (or his or her estate or legal successor (in the case of death) or the person who acquired legal rights to exercise such awards (in the case of death or disability)), may exercise awards that have vested prior to termination within a period of one (1) year from the date of disability or death but in any event no later than the expiration date of the awards. If a grantee’s employment or service is terminated by reason of retirement in accordance with applicable law, the grantee may exercise his or her vested awards within the three (3) month period after the date of such retirement. If we terminate a grantee’s employment or service for cause, all of the grantee’s vested and unvested awards will expire on the date of termination. If a grantee’s employment or service is terminated for any other reason, all unvested awards shall expire and the grantee may exercise his or her vested awards within three (3) months after the date of termination. Any expired or unvested awards return to the pool and become available for reissuance.
Options may not be assigned or transferred other than by will or laws of descent, unless otherwise determined by the committee.
In the event of a merger or consolidation of our Company, or a sale of all, or substantially all, of our shares or assets or other transaction having a similar effect on us, or liquidation or dissolution, or such other transaction or circumstances that the board of directors determines to be a relevant transaction, then without the consent of the grantee, our board of directors or its designated committee, as applicable, may but is not required to (i) cause any outstanding award to be assumed or substituted by such successor corporation, or (ii) regardless of whether or not the successor corporation assumes or substitutes the award (a) provide the grantee with the option to exercise the award as to all or part of the shares, and may provide for an acceleration of vesting of unvested awards, or (b) cancel the award and pay in cash, shares of us, the acquirer or other corporation which is a party to such transaction or other property as determined by the board of directors or the committee as fair in the circumstances. Notwithstanding the foregoing, our board of directors or its designated committee may upon such event amend, modify or terminate the terms of any award as the board of directors or the committee shall deem, in good faith, appropriate.
136
As of December 31, 2022, outstanding awards under our Equity Incentive Plans totaled 7,276,771 ordinary shares and 1,169,694 ordinary shares remained available for grant. Of the 1,126,743 outstanding restricted share awards, 372,846 shares were vested as of December 31, 2022. Of the 6,133,903 outstanding options, options to purchase 4,826,379 ordinary shares were vested as of December 31, 2022, with a weighted average exercise price of $3.84 per share, and will expire between January 18, 2022 and November 18, 2032.
Non-Employee Director Compensation
Director Compensation Table
The following table shows for the fiscal year ended December 31, 2022 certain information with respect to the compensation of our non-employee directors:
| Name | Fees Earned or Paid in Cash ($) | Share Awards ($) | Option Awards ($) | Total ($) | ||||||||||||
| Robert I. Blum(1) | 67,500 | 21,465 | 5,521 | 94,486 | ||||||||||||
| Julian Adams(2) | — | — | — | — | ||||||||||||
| Anat Cohen-Dayag(3) | 52,829 | 21,842 | 7,628 | 82,299 | ||||||||||||
| Ofer Gonen(4) | 24,608 | — | — | 24,608 | ||||||||||||
| Naama Halevi Davidov(5) | 46,208 | 23,120 | 7,659 | 76,987 | ||||||||||||
| Kenneth I. Moch(6) | 65,000 | 16,313 | 5,521 | 86,834 | ||||||||||||
| Shawn C. Tomasello(7) | 50,000 | 16,313 | 5,521 | 71,834 | ||||||||||||
| Stephen T. Wills(8) | 65,000 | 15,182 | 5,521 | 85,703 | ||||||||||||
| Ivan Borrello(9) | 27,917 | 14,937 | 5,045 | 47,899 | ||||||||||||
| (1) | Mr. Blum resigned from the board of directors on March 17, 2023. He was awarded (i) 2,000 restricted shares and (ii) options to purchase 12,500 ordinary shares. This option vests in equal quarterly installments over a twelve-month period commencing on November 1, 2021, subject to the continued service as of the applicable vesting date. In aggregate, Mr. Blum had 54,000 restricted shares and no options to purchase ordinary shares outstanding as of December 31, 2022. |
| (2) | Dr. Adams served as our chief executive officer until his retirement on September 19, 2022. Compensation that Dr. Adams received during fiscal year 2022 for his service as a director is included above in the Summary Compensation Table. |
| (3) | Dr. Cohen-Dayag was appointed to the board of directors on January 28, 2022 and resigned from our board of directors on March 15, 2023. Dr. Cohen-Dayag was awarded (i) 6,000 restricted shares and (ii) options to purchase 9,500 ordinary shares. This option vests in equal quarterly installments over a twelve-month period commencing on November 1, 2022, subject to the continued service as of the applicable vesting date. In aggregate, Dr. Cohen-Dayag held 4,000 restricted shares and no options to purchase ordinary shares outstanding as of December 31, 2022. |
| (4) | Mr. Gonen resigned from the board of directors on June 9, 2022 and did not exercise any options to purchase ordinary shares prior to their expiration. In addition, the restricted shares and options to purchase ordinary shares reflected in this line were awarded directly to Clal Biotechnology Industries Ltd. Mr. Gonen is the chief executive officers of Call Biotechnology Industries Ltd. and disclaims ownership in these shares and options. |
| (5) | Dr. Halevi Davidov was appointed to the board of directors on January 27, 2022 and resigned from the board of directors on March 16, 2023. Dr. Halevi Davidov was awarded (i) 6,000 restricted shares and (ii) options to purchase 9,500 ordinary shares. This option vests in equal quarterly installments over a twelve-month period commencing on November 1, 2022, subject to the continued service as of the applicable vesting date. In aggregate, Dr. Halevi Davidov had 4,000 restricted shares and no options to purchase ordinary shares outstanding as of December 31, 2022. |
| (6) | Mr. Moch was awarded (i) 2,000 restricted shares and (ii) options to purchase 9,500 ordinary shares. This option vests in equal quarterly installments over a twelve-month period commencing on November 1, 2021, subject to the continued service as of the applicable vesting date. In aggregate, Mr. Moch had 4,000 restricted shares and no options to purchase ordinary shares outstanding as of December 31, 2022. |
137
| (7) | Ms. Tomasello was awarded (i) 2,000 restricted shares and (ii) options to purchase 9,500 ordinary shares. This option vests in equal quarterly installments over a twelve-month period commencing on November 1, 2021, subject to the continued service as of the applicable vesting date. In aggregate, Ms. Tomasello had 13,677 restricted shares and no options to purchase ordinary shares outstanding as of December 31, 2022. |
| (8) | Mr. Wills was awarded (i) 2,000 restricted shares and (ii) options to purchase 9,500 ordinary shares. This option vests in equal quarterly installments over a twelve-month period commencing on November 1, 2021, subject to the continued service as of the applicable vesting date. In aggregate, Mr. Wills had 13,677 restricted shares and no options to purchase ordinary shares outstanding as of December 31, 2022. |
| (9) | Dr. Borrello was appointed to the board of directors on June 9, 2022. Dr. Borrello was awarded (i) 6,000 restricted shares and (ii) options to purchase 9,500 ordinary shares. This option vests in equal quarterly installments over a twelve-month period commencing on November 1, 2022, subject to the continued service as of the applicable vesting date. In aggregate, Dr. Borrello had 4,000 restricted shares and no options to purchase ordinary shares outstanding as of December 31, 2022. |
Narrative Disclosure to Director Compensation Table
For the fiscal year ended December 31, 2022, each of our non-executive directors was entitled to the following payments, paid in arrears, in quarterly installments: (i) an annual fee of $40,000 plus VAT, if applicable; (ii) for audit committee or compensation committee, or compliance committee membership, an additional annual fee of $10,000 plus VAT, if applicable; (iii) for nominating and corporate governance committee members, an additional annual fee of $4,000 plus VAT, if applicable; (iv) for chairmanship of the board of directors an additional annual fee of $20,000 plus VAT, if applicable; (v) for each chairmanship of the audit committee, the compensation committee, and the compliance committee, an additional annual fee of $5,000 plus VAT, if applicable; and (vi) for chairmanship of the nominating and corporate governance committee, an additional annual fee of $3,500 plus VAT, if applicable. In addition, each of our non-executive directors, other than the current chairman of the board of directors, was entitled to receive an initial grant (upon his or her first appointment to election to the board of directors) of 4,000 of our restricted ordinary shares and options to purchase 19,000 of our ordinary shares, and an annual grant of 2,000 of our restricted ordinary shares and options to purchase 9,500 of our ordinary shares, and the current chairman of the board of directors was entitled to receive an annual grant of 2,000 of our restricted ordinary shares and options to purchase 12,500 of our ordinary shares.
Compensation and talent committee
Compensation Committee Interlocks and Insider Participation
Under the Companies Law, the board of directors of any public company must appoint a compensation committee. Our compensation and talent committee, which consists of Stephen T. Wills, Kenneth I. Moch and Shawn C. Tomasello, assists our board of directors in determining compensation for our directors and officers. Mr. Moch serves as Chairman of the committee. Our board of directors has determined that each member of our compensation and talent committee is independent under the Nasdaq Rules, including the additional independence requirements applicable to the members of a compensation committee. None of the members of the compensation and talent committee are currently, or have been at any time, one of our executive officers or employees.
In accordance with the Companies Law, the roles of the compensation and talent committee are, among others, as follows:
| ● | making recommendations to the board of directors with respect to the approval of the compensation policy for office holders and, once every three years, regarding any extensions to a compensation policy that was adopted for a period of more than three years; |
| ● | reviewing the implementation of the compensation policy and periodically making recommendations to the board of directors with respect to any amendments or updates to the compensation policy; |
| ● | resolving whether or not to approve arrangements with respect to the terms of office and employment of office holders; and |
| ● | exempting, under certain circumstances, a transaction with our chief executive officer from the approval of the general meeting of our shareholders. |
138
| ● | Our board of directors has adopted a compensation committee charter setting forth the responsibilities of the committee consistent with the Nasdaq Listing Rules, which include among others: |
| ● | recommending a compensation policy to our board of Directors for its approval, in accordance with the requirements of the Companies Law, as well as making recommendations to the board of directors with respect to other compensation policies, incentive-based compensation plans and share-based compensation plans, overseeing the development and implementation of such policies and recommending to our board of directors any amendments or modifications that the committee deems appropriate, including as required under the Companies Law; |
| ● | reviewing and approving the granting of options and other incentive awards to the chief executive officer and other executive officers, including reviewing and approving corporate goals and objectives relevant to the compensation of our chief executive officer and other executive officers, and evaluating their performance in light of such goals and objectives; |
| ● | approving and exempting certain transactions regarding office holders’ compensation pursuant to the Companies Law; and |
| ● | administering our share-based compensation plans, including without limitation, approving the adoption of such plans, amending and interpreting such plans and the awards and agreements issued pursuant thereto, and making awards to eligible persons under the plans and determining the terms of such awards. |
Compensation Committee Report
Gamida Cell’s compensation and talent committee has reviewed and discussed the compensation discussion and analysis with our management and, based on the review and discussions recommended the board of directors that the compensation discussion and analysis be included in this annual report
The compensation and talent committee consists of Stephen T. Wills, Kenneth I. Moch and Shawn C. Tomasello.
