10-K 1 a2218510z10-k.htm 10-K

Use these links to rapidly review the document
TABLE OF CONTENTS
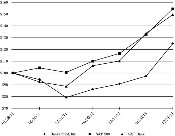
Item 8. Financial Statements and Supplementary Data

Table of Contents

 

UNITED STATES
SECURITIES AND EXCHANGE COMMISSION
Washington, D.C. 20549



FORM 10-K



ANNUAL REPORT PURSUANT TO SECTION 13 OR 15(d) OF THE
SECURITIES EXCHANGE ACT OF 1934

FOR THE FISCAL YEAR ENDED DECEMBER 31, 2013

Commission file number: 001-35039



BankUnited, Inc.
(Exact name of registrant as specified in its charter)



Delaware
(State or other jurisdiction of
incorporation or organization)
  27-0162450
(I.R.S. Employer
Identification No.)

14817 Oak Lane, Miami Lakes, FL
(Address of principal executive offices)

 

33016
(Zip Code)

(305) 569-2000
(Registrant's telephone number, including area code)

        Securities registered pursuant to Section 12(b) of the Act:

Title of each class   Name of each exchange on which registered
Common Stock, $0.01 par value   New York Stock Exchange

        Securities registered pursuant to Section 12(g) of the Act: None

        Indicate by check mark if the registrant is a well-known seasoned issuer, as defined in Rule 405 of the Securities Act. Yes ý    No o

        Indicate by check mark if the registrant is not required to file reports pursuant to Section 13 or Section 15(d) of the Act. Yes o    No ý

        Indicate by check mark whether the registrant (1) has filed all reports required to be filed by Section 13 or 15(d) of the Securities Exchange Act of 1934 during the preceding 12 months (or for such shorter period that the registrant was required to file such reports), and (2) has been subject to such filing requirements for the past 90 days. Yes ý    No o

        Indicate by check mark whether the registrant has submitted electronically and posted on its corporate Website, if any, every Interactive Data File required to be submitted and posted pursuant to Rule 405 of Regulation S-T (§232.405 of this chapter) during the preceding 12 months (or for such shorter period that the registrant was required to submit and post such files). Yes ý    No o

        Indicate by check mark if disclosure of delinquent filers pursuant to Item 405 of Regulation S-K is not contained herein, and will not be contained, to the best of the registrant's knowledge, in definitive proxy or information statements incorporated by reference in Part III of this Form 10-K or any amendment to this Form 10-K.    ý

        Indicate by check mark whether the registrant is a large accelerated filer, an accelerated filer, a non-accelerated filer, or a "smaller reporting company."

Large accelerated filer ý   Accelerated filer o   Non-accelerated filer o
(Do not check if a
smaller reporting company)
  Smaller reporting company o

        Indicate by check mark whether the registrant is a shell company (as defined in Rule 12b-2 of the Act). Yes o    No ý

        The aggregate market value of the voting and non-voting common stock held by non-affiliates of the registrant on June 30, 2013 was $1,702,263,231.

        The number of outstanding shares of the registrant's common stock, $0.01 par value, as of February 24, 2014, was 101,549,929.

DOCUMENTS INCORPORATED BY REFERENCE:

        Portions of the registrant's definitive proxy statement for the 2014 annual meeting of stockholders are incorporated by reference in this Annual Report on Form 10-K in response to Part III. Items 10, 11, 12, 13 and 14.

   


Table of Contents


BANKUNITED, INC.
Form 10-K
For the Year Ended December 31, 2013

TABLE OF CONTENTS

 
   
  Page  

PART I

 

Item 1.

 

Business

    1  

Item 1A.

 

Risk Factors

    20  

Item 1B.

 

Unresolved Staff Comments

    31  

Item 2.

 

Properties

    32  

Item 3.

 

Legal Proceedings

    32  

Item 4.

 

Mine Safety Disclosures

    32  

PART II

 

Item 5.

 

Market for Registrant's Common Equity, Related Stockholder Matters and Issuer Purchases of Equity Securities

    33  

Item 6.

 

Selected Consolidated Financial Data

    35  

Item 7.

 

Management's Discussion and Analysis of Financial Condition and Results of Operations

    38  

Item 7A.

 

Quantitative and Qualitative Disclosures about Market Risk

    100  

Item 8.

 

Financial Statements and Supplementary Data

    F-1  

Item 9.

 

Changes in and Disagreements with Accountants on Accounting and Financial Disclosure

    101  

Item 9A.

 

Controls and Procedures

    101  

Item 9B.

 

Other Information

    101  

PART III

 

Item 10.

 

Directors, Executive Officers and Corporate Governance

    102  

Item 11.

 

Executive Compensation

    102  

Item 12.

 

Security Ownership of Certain Beneficial Owners and Management and Related Stockholder Matters

    102  

Item 13.

 

Certain Relationships and Related Transactions, and Director Independence

    102  

Item 14.

 

Principal Accountant Fees and Services

    102  

PART IV

 

Item 15.

 

Exhibits and Financial Statement Schedules

    103  

 

Signatures

    104  

i


Table of Contents


Forward-Looking Statements

        This Annual Report on Form 10-K contains forward-looking statements within the meaning of the Private Securities Litigation Reform Act of 1995. Words such as "anticipate," "expect," "intend," "plan," "believe," "seek," "estimate," "project," "predict," "will" and similar expressions identify forward-looking statements.

        These forward-looking statements are based on management's current views with respect to future results, and are subject to risks and uncertainties. Forward-looking statements are based on beliefs and assumptions made by management using currently available information, such as market and industry materials, historical performance and current financial trends. These statements are only predictions and are not guarantees of future performance. The inclusion of forward-looking statements should not be regarded as a representation by the Company that the future plans, estimates or expectations contemplated by a forward-looking statement will be achieved. Forward-looking statements are subject to various risks and uncertainties and assumptions, including those relating to the Company's operations, financial results, financial condition, business prospects, growth strategy and liquidity. If one or more of these or other risks or uncertainties materialize, or if the Company's underlying assumptions prove to be incorrect, the Company's actual results could differ materially from those contemplated by a forward looking statement. These risks and uncertainties include, without limitation:

    The impact of conditions in the financial markets and economic conditions generally;

    real estate market conditions and other risks related to holding real estate received in satisfaction of loans;

    an inability to successfully execute our fundamental growth strategy;

    geographic concentration of the Company's markets in the coastal regions of Florida and the New York metropolitan area;

    natural or man-made disasters;

    risks related to the regulation of our industry;

    credit risk;

    inadequate allowance for credit losses;

    interest rate risk;

    liquidity risk;

    loss of executive officers or key personnel;

    competition;

    dependence on information technology and the risk of systems failures, interruptions or breaches of security;

    failure to comply with the terms of the Company's Loss Sharing Agreements (as defined below) with the FDIC (as defined below);

    a variety of operational, compliance and legal risks; and

    the selection and application of accounting methods and related assumptions and estimates.

        Additional factors are set forth in the Company's filings with the Securities and Exchange Commission, or the SEC, including this Annual Report on Form 10-K.

        Forward-looking statements speak only as of the date on which they are made. The Company expressly disclaims any obligation to update or revise any forward-looking statement, whether as a result of new information, future events or otherwise.

ii


Table of Contents


PART I

Item 1.    Business

Summary

        BankUnited, Inc. ("BankUnited, Inc." or "BKU") is a national bank holding company with one wholly-owned subsidiary, BankUnited, National Association ("BankUnited" or the "Bank"), collectively, the Company. BankUnited, a national banking association headquartered in Miami Lakes, Florida with $14.9 billion of assets at December 31, 2013, provides a full range of banking services to individual and corporate customers through 99 branches located in 15 Florida counties and 6 banking centers in the New York metropolitan area. The Company has built, through organic growth and acquisitions, a premier regional bank with a low-risk, long-term value-oriented business model focused on small and medium sized businesses and consumers. We endeavor to provide personalized customer service and offer a full range of traditional banking products and services to both our commercial and retail customers.

        BankUnited, Inc. was organized by a management team led by our Chairman, President and Chief Executive Officer, John A. Kanas and was initially capitalized with $945.0 million by a group of investors. On May 21, 2009, BankUnited acquired substantially all of the assets and assumed all of the non-brokered deposits and substantially all other liabilities of BankUnited, FSB (the "Failed Bank"), from the Federal Deposit Insurance Corporation ("FDIC"), in a transaction which we refer to as the FSB Acquisition. On February 2, 2011, we completed the initial public offering of 33,350,000 shares of our common stock, 4,000,000 of which was sold by us, for which we received proceeds, after deducting underwriting discounts and estimated offering expenses, of approximately $98.6 million. We refer to this transaction as the IPO.

        On February 29, 2012, BKU completed the acquisition of Herald National Bank ("Herald") for an aggregate purchase price of $65.0 million in cash and stock. In March 2013, Herald was merged into BankUnited.


The FSB Acquisition

        On May 21, 2009, BankUnited entered into a purchase and assumption agreement (the "Purchase and Assumption Agreement") with the FDIC, Receiver of the Failed Bank, to acquire substantially all of the assets and assume all of the non-brokered deposits and substantially all other liabilities of the Failed Bank. Excluding the effects of acquisition accounting adjustments, BankUnited acquired $13.6 billion of assets and assumed $12.8 billion of liabilities. The fair value of the assets acquired was $10.9 billion and the fair value of the liabilities assumed was $13.1 billion. BankUnited received net cash consideration from the FDIC in the amount of $2.2 billion.

        The acquired assets included $5.0 billion of loans with a corresponding unpaid principal balance ("UPB") of $11.2 billion, a $3.4 billion FDIC indemnification asset, $539 million of investment securities, $1.2 billion of cash and cash equivalents, $178 million of foreclosed assets and $591 million of other assets. Liabilities assumed included $8.3 billion of non-brokered deposits, $4.6 billion of Federal Home Loan Bank ("FHLB") advances, and $112 million of other liabilities.

        Concurrently with the FSB Acquisition, the Bank entered into two loss sharing agreements, or the Loss Sharing Agreements, which cover certain legacy assets, including the entire legacy loan portfolio and other real estate owned ("OREO") and certain purchased investment securities. We refer to assets covered by the Loss Sharing Agreements as covered assets or, in certain cases, covered loans or covered securities. The Loss Sharing Agreements do not apply to subsequently acquired, purchased or originated assets. At December 31, 2013, the covered assets had an aggregate carrying value of $1.7 billion. The total UPB or, for investment securities, unamortized cost basis, of the covered assets

1


Table of Contents

at December 31, 2013 was $3.7 billion. The following charts illustrate the percentage of total assets represented by covered assets at December 31, 2013, 2012 and 2011:

GRAPHIC

        Pursuant to the terms of the Loss Sharing Agreements, the covered assets are subject to a stated loss threshold whereby the FDIC will reimburse the Bank for 80% of losses up to a $4.0 billion stated threshold and 95% of losses in excess of the $4.0 billion stated threshold, calculated, in each case, based on UPB (or, for investment securities, unamortized cost basis) plus certain interest and expenses. The carrying value of the FDIC indemnification asset at December 31, 2013 was $1.2 billion. The Bank will reimburse the FDIC for its share of recoveries with respect to losses for which the FDIC paid the Bank a reimbursement under the Loss Sharing Agreements. The FDIC's obligation to reimburse the Company for losses with respect to the covered assets began with the first dollar of loss incurred. We have received reimbursements of $2.5 billion for claims submitted to the FDIC under the Loss Sharing Agreements as of December 31, 2013.

        The Loss Sharing agreements consist of a single family shared-loss agreement (the "Single Family Shared-Loss Agreement"), and a commercial and other loans shared-loss agreement, (the "Commercial Shared-Loss Agreement"). The Single Family Shared-Loss Agreement provides for FDIC loss sharing and the Bank's reimbursement for recoveries to the FDIC for ten years from May 21, 2009 for single family residential loans. The Commercial Shared-Loss Agreement provides for FDIC loss sharing for five years from May 21, 2009 and the Bank's reimbursement for recoveries to the FDIC for eight years from May 21, 2009 for all other covered assets.

        Under the Purchase and Assumption Agreement, the Bank may sell up to 2.5% of the covered loans based on the UPB at acquisition, or approximately $280.0 million, on an annual basis without prior consent of the FDIC. Any losses incurred from such loan sales are covered under the Loss Sharing Agreements. Any loan sale in excess of the annual 2.5% of the covered loans requires approval from the FDIC to be eligible for loss share coverage. However, if the Bank seeks to sell residential or non-residential loans in excess of the agreed 2.5% threshold in the nine months prior to the tenth anniversary or the fifth anniversary, respectively, and the FDIC refuses to consent, then the Single Family Shared-Loss Agreement and the Commercial Shared-Loss Agreement will be extended for two years after their respective anniversaries. The terms of the Loss Sharing Agreements are extended only with respect to the loans requested to be included in such sales. The Bank will have the right to sell all or any portion of such loans without FDIC consent at any time within the nine months prior to the respective extended termination dates, and any losses incurred will be covered under the Loss Sharing Agreements. If exercised, this final sale mechanism ensures no residual credit risk in our covered loan portfolio that would otherwise arise from credit losses occurring after the five- and ten-year periods, respectively.

2


Table of Contents

        With respect to the Commercial Shared-Loss Agreement, FDIC loss sharing is scheduled to terminate on May 21, 2014. See the section entitled "Management's Discussion and Analysis of Financial Condition and Results of Operations—Results of Operations—Termination of the Commercial Shared-Loss Agreement" for further discussion.


Our Market Areas

        Our primary banking markets are Florida, in particular the Miami metropolitan statistical area, and the Tri-State market of New York, New Jersey and Connecticut. We believe both represent long-term attractive banking markets.

        Our competitive strengths, including experienced management and lending teams, a robust capital position and scalable platform, continue to allow us to take advantage of opportunities in both markets. Florida has shown signs of continued economic recovery, which we expect will enhance opportunities for growth in that market. According to estimates from the United States Census Bureau and SNL Financial, from 2010 to 2013, Florida added over 700 thousand new residents, the third most of any U.S. state, and, in 2013, had a total population of 19.2 million and a median household annual income of $44,894. The Florida unemployment rate decreased to 6.2%, below the national average, at December 31, 2013. The Case-Shiller home price index for Florida reflected a year over year increase of 14% at September 30, 2013. At December 31, 2013, we had 99 branches throughout Florida.

        Through the acquisition of Herald, we entered the Tri-State market in February, 2012. In March, 2013, Herald was merged into BankUnited and BankUnited launched its operations in the Tri-State market. We had six banking centers in metropolitan New York at December 31, 2013 including four in Manhattan, one in Long Island and one in Brooklyn. According to SNL Financial, at June 30, 2013, the Tri-State area had approximately $1.5 trillion in deposits, with the majority of the market concentrated in the New York metropolitan area. The size and economic health of the Tri-State market, coupled with the management team's experience in building a successful Northeast U.S. regional bank in the past, make us well positioned to continue our expansion and growth in this market.

        Through three commercial lending subsidiaries of BankUnited, we also engage in equipment and municipal finance on a national basis.


Products and Services

    Lending and Leasing

        General—Our primary lending focus is to serve commercial and middle-market businesses, their executives and consumers with a variety of financial products and services, while maintaining a strong and disciplined credit culture.

        We offer a full array of lending products that cater to our customers' needs including small business loans, commercial real estate loans, equipment loans and leases, term loans, formula-based loans, municipal loans and leases, commercial lines of credit, letters of credit, residential mortgages and consumer loans. We also purchase performing residential loans through established correspondent channels on a national basis. We do not originate or purchase negatively amortizing or sub-prime residential loans.

        We have attracted and invested in experienced lending teams from competing institutions in our Florida, Tri-State and national markets, resulting in significant growth in our new loan portfolio. At December 31, 2013, our loan portfolio included $7.5 billion in loans originated or purchased since the FSB Acquisition, or new loans, including $5.5 billion in commercial and commercial real estate loans, $1.8 billion in residential loans and $213.1 million in consumer loans. A continued trend of strong loan

3


Table of Contents

growth in both the Florida and Tri-State markets and across our national lending and leasing platforms is a core component of our current business strategy.

        Commercial loans and leasing—Our commercial loans, which are generally made to growing companies and middle-market businesses, include equipment loans, secured and unsecured commercial and working capital lines of credit, formula-based loans, mortgage warehouse lines, taxi medallion loans, letters of credit, an array of Small Business Administration product offerings and, to a lesser extent, acquisition finance credit facilities. Through three lending subsidiaries, we provide municipal and equipment financing on a national basis. Pinnacle Public Finance, headquartered in Scottsdale, Arizona, offers essential use equipment financing to municipalities through both loan and direct finance lease structures. United Capital Business Lending, headquartered in Baltimore, Maryland, offers small business equipment leases and loans with a primary focus on franchise equipment finance. Bridge Capital Leasing, headquartered in Orlando, Florida, primarily provides transportation equipment finance through both direct finance lease and operating lease structures.

        Commercial real estate loans—We offer term financing for the acquisition or refinancing of properties, primarily rental apartments, mixed-use commercial properties, industrial properties, warehouses, retail shopping centers and free-standing buildings, office buildings and hotels. Other products that we provide include real estate secured lines of credit, acquisition, development and construction loan facilities and construction financing. We make commercial real estate loans secured by both owner-occupied and non-owner occupied properties. Construction lending is not a primary area of focus for us; construction and land loans comprised less than 2% of the loan portfolio at December 31, 2013.

        Residential mortgages—At December 31, 2013, the portfolio of new 1-4 single family residential loans included $1.6 billion of purchased loans and $170 million of originated loans. We purchase loans to supplement our mortgage origination platform and to geographically diversify our loan portfolio. While the credit parameters we use for purchased loans are substantially similar to the underwriting guidelines we use for originated loans, differences include: (i) loans are purchased on a nationwide basis, while originated loans have historically been limited to Florida and New York; (ii) purchased loans, on average, have higher principal balances than originated loans; and (iii) we consider payment history in selecting which seasoned loans to purchase, while such information is not available for originated loans. We intend to expand our in-house residential mortgage origination channel in 2014. Additionally, we entered the mortgage servicing business in 2013 through an acquisition of a small servicing portfolio. We anticipate growing this business at a moderate pace to take advantage of existing mortgage servicing capacity.

        Home equity loans and lines of credit are not a significant component of the new loan portfolio.

        Consumer loans—We offer consumer loans to our customers for personal, family and household purposes, including auto, boat and personal installment loans and recently added indirect auto lending to our product suite. At December 31, 2013, the majority of our consumer loans were indirect auto loans.

    Credit Policy and Procedures

        The foundation underlying the Company's credit culture, policy and procedures is high credit quality standards, which enhance the long term value of the Company to its customers, employees, stockholders and communities. Credit quality is a key corporate objective that is managed in concert with other key objectives including volume growth, earnings and expense management.

        Since lending represents risk exposure, our Board of Directors and its duly appointed committees seek to ensure that the Company maintains high credit quality standards. The Company has established asset oversight committees to administer the loan portfolio and monitor and manage credit risk. These

4


Table of Contents

committees include: (i) the Enterprise Risk Management Committee, (ii) the Credit Risk Management Committee and its Florida and New York regional subcommittees, (iii) the Asset Recovery Committee, and (iv) the Criticized Asset Committee. These committees meet at least quarterly.

        The credit approval process provides for prompt and thorough underwriting and approval or decline of loan requests. The approval method used is a hierarchy of individual lending authorities for new credits and renewals. The Credit Risk Management Committee approves authorities for lending and credit personnel, which are ultimately submitted to our Board for ratification. Lending authorities are based on position, capability and experience of the individuals filling these positions. Authorities are periodically reviewed and updated.

        BankUnited has established in-house borrower lending limits which are significantly lower than its legal lending limit of approximately $239 million, at December 31, 2013. The present in-house lending limit is $75 million based on total credit exposure of a borrower. This limit is reviewed periodically by the Credit Risk Management Committee and approved annually by the Board of Directors.

    Deposits

        We offer traditional deposit products including checking accounts, money market deposit accounts, savings accounts and certificates of deposit with a variety of terms and rates. Our deposits are insured by the FDIC up to statutory limits. Our strategy is to increase the proportion of total deposits represented by lower cost demand deposits. Demand deposits comprised 27% of total deposits at December 31, 2013. Demand deposit balances are concentrated in commercial and small business accounts. Our service fee schedule and rates are competitive with other financial institutions in our markets.


Investment Securities

        The primary objectives of our investment policy are to provide liquidity necessary for day-to-day operations, provide a suitable balance of high credit and diversified quality assets to the consolidated balance sheet, manage interest rate risk exposure, and generate acceptable returns given the Company's established risk parameters.

        The investment policy is reviewed annually by our Board of Directors. Overall investment goals are established by our Board, Chief Executive Officer, Chief Financial Officer, and members of the Asset/Liability Committee ("ALCO"). The Board has delegated the responsibility of monitoring our investment activities to ALCO. Day-to-day activities pertaining to the investment portfolio are conducted within the Company's Treasury division under the supervision of the Chief Financial Officer.


Risk Management and Oversight

        Our Board of Directors oversees our risk management process, including the company-wide approach to risk management, carried out by our management. Our Board approves the Company's business plans and the policies that set standards for the nature and level of risk the Company is willing to assume. The Board receives reports on the Company's management of critical risks and the effectiveness of risk management systems. While our full Board maintains the ultimate oversight responsibility for the risk management process, its committees, including the audit and risk committee, the compensation committee and the nominating and corporate governance committee, oversee risk in certain specified areas.

        Our Board has assigned responsibility to our Chief Risk Officer for maintaining a risk management framework to identify, manage and mitigate risks to the achievement of our strategic goals and objectives and ensure we operate in a safe and sound manner in accordance with the Board approved policies. We have invested significant resources to establish a robust enterprise-wide risk

5


Table of Contents

management framework to support the planned growth of our Company. Our framework is consistent with common industry practices and regulatory guidance and is appropriate to our size and the complexity of our business activities. Significant elements include ongoing identification and assessments of risk, executive management level risk committees to oversee compliance with the Board approved risk policies and adherence to risk limits, and ongoing testing and reporting by independent internal audit, credit review, and regulatory compliance groups. Executive level oversight of the risk management framework is provided by the Enterprise Risk Management Committee which is chaired by the Chief Risk Officer and attended by the senior executives of the Company. Reporting to the Enterprise Risk Management Committee are sub-committees dedicated to guiding and overseeing management of critical categories of risk, including the Credit Risk Management, Asset/Liability Management, Compliance Risk Management, Operations Risk Management, New Products and Services, and Loss Share Compliance committees.


Marketing and Distribution

        We conduct our banking business through 99 branches located in 15 Florida counties as well as 6 banking centers in the New York metropolitan area as of December 31, 2013. Our distribution network also includes 104 ATMs, fully integrated on-line banking, and a telephone banking service. We target growing companies and commercial and middle-market businesses, as well as individual consumers.

        In order to market our products, we use local television, radio, print and direct mail advertising and provide sales incentives for our employees.


Competition

        Our markets are highly competitive. Our markets contain not only a large number of community and regional banks, but also a significant presence of the country's largest commercial banks. We compete with other state and national financial institutions located in our market areas as well as savings associations, savings banks and credit unions for deposits and loans. In addition, we compete with financial intermediaries such as consumer finance companies, mortgage banking companies, insurance companies, securities firms, mutual funds and several government agencies as well as major retailers, all actively engaged in providing various types of loans and other financial services. Our largest banking competitors in the Florida market include Bank of America, BB&T, JPMorgan Chase, Regions Bank, SunTrust Banks, TD Bank and Wells Fargo. In the Tri-State market, we also compete with, in addition to the national financial institutions listed, Capital One, Signature Bank, New York Community Bank, Valley National and M&T Bank.

        Interest rates, on both loans and deposits, and prices of fee-based services are significant competitive factors among financial institutions generally. Other important competitive factors include office location, office hours, quality of customer service, availability of on-line and remote banking products, community reputation, continuity of personnel and services, and, in the case of larger commercial customers, relative lending limits and ability to offer sophisticated cash management and other commercial banking services. While we continue to provide competitive interest rates on both depository and lending products, we believe that we can compete most successfully by focusing on the financial needs of growing companies and their executives, consumers and commercial and middle-market businesses, and offering them a broad range of personalized services and sophisticated cash management tools tailored to their businesses.


Regulation and Supervision

        The U.S. banking industry is highly regulated under federal and state law. These regulations affect the operations of the Company and its subsidiaries.

6


Table of Contents

        Statutes, regulations and policies limit the activities in which we may engage and the conduct of our permitted activities. Further, the regulatory system imposes reporting and information collection obligations. We incur significant costs relating to compliance with these laws and regulations. Banking statutes, regulations and policies are continually under review by federal and state legislatures and regulatory agencies, and a change in them, including changes in how they are interpreted or implemented, could have a material adverse effect on our business.

        The material statutory and regulatory requirements that are applicable to us are summarized below. The description below is not intended to summarize all laws and regulations applicable to us.

    Bank and Bank Holding Company Regulation

        BankUnited is currently a national bank. As a national bank organized under the National Bank Act, BankUnited is subject to ongoing and comprehensive supervision, regulation, examination and enforcement by the Office of the Comptroller of the Currency ("OCC").

        Any entity that directly or indirectly controls a bank must be approved by the Federal Reserve Board under the Bank Holding Company Act of 1956 ("BHC Act") to become a bank holding company ("BHC"). BHCs are subject to regulation, inspection, examination, supervision and enforcement by the Federal Reserve Board under the BHC Act. The Federal Reserve Board's jurisdiction also extends to any company that is directly or indirectly controlled by a BHC.

        The Company, which controls BankUnited, became a BHC on February 29, 2012. As a BHC, the Company is subject to ongoing and comprehensive supervision, regulation, examination and enforcement by the Federal Reserve Board.

    History of the Company as a Regulated Entity

        On May 21, 2009, we received approvals from the Office of Thrift Supervision ("OTS") and FDIC for the organization of BankUnited as a federal savings association, for the Company to become a savings and loan holding company ("SLHC"), and for BankUnited to obtain federal deposit insurance.

        Subsequently, on February 13, 2012, we received approval of the Federal Reserve Board to become a bank holding company in connection with the conversion of BankUnited from a federal savings association to a national bank and the acquisition of Herald by BankUnited, Inc. On February 14, 2012, we received approval of the OCC to convert BankUnited to a national bank. In connection with the conversion, BankUnited made certain commitments to the OCC regarding the business and capital plans of BankUnited. BankUnited, Inc. consummated these transactions on February 29, 2012, and became a BHC as of that date. In March 2013, Herald was merged into BankUnited.

        In connection with the approval to become a BHC, the Company committed that within a period of two years of becoming a BHC, or by February 28, 2014, we would conform our nonbanking activities to those permissible for a BHC under the BHC Act. In addition, we committed to adding another independent member to our board of directors within 18 months of becoming a BHC, or by the end of August 2013. The Company has fully complied with these commitments.

    FDIC Deposit Insurance

        The FDIC is an independent federal agency that insures the deposits of federally insured depository institutions up to applicable limits. The FDIC also has certain regulatory, examination and enforcement powers with respect to FDIC-insured institutions. The deposits of BankUnited are insured by the FDIC up to applicable limits. As a general matter, the maximum deposit insurance amount is $250,000 per depositor.

7


Table of Contents

    Broad Supervision, Examination and Enforcement Powers

        A principal objective of the U.S. bank regulatory system is to protect depositors by ensuring the financial safety and soundness of banking organizations. To that end, the banking regulators have broad regulatory, examination and enforcement authority. The regulators regularly examine the operations of banking organizations. In addition, banking organizations are subject to periodic reporting requirements.

        The regulators have various remedies available if they determine that the financial condition, capital resources, asset quality, earnings prospects, management, liquidity or other aspects of a banking organization's operations are unsatisfactory. The regulators may also take action if they determine that the banking organization or its management is violating or has violated any law or regulation. The regulators have the power to, among other things:

    enjoin "unsafe or unsound" practices;

    require affirmative actions to correct any violation or practice;

    issue administrative orders that can be judicially enforced;

    direct increases in capital;

    direct the sale of subsidiaries or other assets;

    limit dividends and distributions;

    restrict growth;

    assess civil monetary penalties;

    remove officers and directors; and

    terminate deposit insurance.

        The FDIC may terminate a depository institution's deposit insurance upon a finding that the institution's financial condition is unsafe or unsound or that the institution has engaged in unsafe or unsound practices or has violated any applicable rule, regulation, order or condition enacted or imposed by the institution's regulatory agency. Engaging in unsafe or unsound practices or failing to comply with applicable laws, regulations and supervisory agreements could subject the Company, and subsidiaries of the Company or their officers, directors and institution-affiliated parties to the remedies described above and other sanctions.

    The Dodd-Frank Act

        On July 21, 2010, the Dodd-Frank Wall Street Reform and Consumer Protection Act of 2010, or the Dodd-Frank Act, was signed into law. The Dodd-Frank Act is having a broad impact on the financial services industry, and imposes significant regulatory and compliance requirements, including the designation of certain financial companies as systemically important financial companies ("SIFIs"), the changing roles of credit rating agencies, the imposition of increased capital, leverage, and liquidity requirements, and numerous other provisions designed to improve supervision and oversight of, and strengthen safety and soundness within, the financial services sector. Additionally, the Dodd-Frank Act establishes a new framework of authority to conduct systemic risk oversight within the financial system to be distributed among new and existing federal regulatory agencies, including the Financial Stability Oversight Council, or Council, the Federal Reserve Board, the OCC, and the FDIC.

        The following items provide a brief description of certain provisions of the Dodd-Frank Act that are most relevant to the Company and its banking subsidiaries.

8


Table of Contents

    Source of strength.  The Dodd-Frank Act requires all companies, including BHCs, that directly or indirectly control an insured depository institution to serve as a source of strength for the institution. Under this requirement, the Company in the future could be required to provide financial assistance to BankUnited should it experience financial distress.

    Limitation on federal preemption.  The Dodd-Frank Act significantly reduces the ability of national banks to rely on federal preemption of state consumer financial laws. Although the OCC, as the primary regulator of national banks, will have the ability to make preemption determinations where certain conditions are met, the broad rollback of federal preemption has the potential to create a patchwork of federal and state compliance obligations. This could, in turn, result in significant new regulatory requirements applicable to BankUnited, with potentially significant changes in our operations and increases in our compliance costs. It could also result in uncertainty concerning compliance, with attendant regulatory and litigation risks.

    Company-Run Stress Testing.  Under Section 165(i) of the Dodd-Frank Act and the stress testing rules of the Federal Reserve Board and OCC, each bank holding company and national bank with more than $10 billion and less than $50 billion in total consolidated assets must annually conduct a company-run stress test to estimate the potential impact of three scenarios provided by the agencies on its regulatory capital ratios and certain other financial metrics. In addition, beginning in 2015, each of these companies will be required to disclose a summary of the results of its company-run stress tests within a certain period of time after submitting the results to the Federal Reserve Board and OCC.

    Mortgage loan origination and risk retention.  The Dodd-Frank Act contains additional regulatory requirements that may affect our operations and result in increased compliance costs. For example, the Dodd-Frank Act imposes new standards for mortgage loan originations on all lenders, including banking organizations, by requiring that lenders be able to substantiate they have made a good faith determination of a borrower's ability to repay a mortgage. The ability to repay requirement mandates specific factors that a lender must consider in evaluating a borrower's ability to repay. On January 10, 2013, federal regulators released the "qualified mortgage" rule. The qualified mortgage rule is intended to clarify the application of the Dodd-Frank Act requirement that mortgage lenders have a reasonable belief that borrowers have the ability to repay their mortgages. For mortgages meeting the regulatory definition of qualified mortgages, lenders generally enjoy a safe harbor with respect to compliance with the ability to repay rules. Generally, to be considered qualified mortgages, loans must meet all requirements set forth in the ability to repay rules and have debt-to-income ratios and closing costs not exceeding specified levels. Any prepayment penalties must fall within defined constraints. Loans meeting the regulatory definition of higher priced loans, or those with balloon, negative amortization or interest-only features do not meet the definition of qualified mortgages. While lenders are permitted to originate mortgages that do not meet the definition of qualified mortgages, the burden of demonstrating compliance with the ability to repay rules with respect to such mortgages is greater, possibly impeding a lender's ability to foreclose on such mortgages.

      In addition, the Dodd-Frank Act generally requires lenders or securitizers to retain an economic interest in the credit risk relating to loans the lender sells or mortgage and other asset-backed securities that the securitizer issues. On August 28, 2013, the OCC, the Federal Reserve Board, the FDIC, the SEC, the Federal Housing Finance Agency and the Department of Housing and Urban Development issued a proposed rule in connection with the risk retention requirement mandated by Section 941 of the Dodd-Frank Act. The risk retention requirement generally requires a securitizer to retain no less than 5 percent of the credit risk in assets it sells into a securitization and prohibits a securitizer from directly or indirectly hedging or otherwise transferring the credit risk that the securitizer is required to retain, subject to limited

9


Table of Contents

      exemptions. One significant exemption is for securities entirely collateralized by "qualified residential mortgages" ("QRMs"), which are loans deemed to have a lower risk of default. The proposed rule defines QRMs to have the same meaning as the term "qualified mortgage," as defined by the Consumer Financial Protection Bureau ("CFPB"). In addition, the Proposed Rule provides for reduced risk retention requirements for qualifying commercial loan, commercial real estate loan and auto loan securitizations.

    Imposition of restrictions on certain activities.  The Dodd-Frank Act imposes a new regulatory structure on the over-the-counter derivatives market, including requirements for clearing, exchange trading, capital, margin, reporting, and record keeping. In addition, certain swaps and other derivatives activities are required to be "pushed out" of insured depository institutions and conducted in separately capitalized non-bank affiliates. The Dodd-Frank Act also requires certain persons to register as a "major swap participant," "swap dealer," "major security-based swap participant" or a "security-based swap dealer." The U.S. Commodity Futures Trading Commission has substantially completed adopting regulations to implement much of the new derivatives regulatory structure of the Dodd-Frank Act. The SEC and other U.S. regulators are still in the process of adopting regulations to implement the new derivatives regulatory structure of the Dodd-Frank Act. With regard to security-based swaps, it is anticipated that this additional rulemaking will further clarify, among other things, reporting and recordkeeping obligations, margin and capital requirements, the scope of registration requirements, and what swaps are required to be centrally cleared and exchange-traded. Rules will also be issued to enhance the oversight of clearing and trading entities. As these remaining rules are implemented, new restrictions or limitations may affect our ability to manage certain risks in our business.

    Expanded FDIC resolution authority.  While insured depository institutions have long been subject to the FDIC's resolution process, the Dodd-Frank Act creates a new mechanism for the FDIC to conduct the orderly liquidation of certain "covered financial companies," including bank and thrift holding companies and systemically significant non-bank financial companies. Upon certain findings being made, the FDIC may be appointed receiver for a covered financial company, and would conduct an orderly liquidation of the entity. The FDIC liquidation process is modeled on the existing Federal Deposit Insurance Act, or FDIA bank resolution process, and generally gives the FDIC more discretion than in the traditional bankruptcy context. The FDIC has issued final rules implementing the orderly liquidation authority.

    CFPB.  The Dodd-Frank Act created a new independent CFPB within the Federal Reserve Board. The CFPB is tasked with establishing and implementing rules and regulations under certain federal consumer protection laws with respect to the conduct of providers of certain consumer financial products and services. The CFPB has rulemaking authority over many of the statutes governing products and services offered to bank and thrift consumers. For banking organizations with assets of $10 billion or more, the CFPB has exclusive rule making and examination, and primary enforcement authority under federal consumer financial law. In addition, the Dodd-Frank Act permits states to adopt consumer protection laws and regulations that are stricter than those regulations promulgated by the CFPB. Compliance with any such new regulations would increase our cost of operations and could necessitate changes to certain of our business practices.

    Deposit insurance.  The Dodd-Frank Act made permanent the general $250,000 deposit insurance limit for insured deposits. Amendments to the FDIA also revised the assessment base against which an insured depository institution's deposit insurance premiums paid to the deposit insurance fund, or DIF, of the FDIC are calculated. Under the amendments, the assessment base is no longer the institution's deposit base, but rather its average consolidated total assets less its average tangible equity. Additionally, the Dodd-Frank Act made changes to the minimum designated reserve ratio of the DIF, increasing the minimum from 1.15 percent to 1.35 percent

10


Table of Contents

      of the estimated amount of total insured deposits, and eliminating the requirement that the FDIC pay dividends to depository institutions when the reserve ratio exceeds certain thresholds.

    Transactions with affiliates and insiders.  The Dodd-Frank Act generally enhanced the restrictions on transactions with affiliates under Section 23A and 23B of the Federal Reserve Act, including an expansion of the definition of "covered transactions" and clarification regarding the amount of time for which collateral requirements regarding covered credit transactions must be satisfied. Insider transaction limitations are expanded through the strengthening of loan restrictions to insiders and the expansion of the types of transactions subject to the various limits, including derivatives transactions, repurchase agreements, reverse repurchase agreements and securities lending or borrowing transactions. Restrictions are also placed on certain asset sales to and from an insider to an institution, including requirements that such sales be on market terms and, in certain circumstances, approved by the institution's board of directors.

    Enhanced lending limits.  The Dodd-Frank Act strengthens the existing limits on a depository institution's credit exposure to one borrower. On June 25, 2013, the OCC published a final rule amending its existing lending limits to incorporate changes made by the Dodd-Frank Act. The Dodd-Frank Act and the final rule amend the OCC's lending limit regulation to include credit exposures arising from derivative transactions and repurchase agreements, reverse repurchase agreements, securities lending transactions, and securities borrowing transactions. The final rule exempts certain types of transactions, and outlines the methods that banks can choose from to measure credit exposures of derivative transactions and securities financing transactions. In most cases, a bank may choose which method it will use; the OCC, however, may specify that a bank use a particular method for safety and soundness reasons.

    Corporate governance.  The Dodd-Frank Act addresses many investor protection, corporate governance and executive compensation matters that will affect most U.S. publicly traded companies, including the Company. The Dodd-Frank Act (1) grants stockholders of U.S. publicly traded companies an advisory vote on executive compensation; (2) enhances independence requirements for compensation committee members; (3) requires companies listed on national securities exchanges to adopt incentive-based compensation clawback policies for executive officers; and (4) provides the SEC with authority to adopt proxy access rules that would allow stockholders of publicly traded companies to nominate candidates for election as a director and have those nominees included in a company's proxy materials.

        The requirements of the Dodd-Frank Act are in the process of being implemented over time and most will be subject to regulations implemented over the course of several years. Given the uncertainty associated with the manner in which the provisions of the Dodd-Frank Act will be implemented by the various regulatory agencies and through regulations, the full extent of the impact such requirements will have on our operations is unclear. The changes resulting from the Dodd-Frank Act may impact the profitability of our business activities, require changes to certain of our business practices, impose upon us more stringent capital, liquidity and leverage requirements or otherwise adversely affect our business. These changes may also require us to invest significant management attention and resources to evaluate and make any changes necessary to comply with new statutory and regulatory requirements.

        Failure to comply with the new requirements may negatively impact our results of operations and financial condition.

    The Volcker Rule

        On December 10, 2013, five U.S. financial regulators, including the Federal Reserve Board and the OCC, adopted a final rule implementing the so-called "Volcker Rule." The Volcker Rule was created by Section 619 of the Dodd-Frank Act and generally prohibits "banking entities" from engaging in

11


Table of Contents

"proprietary trading" and making investments and conducting certain other activities with "private equity funds and hedge funds."

        Although the final rule provides some tiering of compliance and reporting obligations based on size, the fundamental prohibitions of the Volcker Rule apply to banking entities of any size, including the Company and BankUnited. Banking entities with total assets of $10 billion or more, such as the Company and BankUnited, that engage in activities subject to the Volcker Rule will be required to establish a six-element compliance program to address the prohibitions of, and exemptions from, the Volcker Rule. The final rule becomes effective April 1, 2014; however, at the time the agencies released the final Volcker Rule, the Federal Reserve Board announced an extension of the conformance period for all banking entities until July 21, 2015.

        In response to industry questions regarding the final Volcker Rule, the OCC, Federal Reserve Board, the FDIC, the SEC, and the CFTC issued a clarifying interim final rule on January 14, 2014, permitting banking entities to retain interests in certain collateralized debt obligations (CDOs) backed by trust preferred securities if the CDO meets certain requirements.

        We are currently reviewing the scope of the regulations implementing the Volcker Rule to determine the full impact of the rule on our operations.

    Notice and Approval Requirements Related to Control

        Banking laws impose notice, approval, and ongoing regulatory requirements on any stockholder or other party that seeks to acquire direct or indirect "control" of an FDIC-insured depository institution. These laws include the BHC Act, the Change in Bank Control Act, and the Savings and Loan Holding Company Act. Among other things, these laws require regulatory filings by a stockholder or other party that seeks to acquire direct or indirect "control" of an FDIC-insured depository institution. The determination of whether an investor "controls" a depository institution is based on all of the facts and circumstances surrounding the investment. As a general matter, a party is deemed to control a depository institution or other company if the party owns or controls 25% or more of any class of voting stock. Subject to rebuttal, a party may be presumed to control a depository institution or other company if the investor owns or controls 10% or more of any class of voting stock. Ownership by affiliated parties, or parties acting in concert, is typically aggregated for these purposes. If a party's ownership of the Company were to exceed certain thresholds, the investor could be deemed to "control" the Company for regulatory purposes. This could subject the investor to regulatory filings or other regulatory consequences.

        In addition, except under limited circumstances, BHCs are prohibited from acquiring, without prior approval:

    control of any other bank or BHC or all or substantially all the assets thereof; or

    more than 5% of the voting shares of a bank or BHC which is not already a subsidiary.

    Permissible Activities and Investments

        Banking laws generally restrict the ability of the Company from engaging in activities other than those determined by the Federal Reserve Board to be so closely related to banking as to be a proper incident thereto. The Gramm-Leach-Bliley Financial Modernization Act of 1999, or "GLB Act," expanded the scope of permissible activities for a BHC that qualifies as a financial holding company. Under the regulations implementing the GLB Act, a financial holding company may engage in additional activities that are financial in nature or incidental or complementary to a financial activity. Those activities include, among other activities, certain insurance and securities activities. Qualifications for becoming a financial holding company include, among other things, meeting certain specified capital standards and achieving certain management ratings in examinations. Under the Dodd-Frank Act,

12


Table of Contents

BHCs and their subsidiaries must be well-capitalized and well-managed in order for the BHC and its nonbank affiliates to engage in the expanded financial activities permissible only for a financial holding company.

        In addition, as a general matter, the establishment or acquisition by the Company of a depository institution or, in certain cases, a non-bank entity, requires prior regulatory approval.

    Regulatory Capital Requirements and Capital Adequacy

        The federal bank regulators view capital levels as important indicators of an institution's financial soundness. As a general matter, FDIC-insured depository institutions and their holding companies are required to maintain minimum capital relative to the amount and types of assets they hold. The final supervisory determination on an institution's capital adequacy is based on the regulator's assessment of numerous factors.

        The Company became formally subject to regulatory capital requirements in February 2012, upon becoming a BHC. BankUnited, as a national bank, is subject to regulatory capital requirements.

        The Federal Reserve Board has established risk-based and leverage capital guidelines for BHCs, including the Company. The OCC has established substantially similar risk-based and leverage capital guidelines applicable to national banks, including BankUnited. The current risk-based capital guidelines, commonly referred to as Basel I, are based upon the 1988 capital accord of the International Basel Committee on Banking Supervision ("Basel Committee"), a committee of central banks and bank supervisors, as implemented by the U.S. federal banking agencies. The federal banking agencies subsequently adopted separate risk-based capital guidelines for so-called "core banks" based upon the Revised Framework for the International Convergence of Capital Measurement and Capital Standards ("Basel II") issued by the Basel Committee in November 2005, and most recently are in the process of implementing the recently revised framework referred to as "Basel III."

    Basel I

        The risk-based capital standards are designed to make regulatory capital more sensitive to differences in credit and market risk profiles among banks and BHCs and to account for off-balance sheet exposures. Assets and off-balance sheet items are assigned to broad risk categories, each with appropriate weights. Under the Basel I-based guidelines, the minimum ratio of total capital to risk-weighted assets (including certain off-balance sheet items such as standby letters of credit) is eight percent. At least half of total capital must be composed of tier 1 capital, which includes common stockholders' equity (including retained earnings), qualifying non-cumulative perpetual preferred stock (and, for BHCs only, a limited amount of qualifying cumulative perpetual preferred stock and a limited amount of trust preferred securities), and minority interests in the equity accounts of consolidated subsidiaries, less goodwill, other disallowed intangibles, and disallowed deferred tax assets, among other items. The Federal Reserve Board also has adopted a minimum leverage ratio for BHCs, requiring tier 1 capital of at least three percent of average quarterly total consolidated assets (as defined for regulatory purposes), net of goodwill and certain other intangible assets.

        The federal banking agencies have also established risk-based and leverage capital guidelines that FDIC-insured depository institutions are required to meet. These regulations are generally similar to those established by the Federal Reserve Board for bank holding companies.

    Basel II

        Under the final U.S. Basel II rules issued by the federal banking agencies, there are a small number of "core" banking organizations that will be required to use the advanced approaches under Basel II for calculating risk-based capital related to credit risk and operational risk, instead of the

13


Table of Contents

methodology reflected in the regulations effective prior to adoption of Basel II. The rules also require core banking organizations to have rigorous processes for assessing overall capital adequacy in relation to their total risk profiles, and to publicly disclose certain information about their risk profiles and capital adequacy. The Company and BankUnited are not among the core banking organizations required to use Basel II advanced approaches.

    Basel III

        On December 16, 2010, the Basel Committee released its final framework for strengthening international capital and liquidity regulation, known as Basel III. The Basel III calibration and phase-in arrangements were previously endorsed by the Seoul G20 Leaders Summit in November 2010, and will be subject to individual adoption by member nations, including the United States. Under these standards, when fully phased-in on January 1, 2019, banking institutions will be required to satisfy three risk-based capital ratios:

    (i)
    A common equity tier 1 ratio of at least 7.0%, inclusive of 4.5% minimum common equity tier 1 ratio, net of regulatory deductions, and the new 2.5% "capital conservation buffer", of common equity to risk-weighted assets;

    (ii)
    A tier 1 capital ratio of at least 8.5%, inclusive of the 2.5% capital conservation buffer; and

    (iii)
    A total capital ratio of at least 10.5%, inclusive of the 2.5% capital conservation buffer.

        The capital conservation buffer is designed to absorb losses during periods of economic stress. Banking institutions with a common equity tier 1 ratio above the minimum but below the conservation buffer may face constraints on dividends, equity repurchases, and compensation based on the amount of such shortfall. The Basel Committee also announced that a "countercyclical buffer" of 0% to 2.5% of common equity or other loss-absorbing capital "will be implemented according to national circumstances" as an "extension" of the conservation buffer during periods of excess credit growth. As currently contemplated, the countercyclical buffer would not apply to the Company or BankUnited.

        Basel I and Basel II do not include a leverage requirement as an international standard. However, Basel III introduces a non-risk adjusted tier 1 leverage ratio of 3%, based on a measure of total exposure rather than total assets and new liquidity standards.

        The Basel Committee had initially planned for member nations to begin implementing the Basel III requirements by January 1, 2013, with full implementation by January 1, 2019. On November 9, 2012, U.S. regulators announced that implementation of Basel III's first requirements would be delayed until an undetermined future date. The regulators made no indication whether any other future regulatory phase-in dates would be delayed.

        On November 4, 2011 the Basel Committee issued its final rule setting forth proposals to apply a new common equity tier 1 surcharge to certain designated global systemically important banks ("GSIBs"). On November 1, 2012, using the Basel Committee's methodology, the Financial Stability Board and the Basel Committee identified 28 financial institutions determined to be GSIBs. The group of GSIBs is updated annually and published by the Financial Stability Board each November. The Company has not been designated as a GSIB.

    U.S. Implementation of Basel III

        In July 2013, the federal banking agencies published final rules (the "Basel III Capital Rules") that revised their risk-based and leverage capital requirements and their method for calculating risk-weighted assets to implement, in part, agreements reached by the Basel Committee and certain provisions of the Dodd-Frank Act. While some provisions are tailored to larger institutions, the

14


Table of Contents

Basel III Capital Rules generally apply to all banking organizations, including the Company and BankUnited.

        Among other things, the Basel III Capital Rules: (i) introduce a new capital measure entitled "Common Equity Tier 1" ("CET1"); (ii) specify that tier 1 capital consist of CET1 and additional instruments satisfying specified requirements that permit inclusion in tier 1 capital; (iii) define CET1 narrowly by requiring that most deductions or adjustments to regulatory capital measures be made to CET1 and not to the other components of capital; and (iv) expand the scope of the deductions or adjustments from capital as compared to the existing regulations.

        Under the Basel III Capital Rules, banking organizations are provided a one-time option in their initial regulatory financial report filed after January 1, 2015 to remove certain components of accumulated other comprehensive income from the computation of common equity regulatory capital.

        The Basel III Capital Rules also provide a permanent exemption from the proposed phase out of existing trust preferred securities and cumulative perpetual preferred stock from regulatory capital for banking organizations with less than $15 billion in total assets, while also implementing stricter eligibility requirements for regulatory capital instruments that should serve to disallow the inclusion of all non-exempt issuances of trust preferred securities and cumulative perpetual preferred stock from tier 1 capital. The Basel III Capital Rules also provide additional constraints on the inclusion of minority interests, mortgage servicing assets, deferred tax assets and certain investments in the capital of unconsolidated financial institutions in tier 1 capital, as well as applying stricter risk weighting rules to these assets.

        The Basel III Capital Rules provide for the following minimum capital to risk-weighted assets ratios:

    (i)
    4.5% based upon CET1;

    (ii)
    6.0% based upon tier 1 capital; and

    (iii)
    8.0% based upon total regulatory capital.

        A minimum leverage ratio (tier 1 capital as a percentage of average total assets) of 4.0% is also required under the Basel III Capital Rules. The Basel III Capital Rules additionally require institutions to retain a capital conservation buffer of 2.5% above these required minimum capital ratio levels. Banking organizations that fail to maintain the minimum 2.5% capital conservation buffer could face restrictions on capital distributions or discretionary bonus payments to executive officers, with distributions and discretionary bonus payments being completely prohibited if no capital conservation buffer exists, or in the event of the following: (i) the banking organization's capital conservation buffer was below 2.5% at the beginning of a quarter; and (ii) its cumulative net income for the most recent quarterly period plus the preceding four calendar quarters is less than its cumulative capital distributions (as well as associated tax effects not already reflected in net income) during the same measurement period.

        The Basel III Capital Rules also provide stricter rules related to the risk weighting of past due and certain commercial real estate loans, as well as on some equity investment exposures, and replace the existing credit rating approach for determining the risk weighting of securitization exposures with an alternative approach.

        Finally, the Basel III Capital Rules amend the thresholds under the "prompt corrective action" framework enforced with respect to the Bank by the OCC to reflect both (i) the generally heightened requirements for regulatory capital ratios as well as (ii) the introduction of the CET1 capital measure.

        The enactment of the Basel III Capital Rules could increase the required capital levels of the Company and BankUnited. The Basel III Capital Rules become effective as applied to the Company

15


Table of Contents

and BankUnited on January 1, 2015, with a phase in period from January 1, 2015 through January 1, 2019, and the Company will be required to incorporate the Basel III Capital Rules into its company-run stress tests beginning with the 2014-2015 stress-test cycle.

    Liquidity Coverage Ratio

        The Basel III Capital Rules adopted in July 2013 did not address the proposed liquidity coverage ratio ("LCR") called for by the Basel Committee's Basel III framework. On October 24, 2013, the Federal Reserve Board issued a proposed rule implementing a LCR requirement in the United States for larger banking organizations. Neither the Company nor BankUnited would be subject to the LCR requirement as proposed.

    Dodd-Frank Act Capital Changes

        Under the Dodd-Frank Act, the Federal Reserve Board may increase the capital buffer for SIFIs. The purpose of these new capital requirements is to ensure financial institutions are better capitalized to withstand periods of unfavorable financial and economic conditions. The Dodd-Frank Act also requires the establishment of more stringent prudential standards for SIFIs, which include requiring the federal banking agencies to adopt capital and liquidity requirements which address the risks that the activities of an institution pose to the institution and the public and private stakeholders, including risks arising from certain enumerated activities. In addition, the Dodd-Frank Act excludes trust preferred securities issued on or after May 19, 2010, from tier 1 capital for most institutions. For depository institution holding companies with total consolidated assets of more than $15 billion at December 31, 2009, trust preferred securities issued before May 19, 2010 will be phased-out of tier 1 capital over a three-year period.

        The ultimate impact of the new capital and liquidity standards on the Company and BankUnited is currently being reviewed and will depend on a number of factors, including the rulemaking and implementation by the U.S. banking regulators. The Company cannot determine the ultimate effect that potential legislation, or subsequent regulations, if enacted, would have upon the Company's earnings or financial position. In addition, significant questions remain as to how the capital and liquidity mandates of the Dodd-Frank Act will be integrated with the requirements of Basel III.

    Prompt Corrective Action

        Under the FDIA, the federal bank regulatory agencies must take "prompt corrective action" against undercapitalized U.S. depository institutions. U.S. depository institutions are assigned one of five capital categories: "well capitalized," "adequately capitalized," "undercapitalized," "significantly undercapitalized," and "critically undercapitalized," and are subjected to differential regulation corresponding to the capital category within which the institution falls. A depository institution is deemed to be "well capitalized" if the banking institution has a total risk-based capital ratio of 10.0% or greater, a tier 1 risk-based capital ratio of 6.0% or greater, and a leverage ratio of 5.0% or greater, and the institution is not subject to an order, written agreement, capital directive, or prompt corrective action directive to meet and maintain a specific level for any capital measure. Under certain circumstances, a well-capitalized, adequately capitalized or undercapitalized institution may be treated as if the institution were in the next lower capital category. A banking institution that is undercapitalized is required to submit a capital restoration plan. Failure to meet capital guidelines could subject the institution to a variety of enforcement remedies by federal bank regulatory agencies, including: termination of deposit insurance by the FDIC, restrictions on certain business activities, and appointment of the FDIC as conservator or receiver. As of December 31, 2013, the Company and BankUnited were well-capitalized.

16


Table of Contents

        As noted above, the Basel III Capital Rules amend the thresholds under the "prompt corrective action" framework enforced with respect to the Bank by the OCC to reflect both (i) the generally heightened requirements for regulatory capital ratios as well as (ii) the introduction of the CET1 capital measure.

    Regulatory Limits on Dividends and Distributions

        Federal law currently imposes limitations upon certain capital distributions by national banks, such as certain cash dividends, payments to repurchase or otherwise acquire its shares, payments to stockholders of another institution in a cash-out merger and other distributions charged against capital. The Federal Reserve Board and OCC regulate all capital distributions by BankUnited directly or indirectly to the Company, including dividend payments.

        BankUnited may not pay dividends to the Company if, after paying those dividends, it would fail to meet the required minimum levels under risk-based capital guidelines and the minimum leverage capital ratio requirements, or in the event the OCC notified BankUnited that it was in need of more than normal supervision. Under the FDIA, an insured depository institution such as BankUnited is prohibited from making capital distributions, including the payment of dividends, if, after making such distribution, the institution would become "undercapitalized." Payment of dividends by BankUnited also may be restricted at any time at the discretion of the appropriate regulator if it deems the payment to constitute an unsafe and unsound banking practice.

        In addition, BankUnited is subject to supervisory limits on its ability to declare or pay a dividend or reduce its capital unless certain conditions are satisfied.

    Reserve Requirements

        Pursuant to regulations of the Federal Reserve Board, all banking organizations are required to maintain average daily reserves at mandated ratios against their transaction accounts. In addition, reserves must be maintained on certain non-personal time deposits. These reserves must be maintained in the form of vault cash or in an account at a Federal Reserve Bank.

    Limits on Transactions with Affiliates and Insiders

        Insured depository institutions are subject to restrictions on their ability to conduct transactions with affiliates and other related parties. Section 23A of the Federal Reserve Act imposes quantitative limits, qualitative requirements, and collateral requirements on certain transactions by an insured depository institution with, or for the benefit of, its affiliates. Transactions covered by Section 23A include loans, extensions of credit, investment in securities issued by an affiliate, and acquisitions of assets from an affiliate. Section 23B of the Federal Reserve Act requires that most types of transactions by an insured depository institution with, or for the benefit of, an affiliate be on terms at least as favorable to the insured depository institution as if the transaction were conducted with an unaffiliated third party.

        As noted above, the Dodd-Frank Act generally enhances the restrictions on transactions with affiliates under Section 23A and 23B of the Federal Reserve Act, including an expansion of the definition of "covered transactions" and a clarification regarding the amount of time for which collateral requirements regarding covered credit transactions must be satisfied. The ability of the Federal Reserve Board to grant exemptions from these restrictions is also narrowed by the Dodd-Frank Act, including by requiring coordination with other bank regulators.

        The Federal Reserve Board's Regulation O and OCC regulations impose restrictions and procedural requirements in connection with the extension of credit by an insured depository institution to directors, executive officers, principal stockholders and their related interests.

17


Table of Contents

    Examination Fees

        The OCC currently charges fees to recover the costs of examining national banks, processing applications and other filings, and covering direct and indirect expenses in regulating national banks. The Dodd-Frank Act provides various agencies with the authority to assess additional supervision fees.

    Deposit Insurance Assessments

        FDIC-insured depository institutions are required to pay deposit insurance assessments to the FDIC. The amount of a particular institution's deposit insurance assessment is based on that institution's risk classification under an FDIC risk-based assessment system. An institution's risk classification is assigned based on its capital levels and the level of supervisory concern the institution poses to the regulators. Deposit insurance assessments fund the DIF. As noted above, the Dodd-Frank Act changed the way an insured depository institution's deposit insurance premiums are calculated. Future changes to our risk classification or to the method for calculating premiums generally may impact assessment rates, which could impact the profitability of our operations.

    Depositor Preference

        The FDIA provides that, in the event of the "liquidation or other resolution" of an insured depository institution, the claims of depositors of the institution (including the claims of the FDIC as subrogee of insured depositors) and certain claims for administrative expenses of the FDIC as a receiver will have priority over other general unsecured claims against the institution. If we invest in or acquire an insured depository institution that fails, insured and uninsured depositors, along with the FDIC, will have priority in payment ahead of unsecured, non-deposit creditors, including us, with respect to any extensions of credit they have made to such insured depository institution.

    Federal Reserve System and Federal Home Loan Bank System

        As a national bank, BankUnited is required to hold shares of capital stock in a Federal Reserve Bank. BankUnited holds capital stock in the Federal Reserve Bank of Atlanta. As a member of the Federal Reserve System, BankUnited has access to the Federal Reserve discount window lending and payment clearing systems.

        BankUnited is a member of the Federal Home Loan Bank of Atlanta. Each Federal Home Loan Bank ("FHLB") provides a central credit facility primarily for its member institutions as well as other entities involved in home mortgage lending. Any advances from a FHLB must be secured by specified types of collateral, and all long-term advances may be obtained only for the purpose of providing funds for residential housing finance. As members of the FHLB, BankUnited is required to acquire and hold shares of capital stock in the FHLB of Atlanta. BankUnited is in compliance with this requirement.