In general, under the Companies Law, a public company must have a compensation policy approved by the board of directors after receiving and considering the recommendations of the compensation committee. In addition, our compensation policy must be approved at least once every three years, first, by our board of directors, upon recommendation of our compensation and talent committee, and second, by a simple majority of the ordinary shares present, in person or by proxy, and voting at a shareholders meeting, provided that either:
| ● | such majority includes at least a majority of the shares held by shareholders who are not controlling shareholders and shareholders who do not have a personal interest in such compensation arrangement and who are present and voting (excluding abstentions); or |
| ● | the total number of shares of non-controlling shareholders and shareholders who do not have a personal interest in the compensation arrangement and who vote against the arrangement, does not exceed 2% of our aggregate voting rights. |
We refer to this as the Special Approval for Compensation. Under the Companies Law, subject to certain conditions, the board of directors may ratify the compensation policy even if it is not ratified by the shareholders.
Pursuant to the Companies Law, under special circumstances, the board of directors may approve the compensation policy despite the objection of the shareholders on the condition that the compensation committee and then the board of directors decide, on the basis of detailed grounds and after discussing again the compensation policy, that approval of the compensation policy, despite the objection of the shareholders, is for our benefit.
If a company that initially offers its securities to the public adopts a compensation policy in advance of its initial public offering and describes it in its prospectus for such offering, as in the case of our Company, then such compensation policy shall be deemed a validly adopted policy in accordance with the Companies Law requirements described above. Furthermore, if the compensation policy is established in accordance with the aforementioned relief, then it will remain in effect for term of five years from the date such company becomes a public company. We have adopted our compensation policy pursuant to the foregoing relief.
139
The compensation policy must serve as the basis for decisions concerning the financial terms of employment or engagement of office holders, including exculpation, insurance, indemnification or any monetary payment or obligation of payment in respect of employment or engagement. The compensation policy must be determined and later reevaluated according to certain factors, including: the advancement of the company’s objectives, business plan and long-term strategy; the creation of appropriate incentives for office holders, while considering, among other things, the company’s size, the nature of its operations and risk management policy; and, with respect to variable compensation, the contribution of the office holder towards the achievement of the company’s long-term goals and the maximization of its profits, all with a long-term objective and according to the position of the office holder. The compensation policy must furthermore consider the following additional factors:
| ● | the education, skills, experience, expertise and accomplishments of the relevant office holder; |
| ● | the office holder’s position, responsibilities and prior compensation agreements with him or her; |
| ● | the ratio between the cost of the terms of employment of an office holder and the cost of the employment of other employees of the company, including employees employed through contractors who provide services to the company, in particular the ratio between such cost to the average and median salary of such employees of the company, as well as the impact of disparities between them on the work relationships in the company; |
| ● | if the terms of employment include variable components — the possibility of reducing variable components at the discretion of the board of directors and the possibility of setting a limit on the value of non-cash variable share-based components; and |
| ● | if the terms of employment include severance compensation — the term of employment or office of the office holder, the terms of his or her compensation during such period, the company’s performance during such period, his or her individual contribution to the achievement of the company goals and the maximization of its profits and the circumstances under which he or she is leaving the company. |
The compensation policy must also include, inter alia, with regards to variable components:
| ● | with the exception of office holders who report directly to the chief executive officer, determining the variable components on long-term performance basis and on measurable criteria; however, the company may determine that an immaterial part of the variable components of an office holder’s compensation package shall be awarded based on non-measurable criteria, if such amount is not higher than three months’ salary per annum, while taking into account such office holder’s contribution to the company; |
| ● | the ratio between variable and fixed components, as well as the limit of the values of variable components at the time of their payment, or in the case of share-based compensation, at the time of grant; |
| ● | a condition under which the office holder will return to the company, according to conditions to be set forth in the compensation policy, any amounts paid as part of his or her terms of employment, if such amounts were paid based on information later to be discovered to be wrong, and such information was restated in the company’s financial statements; |
| ● | the minimum holding or vesting period of variable share-based components to be set in the terms of office or employment, as applicable, while taking into consideration long-term incentives; and |
| ● | a limit to retirement grants. |
140
Our compensation policy, which was amended on September 10, 2020, is designed to promote retention and motivation of directors and executive officers, incentivize individual excellence, align the interests of our directors and executive officers with our long-term performance and provide a risk management tool. To that end, a portion of an executive officer compensation package is targeted to reflect our short and long-term goals, as well as the executive officer’s individual performance. On the other hand, our compensation policy includes measures designed to reduce the executive officer’s incentives to take excessive risks that may harm us in the long-term, such as limits on the value of cash bonuses and share-based compensation, limitations on the ratio between the variable and the total compensation of an executive officer and minimum vesting periods for share-based compensation.
Our compensation policy also addresses our executive officers’ individual characteristics (such as their respective positions, education, scope of responsibilities and contribution to the attainment of our goals) as the basis for compensation variation among our executive officers, and considers the internal ratios between compensation of our executive officers and directors and other employees. Pursuant to our compensation policy, the compensation that may be granted to an executive officer may include: base salary, annual bonuses and other cash bonuses (such as a signing bonus and special bonuses with respect to any special achievements, such as outstanding personal achievement, outstanding personal effort or outstanding company performance), share-based compensation, benefits, retirement and termination of service arrangements. All cash bonuses are limited to a maximum amount linked to the executive officer’s base salary. In addition, the total variable compensation components (cash bonuses and shared-based compensation) may not exceed 90% of each executive officer’s total compensation package with respect to any given calendar year.
An annual cash bonus may be awarded to executive officers upon the attainment of pre-set periodic objectives and individual targets. The annual cash bonus that may be granted to our executive officers other than our chief executive officer will be based on performance objectives and a discretionary evaluation of the executive officer’s overall performance by our chief executive officer and subject to minimum thresholds. The annual cash bonus that may be granted to executive officers other than our chief executive officer may be based entirely on a discretionary evaluation. Furthermore, our chief executive officer will be entitled to recommend performance objectives, and such performance objectives will be approved by our compensation committee (and, if required by law, by our board of directors).
The measurable performance objectives of our chief executive officer will be determined annually by our compensation committee and board of directors, will include the weight to be assigned to each achievement in the overall evaluation. A non-material portion of the chief executive officer’s annual cash bonus may be based on a discretionary evaluation of the chief executive officer’s overall performance by the compensation committee and the board of directors based on quantitative and qualitative criteria.
The share-based compensation under our compensation policy for our executive officers (including members of our board of directors) is designed in a manner consistent with the underlying objectives in determining the base salary and the annual cash bonus, with its main objectives being to enhance the alignment between the executive officers’ interests with our long-term interests and those of our shareholders and to strengthen the retention and the motivation of executive officers in the long term. Our compensation policy provides for executive officer compensation in the form of share options or other share-based awards, such as restricted shares and restricted share units, in accordance with our share incentive plan then in place. All share-based incentives granted to executive officers shall be subject to vesting periods in order to promote long-term retention of the awarded executive officers. The share-based compensation shall be granted from time to time and shall be individually determined and awarded according to the performance, educational background, prior business experience, qualifications, role and personal responsibilities of each executive officer.
In addition, our compensation policy contains compensation recovery provisions which allow us under certain conditions to recover bonuses paid in excess, enables our chief executive officer to approve an immaterial change in the terms of employment of an executive officer who reports directly to the chief executive officer (provided that the changes of the terms of employment are in accordance with our compensation policy) and allows us to exculpate, indemnify and insure our executive officers and directors to the maximum extent permitted by Israeli law, subject to certain limitations set forth therein.
Our compensation policy also provides for compensation to the members of our board of directors either (i) in accordance with the amounts provided in the Companies Regulations (Rules Regarding the Compensation and Expenses of an External Director) of 2000, as amended by the Companies Regulations (Relief for Public Companies Traded in Stock Exchange Outside of Israel) of 2000, as such regulations may be amended from time to time, or (ii) in accordance with the amounts determined in our compensation policy.
141
ITEM 12. SECURITY OWNERSHIP OF CERTAIN BENEFICIAL OWNERS AND MANAGEMENT AND RELATED SHAREHOLDER MATTERS
Security ownership of certain beneficial owners and management
The following table sets forth certain information regarding the ownership of our ordinary shares as of March 15, 2023 by: (i) each director and nominee for director; (ii) each named executive officer; (iii) all of our executive officers and directors as a group; and (iv) all those known by us to be beneficial owners of more than five percent of our ordinary shares. Beneficial ownership, for purposes of this table, includes options and warrants to purchase ordinary shares that are either currently exercisable or will be exercisable within 60 days of March 15, 2023.
Unless otherwise noted below, the address of each shareholder, director and executive officer is c/o Gamida Cell Ltd., 116 Huntington Avenue, 7th Floor, Boston, Massachusetts 02116.