    Anti-Money Laundering and OFAC

        Under federal law, financial institutions must maintain anti-money laundering programs that include established internal policies, procedures, and controls; a designated compliance officer; an ongoing employee training program; and testing of the program by an independent audit function. Financial institutions are also prohibited from entering into specified financial transactions and account relationships and must meet enhanced standards for due diligence and customer identification in their dealings with non-U.S. financial institutions and non-U.S. customers. Financial institutions must take reasonable steps to conduct enhanced scrutiny of account relationships to guard against money laundering and to report any suspicious transactions, and law enforcement authorities have been granted increased access to financial information maintained by financial institutions. Bank regulators routinely examine institutions for compliance with these obligations and they must consider an institution's compliance in connection with the regulatory review of applications, including applications

18


Table of Contents

for banking mergers and acquisitions. The regulatory authorities have imposed "cease and desist" orders and civil money penalty sanctions against institutions found to be violating these obligations.

        The U.S. Department of the Treasury's Office of Foreign Assets Control, or "OFAC," is responsible for helping to insure that U.S. entities do not engage in transactions with certain prohibited parties, as defined by various Executive Orders and Acts of Congress. OFAC publishes lists of persons, organizations, and countries suspected of aiding, harboring or engaging in terrorist acts, known as Specially Designated Nationals and Blocked Persons. If the Company or BankUnited finds a name on any transaction, account or wire transfer that is on an OFAC list, the Company or BankUnited must freeze or block such account or transaction, file a suspicious activity report and notify the appropriate authorities.

    Consumer Laws and Regulations

        Banking organizations are subject to numerous laws and regulations intended to protect consumers. These laws include, among others:

    Truth in Lending Act;

    Truth in Savings Act;

    Electronic Funds Transfer Act;

    Expedited Funds Availability Act;

    Equal Credit Opportunity Act;

    Fair and Accurate Credit Transactions Act;

    Fair Housing Act;

    Fair Credit Reporting Act;

    Fair Debt Collection Act;

    Gramm-Leach-Bliley Act;

    Home Mortgage Disclosure Act;

    Right to Financial Privacy Act;

    Real Estate Settlement Procedures Act;

    laws regarding unfair and deceptive acts and practices; and

    usury laws.

        Many states and local jurisdictions have consumer protection laws analogous, and in addition to, those listed above. These federal, state and local laws regulate the manner in which financial institutions deal with customers when taking deposits, making loans, or conducting other types of transactions. Failure to comply with these laws and regulations could give rise to regulatory sanctions, customer rescission rights, action by state and local attorneys general, and civil or criminal liability. The creation of the CFPB by the Dodd-Frank Act has led to enhanced enforcement of consumer financial protection laws.

    The Community Reinvestment Act

        The Community Reinvestment Act, or "CRA," is intended to encourage banks to help meet the credit needs of their service areas, including low and moderate-income neighborhoods, consistent with safe and sound operations. The bank regulators examine and assign each bank a public CRA rating.

19


Table of Contents

The CRA then requires bank regulators to take into account the federal banking bank's record in meeting the needs of its service area when considering an application by a bank to establish or relocate a branch or to conduct certain mergers or acquisitions. The Federal Reserve Board is required to consider the CRA records of a BHC's controlled banks when considering an application by the BHC to acquire a banking organization or to merge with another BHC. When the Company or BankUnited applies for regulatory approval to make certain investments, the regulators will consider the CRA record of target institutions and the Company's depository institution subsidiaries. An unsatisfactory CRA record could substantially delay approval or result in denial of an application. The regulatory agency's assessment of the institution's record is made available to the public. Following its most recent CRA examination in October 2012, BankUnited received an overall rating of "Satisfactory."

    Changes in Laws, Regulations or Policies

        Federal, state and local legislators and regulators regularly introduce measures or take actions that would modify the regulatory requirements applicable to banks, their holding companies and other financial institutions. Changes in laws, regulations or regulatory policies could adversely affect the operating environment for the Company in substantial and unpredictable ways, increase our cost of doing business, impose new restrictions on the way in which we conduct our operations or add significant operational constraints that might impair our profitability. We cannot predict whether new legislation will be enacted and, if enacted, the effect that it, or any implementing regulations, would have on our business, financial condition or results of operations. The Dodd-Frank Act is in the process of imposing substantial changes to the regulatory framework applicable to us and our subsidiaries. The majority of these changes will be implemented over time by various regulatory agencies. The full effect that these changes will have on us remains uncertain at this time and may have a material adverse effect on our business and results of operations.


Employees

        At December 31, 2013, we employed 1,551 full-time employees and 72 part-time employees. None of our employees are parties to a collective bargaining agreement. We believe that our relations with our employees are good.


Available Information

        Our website address is www.bankunited.com. Our electronic filings with the SEC (including all Annual Reports on Form 10-K, Quarterly Reports on Form 10-Q, Current Reports on Form 8-K, and if applicable, amendments to those reports) are available free of charge on the website as soon as reasonably practicable after they are electronically filed with, or furnished to, the SEC. The information posted on our website is not incorporated into this Annual Report. In addition, the SEC maintains a website that contains reports and other information filed with the SEC. The website can be accessed at http://www.sec.gov.

Item 1A.    Risk Factors

Our business may be adversely affected by conditions in the financial markets and economic conditions generally.

        The economic downturn that the United States experienced has begun to reverse. Markets and economic conditions have generally improved, however, real estate prices, unemployment rates and other economic indicators have yet to return to pre-downturn levels. The potential for economic disruption continues and there can be no assurance that economic conditions will continue to improve. A slowing of improvement or a return to deteriorating business or economic conditions generally, or

20


Table of Contents

more specifically in the principal markets in which we do business, could have one or more of the following adverse effects on our business, financial condition and results of operations:

    A decrease in demand for our loan and deposit products;

    An increase in delinquencies and defaults by borrowers or counterparties;

    A decrease in the value of our assets;

    A decrease in net interest income; and

    A decrease in our ability to access the capital markets.

Our enterprise risk management framework may not be effective in mitigating the risks to which we are subject, or in reducing the potential for losses in connection with such risks.

        Our enterprise risk management framework is designed to minimize the risks to which we are subject, as well as any losses stemming from such risks. Although we seek to identify, measure, monitor, report, and control our exposure to such risks, and employ a broad and diversified set of risk monitoring and mitigation techniques in the process, those techniques are inherently limited in their ability to anticipate the existence or development of risks that are currently unknown and unanticipated. The emergence of previously unknown or unanticipated risks may result in our incurring losses in the future that could adversely impact our financial condition and results of operations.


Risks Related to Our Business

Our business is highly susceptible to credit risk on our non-covered assets.

        As a lender, we are exposed to the risk that our customers will be unable to repay their loans according to their terms and that the collateral securing the payment of their loans, if any, may be insufficient to assure repayment. Credit losses are inherent in the business of making loans. To a lesser extent, we have credit risk embedded in our securities portfolio. Our credit standards, procedures and policies may not prevent us from incurring substantial credit losses, particularly in light of the continued potential for economic disruption. . It is difficult to determine the many ways in which a decline in economic or market conditions or a failure of those conditions to continue to improve may impact the credit quality of our assets. The Loss Sharing Agreements only cover certain legacy assets, and credit losses on assets not covered by the Loss Sharing Agreements could have a material adverse effect on our operating results.

Our allowance for loan and lease losses may not be adequate to cover actual credit losses.

        We maintain an allowance for loan and lease losses that represents management's estimate of probable losses inherent in our credit portfolio. This estimate requires management to make significant assumptions and involves a high degree of judgment, particularly as our new loan portfolio is not yet seasoned and has not yet developed an observable loss trend. Management considers numerous factors in determining the amount of the allowance for loan and lease losses, including, but not limited to, internal risk ratings, loss forecasts, collateral values, delinquency rates, historical loss severities, the level of non-performing and restructured loans in the loan portfolio, product mix, underwriting practices, portfolio trends, industry conditions, economic trends and net charge-off trends. The effects of any decreases in expected cash flows on covered loans are also considered in the establishment of the allowance for credit losses.

        If management's assumptions and judgments prove to be incorrect, our current allowance may be insufficient and we may be required to increase our allowance for loan and lease losses. In addition, regulatory authorities periodically review our allowance for loan and lease losses and may require us to increase our provision for loan losses or recognize further loan charge-offs, based on judgments

21


Table of Contents

different than those of our management. Adverse economic conditions could make management's estimate even more complex and difficult to determine. Any increase in our allowance for loan and lease losses will result in a decrease in net income and capital and could have a material adverse effect on our financial condition and results of operations. See Item 7 "Management's Discussion and Analysis of Financial Condition and Results of Operations—Analysis of the Allowance for Loan and Lease Losses" and "Management's Discussion and Analysis of Financial Condition and Results of Operations—Critical Accounting Policies and Estimates—Allowance for Loan and Lease Losses."

Our business is susceptible to interest rate risk.

        Our business and financial performance are impacted by market interest rates and movements in those rates. Since a high percentage of our assets and liabilities are interest bearing, changes in rates, in the shape of the yield curve or in spreads between different types of rates can have a material impact on our results of operations and the values of our assets and liabilities. Interest rates are highly sensitive to many factors over which we have no control and which we may not be able to anticipate adequately, including general economic conditions and the monetary and tax policies of various governmental bodies, particularly the Federal Reserve Board.

        Our earnings and cash flows depend to a great extent upon the level of our net interest income. Net interest income is the difference between the interest income we earn on loans, investments and other interest earning assets, and the interest we pay on interest bearing liabilities, such as deposits and borrowings. The current low level of market interest rates limits our ability to add higher yielding assets to the balance sheet. A prolonged period of low rates may exacerbate downward pressure on our net interest margin and have a negative impact on our net interest income in the future. Changes in interest rates can increase or decrease our net interest income, because different types of assets and liabilities may react differently, and at different times, to market interest rate changes. When interest bearing liabilities mature or reprice more quickly than interest earning assets in a period of rising rates, an increase in interest rates could reduce net interest income. Similarly, when interest earning assets mature or reprice more quickly than interest bearing liabilities, falling interest rates could reduce net interest income. Additionally, an increase in interest rates may, among other things, reduce the demand for loans and our deposit products, decrease loan repayment rates and negatively affect borrowers' ability to meet their obligations. A decrease in the general level of interest rates may affect us through, among other things, increased prepayments on our loan and mortgage-backed securities portfolios and increased competition for deposits.

        We attempt to manage interest rate risk by adjusting the rates, maturity, repricing, and balances of the different types of interest-earning assets and interest bearing liabilities and through the use of hedging instruments; however, interest rate risk management techniques are not precise, and we may not be able to successfully manage our interest rate risk. Our ability to manage interest rate risk could be negatively impacted by longer fixed rate terms on real estate loans being added to our portfolio. A rapid or unanticipated increase or decrease in interest rates, changes in the shape of the yield curve or in spreads between rates could have an adverse effect on our net interest margin and results of operations.

Ineffective liquidity management could adversely affect our financial condition and results of operations.

        Effective liquidity management is essential for the operation of our business. We require sufficient liquidity to meet customer loan requests, customer deposit maturities and withdrawals and other cash commitments under both normal operating conditions and under unpredictable circumstances causing industry or general financial market stress. Our access to funding sources in amounts adequate to finance our activities on terms that are acceptable to us could be impaired by factors that affect us specifically or the financial services industry or economy generally. Factors that could detrimentally impact our access to liquidity sources include a downturn in economic conditions in the geographic

22


Table of Contents

markets in which our operations are concentrated or in the financial or credit markets in general. Our access to liquidity in the form of deposits may also be affected by the liquidity needs of our depositors. A substantial portion of our liabilities consist of deposit accounts that are payable on demand or upon several days' notice, while by comparison, the majority of our assets are loans, which cannot be called or sold in the same time frame. Although we have historically been able to replace maturing deposits and advances as necessary, we might not be able to replace such funds in the future. A failure to maintain adequate liquidity could materially and adversely affect our business, results of operations or financial condition.

We may not be successful in executing our fundamental growth strategy.

        Growth of our business, whether organic or through acquisitions, is an essential component of our business strategy. Commercial and consumer banking in both of our primary markets is highly competitive, with a large number of community and regional banks and also a significant presence of the country's largest commercial banks. We compete with other state and national financial institutions located in both of our primary markets, as well as savings and loan associations, savings banks and credit unions for deposits and loans. There is no guarantee that we will be able to successfully execute our organic growth strategy in either of these markets.

        We also compete with other financial institutions for acquisition opportunities and there are a limited number of candidates that meet our acquisition criteria. Consequently, we may not be able to identify suitable candidates for acquisitions. If we are unable to locate suitable acquisition candidates willing to sell on terms acceptable to us, we will not be able to execute a strategy of growth by acquisition.

        If we do identify suitable candidates and succeed in consummating future acquisitions, acquisitions involve risks that the acquired businesses may not achieve anticipated revenue, earnings or cash flows. There may also be unforeseen liabilities relating to the acquired businesses or arising out of the acquisitions, asset quality problems of the acquired entities, difficulty operating in markets in which we have had no or only limited experience and other conditions not within our control, such as adverse personnel relations, loss of customers because of change in identity, and deterioration in local economic conditions.

        In addition, the process of integrating acquired entities will divert significant management time and resources. We may not be able to integrate successfully or operate profitably any financial institutions or complementary businesses we may acquire. We may experience disruption and incur unexpected expenses in integrating acquisitions. Any acquisitions we do make may not enhance our cash flows, business, financial condition, results of operations or prospects and may have an adverse effect on our results of operations, particularly during periods in which the acquisitions are being integrated into our operations.

Failure to comply with the terms of our Loss Sharing Agreements with the FDIC may result in significant losses.

        A significant portion of BankUnited's revenue continues to be derived from the covered assets. The Loss Sharing Agreements with the FDIC provide that a significant portion of losses related to the covered assets will be borne by the FDIC. Under the Loss Sharing Agreements, we are obligated to comply with certain loan servicing standards, including requirements to participate in government-sponsored loan modification programs. As these standards continue to evolve, we may experience difficulties in complying with the requirements of the Loss Sharing Agreements, which could result in covered assets losing some or all of their coverage. BankUnited's compliance with the terms of the Loss Sharing Agreements is subject to audit by the FDIC through its designated agent. The required terms of the agreements are extensive and failure to comply with any of the guidelines could result in a

23


Table of Contents

specific asset or group of assets losing their loss sharing coverage. See Item 1 "Business—The FSB Acquisition."

The geographic concentration of our markets in the coastal regions of Florida and the New York metropolitan area makes our business highly susceptible to local economic conditions.

        Unlike larger financial institutions that are more geographically diversified, our operations are primarily concentrated in the coastal regions of Florida and, to a lesser extent, the New York metropolitan area. Additionally, a significant portion of our loans secured by real estate are secured by commercial and residential properties in these geographic regions. Accordingly, the ability of our borrowers to repay their loans, and the value of the collateral securing such loans, may be significantly affected by economic conditions in these regions or by changes in the local real estate markets. The Florida economy and our market in particular were affected by the most recent downturn in commercial and residential property values, and the decline in real estate values in Florida during the downturn was higher than the national average. Additionally, the Florida economy relies heavily on tourism and seasonal residents. Disruption or deterioration in economic conditions in the markets we serve could result in one or more of the following:

    an increase in loan delinquencies;

    an increase in problem assets and foreclosures;

    a decrease in the demand for our products and services; or

    a decrease in the value of collateral for loans, especially real estate, in turn reducing customers' borrowing power, the value of assets associated with problem loans and collateral coverage.

Hurricanes and other weather-related events, as well as man-made disasters, could cause a disruption in our operations or other consequences that could have an adverse impact on our results of operations.

        The occurrence of a hurricane or other natural disaster to which our markets are susceptible or a man-made catastrophe such as the 2010 Gulf of Mexico oil spill or terrorist activity could disrupt our operations, result in damage to our properties, reduce or destroy the value of collateral and negatively affect the local economies in which we operate, which could have a material adverse effect on our results of operations.

Delinquencies and defaults in residential mortgages have created a backlog in courts and an increase in the amount of legislative action that might restrict or delay our ability to foreclose and hence delay the collection of payments for single family residential loans under the Loss Sharing Agreements.

        For the single family residential loans covered by the Loss Sharing Agreements, we cannot collect loss share payments until we liquidate the properties securing those loans. These loss share payments could be delayed by an extended foreclosure process, including delays resulting from a court backlog, local or national foreclosure moratoriums or other delays, and these delays could have a material adverse effect on our results of operations. Homeowner protection laws may also delay the initiation or completion of foreclosure proceedings on specified types of residential mortgage loans. Any such limitations are likely to cause delayed or reduced collections from mortgagors. Any restriction on our ability to foreclose on a loan, any requirement that we forgo a portion of the amount otherwise due on a loan or any requirement that we modify any original loan terms could negatively impact our business, financial condition, liquidity and results of operations.

24


Table of Contents

Since we engage in lending secured by real estate and may be forced to foreclose on the collateral property and own the underlying real estate, we may be subject to the increased costs and risks associated with the ownership of commercial or residential real property, which could have an adverse effect on our business or results of operations.

        A significant portion of our loan portfolio is secured by residential or commercial real property. During the ordinary course of business, we may foreclose on and take title to properties securing certain loans, in which case, we are exposed to the risks inherent in the ownership of real estate. The amount that we, as a mortgagee, may realize after a default is dependent upon factors outside of our control, including:

    general or local economic conditions;

    environmental cleanup liability;

    neighborhood values;

    interest rates;

    commercial real estate rental and vacancy rates;

    real estate tax rates;

    operating expenses of the mortgaged properties;

    supply of and demand for properties;

    ability to obtain and maintain adequate occupancy of the properties;

    zoning laws;

    governmental rules, regulations and fiscal policies; and

    hurricanes or other natural or man-made disasters.

        These same factors may impact the ability of borrowers to repay their obligations that are secured by real property.

The credit quality of our loan portfolio and results of operations are affected by residential and commercial real estate values and the level of residential and commercial real estate sales and rental activity.

        A material portion of our loans are secured by residential or commercial real estate. The ability of our borrowers to repay their obligations and our financial results may therefore be adversely affected by changes in real estate values. Commercial real estate valuations in particular are highly subjective, as they are based on many assumptions. Such valuations can be significantly affected over relatively short periods of time by changes in business climate, economic conditions, interest rates and, in many cases, the results of operations of businesses and other occupants of the real property. The properties securing income-producing investor real estate loans may not be fully leased at the origination of the loan. The borrowers' ability to repay these loans is dependent upon stabilization of the properties and additional leasing through the life of the loan or the borrower's successful operation of a business. Weak economic conditions may impair a borrower's business operations, lead to elevated vacancy rates or lease turnover, slow the execution of new leases or result in falling rents. These factors could result in further deterioration in the fundamentals underlying the commercial real estate market and the deterioration in value of some of our loans. Similarly, residential real estate valuations can be impacted by housing trends, the availability of financing at reasonable interest rates, governmental policy regarding housing and housing finance and general economic conditions affecting consumers.

        We make credit and reserve decisions based on current real estate values, the current conditions of borrowers, properties or projects and our expectations for the future. If the real estate market does not

25


Table of Contents

continue to recover or if real estate values or fundamentals underlying the commercial and residential real estate markets decline, we could experience higher delinquencies and charge-offs beyond that provided for in the allowance for loan and lease losses.

        Although we have the Loss Sharing Agreements with the FDIC, these agreements do not cover 100% of the losses attributable to covered assets. In addition, the Loss Sharing Agreements will not mitigate any losses on our non-covered assets.

Our portfolio of assets under operating lease is exposed to fluctuations in the demand for and valuation of the underlying assets.

        Our equipment leasing business is exposed to asset risk resulting from ownership of the equipment on operating lease. Asset risk arises from fluctuations in supply and demand for the underlying leased equipment. We are exposed to the risk that, at the end of the lease term, the value of the asset will be lower than expected, resulting in reduced future lease income over the remaining life of the asset or a lower sale value. Demand for and the valuation of the leased transportation equipment is sensitive to shifts in general and industry specific economic and market trends and shifts in trade flows from specific events such as natural or man-made disasters.

Our reported financial results depend on management's selection and application of accounting methods and related assumptions and estimates.

        Our accounting policies and assumptions are fundamental to our reported financial condition and results of operations. Management is required to make difficult, complex or subjective judgments in selecting and applying many of these accounting policies. In some cases, management must select an accounting policy or method from two or more alternatives, any of which may be reasonable under the circumstances, yet may result in us reporting materially different results than would have been reported under a different alternative.

        From time to time, the Financial Accounting Standards Board and SEC may change the financial accounting and reporting standards that govern the preparation of our financial statements. These changes can be difficult to predict and can materially impact how we record and report our financial condition and results of operations. In some cases, we could be required to apply a new or revised standard retrospectively, resulting in a restatement of prior period financial statements.

We depend on our executive officers and key personnel to continue the implementation of our long-term business strategy and could be harmed by the loss of their services.

        We believe that our continued growth and future success will depend in large part on the skills of our senior management team. We believe our senior management team possesses valuable knowledge about and experience in the banking industry and that their knowledge and relationships would be very difficult to replicate. Although our senior management team has entered into employment agreements with us, they may not complete the term of their employment agreements or renew them upon expiration. Our success also depends on the experience of our branch managers and lending officers and on their relationships with the customers and communities they serve. The loss of service of one or more of our executive officers or key personnel, or the inability to recruit and retain qualified personnel in the future, could have an adverse effect on our business, financial condition or operating results.

We face significant competition from other financial institutions and financial services providers, which may decrease our growth or profits.

        The primary markets we currently serve are Florida and the New York metropolitan area. Consumer and commercial banking in these markets is highly competitive. Our markets contain not

26


Table of Contents

only a large number of community and regional banks, but also a significant presence of the country's largest commercial banks. We compete with other state and national financial institutions located in Florida, New York and adjoining states as well as savings and loan associations, savings banks and credit unions for deposits and loans. In addition, we compete with financial intermediaries, such as consumer finance companies, mortgage banking companies, insurance companies, securities firms, mutual funds and several government agencies as well as major retailers, all actively engaged in providing various types of loans and other financial services.

        The financial services industry could become even more competitive as a result of legislative, regulatory and technological changes and continued consolidation. Banks, securities firms and insurance companies can merge under the umbrella of a financial holding company, which can offer virtually any type of financial service, including banking, securities underwriting, insurance (both agency and underwriting) and merchant banking. Increased competition among financial services companies may adversely affect our ability to market our products and services. Also, technology has lowered barriers to entry and made it possible for banks to compete in our market without a retail footprint by offering competitive rates, as well as non-banks to offer products and services traditionally provided by banks. Many of our competitors have fewer regulatory constraints and may have lower cost structures. Additionally, due to their size, many competitors may offer a broader range of products and services as well as better pricing for certain products and services than we can.

        Our ability to compete successfully depends on a number of factors, including:

    the ability to develop, maintain and build upon long-term customer relationships based on quality service, high ethical standards and safe and sound assets;

    the ability to attract and retain qualified employees to operate our business effectively;

    the ability to expand our market position;

    the scope, relevance and pricing of products and services offered to meet customer needs and demands;

    the rate at which we introduce new products and services relative to our competitors;

    customer satisfaction with our level of service; and

    industry and general economic trends.

        Failure to perform in any of these areas could significantly weaken our competitive position, which could adversely affect our growth and profitability, which, in turn, could harm our business, financial condition and results of operations.

We are dependent on our information technology and telecommunications systems and third-party servicers. Systems failures, interruptions or breaches of security could have an adverse effect on our financial condition and results of operations.

        Our business is highly dependent on the successful and uninterrupted functioning of our information technology and telecommunications systems, many of which are provided by third parties. We rely on third-party servicers to provide key components of our business infrastructure and major systems including, but not limited to, our electronic funds transfer transaction processing, cash management and online banking services. We rely on these systems to process new and renewal loans, gather deposits, provide customer service, facilitate collections and share data across our organization. The failure of these systems, or the termination of a third-party software license or service agreement on which any of these systems is based, could interrupt our operations. Because our information technology and telecommunications systems interface with and depend on third-party systems, we could experience service denials if demand for such services exceeds capacity or such third-party systems fail

27


Table of Contents

or experience interruptions. If sustained or repeated, a system failure or service denial could result in a deterioration of our ability to process new and renewal loans, gather deposits and provide customer service, compromise our ability to operate effectively, damage our reputation, result in a loss of customer business, and/or subject us to additional regulatory scrutiny and possible financial liability, any of which could have a material adverse effect on our financial condition and results of operations.

        While we have selected third party vendors carefully, we do not control their actions. Any problems caused by these third parties, including those resulting from disruptions in communication services provided by a vendor, failure of a vendor to handle current or higher volumes, or failure of a vendor to provide services for any reason or poor performance of services, could adversely affect our ability to deliver products and services to our customers and otherwise conduct our business. Financial or operational difficulties of a third party vendor could also hurt our operations if those difficulties interfere with the vendor's ability to serve us. Replacing these third party vendors could also create significant delay and expense. Accordingly, use of such third parties creates an unavoidable inherent risk to our business operations.

        In addition, we provide our customers the ability to bank remotely, including online and over the telephone. The secure transmission of confidential information over the Internet and other remote channels is a critical element of remote banking. Our network could be vulnerable to unauthorized access, computer viruses, phishing schemes and other security breaches. We may be required to spend significant capital and other resources to protect against the threat of security breaches and computer viruses, or to alleviate problems caused by security breaches or viruses. To the extent that our activities or the activities of our customers involve the storage and transmission of confidential information, security breaches and viruses could expose us to claims, litigation and other possible liabilities. Any inability to prevent security breaches or computer viruses could also cause existing customers to lose confidence in our systems and could adversely affect our reputation and our ability to generate business.

Failure to keep pace with technological changes could have a material adverse impact on our ability to compete for loans and deposits, and therefore on our financial condition and results of operations.

        Financial products and services have become increasingly technology-driven. To some degree, our ability to meet the needs of our customers competitively, and in a cost-efficient manner, is dependent on our ability to keep pace with technological advances and to invest in new technology as it becomes available. Many of our competitors have greater resources to invest in technology than we do and may be better equipped to market new technology-driven products and services.

We are subject to a variety of operational, legal and compliance risks, and the risk of fraud or theft by employees or outsiders, which may adversely affect our business and results of operations.

        We are exposed to many types of operational risks, including legal and compliance risk, the risk of fraud or theft by employees or outsiders and operational errors, including clerical or record-keeping errors or those resulting from faulty or disabled computer or telecommunications systems.

        If personal, non-public, confidential or proprietary information of customers in our possession were to be misappropriated, mishandled or misused, we could suffer significant regulatory consequences, reputational damage and financial loss. Such mishandling or misuse could include, for example, erroneously providing such information to parties who are not permitted to have the information, either by fault of our systems, employees, or counterparties, or the interception or inappropriate acquisition of such information by third parties.

        Because the nature of the financial services business involves a high volume of transactions, certain errors may be repeated or compounded before they are discovered and successfully rectified. Our necessary dependence upon automated systems to record and process transactions and our large

28


Table of Contents

transaction volume may further increase the risk that technical flaws or employee tampering or manipulation of those systems will result in losses that are difficult to detect. We also may be subject to disruptions of our operating systems arising from events that are wholly or partially beyond our control which may give rise to disruption of service to customers and to financial loss or liability. The occurrence of any of these events could result in a diminished ability to operate our business as well as potential liability to customers and counterparties, reputational damage and regulatory intervention, which could adversely affect our business, financial condition or results of operations.

Reputational risks could affect our results.

        Our ability to originate and maintain accounts is highly dependent upon consumer and other external perceptions of our business practices. Adverse perceptions regarding our business practices could damage our reputation in both the customer and funding markets, leading to difficulties in generating and maintaining accounts as well as in financing them. Negative public opinion can result from our actual or alleged conduct in any number of activities, including lending practices, corporate governance and acquisitions and from actions taken by government regulators and community organizations in response to those activities. Adverse developments with respect to external perceptions regarding the practices of our competitors, or our industry as a whole, may also adversely impact our reputation. In addition, adverse reputational impacts on third parties with whom we have important relationships may adversely impact our reputation. Adverse reputational impacts or events may also increase our litigation risk. We carefully monitor internal and external developments for areas of potential reputational risk and have established governance structures to assist in evaluating such risks in our business practices and decisions.


Risks Relating to the Regulation of Our Industry

We operate in a highly regulated environment and the laws and regulations that govern our operations, corporate governance, executive compensation and accounting principles, or changes in them, or our failure to comply with them, may adversely affect us.

        We are subject to extensive regulation, supervision, and legal requirements that govern almost all aspects of our operations. Intended to protect customers, depositors, the DIF, and the overall financial stability of the United States, these laws and regulations, among other matters, prescribe minimum capital requirements, impose limitations on the business activities in which we can engage, limit the dividend or distributions that BankUnited can pay to us, restrict the ability of institutions to guarantee our debt, and impose specific accounting requirements on us. Compliance with laws and regulations can be difficult and costly, and changes to laws and regulations often impose additional compliance costs. In addition, federal banking agencies, including the OCC and Federal Reserve Board, periodically conduct examinations of our business, including compliance with laws and regulations. Our failure to comply with these laws and regulations, even if the failure follows good faith effort or reflects a difference in interpretation, could subject us to restrictions on our business activities, fines, remedial actions, administrative orders and other penalties, any of which could adversely affect our results of operations, capital base and the price of our securities. Further, any new laws, rules and regulations could make compliance more difficult or expensive or otherwise adversely affect our business and financial condition.

The ongoing implementation of the Dodd-Frank Wall Street Reform and Consumer Protection Act of 2010 may have a material effect on our operations.

        On July 21, 2010, the Dodd-Frank Act was signed into law, and the process of implementation is ongoing. The Dodd-Frank Act imposes significant regulatory and compliance changes. There remains significant uncertainty surrounding the manner in which the provisions of the Dodd-Frank Act will ultimately be implemented by the various regulatory agencies and the full extent of the impact of the

29


Table of Contents

requirements on our operations is unclear. The changes resulting from the Dodd-Frank Act, including the Volcker Rule, may impact the profitability of our business activities, require changes to certain of our business practices, require the development of new compliance infrastructure, impose upon us more stringent capital and liquidity requirements or otherwise adversely affect our business. These changes may also require us to invest significant management attention and resources to evaluate and make any changes necessary to comply with new statutory and regulatory requirements. Failure to comply with the new requirements or with any future changes in laws or regulations may negatively impact our results of operations and financial condition. For a more detailed description of the Dodd-Frank Act, see Item 1 "Business—Regulation and Supervision—The Dodd-Frank Act."

Failure to comply with the business plan filed with the OCC could have an adverse effect on our ability to execute our business strategy.

        In conjunction with the conversion of its charter to that of a national bank, BankUnited was required to file a business plan with the OCC, and is required to update the business plan annually. Failure to comply with the business plan could subject the Bank to regulatory actions that could impede our ability to execute our business strategy. The provisions of the business plan restrict our ability to engage in business activities outside of those contemplated in the business plan or to expand the level of our growth beyond that contemplated in the business plan without regulatory approval.

Our ability to expand through acquisition or de novo branching requires regulatory approvals, and failure to obtain them may restrict our growth.

        We may identify opportunities to complement and expand our business by pursuing strategic acquisitions of financial institutions and other complementary businesses. We must generally receive federal regulatory approval before we can acquire an institution or business. In determining whether to approve a proposed acquisition, federal banking regulators will consider, among other factors, the effect of the acquisition on the competition, our financial condition, our future prospects, and the impact of the proposal on U.S. financial stability. The regulators also review current and projected capital ratios and levels, the competence, experience, and integrity of management and its record of compliance with laws and regulations, the convenience and needs of the communities to be served (including the acquiring institution's record of compliance under the CRA) and the effectiveness of the acquiring institution in combating money laundering activities. Such regulatory approvals may not be granted on terms that are acceptable to us, or at all. We may also be required to sell or close branches as a condition to receiving regulatory approval, which condition may not be acceptable to us or, if acceptable to us, may reduce the benefit of any acquisition.

        In addition to the acquisition of existing financial institutions, as opportunities arise, we may continue de novo branching as a part of our internal growth strategy and possibly enter into new markets through de novo branching. De novo branching and any acquisition carries with it numerous risks, including the inability to obtain all required regulatory approvals. The failure to obtain these regulatory approvals for potential future strategic acquisitions and de novo branches may impact our business plans and restrict our growth.

Financial institutions, such as BankUnited, face a risk of noncompliance and enforcement action with the Bank Secrecy Act and other anti-money laundering statutes and regulations.

        The federal Bank Secrecy Act, the USA PATRIOT Act, and other laws and regulations require financial institutions, among other duties, to institute and maintain an effective anti-money laundering program and file suspicious activity and currency transaction reports as appropriate. The federal Financial Crimes Enforcement Network, established by the U.S. Treasury Department to administer the Bank Secrecy Act, is authorized to impose significant civil money penalties for violations of those requirements, and has recently engaged in coordinated enforcement efforts with the individual federal

30


Table of Contents

banking regulators, as well as the U.S. Department of Justice, Drug Enforcement Administration, and Internal Revenue Service. There is also increased scrutiny of compliance with the sanctions programs and rules administered and enforced by the U.S. Treasury Department's Office of Foreign Assets Control.

        In order to comply with regulations, guidelines and examination procedures in this area, we have dedicated significant resources to the enhancement of our anti-money laundering program, adopted enhanced policies and procedures and implemented a new, robust automated anti-money laundering software solution. If our policies, procedures and systems are deemed deficient or the policies, procedures and systems of financial institutions that we may acquire in the future are deemed deficient, we could be subject to liability, including fines and regulatory actions such as restrictions on our ability to pay dividends and the necessity to obtain regulatory approvals to proceed with certain aspects of our business plan, including our expansion plans.

We are subject to the CRA and fair lending laws, and failure to comply with these laws could lead to material penalties.

        The CRA, the Equal Credit Opportunity Act, the Fair Housing Act and other fair lending laws and regulations impose nondiscriminatory lending requirements on financial institutions. The Department of Justice and other federal agencies are responsible for enforcing these laws and regulations. A successful challenge to an institution's performance under the CRA or fair lending laws and regulations could result in a wide variety of sanctions, including the required payment of damages and civil money penalties, injunctive relief, imposition of restrictions on mergers and acquisitions activity, and restrictions on expansion activity. Private parties may also have the ability to challenge an institution's performance under fair lending laws in private class action litigation.

The FDIC's restoration plan and the related increased assessment rate could adversely affect our earnings.

        As a result of economic conditions and the enactment of the Dodd-Frank Act, the FDIC has increased the deposit insurance assessment rates and thus raised deposit premiums for insured depository institutions. If these increases are insufficient for the DIF to meet its funding requirements, further special assessments or increases in deposit insurance premiums may be required. We are generally unable to control the amount of premiums that we are required to pay for FDIC insurance. If there are additional bank or financial institution failures in the future, we may be required to pay FDIC premiums higher than current levels. Any future additional assessments or increases in FDIC insurance premiums may adversely affect results of operations.

We will become subject to more stringent capital requirements under the Basel III Capital Rules.

        As noted above, the Dodd-Frank Act required the federal banking agencies to establish stricter risk-based capital requirements and leverage limits to apply to banks and bank and savings and loan holding companies. In July 2013, the federal banking agencies published the final Basel III Capital Rules that revised their risk-based and leverage capital requirements and their method for calculating risk-weighted assets. The Basel III Capital Rules will apply to banking organizations, including the Company and BankUnited.

        As a result of the enactment of the Basel III Capital Rules, the Company and BankUnited will be subject to increased required capital levels. The Basel III Capital Rules become effective as applied to the Company and BankUnited on January 1, 2015, with a phase in period that generally extends from January 1, 2015 through January 1, 2019.

Item 1B.    Unresolved Staff Comments

        None.

31


Table of Contents


Item 2.    Properties

        At December 31, 2013, BankUnited leased 139,572 square feet of office and operations space in Miami Lakes, Florida. This space includes our principal executive offices and operations center. At December 31, 2013, we provided banking services at 99 branch locations in 15 Florida counties. Of the 99 branch properties, we leased 325,422 square feet in 91 locations and owned 40,016 square feet in 8 locations. We also leased 28,478 square feet of property and owned 4,000 square feet of property in Florida for future retail branch operations. Additionally, we leased 19,185 square feet of office space and 5,580 square feet of warehouse space.

        At December 31, 2013, BankUnited leased 25,306 square feet of banking services space in New York City at 5 branch locations and 2,000 square feet of banking services space in Melville, New York at 1 branch location. We also leased 61,040 square feet of office space in New York.

        As of December 31, 2013, we leased 10,619 square feet of office and operations space in Hunt Valley, Maryland to house United Business Capital Lending, 5,488 square feet of office and operations space in Scottsdale, Arizona to house Pinnacle Public Finance and 2,190 square feet of office and operations space in Orlando, Florida and Castle Rock, Colorado to house Bridge Capital Leasing.

        We believe that our facilities are in good condition and are adequate to meet our operating needs for the foreseeable future.

Item 3.    Legal Proceedings

        The Company is involved as plaintiff or defendant in various legal actions arising in the normal course of business. In the opinion of management, based upon advice of legal counsel, the likelihood is remote that the impact of these proceedings, either individually or in the aggregate, would be material to the Company's consolidated financial position, results of operations or cash flows.

Item 4.    Mine Safety Disclosures

        None.

32


Table of Contents


PART II

Item 5.    Market for Registrant's Common Equity, Related Stockholder Matters and Issuer Purchases of Equity Securities

Market Information and Holders of Record

        Shares of our common stock began trading on the NYSE under the symbol "BKU" on January 28, 2011. The last sale price of our common stock on the NYSE on February 24, 2014 was $32.89 per share.

        The following table shows the high and low sales prices for our common stock for the periods indicated, as reported by the NYSE:

 
  2013   2012  
 
  High   Low   High   Low  

1st Quarter

  $ 28.69   $ 24.22   $ 26.33   $ 21.66  

2nd Quarter

    27.00     24.17     25.26     22.23  

3rd Quarter

    31.47     26.25     26.22     22.85  

4th Quarter

    33.34     30.35     25.10     22.01  

        As of February 24, 2014, there were 101,549,929 stockholders of record of our common stock.


Equity Compensation Plan Information

        The information set forth under the caption "Equity Compensation Plan Information" in our definitive proxy statement for the Company's 2014 annual meeting of stockholders (the "Proxy Statement") is incorporated herein by reference.


Dividend Policy

        The Company declared a quarterly dividend of $0.21 per share on its common stock for each of the four quarters of 2013, resulting in total dividends for 2013 of $87.1 million, or $0.84 per share for the year ended December 31, 2013. The Company declared a quarterly dividend of $0.17 per share on its common stock for each of the first three quarters of 2012, and increased its dividend to $0.21 per share on its common stock for the fourth quarter of 2012, resulting in total dividends for 2012 of $74.1 million, or $0.72 per share for the year ended December 31, 2012. The Company declared quarterly dividends of $0.14 per share on its common stock in 2011, resulting in total dividends for 2011 of $56.7 million, or $0.56 per share for the year ended December 31, 2011. Dividends from the Bank are the principal source of funds for the payment of dividends on our common stock. The Bank is subject to certain restrictions that may limit its ability to pay dividends to us. See "Business—Regulation and Supervision—Regulatory Limits on Dividends and Distributions". The quarterly dividends on our common stock are subject to the discretion of our board of directors and dependent on, among other things, our financial condition, results of operations, capital requirements, restrictions contained in financing instruments and other factors that our board of directors may deem relevant.


Stock Performance Graph

        The graph set forth below compares the cumulative total stockholder return on an initial investment of $100 in our common stock between January 28, 2011 (the day shares of our common stock began trading) and December 31, 2013, with the comparative cumulative total return of such amount on the S&P 500 Index and the S&P 500 Bank Index over the same period. Reinvestment of all dividends is assumed to have been made in our common stock. The graph assumes our closing sales price on January 28, 2011 of $28.40 per share as the initial value of our common stock.

33


Table of Contents

        The comparisons shown in the graph below are based upon historical data. We caution that the stock price performance shown in the graph below is not necessarily indicative of, nor is it intended to forecast, the potential future performance of our common stock.


COMPARISON OF CUMULATIVE TOTAL RETURN

GRAPHIC

Index
  01/28/11   06/30/11   12/31/11   06/30/12   12/31/12   06/30/13   12/31/13  

BankUnited, Inc. 

    100.00     94.40     79.24     86.17     90.75     97.37     125.05  

S&P 500

    100.00     104.36     100.51     110.05     116.60     132.72     154.36  

S&P Bank

    100.00     92.40     88.70     106.19     110.19     133.72     149.55  


Recent Sales of Unregistered Securities

        None.


Purchases of Equity Securities by the Issuer and Affiliated Purchasers

        None.

34


Table of Contents

Item 6.    Selected Consolidated Financial Data

        You should read the selected consolidated financial data set forth below in conjunction with "Item 7, Management's Discussion and Analysis of Financial Condition and Results of Operations," and the audited consolidated financial statements and the related notes thereto included elsewhere in this Form 10-K. The selected consolidated financial data set forth below at December 31, 2013, 2012, 2011, 2010 and for the years then ended and at December 31, 2009 and for the period then ended is derived from our audited consolidated financial statements. The selected consolidated financial data set forth below for the period from October 1, 2008 to May 21, 2009 has been derived from the consolidated financial statements of the Failed Bank.

        Although we were incorporated on April 28, 2009, neither we nor the Bank had any substantive operations prior to the FSB Acquisition on May 21, 2009. Results of operations of the Company for the periods after the FSB Acquisition are not comparable to the results of operations of the Failed Bank. See "Management's Discussion and Analysis of Financial Condition and Results of Operations—Impact of Acquisition Accounting, ACI Loan Accounting and the Loss Sharing Agreements."

 
  BankUnited, Inc.  
 
  At December 31,  
 
  2013   2012   2011   2010   2009  
 
   
  (dollars in thousands)
   
 

Consolidated Balance Sheet Data:

                               

Cash and cash equivalents

  $ 252,749   $ 495,353   $ 303,742   $ 564,774   $ 356,215  

Investment securities available for sale, at fair value

    3,637,124     4,172,412     4,181,977     2,926,602     2,243,143  

Loans, net

    8,983,884     5,512,618     4,088,656     3,875,857     4,588,898  

FDIC indemnification asset

    1,205,117     1,457,570     2,049,151     2,667,401     3,279,165  

Total assets

    15,046,649     12,375,953     11,322,038     10,869,560     11,129,961  

Deposits

    10,532,428     8,538,073     7,364,714     7,163,728     7,666,775  

Federal Home Loan Bank advances and other borrowings

    2,414,313     1,925,094     2,236,337     2,255,692     2,082,023  

Total liabilities

    13,117,951     10,569,273     9,786,758     9,616,052     10,035,701  

Total stockholder's equity

    1,928,698     1,806,680     1,535,280     1,253,508     1,094,260  

35


Table of Contents


 
  BankUnited, Inc.    
  Failed Bank  
 
   
   
   
   
  Period from
April 28, 2009
to December 31,
2009(1)
   
  Period from
October 1, 2008
to May 21,
2009(1)
 
 
  Year Ended
December 31,
2013
  Year Ended
December 31,
2012
  Year Ended
December 31,
2011
  Year Ended
December 31,
2010
   
 
 
   
 
 
   
 
 
   
   
  (dollars in thousands, except per share data)
 

Consolidated Income Statement Data:

                                         

Interest income

  $ 738,821   $ 720,856   $ 638,097   $ 557,688   $ 335,524       $ 339,068  

Interest expense

    92,611     123,269     138,937     168,200     83,856         333,392  
                               

Net interest income

    646,210     597,587     499,160     389,488     251,668         5,676  

Provision for loan losses

    31,964     18,896     13,828     51,407     22,621         919,139  
                               

Net interest income (loss) after provision for loan losses

    614,246     578,691     485,332     338,081     229,047         (913,463 )

Non-interest income (loss)

    31,106     89,247     163,217     297,779     253,636         (81,431 )

Non-interest expense

    327,350     323,073     455,805     323,320     283,262         238,403  
                               

Income (loss) before income taxes

    318,002     344,865     192,744     312,540     199,421         (1,233,297 )

Provision for income taxes

    109,066     133,605     129,576     127,805     80,375          
                               

Net income (loss)

  $ 208,936   $ 211,260   $ 63,168   $ 184,735   $ 119,046       $ (1,233,297 )
                               
                               

Share Data:

                                         

Earnings (loss) per common share, basic

  $ 2.03   $ 2.05   $ 0.63   $ 1.99   $ 1.29       $ (12,332,970 )

Earnings (loss) per common share, diluted

  $ 2.01   $ 2.05   $ 0.62   $ 1.99   $ 1.29       $ (12,332,970 )

Cash dividends declared per common share

  $ 0.84   $ 0.72   $ 0.56   $ 0.37   $         N/A  

Dividend payout ratio

    41.73 %   35.13 %   90.32 %   18.59 %   N/A         N/A  

Other Data (unaudited):

                                         

Financial ratios

                                         

Return on average assets(2)

    1.55 %   1.71 %   0.58 %   1.65 %   1.69 %       (14.26 )%

Return on average common equity(2)

    11.16 %   12.45 %   4.34 %   15.43 %   18.98 %       (2041.04 )%

Yield on earning assets(2)(3)

    6.54 %   7.28 %   7.92 %   7.26 %   7.42 %       3.91 %

Cost of interest bearing liabilities(2)

    0.94 %   1.33 %   1.62 %   1.81 %   1.39 %       3.94 %

Equity to assets ratio

    12.82 %   14.60 %   13.56 %   11.53 %   9.83 %       (7.25 )%

Interest rate spread(2)(3)

    5.60 %   5.95 %   6.30 %   5.45 %   6.03 %       (0.03 )%

Net interest margin(2)(3)

    5.73 %   6.05 %   6.21 %   5.08 %   5.58 %       0.06 %

Loan to deposit ratio(4)

    85.96 %   65.28 %   56.23 %   54.96 %   60.15 %       128.74 %

Asset quality ratios

                                         

Non-performing loans to total loans(4)(5)

    0.39 %   0.62 %   0.70 %   0.66 %   0.38 %       24.58 %

Non-performing assets to total assets(6)

    0.51 %   0.89 %   1.35 %   2.14 %   1.24 %       23.53 %

Allowance for loan and lease losses to total loans

    0.77 %   1.06 %   1.17 %   1.48 %   0.49 %       11.14 %

Allowance for loan and lease losses to non-performing loans(5)

    195.52 %   171.21 %   167.59 %   226.35 %   130.22 %       45.33 %

Net charge-offs to average loans(2)

    0.31 %   0.17 %   0.62 %   0.37 %   0.00 %       5.51 %

36


Table of Contents


 
  BankUnited, Inc.  
 
  At December 31,  
 
  2013   2012   2011   2010   2009  

Capital ratios(7)

                               

Tier 1 risk-based capital

    21.06 %   33.60 %   41.62 %   42.97 %   40.42 %

Total risk-based capital

    21.93 %   34.88 %   42.89 %   43.71 %   40.55 %

Tier 1 leverage

    12.42 %   13.16 %   13.06 %   10.76 %   8.78 %

(1)
The Company was incorporated on April 28, 2009, but neither the Company nor the Bank had any substantive operations prior to the FSB Acquisition on May 21, 2009.

(2)
Ratio is annualized for the period from October 1, 2008 to May 21, 2009 and for the period from May 22, 2009 to December 31, 2009. See note 1 above.

(3)
On a tax-equivalent basis for the years ended December 31, 2013, 2012, 2011 and 2010.

(4)
Total loans is net of premiums, discounts, deferred fees and costs.

(5)
We define non-performing loans to include non-accrual loans, loans, other than ACI loans, that are past due 90 days or more and still accruing and certain loans modified in troubled debt re-structurings. Contractually delinquent ACI loans on which interest continues to be accreted are excluded from non-performing loans. The carrying value of ACI loans contractually delinquent by more than 90 days, but not identified as non-performing was $78 million, $177 million, $361 million, $718 million and $1.2 billion at December 31, 2013, 2012, 2011, 2010 and 2009, respectively.

(6)
Non-performing assets include non-performing loans and OREO.

(7)
Capital ratios presented as of December 31, 2009 are ratios of the Bank.

37


Table of Contents

Item 7.    Management's Discussion and Analysis of Financial Condition and Results of Operations

        The following discussion and analysis is intended to assist readers in understanding the consolidated financial condition and results of operations of BankUnited, Inc. and its subsidiaries (the "Company", "we", "us" and "our") and should be read in conjunction with the consolidated financial statements, accompanying footnotes and supplemental financial data included herein. In addition to historical information, this discussion contains forward-looking statements that involve risks, uncertainties and assumptions that could cause actual results to differ materially from management's expectations. Factors that could cause such differences are discussed in the sections entitled "Forward-looking Statements" and "Risk Factors." We assume no obligation to update any of these forward-looking statements.


Overview

    Performance Highlights

        In evaluating our financial performance, we consider the level of and trends in net interest income, the net interest margin and interest rate spread, the allowance and provision for loan losses, performance ratios such as the return on average assets and return on average equity, asset quality ratios including the ratio of non-performing loans to total loans, non-performing assets to total assets, and portfolio delinquency and charge-off trends. We consider growth in the loan portfolio by region and product type, trends in deposit mix and cost of deposits. We analyze these ratios and trends against our own historical performance, our budgeted performance and the financial condition and performance of comparable financial institutions, regionally and nationally.

        Performance highlights include:

    Net income for the year ended December 31, 2013 was $208.9 million or $2.01 per diluted share, compared to $211.3 million or $2.05 per diluted share for the year ended December 31, 2012. Earnings for 2013 generated a return on average stockholders' equity of 11.16% and a return on average assets of 1.55%.

    Net interest income for 2013 was $646.2 million, an increase of $48.6 million over the prior year. The net interest margin, calculated on a tax-equivalent basis, decreased to 5.73% for 2013 from 6.05% for 2012. The decline in the net interest margin resulted from a decrease in the average yield on interest earning assets, partially offset by a decrease in the average rate paid on interest bearing liabilities. The primary driver of the decrease in the average yield on interest earning assets was the continued shift in the composition of the loan portfolio away from higher yielding covered loans into new loans originated at lower current market rates of interest. The decrease in the average rate paid on interest bearing liabilities resulted from declines in market interest rates and a continued shift in deposit mix into lower cost deposit products. The following chart provides a comparison of net interest margin, the interest rate spread, the average yield on

38


Table of Contents

      interest earning assets and the average rate paid on interest bearing liabilities for the years ended December 31, 2013 and 2012 (on a tax-equivalent basis):

      GRAPHIC

    BankUnited launched its New York franchise in 2013. In conjunction with the New York launch, Herald was merged into BankUnited. We currently operate four locations in Manhattan, one in Long Island and one in Brooklyn.

    2013 was marked by strong loan growth across our markets, resulting in increased geographic diversification in the portfolio. New loans grew by $3.9 billion in 2013 to $7.6 billion. New loan growth was concentrated in the commercial portfolio segment, commensurate with our core business strategy. The following charts compare the composition of our loan portfolio at December 31, 2013 and 2012:

GRAPHIC


(1)
National platform is defined as purchased residential loans, loans and leases made by our commercial lending subsidiaries and indirect auto loans.

39


Table of Contents

    Total deposits grew by $2.0 billion to $10.5 billion while demand deposits increased to 27% of total deposits at December 31, 2013. The following charts illustrate the composition of deposits at December 31, 2013 and 2012:

GRAPHIC

    The cost of deposits continued to decline. The weighted average cost of deposits declined to 0.65% for the year ended December 31, 2013 as compared to 0.81% for the year ended December 31, 2012.

    Asset quality remained strong. At December 31, 2013, 99% of the new commercial loan portfolio was rated "pass" and substantially all of the new residential portfolio was current. The ratio of non-performing, non-covered loans to total non-covered loans was 0.31% and the ratio of non-covered non-performing assets to total assets was 0.16% at December 31, 2013. Credit risk related to the covered assets is significantly mitigated by the Loss Sharing Agreements. A comparison of our non-performing assets ratio to that of our peers is presented in the chart below:

GRAPHIC


(1)
Calculated as non-covered non-performing assets as a percentage of total assets.

(2)
Source: SNL Financial. Peers data reflect median values for publicly traded U.S. banks and thrifts with assets between $10-25 billion and $1-5 billion in market capitalization.

40


Table of Contents

    The Company's capital ratios exceed all regulatory "well capitalized" guidelines. The charts below present the Company's regulatory capital ratios compared to regulatory guidelines as of December 31, 2013 and 2012:

GRAPHIC

    On March 20, 2013, November 8, 2013 and February 18, 2014, we completed secondary offerings of 22,540,000 shares, 9,947,821 shares and 9,200,000 shares, respectively, of our common stock, including pursuant to the exercise of the underwriters' options to purchase additional shares. The selling stockholders received all net proceeds and we did not receive any proceeds from these offerings. After completion of these offerings, our founding private equity investors owned, in the aggregate, approximately 11.7% of our outstanding common stock.

    Opportunities and Challenges

        Management has identified significant opportunities for our Company, including:

    Our capital position, market presence and experienced lending and deposit gathering teams position us well for continued organic growth in Florida and the Tri-State market, both of which we believe to be attractive banking markets. We also expect continued growth from our national lending platforms.

    We continue to evaluate potential strategic acquisitions of financial institutions and complementary businesses.

    The potential to further optimize our deposit mix in conjunction with the growth of our core commercial business.

        We have also identified significant challenges confronting the industry and our Company:

    The current low interest rate environment is likely to continue to put pressure on our net interest margin, particularly as higher yielding covered assets are liquidated or mature and are replaced with assets originated or purchased at current market rates of interest.

    While economic conditions in our primary markets have generally improved, the potential for economic disruption continues. A slowing of improvement or return to deteriorating business or economic conditions may lead to elevated levels of non-performing assets or impact our ability to sustain the trajectory of new loan growth.

    Changes in regulatory capital requirements and uncertainty about the full impact of new regulation may present challenges in the execution of our business strategy and the management of non-interest expense. For additional discussion, see "Regulation and Supervision."

41


Table of Contents

    Impact of Acquisition Accounting, ACI Loan Accounting and the Loss Sharing Agreements

        The application of acquisition accounting, accounting for loans acquired with evidence of deterioration in credit quality since origination ("ACI" or "Acquired Credit Impaired" loans) and the provisions of the Loss Sharing Agreements have had a material impact on our financial condition and results of operations. The more significant ways in which our financial statements have been impacted are summarized below and discussed in more detail throughout this "Management's Discussion and Analysis of Financial Condition and Results of Operations":

    Under the acquisition method of accounting, all of the assets acquired and liabilities assumed in the FSB Acquisition were initially recorded on the consolidated balance sheet at their estimated fair values as of May 21, 2009. These estimated fair values differed materially from the carrying amounts of many of the assets acquired and liabilities assumed as reflected in the financial statements of the Failed Bank immediately prior to the FSB Acquisition. In particular, the carrying amount of investment securities, loans, the FDIC indemnification asset, goodwill and other intangible assets, net deferred tax assets, deposit liabilities, and FHLB advances were materially impacted by these adjustments, which continue to affect the reported amounts of such assets and liabilities;

    Interest income, interest expense and the net interest margin reflect the impact of accretion of the fair value adjustments made to the carrying amounts of interest earning assets and interest bearing liabilities in conjunction with the FSB Acquisition;

    The estimated fair value at which the acquired loans were initially recorded by the Company was significantly less than the unpaid principal balances of the loans. No allowance for loan and lease losses was recorded with respect to acquired loans at the FSB Acquisition date. The write-down of loans to fair value in conjunction with the application of acquisition accounting and credit protection provided by the Loss Sharing Agreements reduce the impact of the provision for loan losses related to the acquired loans on the results of operations;

    Acquired investment securities were recorded at their estimated fair values at the FSB Acquisition date, significantly reducing the potential for other-than-temporary impairment charges in periods subsequent to the FSB Acquisition for the acquired securities. Certain of the acquired investment securities are covered under the Loss Sharing Agreements. The impact on results of operations of other-than-temporary impairment charges related to covered securities is significantly mitigated by indemnification by the FDIC;

    An indemnification asset related to the Loss Sharing Agreements with the FDIC was recorded in conjunction with the FSB Acquisition. The Loss Sharing Agreements afford the Company significant protection against future credit losses related to covered assets, including up to 90 days of past due interest, as well as reimbursement of certain expenses;

    Non-interest income includes the effect of amortization or accretion of the indemnification asset;

    Non-interest income includes gains and losses associated with the resolution of covered assets and the related effect of indemnification under the terms of the Loss Sharing Agreements. The impact of gains or losses related to transactions in covered loans and other real estate owned is significantly mitigated by indemnification by the FDIC; and

    ACI loans that are contractually delinquent may not be reflected as non-accrual loans or non-performing assets due to the accounting treatment accorded such loans under Accounting Standards Codification ("ASC") section 310-30, "Loans and Debt Securities Acquired with Deteriorated Credit Quality."

        These factors may impact the comparability of our financial performance to that of other financial institutions.

42


Table of Contents


Critical Accounting Policies and Estimates

        Our consolidated financial statements are prepared in accordance with U.S. generally accepted accounting principles and follow general practices within the banking industry. Application of these principles requires management to make complex and subjective estimates and judgments that affect the amounts reported in the consolidated financial statements and accompanying notes. We base our estimates on historical experience and on various other assumptions that we believe to be reasonable and appropriate under current circumstances. These assumptions form the basis for our judgments about the carrying values of assets and liabilities that are not readily available from independent, objective sources. We evaluate our estimates on an ongoing basis. Use of alternative assumptions may have resulted in significantly different estimates. Actual results may differ from these estimates.

        Accounting policies are an integral part of our financial statements. A thorough understanding of these accounting policies is essential when reviewing our reported results of operations and our financial position. We believe that the critical accounting policies and estimates discussed below involve a heightened level of management judgment due to the complexity, subjectivity and sensitivity involved in their application.

        Note 1 to the consolidated financial statements contains a further discussion of our significant accounting policies.

    Allowance for Loan and Lease Losses

        The allowance for loan and lease losses ("ALLL") represents management's estimate of probable loan losses inherent in the Company's loan portfolio. Determining the amount of the ALLL is considered a critical accounting estimate because of its complexity and because it requires significant judgment and estimation. Estimates that are particularly susceptible to change that may have a material impact on the amount of the ALLL include:

    the amount and timing of expected future cash flows from ACI loans and impaired loans;

    the value of underlying collateral, which impacts loss severity and certain cash flow assumptions;

    the selection of proxy data used to calculate loss factors;

    our evaluation of the risk profile of various loan portfolio segments, including internal risk ratings; and

    our selection and evaluation of qualitative factors.

        Note 1 to the consolidated financial statements describes the methodology used to determine the ALLL.

    Accounting for Acquired Loans and the FDIC Indemnification Asset

        A significant portion of the covered loans are ACI Loans. The accounting for ACI loans requires the Company to estimate the timing and amount of cash flows to be collected from these loans and to continually update estimates of the cash flows expected to be collected over the lives of the loans. Similarly, the accounting for the FDIC indemnification asset requires the Company to estimate the timing and amount of cash flows to be received from the FDIC in reimbursement for losses and expenses related to the covered loans; these estimates are directly related to estimates of cash flows to be received from the covered loans. Estimated cash flows impact the rate of accretion on covered loans and the rate of accretion or amortization on the FDIC indemnification asset as well as the amount of any ALLL to be established related to the covered loans. These cash flow estimates are considered to be critical accounting estimates because they involve significant judgment and assumptions as to their amount and timing.