| As
of March 15, 2023(1) | ||||||||
| Ordinary Shares | % | |||||||
| Holders of more than 5% of our voting securities: | ||||||||
| Access Industries(2) | 9,742,857 | 12.0 | % | |||||
| Highbridge Capital Management, LLC and certain related entities(3) | 8,909,789 | 9.9 | % | |||||
| Fidelity Management & Research(4) | 6,924,676 | 8.5 | % | |||||
| Community Master Fund, LP(5) | 5,040,329 | 6.2 | % | |||||
| Novartis Pharma AG(6) | 4,336,759 | 5.3 | % | |||||
| Directors and executive officers who are not 5% holders: | ||||||||
| Abigail Jenkins | 16,129 | * | ||||||
| Shai Lankry | 356,400 | * | ||||||
| Michele Korfin | 423,494 | * | ||||||
| Ronit Simantov | 382,607 | * | ||||||
| Josh Patterson | 123,258 | * | ||||||
| Robert I. Blum | 130,750 | * | ||||||
| Anat Cohen-Dayag | 23,000 | * | ||||||
| Julian Adams | 1,106,313 | * | ||||||
| Naama Halevi Davidov | 23,000 | * | ||||||
| Kenneth I. Moch | 67,475 | * | ||||||
| Shawn C. Tomasello | 55,927 | * | ||||||
| Stephen Wills | 55,927 | * | ||||||
| Ivan Borrello | 14,250 | * | ||||||
| All directors and executive officers as a group (13 persons)(7) | 2,755,530 | 3.4 | % | |||||
| * | Indicates beneficial ownership of less than 1% of the total ordinary shares outstanding. |
| (1) | The percentages shown are based on 81,088,076 ordinary shares issued and outstanding as of March 15, 2023. |
| (2) | The information shown is as of November 14, 2022 and is based on a Schedule 13D/A filed on November 15, 2022. Consists of: (i) 1,507,369 ordinary shares held by Clal Biotechnology Industries Ltd., or CBI; (ii) 1,374,377 ordinary shares held by Bio Medical Investment (1997) Ltd., or Bio Medical, a wholly owned subsidiary of CBI; (iii) 3,750,000 ordinary shares by AI Gamida Holdings LLC and (iv) 3,111,111 ordinary shares held by AI biotechnology LLC. Clal Industries Ltd. owns 47% of the outstanding shares of, and controls, CBI. Clal Industries Ltd. is wholly owned by Access AI Ltd., which is owned by AI Diversified Holdings S.à r.l., which is owned by AI Diversified Parent S.à r.l., which is owned by AI Diversified Holdings Limited (“AIDH Limited”). AIDH Limited is controlled by AI SMS L.P (“AI SMS”). Access Industries Holdings LLC (“AIH”) owns a majority of the equity of AI SMS, and Access Industries, LLC (“LLC”), holds a majority of the outstanding voting interests in AIH. Access Industries Management, LLC (“AIM”) controls LLC and AIH, and Len Blavatnik controls AIM. AIM controls AIH LLC and Len Blavatnik controls AIM. The address of each of Clal Industries Ltd., CBI and Bio Medical is the Triangular Tower, 3 Azrieli Center, Tel Aviv 67023, Israel and the address of each of foregoing other than Bio Medical, CBI, and Clal Industries Ltd. is 730 Fifth Avenue, 20th Floor, New York, NY 10019. |
| (3) | Consists of 2,631,252 outstanding ordinary shares and 6,278,537 ordinary shares issuable within 60 days of March 15, 2023 upon exchange of the 2022 Note and the 2021 Notes. Highbridge Tactical Credit Master Fund, L.P. holds the 2022 Note with an outstanding principal amount of $19,000,000 and the 2021 Notes with an outstanding principal amount of $44,800,000, each of which is exchangeable for ordinary shares within 60 days of March 15, 2023, subject to certain conditions. Highbridge Convertible Dislocation Fund, L.P. also holds a 2021 Note with an outstanding principal amount of $30,200,000 which is exchangeable for ordinary shares within 60 days of March 15, 2023, subject to certain conditions. Highbridge Capital Management, LLC is the trading manager of Highbridge Convertible Dislocation Fund, L.P. and Highbridge Tactical Credit Master Fund, L.P. Each of Highbridge Convertible Dislocation Fund, L.P. and Highbridge Tactical Credit Master Fund, L.P. disclaims beneficial ownership over these shares. The address of Highbridge Capital Management, LLC is 277 Park Avenue, 23rd Floor, New York, NY 10172, and the address of each of Highbridge Convertible Dislocation Fund, L.P. and Highbridge Tactical Credit Master Fund, L.P. is c/o Maples Corporate Services Limited, PO Box 309, Ugland House, South Church Street, George Town, Grand Cayman KY1-1104, Cayman Islands. No ordinary shares may be issued pursuant to the 2021 Notes or the 2022 Note to the extent such issuance would result in the holder and its affiliates, together with any other persons whose beneficial ownership would be aggregated for purposes of Section 13(d) of the Exchange Act or any group of which any such person is a member, beneficially owning in excess of 9.9% of the ordinary shares outstanding. |
| (4) | The principal address of Fidelity Management & Research is 245 Summer Street, Boston, Massachusetts 02210. This information is based solely on the information reported on the Schedule 13G/A filed on February 9, 2023 by FMR LLC. |
142
| (5) | Community US Fund Management, Inc., a Delaware corporation, or the Firm is the investment manager to Community Master Fund, L.P., a Cayman Islands exempted limited partnership, or the Master Fund. As of December 31, 2022, the Firm, as the investment manager to Master Fund, may be deemed to beneficially own an aggregate of 5,250,000 ordinary shares. The business address of such holder is 6446 Drexel Avenue, Los Angeles, California 90048. |
| (6) | This information is based solely on the Schedule 13D/A filed by Novartis Pharma AG on March 3, 2023. The ordinary shares are held by Novartis Pharma AG. Novartis Pharma AG is a wholly-owned direct subsidiary of Novartis AG. Novartis AG, as the publicly owned parent company of Novartis Pharma AG, may be deemed to beneficially own an aggregate of 4,336,759 ordinary shares held directly by Novartis Pharma AG. The address of Novartis AG is Lichtstrasse 35, CH-4056 Basel, Switzerland. |
| (7) | Consists of options to purchase 2,440,347 ordinary shares, which are currently exercisable or will become exercisable within 60 days of March 15, 2023. |
ITEM 13. CERTAIN RELATIONSHIPS AND RELATED TRANSACTIONS AND DIRECTOR INDEPENDENCE
Our policy is to enter into transactions with related parties on terms that, on the whole, are no more favorable, or no less favorable than those available from unaffiliated third parties. Based on our experience in the business sectors in which we operate and the terms of our transactions with unaffiliated third parties, we believe that all of the transactions described below met this policy standard at the time they occurred. The following is a description of material transactions, or series of related material transactions since January 1, 2021, to which we were or will be a party and in which the other parties included or will include our directors, executive officers, holders of more than 10% of our voting securities or any member of the immediate family of any of the foregoing persons.
Information Rights Agreements with Shareholders
As part of our initial public offering and effective as of its closing, we entered into an information rights agreement with an affiliate of one of our principal shareholders, Access Industries. The information rights agreement provides the counterparty with rights to receive our annual and quarterly financial statements, auditor consent letters and valuation reports, and other information reasonably required by such counterparty to enable it to prepare its financial statements. The information rights agreement also requires that we provide the counterparty with information material to us and mandated to be disclosed by the requirements applicable to such counterparty, as well as certain other material information of ours. The information rights agreement contains customary confidentiality provisions and terminates when the counterparty, and any company that controls such counterparty, is no longer required to issue public reports pursuant to the Israeli Securities Law or the Securities Exchange Act of 1934, as amended.
Agreements and Arrangements with Directors and Executive Officers
Each of our non-executive directors is entitled to the following payments, which are paid in arrears, in quarterly installments: (i) an annual fee of $40,000 plus VAT, if applicable, (ii) for audit committee or compensation committee membership, an additional annual fee of $10,000 plus VAT, if applicable, (iii) for nominating and corporate governance committee members, an additional annual fee of $4,000 plus VAT, if applicable, (iv) for chairmanship of the board of directors an additional annual fee of $60,000 plus VAT, if applicable, (v) for each chairmanship of the audit committee and the compensation committee, an additional annual fee of $5,000 plus VAT, if applicable and (vi) for chairmanship of the nominating and corporate governance committee, an additional annual fee of $3,500 plus VAT, if applicable. In addition, each of the our non-executive directors, other than the current chairman of the board of directors, shall be entitled to receive an initial grant (upon his or her first appointment to election to the Board) of 4,000 restricted ordinary shares of the Company and options to purchase 19,000 ordinary shares of the Company, and an annual grant of 2,000 of our restricted ordinary shares and options to purchase 9,500 of our ordinary shares, and the current chairman of the board of directors shall be entitled to receive an annual grant of 2,000 of our restricted ordinary shares and options to purchase 12,500 of our ordinary shares.
Executive Officers Employment Agreements.
We have entered into written employment agreements with each of our executive officers. These agreements provide for notice periods of varying duration for termination of the agreement by us or by the relevant executive officer, during which time the executive officer will continue to receive base salary and benefits (except for the accrual of vacation days). These agreements also contain customary provisions regarding non-competition, confidentiality of information and assignment of inventions. However, the enforceability of the non-competition provisions may be limited under applicable law.
Options and Restricted Share Awards
Since our inception, we have granted options to purchase our ordinary shares and/or restricted share awards to our officers and certain of our directors. Such agreements may contain acceleration provisions upon certain merger, acquisition, or change of control transactions. We describe our equity incentive plans under “Item 11.-Executive Compensation-Additional Narrative Disclosure.” If the relationship between us and an executive officer or a director is terminated, except for cause (as defined in the equity incentive plans), all options that are vested will generally remain exercisable for ninety days after such termination.
Indemnification Agreements
Our amended and restated articles of association permit us to exculpate, indemnify and insure each of our directors and office holders to the fullest extent permitted by Israeli law. In connection with the loss of our status as a foreign private issuer effective on January 1, 2022, we entered into amended and restated indemnification agreements with each of our directors and executive officers, exculpating them, to the fullest extent permitted by law, from liability to us for damages caused to us as a result of a breach of duty of care, and undertaking to indemnify them to the fullest extent permitted by Israeli law. We have also obtained directors and officers insurance for each of our executive officers and directors. The indemnification obligations under the agreements are limited to certain maximum amounts. For further information see “Exculpation, Insurance and Indemnification of Office Holders” in Item 10 above.
143
ITEM 14. PRINCIPAL ACCOUNTING FEES AND SERVICES
We paid the following fees for professional services rendered by Kost Forer Gabbay & Kasierer, a member of Ernst & Young Global, located at Tel-Aviv, Israel, Auditor firm ID: 1281, an independent registered public accounting firm for the years ended December 31, 2022 and 2021:
| 2022 | 2021 | |||||||
| (US$ in thousands) | (US$ in thousands) | |||||||
| Audit Fees(1) | 370 | 365 | ||||||
| Audit-Related Fees(2) | - | - | ||||||
| Tax Fees(3) | - | 8 | ||||||
| All Other Fees(4) | - | - | ||||||
| Total | 370 | 373 | ||||||
| (1) | Audit fees are the aggregate fees billed for the audit of our annual financial statements, quarterly review, statutory audits, issuance of consents and assistance with and review of documents filed with the SEC. |
| (2) | Audit-related fees would be assurance and related services by our independent registered public accounting firm that are reasonably related to the performance of the audit or review of our consolidated financial statements and are not reported under item (1). |
| (3) | Tax fees relate to tax compliance, planning and advice. |
| (4) | All other fees would be fees billed for services provided by our independent registered public accounting firm, with respect to government incentives and other matters. |
Audit Committee Pre-Approval Policies and Procedures
Our audit committee provides assistance to our board of directors in fulfilling its legal and fiduciary obligations in matters involving our accounting, auditing, financial reporting, internal control and legal compliance functions by pre-approving the services performed by our independent accountants and reviewing their reports regarding our accounting practices and systems of internal control over financial reporting. Our audit committee also oversees the audit efforts of our independent accountants and takes those actions that it deems necessary to satisfy itself that the accountants are independent of management. Our audit committee has authorized all auditing and non-auditing services provided by Kost Forer Gabbay & Kasierer during 2022 and 2021 and the fees paid for such services.