43


Table of Contents

        Covered 1-4 single family residential and home equity loans were placed into homogenous pools at the time of the FSB Acquisition; the ongoing credit quality and performance of these loans is monitored on a pool basis and expected cash flows are estimated on a pool basis. At acquisition, the fair value of the pools was measured based on the expected cash flows to be derived from each pool. For ACI pools, the difference between total contractual payments due and the cash flows expected to be received at acquisition was recognized as non-accretable difference. The excess of expected cash flows over the recorded fair value of each ACI pool at acquisition was recognized as accretable yield. The accretable yield is accreted into interest income over the life of each pool.

        We monitor the pools quarterly by updating our expected cash flows to determine whether any changes have occurred in expected cash flows that would be indicative of impairment or necessitate reclassification between non-accretable difference and accretable yield. Initial and ongoing cash flow expectations incorporate significant assumptions regarding prepayment rates, the timing of resolution of loans, the timing and amount of loan sales, frequency of default, delinquency and loss severity, which is dependent on estimates of underlying collateral values. Changes in these assumptions could have a potentially material impact on the amount of the ALLL related to the covered loans as well as on the rate of accretion on these loans. Prepayment, delinquency and default curves used to forecast pool cash flows are derived from roll rates generated from the historical performance of the ACI residential loan portfolio observed over the immediately preceding four quarters. Generally, improvements in expected cash flows less than 1% of the expected cash flows from a pool are not recorded. This threshold is judgmentally determined.

        Generally, commercial loans are monitored and expected cash flows updated at the individual loan level due to the size and other unique characteristics of these loans. The expected cash flows are estimated based on judgments and assumptions which include credit risk grades established in the Bank's ongoing credit review program, likelihood of default based on observations of specific loans during the credit review process as well as applicable industry data, loss severity based on updated evaluations of cash flows from available collateral, and the contractual terms of the underlying loan agreements. Changes in the assumptions that impact forecasted cash flows could result in a potentially material change to the amount of the ALLL or the rate of accretion on these loans.

        The estimated cash flows from the FDIC indemnification asset are sensitive to changes in the same assumptions that impact expected cash flows on covered loans. Estimated cash flows impact the rate of accretion or amortization on the FDIC indemnification asset.

    Other Real Estate Owned

        Assets acquired through, or in lieu of, loan foreclosure are held for sale and are initially recorded at the fair value of the collateral at the date of foreclosure based on estimates, including some obtained from third parties, less estimated costs to sell, establishing a new cost basis. Subsequent to foreclosure, valuations are periodically performed, and the assets are carried at the lower of cost or fair value less estimated costs to sell. Significant property improvements that enhance the salability of the property are capitalized to the extent that the carrying value does not exceed estimated realizable value. Legal fees, maintenance and other direct costs of foreclosed properties are expensed as incurred. Given the level of judgment involved in estimating fair value of the properties, accounting for OREO is regarded as a critical accounting policy. Estimates of value of OREO properties are typically based on real estate appraisals performed by independent appraisers. In some cases, if an appraisal is not available, values may be based on brokers' price opinions. These values are generally updated as appraisals become available.

44


Table of Contents

    Fair Value Measurements

        The Company measures certain of its assets and liabilities at fair value on a recurring or non-recurring basis. Assets and liabilities measured at fair value on a recurring basis include investment securities available for sale and derivative instruments. Assets that may be measured at fair value on a non-recurring basis include OREO, impaired loans, loans held for sale, intangible assets, mortgage servicing rights and assets acquired and liabilities assumed in business combinations. The consolidated financial statements also include disclosures about the fair value of financial instruments that are not recorded at fair value.

        Fair value is defined as the exchange price that would be received for an asset or paid to transfer a liability in the principal or most advantageous market for the asset or liability in an orderly transaction between market participants at the measurement date. Inputs used to determine fair value measurements are prioritized into a three level hierarchy based on observability and transparency of the inputs, summarized as follows:

            Level 1—observable inputs that reflect quoted prices in active markets,

            Level 2—inputs other than quoted prices in active markets that are based on observable market data, and

            Level 3—unobservable inputs requiring significant management judgment or estimation.

        When observable market inputs are not available, fair value is estimated using modeling techniques such as discounted cash flow analyses and option pricing models. These modeling techniques utilize assumptions that we believe market participants would use in pricing the asset or the liability.

        Particularly for estimated fair values of assets and liabilities categorized within level 3 of the fair value hierarchy, the selection of different valuation techniques or underlying assumptions could result in fair value estimates that are higher or lower than the amounts recorded or disclosed in our consolidated financial statements. Considerable judgment may be involved in determining the amount that is most representative of fair value.

        Because of the degree of judgment involved in selecting valuation techniques and underlying assumptions, fair value measurements are considered critical accounting estimates.

        Notes 1, 4 and 17 to our consolidated financial statements contain further information about fair value estimates.


Recent Accounting Pronouncements

        See Note 1 to our consolidated financial statements for a discussion of recent accounting pronouncements.


Results of Operations

    Net Interest Income

        Net interest income is the difference between interest earned on interest earning assets and interest incurred on interest bearing liabilities and is the primary driver of core earnings. Net interest income is impacted by the relative mix of interest earning assets and interest bearing liabilities, the ratio of interest earning assets to total assets and of interest bearing liabilities to total funding sources, movements in market interest rates, levels of non-performing assets and pricing pressure from competitors.

        The mix of interest earning assets is influenced by loan demand, market and competitive conditions in our primary lending markets and by management's continual assessment of the rate of

45


Table of Contents

return and relative risk associated with various classes of earning assets. The mix of interest bearing liabilities is influenced by management's assessment of the need for lower cost funding sources weighed against relationships with customers and growth requirements and is impacted by competition for deposits in the Company's markets and the availability and pricing of other sources of funds.

        Net interest income is also impacted by the accounting for ACI loans and to a declining extent, the accretion of fair value adjustments recorded in conjunction with the FSB Acquisition. ACI loans were initially recorded at fair value, measured based on the present value of expected cash flows. The excess of expected cash flows over carrying value, known as accretable yield, is recognized as interest income over the lives of the underlying loans. The positive impact of accretion related to ACI loans on the net interest margin and the interest rate spread is expected to continue to decline as ACI loans comprise a declining percentage of total loans. The proportion of total loans represented by ACI loans is declining as the ACI loans are resolved and new loans are added to the portfolio. ACI loans represented 14.4%, 29.1% and 50.8% of total loans, net of premiums, discounts, deferred fees and costs, at December 31, 2013, 2012 and 2011, respectively. As this trend continues, we expect our net interest margin and interest rate spread to decrease.

        Consideration received earlier than expected or in excess of expected cash flows may result in a pool of ACI residential loans becoming fully amortized and its carrying value reduced to zero even though outstanding contractual balances and expected cash flows remain related to loans in the pool. Once the carrying value of a pool is reduced to zero, any future proceeds from the remaining loans, representing further realization of accretable yield, are recognized as interest income upon receipt. The carrying value of one pool has been reduced to zero. The UPB of loans remaining in this pool was $64 million at December 31, 2013.

        Fair value adjustments of interest earning assets and interest bearing liabilities recorded at the time of the FSB Acquisition are accreted to interest income or expense over the lives of the related assets or liabilities. Generally, accretion of these fair value adjustments increases interest income and decreases interest expense, and thus has a positive impact on our net interest income, net interest margin and interest rate spread. The impact of accretion of fair value adjustments on interest income and interest expense will continue to decline as these assets and liabilities mature or are repaid and constitute a smaller portion of total interest earning assets and interest bearing liabilities.

        The impact of accretion and ACI loan accounting on net interest income makes it difficult to compare our net interest margin and interest rate spread to those reported by other financial institutions.

        The following tables present, for the years ended December 31, 2013, 2012 and 2011, information about (i) average balances, the total dollar amount of taxable equivalent interest income from earning assets and the resultant average yields; (ii) average balances, the total dollar amount of interest expense on interest bearing liabilities and the resultant average rates; (iii) net interest income; (iv) the interest rate spread; and (v) the net interest margin. Non-accrual and restructured loans are included in the average balances presented in this table; however, interest income foregone on non-accrual loans is not

46


Table of Contents

included. Interest income, yields, spread and margin have been calculated on a tax equivalent basis (dollars in thousands):

 
  2013   2012   2011  
 
  Average
Balance
  Interest(1)   Yield/
Rate(1)
  Average
Balance
  Interest(1)   Yield/
Rate(1)
  Average
Balance
  Interest(1)   Yield/
Rate(1)
 

Assets:

                                                       

Interest earning assets:

                                                       

Loans

  $ 6,817,786   $ 625,948     9.18 % $ 4,887,209   $ 588,950     12.05 % $ 3,848,837   $ 513,539     13.34 %

Investment securities available for sale

    4,135,407     117,289     2.84 %   4,611,379     135,833     2.95 %   3,654,137     127,630     3.49 %

Other interest earning assets

    500,306     5,342     1.07 %   522,184     4,931     0.94 %   628,782     2,743     0.44 %
                                       

Total interest earning assets

    11,453,499     748,579     6.54 %   10,020,772     729,714     7.28 %   8,131,756     643,912     7.92 %

Allowance for loan and lease losses

    (62,461 )               (56,463 )               (57,462 )            

Non-interest earning assets

    2,057,923                 2,387,719                 2,866,486              
                                                   

Total assets

  $ 13,448,961               $ 12,352,028               $ 10,940,780              
                                                   
                                                   

Liabilities and Stockholders' Equity:

                                                       

Interest bearing liabilities:

                                                       

Interest bearing demand deposits

  $ 582,623     2,698     0.46 % $ 504,614     3,155     0.63 % $ 382,329     2,499     0.65 %

Savings and money market deposits

    4,280,531     20,620     0.48 %   3,912,444     24,093     0.62 %   3,366,466     29,026     0.86 %

Time deposits

    2,844,377     37,248     1.31 %   2,632,451     38,930     1.48 %   2,585,201     44,248     1.71 %
                                       

Total interest bearing deposits

    7,707,531     60,566     0.79 %   7,049,509     66,178     0.94 %   6,333,996     75,773     1.20 %

FHLB advances and other borrowings

    2,098,231     32,045     1.53 %   2,240,345     57,091     2.55 %   2,247,401     63,164     2.81 %
                                       

Total interest bearing liabilities

    9,805,762     92,611     0.94 %   9,289,854     123,269     1.33 %   8,581,397     138,937     1.62 %
                                                   

Non-interest bearing demand deposits

    1,586,007                 1,099,448                 622,377              

Other non-interest bearing liabilities

    184,645                 265,399                 282,416              
                                                   

Total liabilities

    11,576,414                 10,654,701                 9,486,190              

Stockholders' equity

    1,872,547                 1,697,327                 1,454,590              
                                                   

Total liabilities and stockholders' equity

  $ 13,448,961               $ 12,352,028               $ 10,940,780              
                                                   
                                                   

Net interest income

        $ 655,968               $ 606,445               $ 504,975        
                                                   
                                                   

Interest rate spread

                5.60 %               5.95 %               6.30 %
                                                   
                                                   

Net interest margin

                5.73 %               6.05 %               6.21 %
                                                   
                                                   

(1)
On a tax-equivalent basis where applicable

        Increases and decreases in interest income, calculated on a tax-equivalent basis, and interest expense result from changes in average balances (volume) of interest earning assets and liabilities, as well as changes in average interest rates. The following table shows the effect that these factors had on the interest earned on our interest earning assets and the interest incurred on our interest bearing liabilities for the years indicated. The effect of changes in volume is determined by multiplying the change in volume by the previous year's average rate. Similarly, the effect of rate changes is calculated

47


Table of Contents

by multiplying the change in average rate by the previous year's volume. Changes applicable to both volume and rate have been allocated to volume (in thousands):

 
  2013 Compared to 2012   2012 Compared to 2011  
 
  Change Due
to Volume
  Change Due
to Rate
  Increase
(Decrease)
  Change Due
to Volume
  Change Due
to Rate
  Increase
(Decrease)
 

Interest Income Attributable to:

                                     

Loans

  $ 177,261   $ (140,263 ) $ 36,998   $ 125,061   $ (49,650 ) $ 75,411  

Investment securities available for sale

    (13,471 )   (5,073 )   (18,544 )   27,935     (19,732 )   8,203  

Other interest earning assets

    (268 )   679     411     (956 )   3,144     2,188  
                           

Total interest income

    163,522     (144,657 )   18,865     152,040     (66,238 )   85,802  
                           

Interest Expense Attributable to:

                                     

Interest bearing demand deposits

    401     (858 )   (457 )   732     (76 )   656  

Savings and money market deposits

    2,004     (5,477 )   (3,473 )   3,147     (8,080 )   (4,933 )

Time deposits

    2,793     (4,475 )   (1,682 )   628     (5,946 )   (5,318 )
                           

Total interest bearing deposits

    5,198     (10,810 )   (5,612 )   4,507     (14,102 )   (9,595 )

FHLB advances and other borrowings

    (2,194 )   (22,852 )   (25,046 )   (457 )   (5,616 )   (6,073 )
                           

Total interest expense

    3,004     (33,662 )   (30,658 )   4,050     (19,718 )   (15,668 )
                           

Increase (decrease) in net interest income

  $ 160,518   $ (110,995 ) $ 49,523   $ 147,990   $ (46,520 ) $ 101,470  
                           
                           

    Year ended December 31, 2013 compared to year ended December 31, 2012

        Net interest income, calculated on a tax-equivalent basis, was $656.0 million for the year ended December 31, 2013 compared to $606.4 million for the year ended December 31, 2012, an increase of $49.6 million. The increase in net interest income was comprised of an increase in interest income of $18.9 million and a decrease in interest expense of $30.7 million.

        The increase in tax-equivalent interest income resulted primarily from a $37.0 million increase in interest income from loans offset by an $18.5 million decrease in interest income from investment securities available for sale.

        Increased interest income from loans was attributable to a $1.9 billion increase in the average balance outstanding partially offset by a 2.87% decrease in the tax equivalent yield to 9.18% for the year ended December 31, 2013 from 12.05% for the year ended December 31, 2012. Offsetting factors contributing to the overall decline in the yield on loans included:

    New loans originated at lower market rates of interest comprised a greater percentage of the portfolio for the year ended December 31, 2013 than for the comparable period in 2012. New loans represented 75.8% of the average balance of loans outstanding for the year ended December 31, 2013 as compared to 55.8% for the year ended December 31, 2012. We expect the impact of growth of the new loan portfolio to lead to further declines in the overall yield on loans in future periods.

    The tax equivalent yield on new loans declined to 3.77% for the year ended December 31, 2013 from 4.34% for the year ended December 31, 2012, primarily reflecting the addition of loans to the portfolio at lower market rates.

48


Table of Contents

    The yield on covered loans increased to 26.13% for the year ended December 31, 2013 from 21.80% for the year ended December 31, 2012. The increase in the yield on covered loans resulted primarily from (i) improvements in the timing and amount of expected cash flows and corresponding transfers from non-accretable difference to accretable yield and (ii) an increase in the amount of interest income recognized in connection with the sale of ACI residential loans from the pool with a carrying value of zero, which accounted for a 1.68% increase in the yield on covered loans. Interest income on loans included $50.6 million and $29.9 million in proceeds from sales of loans in this pool for the years ended December 31, 2013 and 2012, respectively. We expect the impact on interest income of sale proceeds related to this pool to decline significantly in the future.

        The average balance of investment securities available for sale decreased by $476 million for the year ended December 31, 2013 from the year ended December 31, 2012 while the tax-equivalent yield declined to 2.84% for the year ended December 31, 2013 from 2.95% for the same period in 2012. The decline in yield resulted from lower prevailing market interest rates and changes in portfolio composition. The decline in average balance resulted from sales of investment securities, discussed further in the sections entitled "Non-Interest Income" and "Analysis of Financial Condition—Investment Securities Available for Sale."

        The primary components of the decrease in interest expense for the year ended December 31, 2013 as compared to the year ended December 31, 2012 were a $5.6 million decline in interest expense on deposits and a $25.0 million decline in interest expense on FHLB advances and other borrowings. The most significant factor contributing to the decline in interest expense on deposits was a decline in market interest rates, leading to a decrease in the average rate paid on interest bearing deposits to 0.79% for the year ended December 31, 2013 from 0.94% for the year ended December 31, 2012. This decrease was partially offset by an increase of $658 million in average interest bearing deposits. The average rate paid on FHLB advances and other borrowings, inclusive of the impact of cash flow hedges and fair value accretion, declined by 1.02% to 1.53% for the year ended December 31, 2013 from 2.55% for the year ended December 31, 2012. This decline reflected the impact of the extinguishment and maturity of higher rate advances.

        The net interest margin, calculated on a tax-equivalent basis, for the year ended December 31, 2013 was 5.73% as compared to 6.05% for the year ended December 31, 2012, a decrease of 32 basis points. The interest rate spread decreased to 5.60% for the year ended December 31, 2013 from 5.95% for the year ended December 31, 2012. The declines in net interest margin and interest rate spread resulted primarily from lower yields on loans and investment securities partly offset by a lower cost of deposits and borrowings, as discussed above. We expect the net interest margin and interest rate spread to decrease in future years as new loans are added to the portfolio at lower current rates and higher yielding legacy assets continue to decline. The net interest margin was also positively impacted by the increase in the ratio of non-interest bearing demand deposits to total deposits and an increase in the ratio of interest-earning assets to total assets.

    Year ended December 31, 2012 compared to year ended December 31, 2011

        Net interest income, calculated on a tax-equivalent basis, was $606.4 million for the year ended December 31, 2012 compared to $505.0 million for the year ended December 31, 2011, an increase of $101.4 million. The increase in net interest income was comprised of an increase in interest income of $85.8 million and a decrease in interest expense of $15.7 million.

        The increase in tax-equivalent interest income resulted primarily from a $75.4 million increase in interest income from loans and an $8.2 million increase in interest income from investment securities available for sale.

49


Table of Contents

        Increased interest income from loans was attributable to a $1.0 billion increase in the average balance outstanding offset by a decrease in the average yield to 12.05% for 2012 from 13.34% for 2011. Offsetting factors contributed to the overall decline in the yield on loans:

    New loans originated at lower market rates of interest comprised a greater percentage of the portfolio in 2012 than in 2011. New loans represented 55.8% of the average balance of loans outstanding in 2012 as compared to 24.0% in 2011. The tax equivalent yield on new loans was 4.34% for the year ended December 31, 2012 as compared to 4.93% for the year ended December 31, 2011.

    The yield on loans acquired in the FSB Acquisition increased to 21.80% for 2012 as compared to 16.00% for 2011. This increase resulted from (i) generally improved default frequency and severity rates leading to an increase in expected cash flows; (ii) covered loans being resolved at a faster rate than previously expected leading to acceleration of both actual and forecasted cash flows and higher accretion; and (iii) recognition of all proceeds from resolution of loans in the residential pool with a carrying value of zero as interest income, as discussed above. Specifically, proceeds of $29.9 million from the sale of loans in this pool were recognized as interest income in the fourth quarter of 2012.

        The average balance of investment securities available for sale increased by $1.0 billion for the year ended December 31, 2012 over the year ended December 31, 2011 while the yield declined to 2.95% for 2012 from 3.49% for 2011. The decline in yield was primarily a result of adding securities to the portfolio at lower prevailing rates.

        The primary components of the decrease in interest expense for the year ended December 31, 2012 as compared to the year ended December 31, 2011 were a $9.6 million decline in interest expense on deposits and a $6.1 million decline in interest expense on FHLB advances and other borrowings. The most significant factor contributing to the decline in interest expense on deposits was a decline in the average rate paid on interest bearing deposits to 0.94% in 2012 as compared to 1.20% in 2011, partly offset by a $0.7 billion increase in the average balance outstanding. The decrease in average rate resulted primarily from a decline in market rates of interest across deposit products. In addition, accretion of fair value adjustments of time deposits declined by $6.5 million for the year ended December 31, 2012 as compared to the year ended December 31, 2011. The average rate paid on FHLB advances, inclusive of the impact of cash flow hedges and fair value accretion, declined by 0.25%, to 2.56% in 2012 from 2.81% in 2011. This decline resulted primarily from maturing advances being rolled over at lower market rates, partially offset by a decline of $4.3 million in accretion of fair value adjustments.

        The net interest margin, calculated on a tax-equivalent basis, for the year ended December 31, 2012 was 6.05% as compared to 6.21% for the year ended December 31, 2011, a decrease of 16 basis points. The interest rate spread declined to 5.95% for the year ended December 31, 2012 from 6.30% for the year ended December 31, 2011. The declines in net interest margin and interest rate spread resulted primarily from lower yields on loans and investment securities partly offset by a lower cost of deposits and borrowings, as discussed above.

    Provision for Loan Losses

        The provision for loan losses is the amount of expense that, based on our judgment, is required to maintain the ALLL at an adequate level to absorb probable losses inherent in the loan portfolio at the balance sheet date and that, in management's judgment, is appropriate under U.S. generally accepted accounting principles. The determination of the amount of the ALLL is complex and involves a high degree of judgment and subjectivity. Our determination of the amount of the allowance and corresponding provision for loan losses considers ongoing evaluations of the credit quality of and level of credit risk inherent in various segments of the loan portfolio and of individually significant credits,

50


Table of Contents

levels of non-performing loans and charge-offs, statistical trends and economic and other relevant factors. See "Analysis of the Allowance for Loan and Lease Losses" below for more information about how we determine the appropriate level of the allowance.

        Because the determination of fair value at which the loans acquired in the FSB Acquisition were initially recorded encompassed assumptions about expected future cash flows and credit risk, no ALLL was recorded at the date of acquisition. An allowance related to ACI loans is recorded only when estimates of future cash flows related to these loans are revised downward, indicating further deterioration in credit quality. An allowance for non-ACI loans may be established if factors considered relevant by management indicate that the credit quality of the non-ACI loans has deteriorated.

        Since the recognition of a provision for (recovery of) loan losses on covered loans represents an increase (reduction) in the amount of reimbursement we ultimately expect to receive from the FDIC, we also record an increase (decrease) in the FDIC indemnification asset for the present value of the projected increase (reduction) in reimbursement, with a corresponding increase (decrease) in non-interest income, recorded in "Net gain (loss) on indemnification asset" as discussed below in the section entitled "Non-interest income." Therefore, the impact on our results of operations of any provision for (recovery of) loan losses on covered loans is significantly mitigated by the corresponding impact on non-interest income. For the years ended December 31, 2013, 2012 and 2011, we recorded recoveries of losses on covered loans of $(1.7) million, $(0.5) million and $(7.7) million and increases (reductions) in related non-interest income of $(1.6) million, $0.3 million and $(6.3) million, respectively. Also see the section below entitled "Termination of the Commercial Shared-Loss Agreement."

        For the years ended December 31, 2013, 2012 and 2011, we recorded provisions for loan losses of $33.7 million, $19.4 million and $21.5 million, respectively, related to new loans. These loans are not protected by the Loss Sharing Agreements and as such, these provisions are not offset by increases in non-interest income. The increase in the provision for new loans for the year ended December 31, 2013 as compared to the year ended December 31, 2012 was driven primarily by growth in the new loan portfolio and losses of $15.3 million recognized on one commercial loan relationship, partially offset by reductions in general loss factors applied in determining the ALLL. See the section entitled "Analysis of the Allowance for Loan and Lease Losses" below for further discussion. The provision for new loans declined for the year ended December 31, 2012 as compared to the year ended December 31, 2011 in spite of increased loan growth in 2012. The impact of loan growth on the provision for loan losses was partially offset by decreases in the peer group loss factors applied in determining the ALLL for the new commercial portfolio.

    Non-Interest Income

        The Company reported non-interest income of $31.1 million, $89.2 million and $163.2 million for the years ended December 31, 2013, 2012 and 2011, respectively. A significant portion of our non-interest income relates to the covered assets, including the resolution of assets covered by our Loss Sharing Agreements with the FDIC, gains and losses on the covered assets and accretion or amortization of the FDIC indemnification asset. Typically, the primary components of non-interest income of financial institutions are service charges and fees and gains or losses related to the sale or valuation of investment securities, loans and other assets. Thus, it is difficult to compare the amount and composition of our non-interest income with that of other financial institutions of our size.

51


Table of Contents

        The following table presents a comparison of the categories of non-interest income for the years ended December 31, 2013, 2012 and 2011 (in thousands):

 
  2013   2012   2011  

(Amortization) accretion of FDIC indemnification asset

  $ (36,943 ) $ 15,306   $ 55,901  

Income from resolution of covered assets, net

    78,862     51,016     18,776  

Net gain (loss) on indemnification asset

    (50,638 )   (6,030 )   79,812  

FDIC reimbursement of costs of resolution of covered assets

    9,397     19,569     31,528  

Loss on sale of covered loans, net

    (16,195 )   (29,270 )   (70,366 )

Other-than-temporary impairment ("OTTI") on covered investment securities available for sale

    (963 )        

Mortgage insurance income

    2,061     9,772     16,904  
               

Non-interest income from covered assets

    (14,419 )   60,363     132,555  

Service charges and fees

    14,255     12,716     11,128  

Gain on sale of non-covered loans, net

    726     613     652  

Gain on investment securities available for sale, net

    9,592     17,039     1,136  

Loss on extinguishment of debt

        (14,175 )    

Loss on termination of interest rate swap

        (8,701 )    

Other non-interest income

    20,952     21,392     17,746  
               

  $ 31,106   $ 89,247   $ 163,217  
               
               

    Non-interest income related to transactions in the covered assets

        Historically, a significant portion of our non-interest income has resulted from transactions related to the resolution of assets covered by our Loss Sharing Agreements with the FDIC and (amortization) accretion of the FDIC indemnification asset. As covered assets continue to decline as a percentage of total assets, we expect the impact of these transactions on results of operations to decrease.

        As anticipated, the Company began amortizing the FDIC indemnification asset in 2013. In prior years, we recorded accretion of the FDIC indemnification asset. (Amortization) accretion of the FDIC indemnification asset totaled $(36.9) million, $15.3 million and $55.9 million for the years ended December 31, 2013, 2012 and 2011, respectively. As the expected cash flows from ACI loans have increased as discussed above, expected cash flows from the FDIC indemnification asset have decreased.

        The FDIC indemnification asset was initially recorded at its estimated fair value of $3.4 billion, representing the present value of estimated future cash payments from the FDIC for probable losses on covered assets. As projected cash flows from the ACI loans have increased, the yield on the loans has increased accordingly and the estimated future cash payments from the FDIC have decreased. This change in estimated cash flows is recognized prospectively, consistent with the recognition of the increased cash flows from the ACI loans. As a result, beginning in the first quarter of 2013, the FDIC indemnification asset is being amortized to the amount of the estimated future cash flows. For the years ended December 31, 2013, 2012 and 2011, the average rate at which discount was (amortized) accreted on the FDIC indemnification asset was (2.76)%, 0.89% and 2.48%, respectively.

        The rate of amortization will increase if estimated future cash payments from the FDIC decrease. If recent trends continue, we expect the rate of amortization of the indemnification asset to increase in future periods. The amount of amortization is impacted by both the change in the amortization rate and the decrease in the average balance of the indemnification asset. The average balance of the indemnification asset decreased primarily as a result of the submission of claims and receipt of cash from the FDIC under the terms of the Loss Sharing Agreements. As we continue to submit claims under the Loss Sharing Agreements and recognize periodic amortization, the balance of the indemnification asset will continue to decline.

52


Table of Contents

        The balance of the FDIC indemnification asset is also reduced or increased as a result of decreases or increases in estimated cash flows to be received from the FDIC related to the gains or losses recorded in our consolidated financial statements from transactions in the covered assets. When these transaction gains or losses are recorded, we also record an offsetting amount in the consolidated statement of income line item "Net gain (loss) on indemnification asset." This line item includes the significantly mitigating impact of FDIC indemnification related to the following types of transactions in covered assets:

    gains or losses from the resolution of covered assets;

    provisions for (recoveries of) losses on covered loans;

    gains or losses on the sale of covered loans;

    gains or losses on covered investment securities;

    gains or losses on the sale of OREO; and

    impairment of OREO.

        Each of these types of transactions is discussed further below.

        A rollforward of the FDIC indemnification asset from December 31, 2010 to December 31, 2013 follows (in thousands):

Balance, December 31, 2010

  $ 2,667,401  

Accretion

    55,901  

Reduction for claims filed

    (753,963 )

Net gain on indemnification asset

    79,812  
       

Balance, December 31, 2011

    2,049,151  

Accretion

    15,306  

Reduction for claims filed

    (600,857 )

Net loss on indemnification asset

    (6,030 )
       

Balance, December 31, 2012

    1,457,570  

Amortization

    (36,943 )

Reduction for claims filed

    (164,872 )

Net loss on indemnification asset

    (50,638 )
       

Balance, December 31, 2013

  $ 1,205,117  
       
       

        Covered loans may be resolved through prepayment, short sale of the underlying collateral, foreclosure, sale of the loans or charge-off. For loans resolved through prepayment, short sale or foreclosure, the difference between consideration received in resolution of the loans and the carrying value of the loans is recorded in the consolidated statement of income line item "Income from resolution of covered assets, net." Both gains and losses on individual resolutions are included in this line item. Losses from the resolution of covered loans increase the amount recoverable from the FDIC under the Loss Sharing Agreements. Gains from the resolution of covered loans reduce the amount recoverable from the FDIC under the Loss Sharing Agreements. These additions to or reductions in amounts recoverable from the FDIC related to the resolution of covered loans are recorded in non-interest income in the line item "Net gain (loss) on indemnification asset" and reflected as corresponding increases or decreases in the FDIC indemnification asset. The amount of income or loss recorded in any period will be impacted by the number and UPB of covered loans resolved, the amount of consideration received, and our ability to accurately project cash flows from ACI loans in future periods.