144
PART IV
ITEM 15. EXHIBITS, FINANCIAL STATEMENT SCHEDULES
| (a) | The documents filed as part of this report are as follows: |
| (1) | The financial statements and accompanying report of independent registered public accounting firm are set forth immediately following the signature page of this report on pages F-1 through F-30. |
| (2) | All financial statement schedules are omitted because they are inapplicable, not required or the information is included elsewhere in the financial statements or the notes thereto. |
| (3) | The following is a list of exhibits filed as part of this Annual Report on Form 10-K. |
145
EXHIBIT INDEX
146
| * | Filed herewith. |
| ** | Furnished herewith and not deemed to be “filed” for purposes of Section 18 of the Securities Exchange Act of 1934, as amended, the Exchange Act, and shall not be deemed to be incorporated by reference into any filing under the Securities Act of 1933, as amended, or the Exchange Act (whether made before or after the date of the Form 10-K), irrespective of any general incorporation language contained in such filing. |
147
SIGNATURES
Pursuant to the requirements of Section 13 and 15(d) of the Securities Exchange Act of 1934, the registrant has duly caused this report to be signed on its behalf by the undersigned, thereunto duly authorized.
Dated: March 31, 2023
| Gamida Cell Ltd. | ||
| By: | /s/ Abigail Jenkins | |
| Abigail Jenkins | ||
| President and Chief Executive Officer (Principal Executive Officer) | ||
| By: | /s/ Shai Lankry | |
| Shai Lankry | ||
| Chief Financial Officer (Principal Financial and Accounting Officer) | ||
148
POWER OF ATTORNEY
Each of the undersigned officers and directors of Gamida Cell Ltd., hereby constitutes and appoints Abigail Jenkins and Shai Lankry, their true and lawful attorney-in-fact and agent, for them and in their name, place and stead, in any and all capacities, to sign their name to any and all amendments to this Report on Form 10-K, and other related documents, and to cause the same to be filed with the Securities and Exchange Commission, granting unto said attorneys, full power and authority to do and perform any act and thing necessary and proper to be done in the premises, as fully to all intents and purposes as the undersigned could do if personally present, and the undersigned for himself hereby ratifies and confirms all that said attorney shall lawfully do or cause to be done by virtue hereof.
Pursuant to the requirements of the Securities Exchange Act of 1934, this report has been signed below by the following persons on March 31, 2023 on behalf of the registrant and in the capacities indicated.
| Signature | Title | Date | ||
| /s/ Abigail Jenkins | President, Chief Executive Officer and Director | March 31, 2023 | ||
| Abigail Jenkins | (Principal Executive Officer) | |||
| /s/ Shai Lankry | Chief Financial Officer | March 31, 2023 | ||
| Shai Lankry | (Principal Financial and Accounting Officer) | |||
| /s/ Shawn Tomasello | Chairman of the Board of Directors | March 31, 2023 | ||
| Shawn Tomasello | ||||
| /s/ Ivan Borrello | Director | March 31, 2023 | ||
| Ivan Borrello | ||||
| /s/ Julian Adams | Director | March 31, 2023 | ||
| Julian Adams | ||||
| /s/ Kenneth I. Moch | Director | March 31, 2023 | ||
| Kenneth I. Moch | ||||
| /s/ Stephen T. Wills | Director | March 31, 2023 | ||
| Stephen T. Wills |
149
Gamida Cell ltd. and its subsidiary
CONSOLIDATED FINANCIAL STATEMENTS
AS OF DECEMBER 31, 2022
U.S. DOLLARS IN THOUSANDS
INDEX
- - - - - - - - - - - - - -
F-1
![]() |
Kost Forer Gabbay & Kasierer 144 Menachem Begin Road, Building A Tel-Aviv 6492102, Israel |
Tel: +972-3-6232525 Fax: +972-3-5622555 ey.com |
REPORT OF INDEPENDENT REGISTERED PUBLIC ACCOUNTING FIRM
To the Shareholders and the Board of Directors of
Gamida Cell ltd.
Opinion on the Financial Statements
We have audited the accompanying consolidated balance sheets of Gamida Cell Ltd. and its subsidiary (the Company) as of December 31, 2022 and 2021, the related consolidated statements of operations, changes in shareholders’ equity (deficit) and cash flows for each of the two years in the period ended December 31, 2022, and the related notes (collectively referred to as the “consolidated financial statements”). In our opinion, the consolidated financial statements present fairly, in all material respects, the financial position of the Company at December 31, 2022 and 2021, and the results of its operations and its cash flows for each of the two years in the period ended December 31, 2022, in conformity with U.S. generally accepted accounting principles.
The Company’s Ability to Continue as a Going Concern
The accompanying consolidated financial statements have been prepared assuming that the Company will continue as a going concern. As discussed in Note 1c to the financial statements, the Company has suffered recurring losses from operations, has negative cash flows from operating activities, and has stated that substantial doubt exists about the Company’s ability to continue as a going concern. Management’s evaluation of the events and conditions and management’s plans regarding these matters are also described in Note 1c. The consolidated financial statements do not include any adjustments that might result from the outcome of this uncertainty.
Basis for Opinion
These financial statements are the responsibility of the Company’s management. Our responsibility is to express an opinion on the Company’s financial statements based on our audits. We are a public accounting firm registered with the Public Company Accounting Oversight Board (United States) (PCAOB) and are required to be independent with respect to the Company in accordance with the U.S. federal securities laws and the applicable rules and regulations of the Securities and Exchange Commission and the PCAOB.
We conducted our audits in accordance with the standards of the PCAOB. Those standards require that we plan and perform the audit to obtain reasonable assurance about whether the financial statements are free of material misstatement, whether due to error or fraud. The Company is not required to have, nor were we engaged to perform, an audit of its internal control over financial reporting. As part of our audits we are required to obtain an understanding of internal control over financial reporting but not for the purpose of expressing an opinion on the effectiveness of the Company’s internal control over financial reporting. Accordingly, we express no such opinion.
Our audits included performing procedures to assess the risks of material misstatement of the financial statements, whether due to error or fraud, and performing procedures that respond to those risks. Such procedures include examining, on a test basis, evidence regarding the amounts and disclosures in the financial statements. Our audits also included evaluating the accounting principles used and significant estimates made by management, as well as evaluating the overall presentation of the financial statements. We believe that our audits provide a reasonable basis for our opinion.
| /s/ | |
| KOST FORER GABBAY & KASIERER | |
| A Member of Ernst & Young Global | |
| We have served as the Company’s auditor since 2000. | |
| March 31, 2023 |
F-2
GAMIDA CELL LTD. AND ITS SUBSIDIARY
CONSOLIDATED BALANCE SHEETS
U.S. dollars in thousands (except share and per share data)
| December 31, | ||||||||
| 2022 | 2021 | |||||||
| ASSETS | ||||||||
| CURRENT ASSETS: | ||||||||
| Cash and cash equivalents | $ | $ | ||||||
| Marketable securities | - | |||||||
| Prepaid expenses and other current assets | ||||||||
| Total current assets | ||||||||
| NON-CURRENT ASSETS: | ||||||||
| Restricted deposits | ||||||||
| Property, plant and equipment, net | ||||||||
| Operating lease right-of-use assets | ||||||||
| Severance pay fund | ||||||||
| Other long-term assets | ||||||||
| Total non-current assets | ||||||||
| Total assets | $ | $ | ||||||
The accompanying notes are an integral part of the consolidated financial statements.
F-3
GAMIDA CELL LTD. AND ITS SUBSIDIARY
CONSOLIDATED BALANCE SHEETS
U.S. dollars in thousands (except share and per share data)
| December 31, | ||||||||
| 2022 | 2021 | |||||||
| LIABILITIES AND SHAREHOLDERS’ EQUITY | ||||||||
| CURRENT LIABILITIES: | ||||||||
| Trade payables | $ | $ | ||||||
| Employees and payroll accruals | ||||||||
| Operating lease liabilities | ||||||||
| Accrued interest of convertible senior notes | ||||||||
| Accrued expenses and current liabilities | ||||||||
| NON-CURRENT LIABILITIES: | ||||||||
| Convertible senior notes, net | ||||||||
| Accrued severance pay | ||||||||
| Long-term operating lease liabilities | ||||||||
| Other long-term liabilities | ||||||||
| Total non-current liabilities | ||||||||
| CONTINGENT LIABILITIES AND COMMITMENTS | ||||||||
| SHAREHOLDERS’ EQUITY (DEFICIT): | ||||||||
| Ordinary shares of NIS Authorized: | ||||||||
| Additional paid-in capital | ||||||||
| Accumulated deficit | ( | ) | ( | ) | ||||
| Total shareholders’ equity (deficit) | ( | ) | ||||||
| Total liabilities and shareholders’ equity | $ | $ | ||||||
| * |
The accompanying notes are an integral part of the consolidated financial statements.
F-4
GAMIDA CELL LTD. AND ITS SUBSIDIARY
CONSOLIDATED STATEMENTS OF OPERATIONS
U.S. dollars in thousands (except share and per share data)
Year
ended | ||||||||
| 2022 | 2021 | |||||||
| Research and development expenses, net | $ | $ | ||||||
| Commercial expenses | ||||||||
| General and administrative expenses | ||||||||
| Total operating loss | ||||||||
| Financial expenses, net | ||||||||
| Loss | $ | $ | ||||||
| $ | $ | |||||||
The accompanying notes are an integral part of the consolidated financial statements.
F-5
GAMIDA CELL LTD. AND ITS SUBSIDIARY
CONSOLIDATED STATEMENTS OF CHANGES IN SHAREHOLDERS’ EQUITY (DEFICIT)
U.S. dollars in thousands (except share and per share data)
| Ordinary shares | Additional paid-in | Treasury | Accumulated | Total shareholders’ | ||||||||||||||||||||
| Number | Amount | capital | shares | deficit | equity (deficit) | |||||||||||||||||||
| Balance as of January 1, 2021 | $ | $ | $ | - | $ | ( | ) | $ | ||||||||||||||||
| Loss | - | - | ( | ) | ( | ) | ||||||||||||||||||
| Grant of restricted shares | ( | ) | ||||||||||||||||||||||
| Exercise of options | ||||||||||||||||||||||||
| Share-based compensation | - | - | ||||||||||||||||||||||
| Balance as of December 31, 2021 | ( | ) | ||||||||||||||||||||||
| Loss | - | - | ( | ) | ( | ) | ||||||||||||||||||
| Grant of restricted shares and vested restricted share units | ( | ) | - | |||||||||||||||||||||
| Issuance of ordinary shares, net of issuance expenses ** | ||||||||||||||||||||||||
| Exercise of options | - | |||||||||||||||||||||||
| Treasury shares | ( | ) | ||||||||||||||||||||||
| Share-based compensation | - | - | ||||||||||||||||||||||
| Balance as of December 31, 2022 | $ | $ | $ | $ | ( | ) | $ | ( | ) | |||||||||||||||
| * |
| ** |
The accompanying notes are an integral part of the consolidated financial statements.
F-6
GAMIDA CELL LTD. AND ITS SUBSIDIARY
CONSOLIDATED STATEMENTS OF CASH FLOWS
U.S. dollars in thousands (except share and per share data)
Year
ended | ||||||||
| 2022 | 2021 | |||||||
| Cash flows from operating activities: | ||||||||
| Loss | $ | ( | ) | $ | ( | ) | ||
| Adjustments to reconcile loss to net cash used in operating activities: | ||||||||
| Depreciation of property, plant and equipment | ||||||||
| Financing expense (income), net | ( | ) | ||||||
| Share-based compensation | ||||||||
| Amortization of debt discount and issuance costs | ||||||||
| Operating lease right-of-use assets | ||||||||
| Operating lease liabilities | ( | ) | ( | ) | ||||
| Decrease (increase) accrued severance pay, net | ( | ) | ||||||
| Decrease in prepaid expenses and other assets | ||||||||
| Increase (decrease) in trade payables | ( | ) | ||||||
| Increase (decrease) in accrued expenses and current liabilities | ( | ) | ||||||
| Net cash used in operating activities | ( | ) | ( | ) | ||||
| Cash flows from investing activities: | ||||||||
| Purchase of property, plant and equipment | ( | ) | ( | ) | ||||
| Purchase of marketable securities | ( | ) | ( | ) | ||||
| Proceeds from maturity of marketable securities | ||||||||
| Investment in restricted deposits | - | ( | ) | |||||
| Proceeds from restricted deposits | - | |||||||
| Net cash provided by (used in) investing activities | $ | $ | ( | ) | ||||
The accompanying notes are an integral part of the consolidated financial statements.
F-7
GAMIDA CELL LTD. AND ITS SUBSIDIARY
CONSOLIDATED STATEMENTS OF CASH FLOWS
U.S. dollars in thousands (except share and per share data)
Year
ended | ||||||||
| 2022 | 2021 | |||||||
| Cash flows from financing activities: | ||||||||
| Proceeds from exercise of options | $ | $ | ||||||
| Proceeds from share issuance, net | ||||||||
| Proceeds from issuance of convertible senior notes, net | ||||||||
| Net cash provided by financing activities | ||||||||
| Increase (decrease) in cash and cash equivalents | ( | ) | ||||||
| Cash and cash equivalents at beginning of year | ||||||||
| Cash and cash equivalents at end of year | $ | $ | ||||||
| Significant non-cash transactions: | ||||||||
| Lease liabilities arising from new right-of-use asset | $ | $ | ||||||
| Purchase of property, plant and equipment on credit | $ | $ | ||||||
| Supplemental disclosures of cash flow information: | ||||||||
| Cash paid for interest | $ | $ | ||||||
The accompanying notes are an integral part of the consolidated financial statements.
F-8
GAMIDA CELL LTD. and its subsidiary
U.S. dollars in thousands (except share and per share data and unless otherwise indicated)
NOTE 1:- GENERAL
| a. | Gamida Cell Ltd. (the “Company”), founded in 1998, is an advanced cell therapy company committed to finding cures for patients with blood cancers and serious blood diseases. The Company develops novel curative treatments using stem cells and Natural Killer (NK) cells. |
| b. | The Company has created a novel NAM cell expansion technology platform that is designed to enhance the number and functionality of allogenic donor cells. This proprietary therapeutic platform may enable the development of therapies with the potential to improve treatment outcomes beyond what is possible with current donor-derived therapies. |
The lead product candidate, omidubicel, is an advanced cell therapy in development as a potential life-saving treatment option for patients in need of a bone marrow transplant (BMT). In May 2020, the Company reported that omidubicel met its primary endpoint in an international, randomized, multi-center Phase 3 clinical study in 125 patients with high-risk hematologic malignancies undergoing bone marrow transplant and who had no available matched donor. The study evaluated the safety and efficacy of omidubicel compared to standard umbilical cord blood. BMT with a graft derived from bone marrow or peripheral blood cells of a matched donor is currently the standard of care treatment for many of these patients, but there is a significant unmet need for patients who cannot find a fully matched donor.
In October 2020, the Company reported that omidubicel met all three of its secondary endpoints.
In October 2021, the complete results from our pivotal Phase 3 clinical study of omidubicel in 125 patients with various hematologic malignancies were published in the peer-reviewed medical journal Blood. The trial achieved its primary endpoint of time to neutrophil engraftment as well as all three of the prespecified secondary endpoints. These secondary endpoints were the proportion of patients who achieved platelet engraftment by day 42, the proportion of patients with grade 2 or grade 3 bacterial or invasive fungal infections in the first 100 days following transplant, and the number of days alive and out of the hospital in the first 100 days following transplant. All three secondary endpoints demonstrated statistical significance in an intent-to-treat analysis.
Omidubicel is the first bone marrow transplant product to receive Breakthrough Therapy Designation from the U.S. Food and Drug Administration and has received orphan drug designation in the U.S. and in Europe.
In June 2022, the Company announced completion of the rolling Biologics License Application (BLA) submission to the FDA for omidubicel for the treatment of patients with blood cancers in need of an allogenic hematopoietic stem cell transplant.
F-9
GAMIDA CELL LTD. and its subsidiary
NOTES TO CONSOLIDATED FINANCIAL STATEMENTS
U.S. dollars in thousands (except share and per share data and unless otherwise indicated)
NOTE 1:- GENERAL (Cont.)
In August 2022, the Company announced the FDA had accepted for filing the Company’s BLA for omidubicel for the treatment of patients with blood cancers in need of an allogenic hematopoietic stem cell transplant. The FDA granted Priority Review for the BLA and had set a Prescription Drug User Fee Act (PDUFA) target action date of January 30, 2023. Subsequently, the FDA issued an information request and viewed the volume of data required to address the information request in the Company’s response as a major amendment. On November 18, 2022, the Company received a correspondence from the FDA that the agency had updated their previous target action date under the PDUFA from January 30, 2023 to May 1, 2023, for the BLA for omidubicel.
In addition to omidubicel, the Company
is developing GDA-201, an investigational NK cell-based cancer immunotherapy to be used in combination with standard-of-care therapeutic
antibodies. NK cells have potent anti-tumor properties and have the advantage over other oncology cell therapies of not requiring genetic
matching, potentially enabling NK cells to serve as a universal donor-based therapy when combined with certain antibodies. GDA-201 is
currently in an investigator-sponsored Phase 1/2 study for the treatment of relapsed or refractory non-Hodgkin lymphoma (NHL). In December
2020, the Company reported updated and expanded results from the Phase 1 clinical study at the Annual Meeting of the American Society
of Hematology, or ASH. The data from the first 35 patients demonstrated that GDA-201 was clinically active and generally well tolerated.
At the December 2021
Annual Meeting of American Society of Hematology the Company reported two-year follow-up data from this clinical trial on outcomes and
cytokine biomarkers associated with survival.
On April 26, 2022, the Company announced that the FDA cleared its investigational new drug (IND) application and removed the clinical hold for a cryopreserved formulation of GDA-201. In June 2022, the Company announced the activation of the initial clinical sites to screen and enroll patients in the company-sponsored Phase 1/2 study evaluating a cryopreserved formulation of GDA-201, a readily available cell therapy candidate for the treatment of follicular and diffuse large B cell lymphomas.
| c. | The Company is devoting substantially all of its efforts toward research and development activities. In
the course of such activities, the Company has sustained operating losses and expects such losses to continue in the foreseeable future.
The Company’s accumulated deficit as of December 31, 2022 was $ |
F-10
GAMIDA CELL LTD. and its subsidiary
NOTES TO CONSOLIDATED FINANCIAL STATEMENTS
U.S. dollars in thousands (except share and per share data and unless otherwise indicated)
NOTE 1:- GENERAL (Cont.)
These conditions raise substantial doubt about the Company’s ability to continue as a going concern. The consolidated financial statements do not include any adjustments to the carrying amounts and classifications of assets and liabilities that would result if the Company were unable to continue as a going concern.
| d. | The Company has a wholly-owned U.S. subsidiary, Gamida Cell Inc. (the “Subsidiary”), which
was incorporated in 2000, under the laws of the State of Delaware. The Company has |
NOTE 2:- SIGNIFICANT ACCOUNTING POLICIES
| a. | Basis of presentation of the financial statements: |
The Company’s consolidated financial statements have been prepared in accordance with United States generally accepted accounting principles (U.S. GAAP) as set forth in the Financial Accounting Standards Board (the “FASB”) Accounting Standards Codification (ASC).
| b. | Use of estimates: |
The preparation of financial statements in conformity with U.S. GAAP requires management to make estimates, judgments and assumptions that affect the amounts reported in the consolidated financial statements and accompanying notes. The Company’s management believes that the estimates, judgment and assumptions used are reasonable based upon information available at the time they are made. These estimates, judgments and assumptions can affect the reported amounts of assets and liabilities at the dates of the consolidated financial statements, and the reported amount of expenses during the reporting periods. Actual results could differ from those estimates.
| c. | Principles of consolidation: |
The consolidated financial statements include the accounts of the Company and its subsidiary. Intercompany balances have been eliminated upon consolidation.
| d. | Consolidated financial statements in U.S dollars: |
The functional currency is the currency that best reflects the economic environment in which the Company and its subsidiary operates and conducts their transactions. Most of the Company’s costs are incurred in U.S. dollar. In addition, the Company’s financing activities are incurred in U.S. dollars. The Company’s management believes that the functional currency of the Company is the U.S. dollar.
Accordingly, monetary accounts maintained in currencies other than the U.S. dollar are remeasured into U.S. dollars in accordance with ASC No. 830 “Foreign Currency Matters.” All transaction gains and losses of the remeasured monetary balance sheet items are reflected in the statements of operations as financing income or expenses as appropriate.