53


Table of Contents

        As history of the performance and resolution of ACI loans has grown and we have updated our projections of cash flows from the ACI loans, gains or losses recorded on resolution of covered loans have declined in absolute terms. As our projections of cash flows from the ACI loans have been updated, these cash flows have increasingly been reflected in interest income, through increased yields and higher accretion, rather than in income from resolution of covered assets. A reduction in the volume of covered asset resolutions has also contributed to this trend. For the years ended December 31, 2013, 2012 and 2011, ACI loans with a UPB of $465 million, $1.0 billion and $1.7 billion were resolved by payment in full, foreclosure or short sale.

        The following table provides further detail of the components of income from resolution of covered assets, net for the years ended December 31, 2013, 2012 and 2011 (in thousands):

 
  2013   2012   2011  

Payments in full

  $ 69,673   $ 70,562   $ 90,773  

Foreclosures

    (2,657 )   (19,326 )   (46,726 )

Short sales

    (2,334 )   (5,046 )   (25,185 )

Charge-offs

    (927 )   (2,918 )   (6,917 )

Recoveries

    15,107     7,744     6,831  
               

Income from resolution of covered assets, net

  $ 78,862   $ 51,016   $ 18,776  
               
               

        Income from resolution of covered assets, net was $78.9 million, $51.0 million and $18.8 million, respectively, for the years ended December 31, 2013, 2012 and 2011. The increase in income for the year ended December 31, 2013 compared to the year ended December 31, 2012 resulted mainly from increased recoveries on commercial loans and lower losses from residential foreclosure resolutions, whereas the increase in income for the year ended December 31, 2012 compared to 2011 was primarily due to lower losses on resolutions from foreclosures and short sales, partially offset by a decrease in income from payments in full. The substantial majority of income from resolution of covered assets has resulted from transactions covered under the Single Family Shared-Loss Agreement.

        The decrease in the income from payments in full for the year ended December 31, 2012 compared to the year ended December 31, 2011 was the result of additional history with the performance of covered loans being reflected in our updated cash flow forecasts and a decline in the number of paid in full resolutions. In 2013, the number of paid in full resolutions increased, but the average income per resolution decreased. The increase in the number of paid in full resolutions was primarily associated with an increase in refinancing activity as a result of low interest rates and improved home prices. The decrease in average income per resolution was a result of the updated cash flow forecasts. We expect the impact of payments in full to decline in the future as the number of loans in the portfolio likely to be resolved in this manner decreases and the cash flow forecasts reflect the historical payoff activity.

        A decline in the level of foreclosure and short sale activity coupled with improving home prices led to a decrease in losses on resolutions from foreclosures and short sales in 2013 compared to 2012 and in 2012 compared to 2011.

        The impact of charge-offs has declined year over year due primarily to reductions in the number and dollar amount of charge-offs of home equity lines of credit.

        Recoveries increased in 2013 primarily due to two large commercial loan recoveries. We expect the amount of commercial recoveries to decrease in the future.

        Under the Purchase and Assumption Agreement, we are permitted to sell on an annual basis up to 2.5% of the covered loans, based upon the UPB at the time of the FSB Acquisition, or approximately $280 million, without prior consent of the FDIC. Any losses incurred from such loan sales are covered

54


Table of Contents

under the Loss Sharing Agreements. The significantly mitigating amounts recoverable from the FDIC related to these losses are recorded as increases in the FDIC indemnification asset and corresponding increases in the non-interest income line item "Net gain (loss) on indemnification asset." Sales of covered loans for the years ended December 31, 2013, 2012 and 2011 are summarized as follows (in thousands):

 
  2013   2012   2011  

Unpaid principal balance of loans sold(1)

  $ 127,972   $ 165,999   $ 268,588  
               
               

Cash proceeds, net of transaction costs(1)

  $ 64,588   $ 69,986   $ 75,782  

Carrying value of loans sold(1)

    80,783     99,256     146,148  
               

Net pre-tax impact on earnings, excluding gain on indemnification asset(1)

  $ (16,195 ) $ (29,270 ) $ (70,366 )
               
               

Gain on indemnification asset(2)

  $ 21,021   $ 30,725   $ 56,053  
               
               

(1)
Excludes loans sold from a pool of ACI loans with a zero carrying value.

(2)
Includes gains of $8,326 and $7,302 related to loans sold from a pool of ACI loans with a zero carrying value for the years ended December 31, 2013 and 2012, respectively.

        Loans were sold on a non-recourse basis to third parties. The decline in loss on sale of covered loans for the year ended December 31, 2013 as compared to the year ended December 31, 2012 and for the year ended December 31, 2012 as compared to the year ended December 31, 2011 resulted from (i) improved pricing on the sales and (ii) a lower UPB of loans sold from pools other than the zero carrying value pool. No loss on sale of loans was recorded in the consolidated financial statements on the sale of loans from this pool once its carrying value was reduced to zero; rather, proceeds from sale of loans in this pool were reflected in interest income upon receipt as discussed above. Since reimbursements from the FDIC under the Loss Sharing Agreements are calculated based on UPB of the loans rather than on their financial statement carrying amounts, the gain on indemnification asset recorded related to the sale of covered loans for 2013 and 2012 included a component related to the sale of loans from the zero carrying value pool. We anticipate that we will continue to exercise our right to sell covered loans on a quarterly basis in the future.

        Additional impairment arising since the FSB Acquisition related to covered loans is recorded in earnings through the provision for losses on covered loans. Under the terms of the Loss Sharing Agreements, the Company is entitled to recover from the FDIC a portion of losses on these loans; therefore, the discounted amount of additional expected cash flows from the FDIC related to these losses is recorded in non-interest income in the line item "Net gain (loss) on indemnification asset" and reflected as a corresponding increase in the FDIC indemnification asset. Alternatively, a recovery of the provision for loan losses related to covered loans results in a reduction in the amounts the Company expects to recover from the FDIC and a corresponding reduction in the FDIC indemnification asset and in non-interest income, reflected in the line item "Net gain (loss) on indemnification asset."

        The Company records impairment charges related to declines in the net realizable value of OREO properties subject to the Loss Sharing Agreements and recognizes additional gains or losses upon the eventual sale of such OREO properties. These amounts are included in non-interest expense in the consolidated financial statements. The estimated increase or reduction in amounts recoverable from the FDIC with respect to these gains and losses is reflected as an increase or decrease in the FDIC indemnification asset and in non-interest income in the line item "Net gain (loss) on indemnification asset."

55


Table of Contents

        As discussed further in the section entitled "Investment Securities Available for Sale", the net loss on indemnification asset for the year ended December 31, 2013 was also impacted by an OTTI loss recognized on one covered security.

        Net gain (loss) on indemnification asset of $(50.6) million, $(6.0) million and $79.8 million was recorded for the years ended December 31, 2013, 2012 and 2011, respectively, representing the net change in the FDIC indemnification asset from increases or decreases in cash flows estimated to be received from the FDIC related to gains and losses from covered assets as discussed in the preceding paragraphs. The net impact on earnings before taxes of these transactions related to covered assets for the years ended December 31, 2013, 2012 and 2011 was $20.4 million, $10.5 million and $(12.2) million, respectively, as detailed in the following tables (in thousands):

 
  2013  
 
  Transaction
Income (Loss)
  Net Gain (Loss) on
Indemnification
Asset
  Net Impact on
Pre-tax
Earnings
 

Recovery of losses on covered loans

  $ 1,738   $ (1,574 ) $ 164  

Income from resolution of covered assets, net

    78,862     (64,793 )   14,069  

Loss on sale of covered loans

    (16,195 )   21,021     4,826  

OTTI on covered investment securities available for sale

    (963 )   770     (193 )

Gain on sale of OREO

    9,568     (7,611 )   1,957  

Impairment of OREO

    (1,939 )   1,549     (390 )
               

  $ 71,071   $ (50,638 ) $ 20,433  
               
               

 

 
  2012  
 
  Transaction
Income (Loss)
  Net Gain (Loss) on
Indemnification
Asset
  Net Impact on
Pre-tax
Earnings
 

Recovery of losses on covered loans

  $ 503   $ 344   $ 847  

Income from resolution of covered assets, net

    51,016     (41,962 )   9,054  

Loss on sale of covered loans

    (29,270 )   30,725     1,455  

Gain on sale of OREO

    4,164     (3,078 )   1,086  

Impairment of OREO

    (9,926 )   7,941     (1,985 )
               

  $ 16,487   $ (6,030 ) $ 10,457  
               
               

56


Table of Contents

 
  2011  
 
  Transaction
Income (Loss)
  Net Gain (Loss) on
Indemnification
Asset
  Net Impact on
Pre-tax
Earnings
 

Recovery of losses on covered loans

  $ 7,692   $ (6,327 ) $ 1,365  

Income from resolution of covered assets, net

    18,776     (6,871 )   11,905  

Loss on sale of covered loans

    (70,366 )   56,053     (14,313 )

Loss on sale of OREO

    (23,576 )   17,272     (6,304 )

Impairment of OREO

    (24,569 )   19,685     (4,884 )
               

  $ (92,043 ) $ 79,812   $ (12,231 )
               
               

        Certain OREO and foreclosure related expenses associated with covered assets, including fees paid to attorneys and other service providers, property preservation costs, maintenance and repair costs, advances for taxes and insurance, appraisal costs and inspection costs are also reimbursed under the terms of the Loss Sharing Agreements. Such expenses are recorded in non-interest expense when incurred, and the reimbursement is recorded as "FDIC reimbursement of costs of resolution of covered assets" in non-interest income when submitted to the FDIC, generally upon ultimate resolution of the underlying covered assets. This may result in the expense and the related income from reimbursements being recorded in different periods. For the years ended December 31, 2013, 2012, and 2011 non-interest expense included approximately $8.3 million, $20.3 million and $32.0 million, respectively, of such expenses. During the years ended December 31, 2013, 2012, and 2011, claims of $9.4 million, $19.6 million, and $31.5 million, respectively, were submitted to the FDIC. As of December 31, 2013, $13.5 million of expenses incurred to date remained to be submitted for reimbursement from the FDIC in future periods.

        Mortgage insurance income represents mortgage insurance proceeds received with respect to covered loans in excess of the portion of losses on those loans that is recoverable from the FDIC. Mortgage insurance proceeds up to the amount of losses on covered loans recoverable from the FDIC offset amounts otherwise reimbursable by the FDIC. Year over year declines in mortgage insurance income reflect the reduced volume of covered loan foreclosure resolution activity over the period.

        We expect the net impact on non-interest income of transactions in the covered assets to decline in future periods as these assets comprise a smaller percentage of our total assets.

    Other components of non-interest income

        Gains from the sale of investment securities available for sale for the year ended December 31, 2013 included the following:

    Net gains of $2.3 million related to the liquidation of our positions in collateralized loan obligations ("CLOs") and certain re-securitized real estate mortgage investment conduits ("Re-remics") in response to the release of the Volcker Rule (Section 619 of the Dodd-Frank Wall Street Reform and Consumer Protection Act). The amortized cost basis of the CLOs sold was approximately $431 million, comprising our entire CLO portfolio. The amortized cost basis of the Re-remics sold was approximately $119 million.

    Net gains of $1.6 million from the sale of securities formerly held by Herald in conjunction with the merger of Herald into BankUnited.

    The remaining gains related to the sale of securities, primarily longer duration fixed rate securities, to fund loan originations.

57


Table of Contents

        During the year ended December 31, 2012 we sold agency mortgage-backed securities with an aggregate fair value of $527 million and a combined effective yield of 1.22%, utilizing the proceeds to extinguish $520 million of FHLB advances and terminate a cash flow hedge with a combined cost of borrowing of 3.46%. We realized a gain on sale of these securities of $10.0 million, a loss on extinguishment of the FHLB advances of $14.2 million and a loss on termination of the cash flow hedge of $8.7 million. In addition, we recognized approximately $6.4 million of aggregate realized gains in 2012 from the liquidation of our position in non-investment grade and certain other preferred stock positions in order to reduce our concentration in bank preferred stock investments.

        The most significant components of other non-interest income include (i) rental income on equipment under operating lease; (ii) residential mortgage modification incentives; (iii) for the year ended December 31, 2012, a gain recorded on the acquisition of Herald; and (iv) for the years ended December 31, 2012 and 2011, investment services income. The most significant fluctuations in non-interest income were:

    Other non-interest income for the year ended December 31, 2013 included $8.4 million in rental income on equipment under operating lease compared to $0.8 million for the year ended December 31, 2012, reflecting the growth of the portfolio of equipment under lease. There was no rental income on equipment under operating lease for the year ended December 31, 2011.

    Modification incentives totaled $5.6 million, $6.0 million and $3.0 million for the years ended December 31, 2013, 2012 and 2011, respectively.

    Investment services income totaled $0.9 million, $4.4 million and $7.5 million for the years ended December 31, 2013, 2012 and 2011, respectively. This line of business was discontinued in 2013.

    Other non-interest income for the year ended December 31, 2012 included a gain of $5.3 million on the acquisition of Herald.

    Non-Interest Expense

        The following table presents the components of non-interest expense for the years ended December 31, 2013, 2012 and 2011 (in thousands):

 
  2013   2012   2011  

Employee compensation and benefits

  $ 173,763   $ 173,261   $ 272,991  

Occupancy and equipment

    63,766     54,465     36,680  

Impairment of other real estate owned

    1,939     9,926     24,569  

(Gain) loss on sale of other real estate owned

    (9,568 )   (4,164 )   23,576  

Foreclosure and other real estate owned expense

    10,442     20,268     31,977  

Deposit insurance expense

    7,648     7,248     8,480  

Professional fees

    21,934     15,468     17,330  

Telecommunications and data processing

    13,034     12,462     12,041  

Other non-interest expense

    44,392     34,139     28,161  
               

  $ 327,350   $ 323,073   $ 455,805  
               
               

        Non-interest expense as a percentage of average assets, excluding a $110.4 million equity based compensation charge recorded in conjunction with the IPO in 2011, was 2.4%, 2.6.% and 3.2% for the years ended December 31, 2013, 2012 and 2011, respectively. The more significant components of non-interest expense are discussed below.

58


Table of Contents

    Employee compensation and benefits

        As is typical for financial institutions, employee compensation and benefits represents the single largest component of recurring non-interest expense. Employee compensation and benefits for the year ended December 31, 2013 as compared to the year ended December 31, 2012 reflected a decrease of $10.0 million in equity-based compensation resulting primarily from the vesting in 2012 of instruments issued in conjunction with the IPO. Increased compensation costs related to the Company's growth and expansion into New York offset this decrease in equity-based compensation. Excluding the impact of the $110.4 million equity based compensation charge recorded in conjunction with the IPO as discussed further below, employee compensation and benefits increased by $10.7 million or 6.6% for the year ended December 31, 2012 as compared to the year ended December 31, 2011. This increase in employee compensation and benefits costs reflected growth and expansion of our operations and continued enhancement of our management team and supporting personnel. We expect compensation and benefits costs to increase in 2014 as employment levels increase to support the growth of the Company.

        Prior to the consummation of the IPO, our employee compensation and benefits expense included expense related to equity awards in the form of Profits Interest Units ("PIUs") issued to certain members of executive management. The PIUs were divided into two equal types of profits interests. Half of the PIUs, referred to as time-based PIUs, vested with the passage of time following the grant date. Compensation expense related to time-based PIUs was recorded on a straight line basis over the vesting period based on their fair value. Fair value of the time-based PIUs was estimated using a Black-Scholes option pricing model incorporating estimates of the per share value of our common stock and assumptions as to expected volatility, dividends, expected term, and risk-free rates. The remaining half of the PIUs, referred to as IRR-based PIUs, vested immediately prior to the consummation of the IPO and compensation expense related to the IRR-based PIUs was recorded at that time. In conjunction with the IPO, the PIUs were exchanged for a combination of vested and unvested common shares and vested and unvested stock options.

        The unvested instruments corresponded to the unvested time-based PIUs and continued to vest according to the original vesting schedule of such time-based PIUs. The remainder of these instruments vested in 2012. At the time of the IPO, we recorded additional compensation expense of approximately $110.4 million related to the vesting of the IRR-based PIUs and the adjustment of the fair value of the vested portion of time-based PIUs. This charge to compensation expense was offset by a credit to paid-in capital and therefore did not impact the Company's capital position. Fair value of the PIUs at the date of the IPO was measured based on the fair value of the common shares and options for which they were exchanged. The common shares were valued at the IPO price of $27. Fair value of the options was estimated using a Black-Scholes option pricing model. Employee compensation and benefits expense included $13.2 million and $141.0 million, inclusive of the $110.4 million charge recorded in conjunction with the IPO, for the years ended December 31, 2012 and 2011, respectively, related to PIUs and instruments issued in exchange for PIUs.

    Occupancy and equipment

        Occupancy and equipment expense increased by $9.3 million or 17.1% for the year ended December 31, 2013 as compared to the year ended December 31, 2012 and by $17.8 million, or 48.5% for the year ended December 31, 2012 as compared to the year ended December 31, 2011. These increases related primarily to the expansion and refurbishment of our Florida branch network and enhancements to our technology platforms and, for 2013, additional costs related to the launch of our New York franchise.

59


Table of Contents

    OREO and foreclosure related components of non-interest expense

        During the years ended December 31, 2013, 2012 and 2011, substantially all of the gains or losses recognized on the sale or impairment of OREO related to properties covered by the Loss Sharing Agreements. Therefore, any gains or losses from sale or impairment of OREO were substantially offset by gains or losses related to indemnification by the FDIC recognized in non-interest income. Generally, OREO and foreclosure related expenses incurred on covered assets, which comprised the majority of OREO and foreclosure related expenses for the year ended December 31, 2013 and all of OREO and foreclosure related expense for 2012 and 2011, are also eligible for reimbursement under the terms of the Loss Sharing Agreements.

        Impairment of OREO totaled $1.9 million, $9.9 million and $24.6 million for the years ended December 31, 2013, 2012 and 2011, respectively. Net (gain) loss on the sale of OREO totaled $(9.6) million for the year ended December 31, 2013, $(4.2) million for the year ended December 31, 2012 and $23.6 million for the year ended December 31, 2011. These declines in impairment and improvements in results reflect continuing trends of lower levels of OREO and foreclosure activity and an improving real estate market.

        The following tables summarize OREO sale activity for the years ended December 31, 2013, 2012 and 2011 (dollars in thousands):

 
  2013   2012   2011  
 
  Units
sold
  Percent
of Total
Units
  Total Gain
(Loss)
  Units
sold
  Percent
of Total
Units
  Total Gain
(Loss)
  Units
sold
  Percent
of Total
Units
  Total Gain
(Loss)
 

Residential OREO sales

    557     94.6 % $ 5,687     1,326     96.9 % $ 2,798     2,785     98.6 % $ (24,068 )

Commercial OREO sales

    32     5.4 %   3,881     42     3.1 %   1,366     40     1.4 %   492  
                                       

    589     100.0 % $ 9,568     1,368     100.0 % $ 4,164     2,825     100.0 % $ (23,576 )
                                       
                                       

 

 
  2013   2012   2011  
 
  Units
sold
  Percent
of Total
Units
  Average
Gain
or
(Loss)
  Units
sold
  Percent
of Total
Units
  Average
Gain
or
(Loss)
  Units
sold
  Percent
of Total
Units
  Average
Gain
or
(Loss)
 

Residential OREO sales:

                                                       

Units sold at a gain

    330     59.2 % $ 28     659     49.7 % $ 22     870     31.2 % $ 16  

Units sold at a loss

    227     40.8 % $ (16 )   667     50.3 % $ (17 )   1,915     68.8 % $ (20 )
                                             

    557     100.0 % $ 10     1,326     100.0 % $ 2     2,785     100.0 % $ (9 )
                                             
                                             

        Foreclosure and other real estate owned expenses decreased by $9.8 million for the year ended December 31, 2013 as compared to the year ended December 31, 2012 and by $11.7 million for the year ended December 31, 2012 as compared to the year ended December 31, 2011. These declines were primarily attributable to decreases in the levels of foreclosure activity and OREO inventory. There were 317, 1,027 and 2,214 residential units in the foreclosure pipeline and 157, 402 and 778 residential units in OREO inventory at December 31, 2013, 2012 and 2011, respectively.

        Loans are deemed eligible for foreclosure referral based on state specific and CFPB guidelines, which is generally after 120 days delinquency. Prior to referral, extensive reviews are performed to ensure that all collection and loss mitigation efforts have been exhausted. We have performed an internal assessment of our foreclosure practices and procedures and of our vendor management processes related to outside vendors that assist us in the foreclosure process. This assessment did not reveal any deficiencies in processes and procedures that we believe to be of significance.

60


Table of Contents

    Other components of non-interest expense

        Professional fees increased by $6.5 million for the year ended December 31, 2013 as compared to the year ended December 31, 2012 primarily due to increased consulting and advisory fees related to regulatory compliance. The decline in professional fees for the year ended December 31, 2012 as compared to the year ended December 31, 2011 resulted primarily from a decrease in legal and professional fees related to the acquisition of Herald.

        The most significant components of other non-interest expense are advertising and promotion, depreciation of equipment under operating lease, insurance, travel and general office expense. Period over period increases in other non-interest expense related primarily to general organic growth of our business. In addition, depreciation on equipment under operating lease of $4.3 million was recognized for the year ended December 31, 2013 compared to $0.4 million for the year ended December 31, 2012.

    Income Taxes

        The provision for income taxes for the years ended December 31, 2013, 2012 and 2011 was $109.1 million, $133.6 million and $129.6 million, respectively. The Company's effective tax rate was 34.3%, 38.7% and 67.2% for the years ended December 31, 2013, 2012 and 2011, respectively. The Company's effective tax rate differed from the statutory federal tax rate of 35.0% for the years ended December 31, 2013 and 2012 primarily due to the effect of state income taxes and the impact of income not subject to federal tax. For the year ended December 31, 2011, the effective tax rate differed from the statutory federal rate primarily due to non-deductible equity based compensation, the provision for uncertain state income tax positions and to a lesser extent, the impact of state income taxes and income not subject to federal tax. The decrease in the effective tax rate for the year ended December 31, 2013 compared to the year ended December 31, 2012 reflected the impact of changes in certain state tax positions and apportionment rates and the release of reserves for uncertain state tax positions as a result of the lapse in the statute of limitations related thereto in 2013. The decrease in the effective tax rate for the year ended December 31, 2012 compared to 2011 reflected the decrease in non-deductible equity based compensation, which totaled $10.4 million and $134.4 million for the years ended December 31, 2012 and 2011, respectively. Non-deductible equity based compensation related primarily to PIUs and the equity instruments for which PIUs were exchanged at the time of the IPO.

        At December 31, 2013 and 2012, the Company had net deferred tax assets of $71 million and $62 million, respectively. Based on an evaluation of both positive and negative evidence related to ultimate realization of deferred tax assets, we have concluded it is more likely than not that the deferred tax assets will be realized. Persuasive positive evidence leading to this conclusion as of December 31, 2013 included the availability of sufficient tax loss carrybacks and future taxable income resulting from reversal of existing taxable temporary differences to assure realization of the deferred tax assets. Realization of deferred tax assets as of December 31, 2013 is not dependent, to any significant extent, on the generation of additional future taxable income.

        For more information, see Note 12 to the consolidated financial statements.

    Termination of the Commercial Shared-Loss Agreement

        FDIC loss sharing under the terms of the Commercial Shared-Loss Agreement is scheduled to terminate on May 21, 2014. At December 31, 2013, commercial and consumer loans with a carrying value of $202 million, investment securities available for sale with an amortized cost of $138 million and a carrying value of $206 million and commercial OREO with a carrying value of $7 million were covered under the Commercial Shared-Loss Agreement. Under the terms of the Purchase and Assumption Agreement, during the nine months prior to the termination date, the Bank may request consent from the FDIC to sell commercial and consumer loans. If the FDIC consents, any losses

61


Table of Contents

incurred on such sales will be eligible for loss share coverage. If the FDIC does not consent, then the Commercial Shared-Loss Agreement will be extended for two years after the scheduled termination date, or through May 21, 2016, with respect to the loans requested to be included in such sales. The Bank will have the right to sell all or any portion of such loans without FDIC consent at any time within the nine months prior to the extended termination date, and any losses incurred will be covered under the Commercial Shared-Loss Agreement. These provisions of the Purchase and Assumption Agreement and Commercial Shared-Loss Agreement with respect to asset sales and extension of the termination date do not apply to covered investment securities, which may only be sold with the consent of the FDIC. FDIC loss sharing with respect to covered investment securities will terminate on May 21, 2014. We will bear all credit risk with respect to covered assets after the termination of FDIC loss sharing.

        Subsequent to December 31, 2013, we requested and received approval from the FDIC to sell certain covered commercial and consumer loans. Loans that had a carrying value of approximately $87 million at December 31, 2013 will be transferred to loans held for sale at the lower of carrying value or estimated fair value during the quarter ending March 31, 2014, and any resulting adjustment to the amount of indemnification expected to be received from the FDIC with respect to such loans will be recorded. The carrying value of such loans at the date of sale may differ from their carrying value at December 31, 2013 due to normal, ongoing payment and resolution activity. FDIC loss sharing with respect to the remaining covered commercial and consumer loans will terminate on May 21, 2014. The substantial majority of covered commercial and consumer loans are ACI loans. Our estimates of expected cash flows with respect to these loans, and therefore the rate of accretion on the loans, have incorporated certain assumptions with respect to the amount and timing of cash flows from loan sales. To the extent actual results differ from those assumptions, our results of operations in future periods will be impacted.


Analysis of Financial Condition

        Average interest-earning assets increased $1.4 billion to $11.5 billion for the year ended December 31, 2013 from $10.0 billion for the year ended December 31, 2012. This increase was driven by a $1.9 billion increase in the average balance of outstanding loans, partially offset by a $476 million decrease in the average balance of investment securities available for sale. The increase in average loans reflected growth of $2.4 billion in average new loans outstanding, partially offset by a $508 million decrease in the average balance of loans acquired in the FSB Acquisition. The decrease in average investment securities available for sale resulted primarily from the sale and repayment of investment securities. Average non-interest earning assets declined by $330 million. The most significant component of this decline was the decrease in the FDIC indemnification asset. Growth of the new loan portfolio, resolution of covered loans, declines in the balance of investment securities and declines in the amount of the FDIC indemnification asset are trends that are expected to continue.

        Average interest bearing liabilities increased by $516 million to $9.8 billion for the year ended December 31, 2013 from $9.3 billion for the year ended December 31, 2012, due primarily to an increase of $658 million in average interest bearing deposits, partially offset by a $142 million decrease in average FHLB advances. Average non-interest bearing deposits increased by $487 million.

        Average stockholders' equity increased by $175 million, due largely to the retention of earnings.

62


Table of Contents

    Investment Securities Available for Sale

        The following table shows the amortized cost and fair value of investment securities at December 31, 2013, 2012 and 2011. All of our investment securities are classified as available for sale (in thousands):

 
  2013   2012   2011  
 
  Amortized
Cost
  Fair
Value
  Amortized
Cost
  Fair
Value
  Amortized
Cost
  Fair
Value
 

U.S. Treasury and Government agency securities

  $   $   $ 34,998   $ 35,154   $   $  

U.S. Government agency and sponsored enterprise residential mortgage-backed securities

    1,548,671     1,574,303     1,520,047     1,584,523     1,952,095     1,985,713  

U.S. Government agency and sponsored enterprise commercial mortgage-backed securities

    27,132     26,777     58,518     60,416          

Re-Remics

    267,525     271,785     575,069     585,042     544,924     546,310  

Private label residential mortgage-backed securities and CMOs

    255,184     310,118     386,768     448,085     342,999     387,687  

Private label commercial mortgage-backed securities

    814,114     808,772     413,110     433,092     255,868     262,562  

Collateralized loan obligations

            252,280     253,188          

Non-mortgage asset-backed securities

    172,329     178,994     233,791     241,346     414,274     410,885  

Mutual funds and preferred stocks

    140,806     149,677     141,509     149,653     252,087     253,817  

State and municipal obligations

            25,127     25,353     24,994     25,270  

Small Business Administration securities

    295,892     308,937     333,423     339,610     301,109     303,677  

Other debt securities

    3,542     7,761     12,887     16,950     3,868     6,056  
                           

  $ 3,525,195   $ 3,637,124   $ 3,987,527   $ 4,172,412   $ 4,092,218   $ 4,181,977  
                           
                           

        Investment securities available for sale totaled $3.6 billion at December 31, 2013 compared to $4.2 billion at December 31, 2012 and 2011. The decline of the investment portfolio during 2013 reflected the deployment of proceeds from the sale and repayment of securities to fund loan originations and liquidation of certain positions in response to the release of the Volcker Rule. Our investment strategy has focused on providing liquidity necessary for day-to-day operations, adding a suitable balance of high credit quality, diversifying assets to the consolidated balance sheet, managing interest rate risk, and generating acceptable returns given our established risk parameters. We have sought to maintain liquidity and manage interest rate risk by investing a significant portion of the

63


Table of Contents

portfolio in high quality liquid securities consisting primarily of U.S. Government agency floating rate mortgage-backed securities. We have also invested in highly rated structured products including private label residential and commercial mortgage-backed securities, Re-Remics and non-mortgage asset-backed securities collateralized by small balance commercial loans, auto loans and student loans as well as bank preferred stocks and U.S. Small Business Administration securities that, while somewhat less liquid, provide us with higher yields. Relatively short effective portfolio duration helps mitigate interest rate risk arising from the currently low level of market interest rates. The weighted average expected life of the investment portfolio as of December 31, 2013 was 4.4 years and the effective duration was 2.1 years.

        Regulations implementing the Volcker Rule were approved in December 2013. Among other provisions, the regulations generally will serve to prohibit us from holding an ownership interest, as defined, in a covered fund, also as defined. Although uncertainty remains as to how the regulations will be interpreted and implemented by regulatory authorities, we identified certain securities in our portfolio that we believe may be deemed impermissible investments under the regulations. Those securities included CLOs, Re-Remics and certain Trust Preferred Collateralized Debt Obligations. In anticipation of and in response to issuance of these regulations, we liquidated our entire portfolio of CLOs and certain of our Re-remic positions as discussed above in the section entitled "Results of Operations—Non-Interest Income—Other components of non-interest income." At December 31, 2013, we held Re-remics with a carrying value of $272 million and Trust Preferred Collateralized Debt Obligations with a carrying value of $5 million. At December 31, 2013, all but one of these securities were in unrealized gain positions; the one security in an unrealized loss position had a de-minimis unrealized loss of $1 thousand. The Re-remics are an amortizing portfolio and we estimate that their carrying value will be significantly reduced through normal amortization and prepayments prior to the required compliance date. We will continue to evaluate our holdings in light of the newly issued regulations and any further interpretations or implementation guidance that may be forthcoming, if any. As currently promulgated, we must be in compliance with the regulations implementing the Volcker Rule by July 2015. For further discussion of the Volcker Rule, see the section entitled "Item 1. Business—Regulation and Supervision—The Volcker Rule."

        A summary of activity in the investment portfolio for the year ended December 31, 2013 follows (in thousands):

Balance, beginning of period

  $ 4,172,412  

Purchases

    1,095,477  

Proceeds from repayments

    (681,361 )

Sales, maturities and calls

    (871,035 )

Amortization of discounts and premiums, net

    (4,447 )

OTTI

    (963 )

Change in unrealized gains

    (72,959 )
       

Balance, end of period

  $ 3,637,124  
       
       

64


Table of Contents

        The following tables show, as of December 31, 2013, 2012 and 2011, the breakdown of covered and non-covered securities in the Company's investment portfolio (in thousands):

 
  2013  
 
  Covered Securities   Non-Covered Securities  
 
   
  Gross
Unrealized
   
   
  Gross
Unrealized
   
 
 
  Amortized
Cost
  Fair
Value
  Amortized
Cost
  Fair
Value
 
 
  Gains   Losses   Gains   Losses  

U.S. Government agency and sponsored enterprise residential mortgage-backed securities

  $   $   $   $   $ 1,548,671   $ 34,191   $ (8,559 ) $ 1,574,303  

U.S. Government agency and sponsored enterprise commercial mortgage-backed securities

                    27,132         (355 )   26,777  

Re-Remics

                    267,525     4,261     (1 )   271,785  

Private label residential mortgage-backed securities and CMOs

    119,434     56,539     (110 )   175,863     135,750     329     (1,824 )   134,255  

Private label commercial mortgage-backed securities

                    814,114     7,638     (12,980 )   808,772  

Non-mortgage asset-backed securities

                    172,329     6,676     (11 )   178,994  

Mutual funds and preferred stocks

    15,419     6,726         22,145     125,387     4,015     (1,870 )   127,532  

Small Business Administration securities

                    295,892     13,045         308,937  

Other debt securities

    3,542     4,219         7,761                  
                                   

  $ 138,395   $ 67,484   $ (110 ) $ 205,769   $ 3,386,800   $ 70,155   $ (25,600 ) $ 3,431,355  
                                   
                                   

 

 
  2012  
 
  Covered Securities   Non-Covered Securities  
 
   
  Gross Unrealized    
   
  Gross Unrealized    
 
 
  Amortized
Cost
  Fair
Value
  Amortized
Cost
  Fair
Value
 
 
  Gains   Losses   Gains   Losses  

U.S. Treasury and Government agency securities

  $   $   $   $   $ 34,998   $ 157   $ (1 ) $ 35,154  

U.S. Government agency and sponsored enterprise residential mortgage-backed securities

                    1,520,047     64,476         1,584,523  

U.S. Government agency and sponsored enterprise commercial mortgage-backed securities

                    58,518     1,898         60,416  

Re-Remics

                    575,069     10,063     (90 )   585,042  

Private label residential mortgage-backed securities and CMOs

    143,739     58,266     (185 )   201,820     243,029     3,437     (201 )   246,265  

Private label commercial mortgage-backed securities

                    413,110     19,982         433,092  

Collateralized loan obligations

                    252,280     908         253,188  

Non-mortgage asset-backed securities

                    233,791     7,672     (117 )   241,346  

Mutual funds and preferred stocks

    16,382     1,439     (361 )   17,460     125,127     7,066         132,193  

State and municipal obligations

                    25,127     249     (23 )   25,353  

Small Business Administration securities

                    333,423     6,187         339,610  

Other debt securities

    3,723     3,502         7,225     9,164     561         9,725  
                                   

  $ 163,844   $ 63,207   $ (546 ) $ 226,505   $ 3,823,683   $ 122,656   $ (432 ) $ 3,945,907  
                                   
                                   

65


Table of Contents


 
  2011  
 
  Covered Securities   Non-Covered Securities  
 
   
  Gross Unrealized    
   
  Gross Unrealized    
 
 
  Amortized
Cost
  Fair
Value
  Amortized
Cost
  Fair
Value
 
 
  Gains   Losses   Gains   Losses  

U.S. Government agency and sponsored enterprise residential mortgage-backed securities

  $   $   $   $   $ 1,952,095   $ 34,823   $ (1,205 ) $ 1,985,713  

Re-Remics

                    544,924     4,972     (3,586 )   546,310  

Private label residential mortgage-backed securities and CMOs

    165,385     44,746     (310 )   209,821     177,614     1,235     (983 )   177,866  

Private label commercial mortgage-backed securities

                    255,868     6,694         262,562  

Non-mortgage asset-backed securities

                    414,274     2,246     (5,635 )   410,885  

Mutual funds and preferred stocks

    16,382     491     (556 )   16,317     235,705     3,071     (1,276 )   237,500  

State and municipal obligations

                    24,994     278     (2 )   25,270  

Small Business Administration securities

                    301,109     2,664     (96 )   303,677  

Other debt securities

    3,868     2,188         6,056                  
                                   

  $ 185,635   $ 47,425   $ (866 ) $ 232,194   $ 3,906,583   $ 55,983   $ (12,783 ) $ 3,949,783  
                                   
                                   

        As discussed above in the section entitled "Results of Operations—Termination of the Commercial Shared-Loss Agreement", FDIC loss share coverage on covered investment securities will end on May 21, 2014.

        Covered securities include private label residential mortgage-backed securities, mortgage-backed security mutual funds, trust preferred collateralized debt obligations, U.S. Government sponsored enterprise preferred stocks and corporate debt securities covered under the Commercial Shared-Loss Agreement. BankUnited will be reimbursed 80%, or 95% if cumulative losses exceed the $4.0 billion stated threshold, of realized losses, other-than-temporary impairments, and reimbursable expenses associated with the covered securities through the scheduled termination of the Commercial Shared-Loss Agreement. BankUnited must pay the FDIC 80%, or 95% if cumulative losses are greater than the stated threshold, of realized gains and other-than-temporary impairment recoveries for a period of three years following the termination of the Commercial Shared-Loss Agreement. Unrealized losses recognized in accumulated other comprehensive income do not qualify for loss sharing. BankUnited cannot sell securities covered under the Loss Sharing Agreements without prior approval of the FDIC.

        The following table shows the scheduled maturities, carrying values and current yields for our investment portfolio as of December 31, 2013. Scheduled maturities have been adjusted for anticipated

66


Table of Contents

prepayments of mortgage-backed and other pass through securities. Yields on tax-exempt securities have been calculated on a tax-equivalent basis (dollars in thousands):

 
  Within One Year   After One Year
Through Five Years
  After Five Years
Through Ten Years
  After Ten Years   Total  
 
  Carrying
Value
  Weighted
Average
Yield
  Carrying
Value
  Weighted
Average
Yield
  Carrying
Value
  Weighted
Average
Yield
  Carrying
Value
  Weighted
Average
Yield
  Carrying
Value
  Weighted
Average
Yield
 

U.S. Government agency and sponsored enterprise residential mortgage-backed securities

  $ 188,775     2.16 % $ 871,675     2.22 % $ 383,657     1.85 % $ 130,196     1.77 % $ 1,574,303     2.08 %

U.S. Government agency and sponsored enterprise commercial mortgage-backed securities

    552     2.10 %   2,414     2.10 %   16,758     2.05 %   7,053     2.29 %   26,777     2.12 %

Re-Remics

    97,809     3.52 %   161,166     3.35 %   12,694     4.04 %   116     2.62 %   271,785     3.44 %

Private label residential mortgage-backed securities and CMOs

    82,558     6.10 %   143,228     7.41 %   54,883     8.92 %   29,449     9.11 %   310,118     7.49 %

Private label commercial mortgage-backed securities

    3,564     1.84 %   455,599     2.24 %   349,609     2.54 %           808,772     2.37 %

Non-mortgage asset-backed securities

    38,534     3.67 %   121,858     3.50 %   18,578     3.51 %   24     5.44 %   178,994     3.54 %

Small Business Administration securities

    62,444     1.93 %   150,190     1.92 %   68,108     1.89 %   28,195     1.85 %   308,937     1.91 %

Other debt securities

                            7,761     7.28 %   7,761     7.28 %
                                           

  $ 474,236     3.14 % $ 1,906,130     2.71 % $ 904,287     2.56 % $ 202,794     2.84 %   3,487,447     2.73 %
                                               
                                               

Mutual funds and preferred stocks with no scheduled maturity

                                                    149,677     6.02 %
                                                           

Total investment securities available for sale

                                                  $ 3,637,124     2.87 %
                                                           
                                                           

        As of December 31, 2013, 92.6% of the non-covered securities were backed by the U.S. Government, U.S. Government agencies or sponsored enterprises or were rated AAA. All remaining non-covered securities were investment grade. The investment portfolio was in a net unrealized gain position of $112 million at December 31, 2013 with aggregate fair value equal to 103% of amortized cost. Net unrealized gains included $138 million of gross unrealized gains and $26 million of gross unrealized losses. Securities in unrealized loss positions for 12 months or more had an aggregate fair value of $10 million representing 0.3% of the fair value of the portfolio, with total unrealized losses of $0.2 million at December 31, 2013. Gross unrealized losses on covered securities for which loss share coverage is scheduled to terminate in May, 2014 totaled $0.1 million at December 31, 2013.

        We evaluate the credit quality of individual securities in the portfolio quarterly to determine whether any of the investments in unrealized loss positions are other-than-temporarily impaired. This evaluation considers, but is not necessarily limited to, the following factors, the relative significance of which varies depending on the circumstances pertinent to each individual security:

    our intent to hold the security until maturity or for a period of time sufficient for a recovery in value;

    whether it is more likely than not that we will be required to sell the security prior to recovery of its amortized cost basis;

    the length of time and extent to which fair value has been less than amortized cost;

    adverse changes in expected cash flows;

    collateral values and performance;

    the payment structure of the security, including levels of subordination or over-collateralization;

    changes in the economic or regulatory environment;

67


Table of Contents

    the general market condition of the geographic area or industry of the issuer;

    the issuer's financial condition, performance and business prospects; and

    changes in credit ratings.

        During the year ended December 31, 2013, OTTI of $963 thousand was recognized on an intermediate term mortgage mutual fund investment which had been in a continuous unrealized loss position for 34 months. Due primarily to the length of time the investment had been in a continuous unrealized loss position and an increasing measure of impairment, we determined the impairment to be other than temporary. This security is covered under the Loss Sharing Agreements; therefore, the impact of the impairment was significantly mitigated by an increase of $770 thousand in the FDIC indemnification asset and in non-interest income, reflected in the consolidated statement of income line item "Net gain (loss) on indemnification asset". No securities were determined to be other-than-temporarily impaired during the years ended December 31, 2012 and 2011.

        We do not intend to sell securities in significant unrealized loss positions. Based on an assessment of our liquidity position and internal and regulatory guidelines for permissible investments and concentrations, it is not more likely than not that we will be required to sell securities in significant unrealized loss positions prior to recovery of amortized cost basis. The severity and duration of impairment of individual securities in the portfolio is generally not material. Unrealized losses in the portfolio at December 31, 2013 were primarily attributable to an increase in medium and long-term market interest rates.

        The timely repayment of principal and interest on U.S. Government agency and sponsored enterprise securities in unrealized loss positions is explicitly or implicitly guaranteed by the full faith and credit of the U.S. Government. Management either engaged a third party to perform, or performed internally, projected cash flow analyses of the private label residential mortgage-backed securities, Re-Remics, private label commercial mortgage-backed securities and non-mortgage asset-backed securities in unrealized loss positions, incorporating CUSIP level collateral default rate, voluntary prepayment rate, severity and delinquency assumptions. Based on the results of this analysis, no credit losses were projected. Given the expectation of timely repayment of principal and interest and the generally limited duration and severity of impairment, we concluded that none of the debt securities in unrealized loss positions were other-than-temporarily impaired. Given the generally limited duration and severity of impairment, the results of our analysis of the financial condition of the issuers of financial institution preferred stocks in unrealized loss positions and consideration of the factors leading to unrealized losses and the nature of the underlying holdings of a mutual fund investment in an unrealized loss position, we considered the impairment of these equity securities to be temporary.

        For further discussion of our analysis of investment securities for other-than-temporary impairment, see Note 4 to the consolidated financial statements.

        We use third-party pricing services to assist us in estimating the fair value of investment securities. We perform a variety of procedures to ensure that we have a thorough understanding of the methodologies and assumptions used by the pricing services including obtaining and reviewing written documentation of the methods and assumptions employed, conducting interviews with valuation desk personnel, performing on-site walkthroughs and reviewing model results and detailed assumptions used to value selected securities as considered necessary. Our classification of prices within the fair value hierarchy is based on an evaluation of the nature of the significant assumptions impacting the valuation of each type of security in the portfolio. We have established a robust price challenge process that includes a review by our treasury front office of all prices provided on a monthly basis. Any price evidencing unexpected month over month fluctuations or deviations from our expectations based on recent observed trading activity and other information available in the marketplace that would impact the value of the security is challenged. Responses to the price challenges, which generally include

68


Table of Contents

specific information about inputs and assumptions incorporated in the valuation and their sources, are reviewed in detail. If considered necessary to resolve any discrepancies, a price will be obtained from an additional independent valuation specialist. We do not typically adjust the prices provided, other than through this established challenge process. Our primary pricing services utilize observable inputs when available, and employ unobservable inputs and proprietary models only when observable inputs are not available. As a matter of course, the services validate prices by comparison to recent trading activity whenever such activity exists. Quotes obtained from the pricing services are typically non-binding.

        We have also established a quarterly price validation process whereby we verify the prices provided by our primary pricing service for a sample of securities in the portfolio. Sample sizes vary based on the type of security being priced, with higher sample sizes applied to more difficult to value security types. Verification procedures may consist of obtaining prices from an additional outside source or internal modeling, generally based on Intex. We have established acceptable percentage deviations from the price provided by the initial pricing source. If deviations fall outside the established parameters, we will obtain and evaluate more detailed information about the assumptions and inputs used by each pricing source or, if considered necessary, employ an additional valuation specialist to price the security in question. When there are price discrepancies, the final determination of fair value is based on careful consideration of the assumptions and inputs employed by each of the pricing sources given our knowledge of the market for each individual security and may include interviews with the outside pricing sources utilized. Depending on the results of the validation process, sample sizes may be extended for particular classes of securities. Results of the validation process are reviewed by the treasury front office and by senior management.

        The majority of our investment securities are classified within level 2 of the fair value hierarchy. Certain preferred stocks and U.S. Treasury securities are classified within level 1 of the hierarchy. At December 31, 2013 and 2012, 5.6% and 5.9%, respectively, of our investment securities were classified within level 3 of the fair value hierarchy. Securities classified within level 3 of the hierarchy at December 31, 2013 included certain private label residential mortgage-backed securities and trust preferred securities. These securities were classified within level 3 of the hierarchy because proprietary assumptions related to voluntary prepayment rates, default probabilities and loss severities were considered significant to the valuation. Approximately 88.2% of the private label residential mortgage-backed securities and all of the trust preferred securities classified within level 3, were covered securities. There were no transfers of investment securities between levels of the fair value hierarchy during the year ended December 31, 2013.

        For additional discussion of the fair values of investment securities, see Note 17 to the consolidated financial statements.

    Loans

        The loan portfolio comprises the Company's primary interest-earning asset. The following tables show the composition of the loan portfolio and the breakdown of the portfolio among covered ACI

69


Table of Contents

loans, covered non-ACI loans, non-covered ACI loans and new loans at December 31 of the years indicated (dollars in thousands):

 
  2013  
 
  Covered Loans   Non-Covered Loans    
   
 
 
   
  Percent of
Total
 
 
  ACI   Non-ACI   ACI   New Loans   Total  

Residential:

                                     

1 - 4 single family residential

  $ 1,057,012   $ 70,378   $   $ 1,800,332   $ 2,927,722     32.4 %

Home equity loans and lines of credit

    39,602     127,807         1,535     168,944     1.9 %
                           

    1,096,614     198,185         1,801,867     3,096,666     34.3 %
                           

Commercial:

                                     

Multi-family

    33,354         8,093     1,097,872     1,139,319     12.6 %

Commercial real estate

                                     

Owner occupied

    49,861     689     5,318     712,844     768,712     8.5 %

Non-owner occupied

    93,089     52     1,449     946,543     1,041,133     11.5 %

Construction and land

    10,600     729         138,091     149,420     1.7 %

Commercial and industrial

    6,050     6,234         2,266,407     2,278,691     25.3 %

Lease financing

                337,382     337,382     3.7 %
                           

    192,954     7,704     14,860     5,499,139     5,714,657     63.3 %
                           

Consumer

    1,679             213,107     214,786     2.4 %
                           

Total loans

    1,291,247     205,889     14,860     7,514,113     9,026,109     100.0 %
                           

Premiums, discounts and deferred fees and costs, net

        (13,248 )       40,748     27,500        
                             

Loans net of premiums, discounts, deferred fees and costs

    1,291,247     192,641     14,860     7,554,861     9,053,609        

Allowance for loan and lease losses

    (2,893 )   (9,502 )       (57,330 )   (69,725 )      
                             

Loans, net

  $ 1,288,354   $ 183,139   $ 14,860   $ 7,497,531   $ 8,983,884        
                             
                             

70


Table of Contents


 
  2012  
 
  Covered Loans   Non-Covered Loans    
   
 
 
   
  Percent of
Total
 
 
  ACI   Non-ACI   ACI   New Loans   Total  

Residential:

                                     

1 - 4 single family residential

  $ 1,300,109   $ 93,438   $   $ 920,713   $ 2,314,260     41.5 %

Home equity loans and lines of credit

    52,499     157,691         1,954     212,144     3.8 %
                           

    1,352,608     251,129         922,667     2,526,404     45.3 %
                           

Commercial:

                                     

Multi-family

    56,148     716         307,183     364,047     6.5 %

Commercial real estate

                                     

Owner occupied

    58,675     850     4,087     451,130     514,742     9.3 %

Non-owner occupied

    115,057     60         343,576     458,693     8.2 %

Construction and land

    18,064     829         72,361     91,254     1.6 %

Commercial and industrial

    14,608     11,627         1,334,991     1,361,226     24.4 %

Lease financing

                225,980     225,980     4.1 %
                           

    262,552     14,082     4,087     2,735,221     3,015,942     54.1 %
                           

Consumer

    2,239             33,526     35,765     0.6 %
                           

Total loans

    1,617,399     265,211     4,087     3,691,414     5,578,111     100.0 %
                           

Premiums, discounts and deferred fees and costs, net

        (18,235 )       11,863     (6,372 )      
                             

Loans net of premiums, discounts, deferred fees and costs

    1,617,399     246,976     4,087     3,703,277     5,571,739        

Allowance for loan and lease losses

    (8,019 )   (9,874 )       (41,228 )   (59,121 )      
                             

Loans, net

  $ 1,609,380   $ 237,102   $ 4,087   $ 3,662,049   $ 5,512,618        
                             
                             

71


Table of Contents


 
  2011  
 
  Covered Loans   Non-Covered Loans    
   
 
 
   
  Percent of
Total
 
 
  ACI   Non-ACI   ACI   New Loans   Total  

Residential:

                                     

1 - 4 single family residential

  $ 1,681,866   $ 117,992   $   $ 461,431   $ 2,261,289     54.1 %

Home equity loans and lines of credit

    71,565     182,745         2,037     256,347     6.1 %
                           

    1,753,431     300,737         463,468     2,517,636     60.2 %
                           

Commercial:

                                     

Multi-family

    61,710     791         108,178     170,679     4.1 %

Commercial real estate

    219,136     32,678     4,220     311,434     567,468     13.6 %

Construction and land

    37,120     163         30,721     68,004     1.7 %

Commercial and industrial

    24,007     20,382         699,798     744,187     17.8 %

Lease financing

                100,180     100,180     2.4 %
                           

    341,973     54,014     4,220     1,250,311     1,650,518     39.6 %
                           

Consumer

    2,937             3,372     6,309     0.2 %
                           

Total loans

    2,098,341     354,751     4,220     1,717,151     4,174,463     100.0 %
                           

Premiums, discounts and deferred fees and costs, net

        (30,281 )       (7,124 )   (37,405 )      
                             

Loans net of premiums, discounts, deferred fees and costs

    2,098,341     324,470     4,220     1,710,027     4,137,058        

Allowance for loan and lease losses

    (16,332 )   (7,742 )       (24,328 )   (48,402 )      
                             

Loans, net

  $ 2,082,009   $ 316,728   $ 4,220   $ 1,685,699   $ 4,088,656        
                             
                             

72


Table of Contents

 
  2010  
 
  Covered Loans   Non-Covered Loans    
   
 
 
   
  Percent of
Total
 
 
  ACI   Non-ACI   ACI   New Loans   Total  

Residential:

                                     

1 - 4 single family residential

  $ 2,421,016   $ 151,945   $   $ 113,439   $ 2,686,400     67.5 %

Home equity loans and lines of credit

    98,599     206,797         2,255     307,651     7.7 %
                           

    2,519,615     358,742         115,694     2,994,051     75.2 %
                           

Commercial:

                                     

Multi-family

    73,015     5,548         34,271     112,834     2.8 %

Commercial real estate

    299,068     33,938         118,857     451,863     11.4 %

Construction and land

    56,518     170         10,455     67,143     1.7 %

Commercial loans and leases

    49,731     30,139         266,586     346,456     8.7 %
                           

    478,332     69,795         430,169     978,296     24.6 %
                           

Consumer

    4,403             3,056     7,459     0.2 %
                           

Total loans

    3,002,350     428,537         548,919     3,979,806     100.0 %
                           

Premiums, discounts and deferred fees and costs, net

        (34,840 )       (10,749 )   (45,589 )      
                             

Loans net of premiums, discounts, deferred fees and costs

    3,002,350     393,697         538,170     3,934,217        

Allowance for loan and lease losses

    (39,925 )   (12,284 )       (6,151 )   (58,360 )      
                             

Loans, net

  $ 2,962,425   $ 381,413   $   $ 532,019   $ 3,875,857        
                             
                             

 

 
  2009  
 
  Covered Loans   Non-Covered Loans    
   
 
 
   
  Percent of
Total
 
 
  ACI   Non-ACI   ACI   New Loans   Total  

Residential:

                                     

1 - 4 single family residential

  $ 3,306,306   $ 184,669   $   $ 43,110   $ 3,534,085     76.0 %

Home equity loans and lines of credit

    113,578     215,591         1,615     330,784     7.1 %
                           

    3,419,884     400,260         44,725     3,864,869     83.1 %
                           

Commercial:

                                     

Multi-family

    71,321     4,971         700     76,992     1.7 %

Commercial real estate

    363,965     39,733           24,460     428,158     9.2 %

Construction and land

    88,715     550             89,265     1.9 %

Commercial and industrial

    81,765     48,635         51,565     181,965     3.9 %
                           

    605,766     93,889         76,725     776,380     16.7 %
                           

Consumer

    7,065             3,151     10,216     0.2 %
                           

Total loans

    4,032,715     494,149         124,601     4,651,465     100.0 %
                           

Premiums, discounts and deferred fees and costs, net

        (39,986 )       40     (39,946 )      
                             

Loans net of premiums, discounts, deferred fees and costs

    4,032,715     454,163         124,641     4,611,519        

Allowance for loan and lease losses

    (20,021 )   (1,266 )       (1,334 )   (22,621 )      
                             

Loans, net

  $ 4,012,694   $ 452,897   $   $ 123,307   $ 4,588,898        
                             
                             

73


Table of Contents

        Total loans, net of premiums, discounts, deferred fees and costs, increased by $3.5 billion to $9.1 billion at December 31, 2013, from $5.6 billion at December 31, 2012. New loans grew by $3.9 billion while loans acquired in the FSB Acquisition declined by $370 million from December 31, 2012 to December 31, 2013. New residential loans grew by $892 million and new commercial loans grew by $2.8 billion during the year ended December 31, 2013. Residential loan growth was attributable primarily to purchases of residential mortgages through established correspondent channels.

        Growth in new loans, net of premiums, discounts, deferred fees and costs, for the year ended December 31, 2013 included $1.1 billion for the Florida franchise, $1.3 billion for the New York franchise and $1.5 billion for what we refer to as national platforms, consisting of our residential mortgage purchase program, the Bank's three commercial lending subsidiaries and our indirect auto platform. Growth for the national platforms included $815 million, $499 million and $186 million attributable to purchased residential mortgages, the lending subsidiaries and indirect auto lending, respectively. At December 31, 2013, $3.2 billion or 42%, $1.6 billion or 21% and $2.8 billion or 37% of the new portfolio was attributable to the Florida and New York regions and national platforms, respectively. The percentage of the new portfolio attributable to the New York region is expected to continue to grow.

        At December 31, 2013, 2012, 2011, 2010 and 2009 respectively, 16%, 33%, 59%, 86% and 97% of loans, net of premiums, discounts, deferred fees and costs, were covered loans. Covered loans are declining and new loans increasing as a percentage of the total portfolio as covered loans are repaid or resolved and new loan originations and purchases increase. This trend is expected to continue.

    Residential Mortgages

        Residential mortgages totaled $3.1 billion, or 34.3% of total loans and $2.5 billion, or 45.3% of total loans at December 31, 2013 and 2012, respectively. The decline in this portfolio segment as a percentage of loans is a result of the resolution of covered loans, including transfers to OREO, partially offset by residential loan purchases and to a lesser extent, originations, and a strategic emphasis on commercial lending.

        The new residential loan portfolio includes both originated and purchased loans. At December 31, 2013 and 2012, $170 million or 9.5% and $93 million or 10.1%, respectively, of our new 1-4 single family residential loans were originated loans; $1.6 billion or 90.5% and $828 million or 89.9%, respectively, of our new 1-4 single family residential loans were purchased loans. We currently originate 1-4 single family residential mortgage loans with terms ranging from 10 to 30 years, with either fixed or adjustable interest rates, primarily to customers in Florida and New York. New residential mortgage loans are primarily closed-end first lien loans for the purchase or re-finance of owner occupied property. We have purchased loans to supplement our mortgage origination platform and to geographically diversify our loan portfolio. The purchased residential portfolio consists primarily of jumbo mortgages on owner-occupied properties. At December 31, 2013, the purchased residential loan portfolio included $257 million of interest-only loans, substantially all of which begin amortizing 10 years after origination. We intend to expand and enhance our residential origination channel in both the Florida and New York regions and expect originations to comprise a larger portion of the residential portfolio in the future. The number of newly originated residential mortgage loans that are re-financings of covered loans is not significant.

        Home equity loans and lines of credit are not significant to the new loan portfolio.

        We do not originate option adjustable rate mortgages ("ARMs"), "no-doc" or "reduced-doc" mortgages and do not utilize wholesale mortgage origination channels although the covered loan portfolio contains loans with these characteristics. The Company's exposure to future losses on these mortgage loans is mitigated by the Loss Sharing Agreements. The following table presents a breakdown

74


Table of Contents

of the 1-4 single family residential mortgage portfolio categorized between fixed rate loans and ARMs at December 31, 2013 and 2012 (dollars in thousands):

 
  2013  
 
  Covered
Loans
  New Loans   Total   Percent of
Total
 

1 - 4 single family residential loans:

                         

Fixed rate loans

  $ 421,143   $ 841,987   $ 1,263,130     42.9 %

ARM Loans

    695,539     985,793     1,681,332     57.1 %
                   

  $ 1,116,682   $ 1,827,780   $ 2,944,462     100.0 %
                   
                   

 

 
  2012  
 
  Covered
Loans
  New Loans   Total   Percent of
Total
 

1 - 4 single family residential loans:

                         

Fixed rate loans

  $ 495,321   $ 446,161   $ 941,482     40.7 %

ARM Loans

    883,372     489,510     1,372,882     59.3 %
                   

  $ 1,378,693   $ 935,671   $ 2,314,364     100.0 %
                   
                   

        Included in ARM loans above are payment option ARMs representing 32.7% and 41.5% of total ARM loans outstanding as of December 31, 2013 and 2012, respectively, based on UPB. All of the option ARMs are covered loans and the substantial majority are ACI loans. The ACI loans are accounted for in accordance with ASC 310-30; therefore, the optionality embedded in these loans does not impact the carrying value of the loans or the amount of interest income recognized on them. These features are taken into account in quarterly updates of expected cash flows from these loans.

        At December 31, 2013 and 2012, the majority of the 1-4 single family residential loans outstanding were to customers domiciled in the following states (dollars in thousands):

 
  2013  
 
  Covered
Loans
  New Loans   Total   Percent of
Total
 

California

  $ 80,919   $ 865,342   $ 946,261     32.1 %

Florida

    604,384     241,827     846,211     28.7 %

New York

    31,406     119,147     150,553     5.1 %

Illinois

    69,966     37,539     107,505     3.7 %

Others

    330,007     563,925     893,932     30.4 %
                   

  $ 1,116,682   $ 1,827,780   $ 2,944,462     100.0 %
                   
                   

 

 
  2012  
 
  Covered
Loans
  New Loans   Total   Percent of
Total
 

Florida

  $ 775,408   $ 124,945   $ 900,353     38.9 %

California

    95,987     438,760     534,747     23.1 %

Illinois

    87,195     26,951     114,146     4.9 %

New York

    37,890     47,914     85,804     3.7 %

Others

    382,213     297,101     679,314     29.4 %
                   

  $ 1,378,693   $ 935,671   $ 2,314,364     100.0 %
                   
                   

75


Table of Contents

        No state other than those detailed above represented borrowers with more than 3.7% of total 1-4 single family residential loans outstanding at December 31, 2013 and 2012.