F-11
GAMIDA CELL LTD. and its subsidiary
NOTES TO CONSOLIDATED FINANCIAL STATEMENTS
U.S. dollars in thousands (except share and per share data and unless otherwise indicated)
NOTE 2:- SIGNIFICANT ACCOUNTING POLICIES (Cont.)
| e. | Cash and cash equivalents: |
Cash equivalents are short-term highly liquid deposits that are readily convertible to cash with original maturities of three months or less, at the date acquired.
| f. | Investments in marketable securities: |
The Company’s investment in marketable securities consist primarily of trading bonds with a quoted market price that are classified as trading securities pursuant to ASC No. 320 “Investments — Debt Securities.” Marketable securities are stated at fair value as determined by the closing price of each security at balance sheet date. Unrealized gains and losses on these securities are included in financial expenses, net in the consolidated statements of operations.
| g. | Restricted short-term and long-term deposits: |
Restricted short-term deposits are
deposits with maturities of up to one year and are used as security for the Company’s credit cards. Restricted short-term deposits
amounted to $
Restricted long-term deposits are
deposits with maturities of more than one year and are used as guarantee for the Israeli Investment Center grant received partially in
2022 and expected to be received in 2023, security for the rental of premises and for the Company’s credit cards. Restricted long-term
deposits amounted to $
| h. | Property, plant and equipment: |
Property, plant and equipment are measured at cost, including directly attributable costs, less accumulated depreciation, accumulated impairment losses and any related investment grants, excluding day-to-day servicing expenses.
Depreciation is calculated on a straight-line basis over the useful life of the assets at annual rates as follows:
| % | ||||
| Machinery | ||||
| Office, furniture and equipment | ||||
| Leasehold improvements | ||||
| Project in process- manufacturing plant |
| (*) |
|
| (**) |
F-12
GAMIDA CELL LTD. and its subsidiary
NOTES TO CONSOLIDATED FINANCIAL STATEMENTS
U.S. dollars in thousands (except share and per share data and unless otherwise indicated)
NOTE 2:- SIGNIFICANT ACCOUNTING POLICIES (Cont.)
| i. | Impairment of long-lived assets: |
The Company’s long-lived assets are reviewed for impairment in accordance with ASC No. 360 “Property, Plant and Equipment,” whenever events or changes in circumstances indicate that the carrying amount of an asset may not be recoverable. If indicators of impairment exist and the undiscounted future cash flows that the assets are expected to generate are less than the carrying value of the assets, the Company reduces the carrying amount of the assets through an impairment charge, to their estimated fair values. During the years ended December 31, 2022 and 2021, no impairment indicators have been identified.
| j. | Treasury shares: |
The Company repurchased its ordinary shares and holds them as treasury shares. The Company presents the cost to repurchase treasury shares as a reduction of shareholders’ equity.
| k. | Research and development expenses: |
Research and development expenses net of grants are recognized in the consolidated statements of operations when incurred. Research and development expenses consist of personnel costs (including salaries, benefits and share-based compensation), materials, consulting fees and payments to subcontractors, costs associated with obtaining regulatory approvals, and executing pre-clinical and clinical studies. In addition, research and development expenses include overhead allocations consisting of various administrative and facilities related costs. The Company charges research and development expenses as incurred.
Royalty-bearing grants from the Israeli Innovation Authority (the “IIA”) of the Ministry of Economy and Industry in Israel for funding of approved research and development projects are recognized at the time the Company is entitled to such grants, on the basis of the costs incurred, and are presented as a reduction from research and development expenses.
Since the payment of royalties is
not probable when the grants are received, the Company does not record a liability for amounts received from IIA until the related revenues
are recognized. In the event of failure of a project that was partly financed by the IIA, the Company will not be obligated to pay
any royalties or repay the amounts received. The Company recognized the amounts of grants received in research and development as a reduction
from research and development expenses in the amount of $
F-13
GAMIDA CELL LTD. and its subsidiary
NOTES TO CONSOLIDATED FINANCIAL STATEMENTS
U.S. dollars in thousands (except share and per share data and unless otherwise indicated)
NOTE 2:- SIGNIFICANT ACCOUNTING POLICIES (Cont.)
| l. | Share-based compensation: |
The Company accounts for share-based compensation in accordance with ASC No. 718, “Compensation - Stock Compensation”, which requires companies to estimate the fair value of equity-based payment awards on the date of grant using an option-pricing model. The value of the award is recognized as an expense over the requisite service periods, which is the vesting period of the respective award, on a straight-line basis when the only condition to vesting is continued service.
The Company has selected the binominal option-pricing model as the most appropriate fair value method for its option awards. The fair value of restricted shares is based on the closing market value of the underlying shares at the date of grant. The Company recognizes forfeitures of equity-based awards as they occur.
| m. | Employee benefit liabilities: |
The Company has several employee benefit plans:
| 1. | Short-term employee benefits |
Short-term employee benefits are benefits that are expected to be settled entirely before twelve months after the end of the annual reporting period in which the employees render the related services. These benefits include salaries, paid annual leave, paid sick leave, recreation and social security contributions and are recognized as expenses as the services are rendered.
| 2. | Severance pay |
The
majority of the Company’s employees who are Israeli citizens have subscribed to Section 14 of Israel’s Severance Pay
Law, 5723-1963 (the “Severance Pay Law”). Pursuant to Section 14 of the Severance Pay Law, employees covered by this
section are entitled to monthly deposits at a rate of
For
the Company’s employees in Israel who are not subject to Section 14 of the Severance Pay Law, the Company has a liability for severance
pay pursuant to the Severance Pay Law based on the most recent salary of these employees multiplied by the number of years of employment
as of the balance sheet date. The Company’s liability for these employees is fully provided for by monthly deposits with severance
pay funds, insurance policies and accruals. The deposited funds include profits accumulated up to the balance sheet date. The deposited
funds may be withdrawn only upon the fulfillment of the obligation pursuant to the Severance Pay Law or labor agreements. The severance
pay fund amounted to $
F-14
GAMIDA CELL LTD. and its subsidiary
NOTES TO CONSOLIDATED FINANCIAL STATEMENTS
U.S. dollars in thousands (except share and per share data and unless otherwise indicated)
NOTE 2:- SIGNIFICANT ACCOUNTING POLICIES (Cont.)
Accrued
severance pay is $
| n. | Fair value of financial instruments: |
The accounting guidance for fair value provides a framework for measuring fair value, clarifies the definition of fair value, and expands disclosures regarding fair value measurements. Fair value is defined as the price that would be received to sell an asset or paid to transfer a liability (an exit price) in an orderly transaction between market participants at the reporting date. The accounting guidance establishes a three-tiered hierarchy, which prioritizes the inputs used in the valuation methodologies in measuring fair value as follows:
Level 1: Quoted prices (unadjusted) in active markets that are accessible at the measurement date for assets or liabilities. The fair value hierarchy gives the highest priority to Level 1 inputs.
Level 2: Observable inputs that are based on inputs not quoted on active markets but corroborated by market data.
Level 3: Unobservable inputs are used when little or no market data are available.
The carrying amounts of cash and cash equivalents, marketable securities, other receivables, short-term deposits, prepaid expenses and other current assets, trade payables, accrued expenses and other payables approximate their fair value due to the short-term maturity of such instruments.
| o. | Leases: |
The Company accounts for leases according to ASC 842, “Leases”. The Company determines if an arrangement is a lease and the classification of that lease at inception based on: (1) whether the contract involves the use of a distinct identified asset, (2) whether the Company obtains the right to substantially all the economic benefits from the use of the asset throughout the period, and (3) whether the Company has a right to direct the use of the asset. The Company elected the practical expedient for lease agreements with a term of twelve months or less and does not recognize right-of-use (“ROU”) assets and lease liabilities in respect of those agreements. The Company also elected the practical expedient to not separate lease and non-lease components for its leases.
F-15
GAMIDA CELL LTD. and its subsidiary
NOTES TO CONSOLIDATED FINANCIAL STATEMENTS
U.S. dollars in thousands (except share and per share data and unless otherwise indicated)
NOTE 2:- SIGNIFICANT ACCOUNTING POLICIES (Cont.)
An ROU asset represents the right to use an underlying asset for the lease term and lease liabilities represent the Company’s obligation to make lease payments arising from the lease agreement. An ROU asset is measured based on the discounted present value of the remaining lease payments, plus any initial direct costs incurred and prepaid lease payments, excluding lease incentives. The lease liability is measured at lease commencement date based on the discounted present value of the remaining lease payments. The implicit rate within the operating leases is generally not determinable, therefore the Company uses the Incremental Borrowing Rate (“IBR”) based on the information available at commencement date in determining the present value of lease payments. The Company’s IBR is estimated to approximate the interest rate for collateralized borrowing with similar terms and payments and in economic environments where the leased asset is located. Certain leases include options to extend the lease. An option to extend the lease is considered in connection with determining the ROU asset and lease liability when it is reasonably certain that the Company will exercise that option. An option to terminate is considered unless it is reasonably certain that the Company will not exercise the option.
Payments under the Company’s lease arrangements are primarily fixed however, certain lease agreements contain variable payments, which are expensed as incurred and not included in the operating lease right-of-use assets and liabilities. Variable lease payments are primarily comprised of payments affected by common area maintenance and utility charges.
| p. | Income taxes: |
The Company accounts for income taxes in accordance with ASC 740, “Income Taxes”, which prescribes the use of the liability method whereby deferred tax asset and liability account balances are determined based on differences between the financial reporting and tax bases of assets and liabilities and are measured using the enacted tax rates and laws that will be in effect when the differences are expected to reverse. The Company provides a valuation allowance, to reduce deferred tax assets to their estimated realizable value, if needed.
ASC 740
offers a two-step approach for recognizing and measuring a liability for uncertain tax positions. The first step is to evaluate
the tax position taken or expected to be taken in a tax return by determining if the weight of available evidence indicates that it is
more likely than not that, on an evaluation of the technical merits, the tax position will be sustained on audit, including resolution
of any related appeals or litigation processes. The second step is to measure the tax benefit as the largest amount that is more than
F-16
GAMIDA CELL LTD. and its subsidiary
NOTES TO CONSOLIDATED FINANCIAL STATEMENTS
U.S. dollars in thousands (except share and per share data and unless otherwise indicated)
NOTE 2:- SIGNIFICANT ACCOUNTING POLICIES (Cont.)
| q. | Basic and diluted net loss per share: |
The Company computes net loss per share using the two-class method required for participating securities. The two-class method requires income available to ordinary shareholders for the period to be allocated between ordinary shares and participating securities based upon their respective rights to receive dividends as if all income for the period had been distributed. The Company considers its restricted shares to be participating securities as the holders of the restricted shares would be entitled to dividends that would be distributed to the holders of ordinary shares, on a pro-rata basis. These participating securities do not contractually require the holders of such shares to participate in the Company’s losses. As such, net loss for the periods presented was not allocated to the Company’s participating securities.
The Company’s basic net loss per share is calculated by dividing net loss attributable to ordinary shareholders by the weighted-average number of ordinary shares outstanding for the period, without consideration of potentially dilutive securities. The diluted net loss per share is calculated by giving effect to all potentially dilutive securities outstanding for the period using the treasury share method or the if-converted method for the convertible senior notes if the assumed conversion into ordinary shares is dilutive. Diluted net loss per share is the same as basic net loss per share in periods when the effects of potentially dilutive ordinary shares are anti-dilutive.
| r. | Recently issued accounting standards not yet adopted: |
In June 2016, FASB issued ASU 2016-13, Financial Instruments - Credit Losses (Topic 326): Measurement of Credit Losses on Financial Instruments. ASU 2016-13 amends the impairment model to utilize an expected loss methodology in place of the currently used incurred loss methodology, which will result in the more timely recognition of losses. Topic 326 will be effective for the Company beginning on January 1, 2023. The adoption is not expected to result in a material impact on the Company’s consolidated financial statements.
F-17
GAMIDA CELL LTD. and its subsidiary
NOTES TO CONSOLIDATED FINANCIAL STATEMENTS
U.S. dollars in thousands (except share and per share data and unless otherwise indicated)
NOTE 3:- PROPERTY, PLANT AND EQUIPMENT, NET
The composition of property, plant and equipment is as follows:
| December 31, | ||||||||
| 2022 | 2021 | |||||||
| Cost: | ||||||||
| Machinery | $ | $ | ||||||
| Leasehold improvements | ||||||||
| Office, furniture and equipment | ||||||||
| Production plant in process | ||||||||
| Less - accumulated depreciation | ( | ) | ( | ) | ||||
| Depreciated cost | $ | $ | ||||||
Depreciation expense amounted to $
NOTE 4:- LEASES
The Company entered
into operating leases primarily for its in-process production plant, and its laboratories and offices. The leases have remaining lease
terms of up to
The components of operating lease costs were as follows:
Year ended December 31, | ||||||||
| 2022 | 2021 | |||||||
| Operating lease costs | $ | $ | ||||||
| Short-term lease costs | ||||||||
| Total lease costs | $ | $ | ||||||
F-18
GAMIDA CELL LTD. and its subsidiary
NOTES TO CONSOLIDATED FINANCIAL STATEMENTS
U.S. dollars in thousands (except share and per share data and unless otherwise indicated)
NOTE 4:- LEASES (Cont.)
Supplemental balance sheet information related to operating leases is as follows:
Year
ended | ||||||||
| 2022 | 2021 | |||||||
| Weighted average remaining lease term (in years) | ||||||||
| Weighted average discount rate | % | % | ||||||
Maturities of lease liabilities were as follows:
| December 31, | ||||
| 2023 | $ | |||
| 2024 | ||||
| 2025 | ||||
| 2026 | ||||
| 2027 | ||||
| Total undiscounted lease payments | ||||
| Less - imputed interest | ( | ) | ||
| Present value of lease liabilities | $ | |||
NOTE 5: OTHER LONG-TERM LIABILITIES
In
December 2022, the Company signed an agreement with Lonza Netherlands B.V., or Lonza, to mutually terminate their Service Agreement,
whereas the Company shall pay Lonza an aggregate amount of
NOTE 6:- CONVERTIBLE SENIOR NOTES, NET
| a. | On February 16, 2021, the Subsidiary issued convertible senior notes (the “2021 Notes”) due in 2026, in the aggregate principal amount of $ |
F-19
GAMIDA CELL LTD. and its subsidiary
NOTES TO CONSOLIDATED FINANCIAL STATEMENTS
U.S. dollars in thousands (except share and per share data and unless otherwise indicated)
NOTE 6:- CONVERTIBLE SENIOR NOTES, NET (Cont.)
Subject to the provisions of the
Indenture, the holders of the 2021 Notes have the right, prior to the close of business on the second scheduled trading day immediately
preceding February 15, 2026, to convert any 2021 Notes or portion thereof that is $
Upon the occurrence of a fundamental
change (as defined in the Indenture), holders of the 2021 Notes may require the Company to repurchase for cash all or a portion of their
2021 Notes, in multiples of $
Subject to the provisions of the
Indenture, the Subsidiary may redeem for cash all or a portion of the 2021 Notes for cash, at its option, at a redemption price equal
to
The Company accounts for its 2021 Notes in accordance with ASC 470-20 “Debt with Conversion and Other Options”. The Convertible Notes are accounted for as a single liability measured at its amortized cost, as no other embedded features require bifurcation and recognition as derivatives according to ASC 815-40.
| December 31, | ||||||||
| 2022 | 2021 | |||||||
| Liability component: | ||||||||
| Principal amount | $ | $ | ||||||
| Issuance costs | ( | ) | ( | ) | ||||
| Net issuance costs | ||||||||
| Amortized issuance costs | ||||||||
| Net carrying amount | $ | $ | ||||||
The total issuance costs of the 2021
Notes amounted to $
As of December 31, 2022, and 2021,
the total estimated fair value of the 2021 Notes was $
F-20
GAMIDA CELL LTD. and its subsidiary
NOTES TO CONSOLIDATED FINANCIAL STATEMENTS
U.S. dollars in thousands (except share and per share data and unless otherwise indicated)
NOTE 6:- CONVERTIBLE SENIOR NOTES, NET (Cont.)
| b. | In December 2022, the Company, as guarantor, and the Subsidiary entered into a Loan and Security Agreement (the “Loan Agreement”) with certain funds managed by Highbridge Capital Management, LLC (collectively, “Highbridge”), as the lenders (together with the other lenders from time to time party thereto, the “Lenders”), and Wilmington Savings Fund Society, FSB, as collateral agent and administrative agent. Pursuant to the Loan Agreement, the Subsidiary issued $ |
The 2022 Notes
are exchangeable, at the option of the Lenders, into ordinary shares at an exchange rate of
The Loan Agreement contains customary representations and warranties and covenants, including a $
The Company has elected the fair value option to measure the 2022 Notes
upon issuance, in accordance with ASC 825-10. Under the fair value option, the 2022 Notes are measured at fair value each period with
changes in fair value reported in the statements of operations. According to ASC 825-10, changes in fair value that are caused by changes
in the instrument-specific credit risk will be presented separately in other comprehensive income (loss). As of December 31, 2022, the
fair value of the 2022 Notes was $
Subsequent to balance sheet date, in January and March 2023, the Company issued
NOTE 7:- ACCRUED EXPENSES AND CURRENT LIABILITIES
| December 31, | ||||||||
| 2022 | 2021 | |||||||
| Subcontractors | $ | $ | ||||||
| Clinical activities | ||||||||
| Professional services | ||||||||
| Production plant in process | ||||||||
| Other | ||||||||
| $ | $ | |||||||
F-21
GAMIDA CELL LTD. and its subsidiary
NOTES TO CONSOLIDATED FINANCIAL STATEMENTS
U.S. dollars in thousands (except share and per share data and unless otherwise indicated)
NOTE 8:- FAIR VALUE MEASUREMENTS
The following tables present the fair value of money market funds and marketable securities for the years ended December 31, 2022 and 2021:
| December 31, | ||||||||||||||||||||||||||||||||
| 2022 | 2021 | |||||||||||||||||||||||||||||||
| Level 1 | Level 2 | Level 3 | Total | Level 1 | Level 2 | Level 3 | Total | |||||||||||||||||||||||||
| Financial Assets: | ||||||||||||||||||||||||||||||||
| Cash equivalents: | ||||||||||||||||||||||||||||||||
| Money market funds | $ | $ | $ | $ | $ | $ | $ | $ | ||||||||||||||||||||||||
| Marketable securities: | ||||||||||||||||||||||||||||||||
| Corporate debentures | ||||||||||||||||||||||||||||||||
| Government debentures | ||||||||||||||||||||||||||||||||
| Total assets measured at fair value | ||||||||||||||||||||||||||||||||
| Financial Liabilities: | ||||||||||||||||||||||||||||||||
| 2022 Notes | ||||||||||||||||||||||||||||||||
| Total liabilities measured at fair value | $ | $ | $ | $ | $ | $ | $ | $ | ||||||||||||||||||||||||
See Note 6 “Convertible Senior Notes” for the carrying amount and estimated fair value of the Company’s 2021 Notes as of December 31, 2022 and 2021.
The Company classifies the cash equivalents, marketable securities and 2022 Notes within Level 1, Level 2 or Level 3 because the Company uses quoted market prices, alternative pricing sources and models utilizing market observable inputs or unobservable inputs to determine their fair value.
NOTE 9:- CONTINGENT LIABILITIES AND COMMITMENTS
| a. | Legal proceedings: |
From time to time the Company or its subsidiaries may be involved in legal proceedings and/or litigation arising in the ordinary course of business. While the outcome of these matters cannot be predicted with certainty, the Company does not believe it will have a material effect on its consolidated financial position, results of operations, or cash flows.
| b. | Bank guarantees: |
As of December
31, 2022, the Company obtained bank guarantees in the amount of $
F-22
GAMIDA CELL LTD. and its subsidiary
NOTES TO CONSOLIDATED FINANCIAL STATEMENTS
U.S. dollars in thousands (except share and per share data and unless otherwise indicated)
NOTE 9:- CONTINGENT LIABILITIES AND COMMITMENTS (Cont.)
| c. | Governments grants |
The Company has received grants from
the IIA to finance its research and development programs in Israel, through which the Company received IIA participation payments in
the aggregate amount of $
NOTE 10:- SHAREHOLDERS’ EQUITY
| a. | Ordinary shares: |
Subject to the Company’s amended and restated Articles of Association, the holders of the Company’s ordinary shares have the right to receive notices to attend and vote in general meetings of the Company’s shareholders, and the right to share in dividends and other distributions upon liquidation.
On September 27,
2022, the Company entered into an underwriting agreement with certain underwriters, pursuant to which the Company issued and sold, in
an underwritten public offering, an aggregate of
| b. | Warrants to investors: |
As part of its 2017 investment round,
the Company granted certain investors
| c. | Treasury shares: |
During the
year ended December 31, 2022, the Company cancelled
F-23
GAMIDA CELL LTD. and its subsidiary
NOTES TO CONSOLIDATED FINANCIAL STATEMENTS
U.S. dollars in thousands (except share and per share data and unless otherwise indicated)
NOTE 11:- SHARE-BASED COMPENSATION
| a. | Option plans: |
On November 23,
2014, the Company’s Board of Directors approved, subject to the approval of the shareholders, creation of the Company’s ordinary
C share class, with nominal value NIS
The options vest
primarily over
On January 23,
2017, the Company’s Board of Directors approved the Company’s 2017 Share Incentive Plan (the “2017 Plan” and
together with the 2014 Plan, the “Option Plans”), and the subsequent grant of options to the Company’s employees, officers
and directors. Pursuant to the 2017 Plan, the Company initially reserved for issuance
The 2017 Plan provides for the grant of awards, including options, restricted shares and restricted share units to the Company’s directors, employees, officers, consultants and advisors.
On June 26, 2017,
and on December 28, 2017, the Company’s Board of Directors approved the reservation of
On February 25, 2021 and November
17, 2021, the board of directors and shareholders, respectively, approved an amendment and restatement of the 2017 Plan. The 2017 Plan,
as amended, also contains an “evergreen” provision, which provides for an automatic allotment of ordinary shares to be added
every year to the pool of ordinary shares available for grant under the 2017 Plan. Under the evergreen provision, on January 1 of each
year (beginning January 1, 2022), the number of ordinary shares available under the 2017 Plan automatically increases by the lesser of
the following: (i)
The Company estimates the fair value of stock options granted using the binominal option-pricing model. The option-pricing model requires a number of assumptions, of which the most significant are the expected stock price volatility and the expected option term.
F-24
GAMIDA CELL LTD. and its subsidiary
NOTES TO CONSOLIDATED FINANCIAL STATEMENTS
U.S. dollars in thousands (except share and per share data and unless otherwise indicated)
NOTE 11:- SHARE-BASED COMPENSATION (Cont.)
Expected volatility was calculated based upon the Company’s historical share price and historical volatilities of similar entities in the related sector index. The expected term of the options granted is derived from output of the option valuation model and represents the period of time that options granted are expected to be outstanding. The risk-free interest rate is based on the yield from U.S. treasury bonds with an equivalent term. The Company has historically not paid dividends and has no foreseeable plans to pay dividends.
The following table lists the inputs to the binomial option-pricing model used for the fair value measurement of equity-settled share options for the above Options Plans for the years 2022 and 2021:
| December 31, | ||||||||
| 2022 | 2021 | |||||||
| Dividend yield | % | % | ||||||
| Expected volatility of the share prices | % | |||||||
| Risk-free interest rate | ||||||||
| Expected term (in years) | ||||||||
Based on the above
inputs, the fair value of the options was determined to be $
| b. | The following table summarizes the number of options granted to employees under the Option Plans for the year ended December 31, 2022 and related information: |
| Number of options |
Weighted average exercise price |
Weighted average remaining contractual term (in years) |
Aggregate intrinsic value |
|||||||||||||
| Balance as of December 31, 2021 | $ | $ | ||||||||||||||
| Granted | ||||||||||||||||
| Exercised | ( |
) | ||||||||||||||
| Forfeited | ( |
) | ||||||||||||||
| Expired | ( |
) | ||||||||||||||
| Balance as of December 31, 2022 | ||||||||||||||||
| Exercisable as of December 31, 2022 | $ | $ | ||||||||||||||
As of December
31, 2022, there are $
F-25
GAMIDA CELL LTD. and its subsidiary
NOTES TO CONSOLIDATED FINANCIAL STATEMENTS
U.S. dollars in thousands (except share and per share data and unless otherwise indicated)
NOTE 11:- SHARE-BASED COMPENSATION (Cont.)
| c. | The following table summarizes information about the Company’s outstanding and exercisable options granted to employees as of December 31, 2022: |
| Exercise price | Options outstanding as of December 31, 2022 |
Weighted average remaining contractual term (years) |
Options exercisable as of December 31, 2022 |
Weighted average remaining contractual term (years) |
||||||||||||
| $ 0.25- 3.80 | ||||||||||||||||
| $ 4.15- 4.95 | ||||||||||||||||
| $ 5.21- 7.56 | ||||||||||||||||
| $ 8.00-11.01 | ||||||||||||||||
| d. | A summary of restricted shares and restricted share units activity for the year ended December 31, 2022 is as follows: |
| Number of restricted shares and restricted share units | Weighted average grant date fair | |||||||
| Unvested as of December 31, 2021 | $ | |||||||
| Granted | ||||||||
| Vested | ( | ) | ||||||
| Forfeited | ( | ) | ||||||
| Unvested as of December 31, 2022 | $ | |||||||
| e. | The total share-based compensation expense related to all of the Company’s equity-based awards, recognized for the years ended December 31, 2022 and 2021 is comprised as follows: |
Year
ended | ||||||||
| 2022 | 2021 | |||||||
| Research and development expenses, net | $ | $ | ||||||
| Commercial expenses | ||||||||
| General and administrative expenses | ||||||||
| Total share-based compensation | $ | $ | ||||||
F-26
GAMIDA CELL LTD. and its subsidiary
NOTES TO CONSOLIDATED FINANCIAL STATEMENTS
U.S. dollars in thousands (except share and per share data and unless otherwise indicated)
NOTE 12:- TAXES ON INCOME
| a. | Tax rates applicable to the income of the Company: |
| 1. | Corporate tax rates |
Taxable income
of the Israeli parent is subject to the Israeli corporate tax at the rate of
The Subsidiary is taxed according to the tax laws in its country of residence.
| 2. | Income tax benefits |
Income is subject to tax benefits under the Law for Encouragement of Capital Investments, 1959 (the “Investment Law”), which provides tax benefits for Israeli companies meeting certain requirements and criteria. The Investment Law has undergone certain amendments and reforms in recent decades.
The Israeli parliament enacted a reform to the Investment Law, effective January 2011. According to the reform, a flat rate tax applies to companies eligible for the “Preferred Enterprise” status. In order to be eligible for Preferred Enterprise status, a company must meet minimum requirements to establish that it contributes to the country’s economic growth and is a competitive factor for the gross domestic product.
The Company’s Israeli operations elected “Preferred Enterprise” status, starting in 2017.
Benefits granted
to a Preferred Enterprise include reduced tax rates. As part of the Economic Efficiency Law (Legislative Amendments for Accomplishment
of Budgetary Targets for Budget Years 2017-2018), 5777-2016, the tax rate for Area A will be
| b. | The Law for the Encouragement of Industry (Taxation), 1969: |
The Company has the status of an “industrial company”, under this law. According to this status and by virtue of regulations published thereunder, the Company is entitled to claim a deduction of accelerated depreciation on equipment used in industrial activities, as determined in the regulations issued under the law. The Company is also entitled to amortize a patent or knowhow usage right that is used in the enterprise’s development or promotion, to deduct listed share issuance expenses and to file consolidated financial statements under certain conditions.
F-27
GAMIDA CELL LTD. and its subsidiary
NOTES TO CONSOLIDATED FINANCIAL STATEMENTS
U.S. dollars in thousands (except share and per share data and unless otherwise indicated)
NOTE 12:- TAXES ON INCOME (Cont.)
| c. | The components of the loss were as follows: |
Year
ended | ||||||||
| 2022 | 2021 | |||||||
| Domestic | $ | $ | ||||||
| Foreign | ||||||||
| $ | $ | |||||||
| d. | Net operating losses carryforward: |
The Company has
net operating losses and capital losses for tax purposes as of December 31, 2022 totaling approximately $
As of December
31, 2022, the Subsidiary has net operating losses carryforwards of $
| e. | Final tax assessments: |
The Company’s tax assessments through the 2017 tax year are considered final.
| f. | Deferred taxes: |
The Company provided a full valuation allowance, to reduce deferred tax assets to their estimated realizable value, since it is more likely than not that all of the deferred tax assets will not be realized.
F-28
GAMIDA CELL LTD. and its subsidiary
NOTES TO CONSOLIDATED FINANCIAL STATEMENTS
U.S. dollars in thousands (except share and per share data and unless otherwise indicated)
NOTE 13:- BASIC AND DILUTED NET LOSS PER SHARE
Basic net loss per ordinary share is computed by dividing net loss for each reporting period by the weighted-average number of ordinary shares outstanding during each year. Diluted net loss per ordinary share is computed by dividing net loss for each reporting period by the weighted average number of ordinary shares outstanding during the period, plus dilutive potential ordinary shares considered outstanding during the period, in accordance with ASC No. 260-10 “Earnings Per Share”. The Company incurred a loss in the year ended December 31, 2022; hence all potentially dilutive ordinary shares were excluded due to their anti-dilutive effect.
Details of the number of shares and loss used in the computation of net loss per share:
| Year ended December 31, | ||||||||||||||||
| 2022 | 2021 | |||||||||||||||
| Weighted number of shares | Net loss | Weighted number of shares | Net loss | |||||||||||||
| For the computation of basic and diluted net loss | $ | $ | ||||||||||||||
All outstanding convertible senior note options, warrants, outstanding share options, and restricted shares for the three and nine months ended December 31, 2022 and 2021 have been excluded from the calculation of the diluted net loss per share, because all such securities are anti-dilutive for all periods presented. The total number of potential shares excluded from the calculation of diluted net loss per share are as follows:
Year
ended | ||||||||
| 2022 | 2021 | |||||||
| Convertible senior notes | ||||||||
| Warrants | ||||||||
| Outstanding share options | ||||||||
| Restricted shares | ||||||||
| Total | ||||||||
F-29
GAMIDA CELL LTD. and its subsidiary
NOTES TO CONSOLIDATED FINANCIAL STATEMENTS
U.S. dollars in thousands (except share and per share data and unless otherwise indicated)
NOTE 14: SUBSEQUENT EVENTS
| 1. | On March 10, 2023, Silicon Valley Bank (“SVB”) was closed by the California Department of Financial Protection and Innovation, which appointed the Federal Deposit Insurance Corporation (“FDIC”) as receiver. As of March 31, 2023, the Company’s exposure to SVB is immaterial, and consists mainly on customary business related deposits, which the impact of any amounts that the Company is unable to recover will not have a significant disruption on ongoing business activities. |
| 2. |
| 3. | On March 27, 2023, the Company implemented a strategic restructuring
of its operations to prioritize launch of omidubicel to ensure that, if approved, patients who may potentially benefit will have access
to therapy. In connection with this strategic restructuring, the Company has taken decisive actions to: (1) prioritize resources toward
the launch; (2) reduce expenses across the board; and (3) seek potential commercial or strategic partnerships to maximize patient access
to omidubicel, a potentially lifesaving therapy. To reduce operating expenses, the Company will: (1) suspend the development of its engineered
NK cell therapy preclinical pipeline, including GDA-301, GDA-501 and GDA-601, while maintaining the rights to this intellectual property;
(2) implement a headcount reduction of |
- - - - - - - - - - - - - -
F-30