    Commercial loans

        The commercial portfolio segment includes loans secured by multi-family properties, loans secured by both owner-occupied and non-owner occupied commercial real estate, construction, land, commercial and industrial loans and direct financing leases.

        Commercial real estate loans include term loans secured by owner and non-owner occupied income producing properties including rental apartments, mixed-use properties, industrial properties, retail shopping centers, office buildings, warehouses and hotels as well as real estate secured lines of credit. Loans secured by commercial real estate typically have shorter repayment periods and re-price more frequently than 1-4 single family residential loans but may have longer terms and re-price less frequently than commercial and industrial loans. The Company's underwriting standards generally provide for loan terms of five to ten years, with amortization schedules of no more than thirty years. Loan-to-value ("LTV") ratios are typically limited to no more than 80%. In addition, the Company usually obtains personal guarantees or carve-out guarantees of the principals as an additional enhancement for commercial real estate loans. Owner-occupied commercial real estate loans typically have risk profiles more closely aligned with those of commercial and industrial loans than with other types of commercial real estate loans. Construction and land loans represented less than 2% of the total loan portfolio at December 31, 2013. Construction and land loans are generally made for projects expected to stabilize within twelve months of completion in submarkets with strong fundamentals. At December 31, 2013, the carrying value of construction loans with available interest reserves totaled $47 million; the amount of available interest reserves totaled $1 million. All of these loans were rated "pass" at December 31, 2013.

        Commercial loans are typically made to growing companies and middle market businesses and include equipment loans, secured and unsecured working capital lines of credit, formula-based loans, mortgage warehouse lines, taxi medallion loans, lease financing, Small Business Administration product offerings and, to a lesser extent, acquisition finance credit facilities. These loans may be structured as term loans, typically with maturities of three to seven years or less, or revolving lines of credit which may have multi-year maturities. Commercial loans also include shared national credits totaling $457 million at December 31, 2013, for borrowers in our geographic footprint. Through three wholly-owned lending subsidiaries, the Bank provides small business equipment financing, municipal essential use equipment financing and transportation equipment financing to businesses and municipalities throughout North America. This financing may take the form of term loans or leases.

        Management's loan origination strategy is heavily focused on the commercial portfolio segment, which comprised 73.2% and 74.1% of new loans as of December 31, 2013 and 2012, respectively. New commercial loans that represent re-financings of covered loans are not significant.

    Consumer Loans

        Consumer loans are comprised primarily of indirect auto loans, representing 94.4% of new consumer loans at December 31, 2013. At December 31, 2013, the substantial majority of indirect auto loans were to borrowers in Florida, New York and New Jersey. At December 31, 2013, 51% of the indirect auto portfolio was new car financing and 49% was used car financing. To mitigate compliance risk with respect to the indirect auto business, we have put in place dealer due diligence and monitoring processes and have initiated a detailed internal review process. The consumer portfolio segment also includes consumer installment financing, loans secured by certificates of deposit, unsecured personal lines of credit and demand deposit account overdrafts.

76


Table of Contents

    Loan Maturities

        The following table sets forth, as of December 31, 2013, the maturity distribution of our loan portfolio by category, based on UPB. Commercial loans are presented by contractual maturity. Contractual maturities of 1-4 single family residential loans have been adjusted for an estimated rate of prepayments on all loans, and defaults on ACI loans, based on historical trends, current interest rates, types of loans and refinance patterns (in thousands):

 
  One Year or
Less
  After One
Through Five
Years
  After Five
Years
  Total  

Residential:

                         

1 - 4 single family residential

  $ 981,018   $ 2,156,326   $ 1,700,473   $ 4,837,817  

Home equity loans and lines of credit

    72,175     104,880     65,526     242,581  
                   

    1,053,193     2,261,206     1,765,999     5,080,398  
                   

Commercial:

                         

Multi-family

    50,325     512,660     587,914     1,150,899  

Commercial real estate

    211,020     777,106     856,448     1,844,574  

Construction and land

    82,934     59,385     7,367     149,686  

Commercial and industrial

    625,331     1,321,859     332,243     2,279,433  

Lease financing

    109,574     189,898     37,910     337,382  
                   

    1,079,184     2,860,908     1,821,882     5,761,974  
                   

Consumer

    35,424     150,350     29,497     215,271  
                   

  $ 2,167,801   $ 5,272,464   $ 3,617,378   $ 11,057,643  
                   
                   

        The following table shows the distribution of UPB of those loans that mature in more than one year between fixed and adjustable interest rate loans as of December 31, 2013 (in thousands):

 
  Interest Rate Type    
 
 
  Fixed   Adjustable   Total  

Residential:

                   

1 - 4 single family residential

  $ 1,603,851   $ 2,252,948   $ 3,856,799  

Home equity loans and lines of credit

    18,596     151,810     170,406  
               

    1,622,447     2,404,758     4,027,205  
               

Commercial:

                   

Multi-family

    893,760     206,814     1,100,574  

Commercial real estate

    1,045,517     588,037     1,633,554  

Construction and land

    5,284     61,468     66,752  

Commercial and industrial

    869,599     784,503     1,654,102  

Lease financing

    227,808         227,808  
               

    3,041,968     1,640,822     4,682,790  
               

Consumer

    173,693     6,154     179,847  
               

  $ 4,838,108   $ 4,051,734   $ 8,889,842  
               
               


Asset Quality

        In discussing asset quality, a distinction must be made between covered loans and new loans. New loans were underwritten under significantly different and generally more conservative standards than the covered loans. In particular, credit approval policies have been strengthened, wholesale mortgage

77


Table of Contents

origination channels have been eliminated, "no-doc" and option ARM loan products have been eliminated, and real estate appraisal policies have been improved. Although the risk profile of covered loans is higher than that of new loans, our exposure to loss related to the covered loans is significantly mitigated by the Loss Sharing Agreements and by the fair value basis recorded in these loans resulting from the application of acquisition accounting. The Commercial Shared-Loss Agreement is scheduled to terminate on May 21, 2014. Certain loans currently eligible for FDIC loss sharing may no longer be eligible for loss sharing after that date. For further discussion, see the section entitled "Results of Operations—Termination of the Commercial Shared-Loss Agreement."

        We have established a robust credit risk management framework and put in place an experienced team to lead the workout and recovery process for the commercial and commercial real estate portfolios. We have also implemented a dedicated internal loan review function that reports directly to our Audit and Risk Committee. We have an experienced resolution team in place for covered residential mortgage loans, and have implemented outsourcing arrangements with industry leading firms in certain areas such as OREO resolution.

        Loan performance is monitored by our credit administration, workout and recovery and loan review departments. Commercial loans are regularly reviewed by our internal loan review department. Relationships with committed balances greater than $1 million are reviewed at least annually. The Company utilizes a 13 grade internal asset risk classification system as part of its efforts to monitor and improve commercial asset quality. Loans exhibiting potential credit weaknesses that deserve management's close attention and that if left uncorrected may result in deterioration of the repayment capacity of the borrower are categorized as special mention. These borrowers may exhibit negative financial trends or erratic financial performance, strained liquidity, marginal collateral coverage, declining industry trends or weak management. Loans with well-defined credit weaknesses that may result in a loss if the deficiencies are not corrected are assigned a risk rating of substandard. These borrowers may exhibit payment defaults, insufficient cash flows, operating losses, increasing balance sheet leverage, project cost overruns, unreasonable construction delays, exhausted interest reserves, or declining collateral values. Loans with weaknesses so severe that collection in full is highly questionable or improbable, but because of certain reasonably specific pending factors have not been charged off, are assigned risk ratings of doubtful.

        Residential mortgage loans and consumer loans are not individually risk rated. Delinquency status is the primary measure we use to monitor the credit quality of these loans. We also consider original LTV and FICO score to be significant indicators of credit quality for the new 1-4 single family residential portfolio and FICO score to be a significant indicator of credit quality for the new consumer indirect auto portfolio.

    New Loans

    Commercial

        The ongoing asset quality of significant commercial loans is monitored on an individual basis through our regular credit review and risk rating process. We believe internal risk rating is the best indicator of the credit quality of commercial loans. Homogenous groups of smaller balance commercial loans may be monitored collectively.

        At December 31, 2013, new commercial loans with aggregate balances of $8 million, $26 million and $10 million were rated special mention, substandard and doubtful, respectively. At December 31, 2012, new commercial loans aggregating $21 million, $49 million and $1 million were rated special mention, substandard and doubtful, respectively. See Note 5 to the consolidated financial statements for more detailed information about risk rating of new commercial loans.

78


Table of Contents

    Residential

        At December 31, 2013 and 2012, new 1-4 single family residential loans totaling $0.6 million and $0.2 million, respectively, were 90 days or more past due. New 1-4 single family residential loans past due less than 90 days totaled $3 million and $8 million at December 31, 2013 and 2012, respectively.

        The majority of our new residential mortgage portfolio consists of loans purchased through established correspondent channels. The credit parameters for purchasing loans are similar to the underwriting guidelines in place for our mortgage origination platform. For purchasing seasoned loans, good payment history is required. In general, we purchase performing jumbo mortgage pools which have FICO scores above 700, primarily are owner-occupied and full documentation, and have a current LTV of 80% or less. We perform due diligence on the purchased loans for credit, compliance, counterparty, payment history and property valuation.

        The following table shows the distribution of new 1-4 single family residential loans by original FICO and LTV as of December 31, 2013 and 2012 (in thousands):

 
  2013  
 
  FICO  
LTV
  720 or less   721 - 740   741 - 760   761 or greater   Total  

60% or less

  $ 37,293   $ 60,626   $ 86,920   $ 473,250   $ 658,089  

60% - 70%

    25,861     45,485     77,253     308,242     456,841  

70% - 80%

    19,610     60,021     116,332     472,279     668,242  

More than 80%

    26,492     5,487     3,166     9,463     44,608  
                       

  $ 109,256   $ 171,619   $ 283,671   $ 1,263,234   $ 1,827,780  
                       
                       

 

 
  2012  
 
  FICO  
LTV
  720 or less   721 - 740   741 - 760   761 or greater   Total  

60% or less

  $ 33,141   $ 29,292   $ 35,761   $ 217,249   $ 315,443  

60% - 70%

    16,852     12,286     41,863     159,068     230,069  

70% - 80%

    28,251     27,068     54,367     256,605     366,291  

More than 80%

    16,822     1,505     1,200     4,341     23,868  
                       

  $ 95,066   $ 70,151   $ 133,191   $ 637,263   $ 935,671  
                       
                       

        At December 31, 2013, the purchased loan portfolio had the following characteristics: 44.8% were fixed rate loans; substantially all were full documentation with an average FICO score of 769 and average LTV of 64.5%. The majority of this portfolio was owner-occupied, with 94.6% primary residence, 4.8% second homes and 0.6% investment properties. In terms of vintage, 2.6% of the portfolio was originated pre-2011, 15.3% in 2011, 26.6% in 2012 and 55.5% in 2013.

        Similarly, the originated loan portfolio had the following characteristics at December 31, 2013: 68.3% were fixed rate loans, 100% were full documentation with an average FICO score of 761 and average LTV of 62.3%. The majority of this portfolio was owner-occupied, with 89.5% primary residence, 9.7% second homes and 0.8% investment properties. In terms of vintage, 7.3% of the portfolio was originated pre-2011, 9.5% in 2011, 22.1% in 2012 and 61.1% in 2013.

    Consumer

        At December 31, 2013 and 2012, delinquent new consumer loans were insignificant.

        The majority of our new consumer portfolio consists of indirect auto loans. In general, we originate indirect auto loans to applicants who are well qualified; the average FICO score for indirect

79


Table of Contents

auto loans at December 31, 2013 was 731. The indirect auto portfolio at December 31, 2013 was comprised of 38% super-prime, 45% prime and 17% non-prime paper; the average borrower debt-to-income ratio was 30.1%.

    Covered Loans

        Covered loans consist of both ACI loans and non-ACI loans. At December 31, 2013, covered ACI loans totaled $1.3 billion and covered non-ACI loans totaled $193 million, net of premiums, discounts, deferred fees and costs.

    Residential

        Covered residential loans were placed into homogenous pools at the time of the FSB Acquisition and the ongoing credit quality and performance of these loans is monitored on a pool basis. The fair value of the pools was initially measured based on the expected cash flows from each pool. Initial cash flow expectations incorporated significant assumptions regarding prepayment rates, frequency of default and loss severity. For ACI pools, the difference between total contractual payments due and the cash flows expected to be received at acquisition was recognized as non-accretable difference. The excess of expected cash flows over the recorded fair value of each ACI pool at acquisition, known as the accretable yield, is being recognized as interest income over the life of each pool. We monitor the pools quarterly to determine whether any significant changes have occurred in expected cash flows that would be indicative of impairment or necessitate reclassification between non-accretable difference and accretable yield. Generally, improvements in expected cash flows less than 1% of the expected cash flows from a pool are not recorded. This materiality threshold may be revised in the future based on management's judgment.

        Residential mortgage loans, including home equity loans, comprised 87.8% of the UPB of the acquired loan portfolio at the FSB Acquisition date. We performed a detailed analysis of the portfolio to determine the key loan characteristics influencing performance. Key characteristics influencing the performance of the residential mortgage portfolio, including home equity loans, were determined to be delinquency status; product type, in particular, amortizing as opposed to option ARM products; current indexed LTV ratio; and original FICO score. The ACI loans in the residential mortgage portfolio were grouped into ten homogenous static pools based on these characteristics, and the non-ACI residential loans were grouped into two homogenous static pools. There were other variables which we initially expected to have a significant influence on performance and which were considered in our analysis; however, the results of our analysis demonstrated that their impact was less significant after controlling for current indexed LTV, product type, and FICO score. Therefore, these additional factors were not used in grouping the covered residential loans into pools and are not used in monitoring ongoing asset quality of the pools. The factors we considered but determined not to be significant included the level and type of documentation required at origination, i.e., whether a loan was originated under full documentation, reduced documentation, or no documentation programs; occupancy, defined as owner occupied vs. non-owner occupied collateral properties; geography; and vintage, i.e., year of origination.

        At December 31, 2013, the carrying value of 1-4 single family residential non-ACI loans was $60 million; $3 million or 5.7% of these loans were 30 days or more past due and none were 90 days or more past due. At December 31, 2013, ACI 1-4 single family residential loans totaled $1.1 billion; $99 million or 9.4% of these loans were delinquent by 30 days or more and $56 million or 5.3% were delinquent by 90 days or more. At December 31, 2013, the amount of 1-4 single family residential non-ACI loans to borrowers who have not reaffirmed their debt discharged in Chapter 7 bankruptcy was insignificant.

        At December 31, 2013, non-ACI home equity loans and lines of credit had an aggregate carrying value of $126 million; $10 million or 7.6% of these loans were 30 days or more past due and $7 million

80


Table of Contents

or 5.2% were 90 days or more past due. ACI home equity loans and lines of credit had a carrying amount of $40 million at December 31, 2013; $6 million or 14.2% of ACI home equity loans and lines of credit were 30 days or more contractually delinquent and $4 million or 10.5% were delinquent by 90 days or more.

        Home equity loans and lines of credit generally provide that payment terms be reset after an initial contractual period of interest only payments, requiring the pay down of principal through balloon payments or amortization. Additional information regarding ACI and non-ACI home equity loans and lines of credit at December 31, 2013 is summarized as follows:

 
  ACI   Non-ACI  

Loans resetting from interest only:

             

Previously reset

    5.1 %   7.8 %

Scheduled to reset within 12 months

    10.2 %   16.2 %

Scheduled to reset after 12 months

    84.7 %   76.0 %
           

    100.0 %   100.0 %
           
           

Lien position:

             

First liens

    7.4 %   7.2 %

Second or third liens

    92.6 %   92.8 %
           

    100.0 %   100.0 %
           
           

        Expected loss severity given default is significantly higher for home equity loans that are not first liens. The amount of performing home equity loans and lines of credit in a second or third lien position with a non-performing underlying first lien was insignificant at December 31, 2013.

        Although delinquencies in the covered residential portfolio are high, potential future losses to the Company related to these loans are significantly mitigated by the Loss Sharing Agreements.

    Commercial

        Generally, commercial and commercial real estate loans are monitored individually due to their size and other unique characteristics.

        At December 31, 2013, non-ACI commercial loans had an aggregate UPB of $8 million and a carrying value of $7 million; $2 million of these loans were 90 days or more past due. At December 31, 2013, non-ACI commercial loans with aggregate carrying values of $2 million and $0.4 million were rated substandard and doubtful, respectively. At December 31, 2013, there were no non-ACI commercial loans rated special mention.

        At December 31, 2013, ACI commercial loans had a carrying value of $208 million, of which $193 million are covered under the Loss Sharing Agreements. At December 31, 2013, loans with aggregate carrying values of $4 million, $69 million and $0.1 million were internally risk rated special mention, substandard and doubtful, respectively. All of the non-covered ACI commercial loans were rated "pass" at December 31, 2013.

        Potential future losses to the Company related to the covered loans are significantly mitigated by the Loss Sharing Agreements. The Commercial Shared-Loss Agreement is scheduled to terminate on May 21, 2014. Certain loans currently eligible for FDIC loss sharing may no longer be eligible for loss sharing after that date. For further discussion, see the section entitled "Results of Operations—Termination of the Commercial-Shared Loss Agreement." Substantially all of the non-performing or adversely classified covered commercial loans were included in the population of loans submitted to the FDIC for consent to sell or expected to be resolved prior to May 21, 2014.

81


Table of Contents

    Impaired Loans and Non-Performing Assets

        Non-performing assets generally consist of (i) non-accrual loans, including loans that have been modified in troubled debt restructurings ("TDRs") and placed on non-accrual status or that have not yet exhibited a consistent six month payment history, (ii) accruing loans that are more than 90 days contractually past due as to interest or principal, excluding ACI loans, and (iii) OREO. Impaired loans also typically include loans modified in TDRs that are performing according to their modified terms and ACI loans for which expected cash flows have been revised downward since acquisition (as adjusted for any additional cash flows expected to be collected arising from changes in estimates after acquisition). Impaired ACI loans or pools with remaining accretable yield have not been classified as non-accrual loans and we do not consider them to be non-performing assets. Historically and as of December 31, 2013, the majority of impaired loans and non-performing assets were covered assets. The Company's exposure to loss related to covered assets is significantly mitigated by the Loss Sharing Agreements and by the fair value basis recorded in these assets resulting from the application of acquisition accounting.

82


Table of Contents

        The following table summarizes the Company's impaired loans and non-performing assets at December 31 of the years indicated (in thousands):

 
  2013   2012   2011   2010   2009  
 
  Covered
Assets
  Non-
Covered
Assets
  Total   Covered
Assets
  Non-
Covered
Assets
  Total   Covered
Assets
  Non-
Covered
Assets
  Total   Covered
Assets
  Non-
Covered
Assets
  Total   Total(5)  

Non-accrual loans

                                                                               

Residential:

                                                                               

1 - 4 single family residential

  $ 293   $ 194   $ 487   $ 2,678   $ 155   $ 2,833   $ 7,410   $   $ 7,410   $ 9,585   $   $ 9,585   $ 14,495  

Home equity loans and lines of credit

    6,559         6,559     9,767         9,767     10,451     27     10,478     10,817         10,817     2,726  
                                                       

Total residential loans

    6,852     194     7,046     12,445     155     12,600     17,861     27     17,888     20,402         20,402     17,221  
                                                       

Commercial(6):

                                                                               

Multi-family

                                        200         200      

Commercial real estate

    1,042     4,229     5,271     59     1,619     1,678     295         295     75         75      

Construction and land

        244     244         278     278         335     335                  

Commercial and industrial

    2,767     16,612     19,379     4,530     11,907     16,437     6,695     2,469     9,164     1,886     3,211     5,097     150  

Lease financing

        1,370     1,370         1,719     1,719                              
                                                       

Total commercial loans

    3,809     22,455     26,264     4,589     15,523     20,112     6,990     2,804     9,794     2,161     3,211     5,372     150  
                                                       

Consumer:

        75     75                                          
                                                       

Total non-accrual loans

    10,661     22,724     33,385     17,034     15,678     32,712     24,851     2,831     27,682     22,563     3,211     25,774     17,371  

Non-ACI and new loans past due 90 days and still accruing

        512     512     140     38     178     375         375                  

TDRs

    1,765         1,765     1,293     348     1,641     824         824                  
                                                       

Total non-performing loans

    12,426     23,236     35,662     18,467     16,064     34,531     26,050     2,831     28,881     22,563     3,211     25,774     17,371  

Other real estate owned

    39,672     898     40,570     76,022         76,022     123,737         123,737     206,680         206,680     120,110  
                                                       

Total non-performing assets

    52,098     24,134     76,232     94,489     16,064     110,553     149,787     2,831     152,618     229,243     3,211     232,454     137,481  

Impaired ACI loans on accrual status(1)

    44,286         44,286     43,580         43,580     94,536         94,536     262,130         262,130     567,253  

Other impaired loans on accrual status

                    2,721     2,721                              

Non-ACI and new TDRs in compliance with their modified terms

    3,588     1,400     4,988     2,650     4,689     7,339     583         583                  
                                                       

Total impaired loans and non-performing assets

  $ 99,972   $ 25,534   $ 125,506   $ 140,719   $ 23,474   $ 164,193   $ 244,906   $ 2,831   $ 247,737   $ 491,373   $ 3,211   $ 494,584   $ 704,734  
                                                       
                                                       

Non-performing loans to total loans(2)

          0.31 %   0.39 %         0.43 %   0.62 %         0.17 %   0.70 %         0.60 %   0.66 %   0.38 %

Non-performing assets to total assets(3)

          0.16 %   0.51 %         0.13 %   0.89 %         0.03 %   1.35 %         0.03 %   2.14 %   1.24 %

ALLL to total loans(2)

          0.76 %   0.77 %         1.11 %   1.06 %         1.42 %   1.17 %         1.14 %   1.48 %   49.00 %

ALLL to non-performing loans

          246.73 %   195.52 %         256.65 %   171.21 %         859.34 %   167.59 %         191.56 %   226.35 %   130.22 %

Net charge-offs to average loans(4)

          0.34 %   0.31 %         0.09 %   0.17 %         0.36 %   0.62 %         0.04 %   0.37 %   0.00 %

(1)
Includes TDRs on accrual status.

(2)
Total loans for purposes of calculating these ratios are net of premiums, discounts, deferred fees and costs.

(3)
Ratio for non-covered assets is calculated as non-performing non-covered assets to total assets.

(4)
Annualized.

(5)
All impaired loans and non-performing assets were covered assets at December 31, 2009.

(6)
Includes ACI loans for which discount is no longer being accreted.

        Contractually delinquent ACI loans with remaining accretable yield are not reflected as non-accrual loans because accretable yield continues to be accreted into income. Accretable yield continues to be recorded as long as there continues to be an expectation of future cash flows in excess of carrying amount from these loans. As of December 31, 2013, ACI commercial loans with a carrying value of

83


Table of Contents

$1 million had no remaining accretable yield and are included with non-accrual loans in the table above. The carrying value of ACI loans contractually delinquent by more than 90 days but on which income was still being recognized was $78 million and $177 million at December 31, 2013 and 2012, respectively.

        The decline in the ratio of the ALLL to total loans, particularly for the new portfolio, at December 31, 2013 as compared to December 31, 2012 is primarily a result of a decrease in the peer group loss factors used in calculating the ALLL for the 1-4 single family residential and commercial portfolios. See the section entitled "Analysis of the Allowance for Loan and Lease Losses" below for a further discussion of the methodology we use to determine the amount of the ALLL. The increase in the annualized net charge-off ratio in 2013 compared to 2012 was primarily due to one commercial loan relationship with charge-offs of $11.1 million during the year ended December 31, 2013.

        New and non-ACI commercial loans are placed on non-accrual status when (i) management has determined that full repayment of all contractual principal and interest is in doubt, or (ii) the loan is past due 90 days or more as to principal or interest unless the loan is well secured and in the process of collection. New and non-ACI residential and consumer loans are generally placed on non-accrual status when 90 days of interest is due and unpaid. When a loan is placed on non-accrual status, uncollected interest accrued is reversed and charged to interest income. Commercial loans are returned to accrual status only after all past due principal and interest has been collected and full repayment of remaining contractual principal and interest is reasonably assured. Residential loans are returned to accrual status when less than 90 days of interest is due and unpaid. Past due status of loans is determined based on the contractual next payment due date. Loans less than 30 days past due are reported as current. Except for ACI loans accounted for in pools, loans that are the subject of troubled debt restructurings are generally placed on non-accrual status at the time of the modification unless the borrower has no history of missed payments for six months prior to the restructuring. If borrowers perform pursuant to the modified loan terms for at least six months and the remaining loan balances are considered collectable, the loans are returned to accrual status.

        A loan modification is considered a TDR if the Company, for economic or legal reasons related to the borrower's financial difficulties, grants a concession to the borrower that the Company would not otherwise grant. These concessions may take the form of temporarily or permanently reduced interest rates, payment abatement periods, restructuring of payment terms, extensions of maturity at below market terms, or in some cases, partial forgiveness of principal. Under generally accepted accounting principles, modified ACI loans accounted for in pools are not accounted for as troubled debt restructurings and are not separated from their respective pools when modified. Included in TDRs are residential loans to borrowers who have not reaffirmed their debt discharged in Chapter 7 bankruptcy. The total amount of such loans is not material. To date, TDRs have not had a material impact on our financial condition or results of operations.

        As of December 31, 2013, 21 commercial loans with an aggregate carrying value of $12 million and 20 residential loans with an aggregate carrying value of $6 million had been modified in TDRs and were included in impaired loans and non-performing assets. Because of the immateriality of the amount of loans modified in TDRs and nature of the modifications, the modifications did not have a material impact on the Company's consolidated financial statements for the years ended December 31, 2013 or 2012. For additional information about TDRs, see Note 5 to the consolidated financial statements.

        Additional interest income that would have been recognized on non-accrual loans and TDRs had they performed in accordance with their original contractual terms is not material for any period presented.

84


Table of Contents

    Potential Problem Loans

        Potential problem loans have been identified by management as those loans included in the "substandard accruing" risk rating category. These loans are typically performing, but possess specifically identified credit weaknesses that, if not remedied, may lead to a downgrade to non-accrual status and identification as impaired in the near-term. Substandard accruing new loans totaled $14 million at December 31, 2013. The majority of these loans were current as to principal and interest at December 31, 2013. The balance of substandard accruing non-ACI loans was not significant at December 31, 2013.

    Loss Mitigation Strategies

        We evaluate each loan in default to determine the most effective loss mitigation strategy, which may be modification, short sale, or foreclosure. We offer loan modifications under HAMP to eligible borrowers in the residential portfolio. HAMP is a uniform loan modification process that provides eligible borrowers with sustainable monthly mortgage payments equal to a target 31% of their gross monthly income. As of December 31, 2013, 12,301 borrowers had been counseled regarding their participation in HAMP; 9,010 of those borrowers were initially determined to be potentially eligible for loan modifications under the program. As of December 31, 2013, 1,519 borrowers who did not elect to participate in the program had been sent termination letters and 3,287 borrowers had been denied due to ineligibility. There were 4,117 permanent loan modifications and 87 trial loan modifications at December 31, 2013. Substantially all of these modified loans were ACI loans accounted for in pools.


Analysis of the Allowance for Loan and Lease Losses

        The ALLL relates to (i) new loans, (ii) estimated additional losses arising on non-ACI loans subsequent to the FSB Acquisition, and (iii) additional impairment recognized as a result of decreases in expected cash flows on ACI loans due to further credit deterioration. The impact of any additional provision for losses on covered loans is significantly mitigated by an increase in the FDIC indemnification asset. The determination of the amount of the ALLL is, by nature, highly complex and subjective. Future events that are inherently uncertain could result in material changes to the level of the ALLL. General economic conditions including but not limited to unemployment rates, real estate values in our primary market areas and the level of interest rates, as well as a variety of other factors that affect the ability of borrowers' businesses to generate cash flows sufficient to service their debts will impact the future performance of the portfolio.

    New and non-ACI Loans

        Due to the lack of similarity between the risk characteristics of new loans and covered loans in the residential and home equity portfolios, management does not believe it is appropriate to use the historical performance of the covered residential mortgage portfolio as a basis for calculating the ALLL applicable to new loans. The new loan portfolio is not seasoned and has not yet developed an observable loss trend. Therefore, the ALLL for new residential loans is based primarily on relevant proxy historical loss rates. Beginning in 2013, the ALLL for new 1-4 single family residential loans is estimated using one year loss rates on prime residential mortgage securitizations issued between 2003 and 2008 as a proxy. Prior to 2013, the ALLL was calculated based on historical annualized charge-off rates for a group of peer banks in the Southeast. Given the growth of and geographic diversity in the new purchased residential portfolio, we determined, based on an updated analysis of portfolio characteristics, that prime residential mortgage securitizations provide a more comparable proxy for expected losses in this portfolio class. This determination is supported by the comparability of FICO scores and LTV ratios between loans included in those securitizations and loans in the Bank's portfolio.

85


Table of Contents

        A peer group eight quarter average charge-off rate is used to estimate the ALLL for the new home equity loan class. See further discussion of the use of peer group loss factors below. The new home equity portfolio is not a significant component of the overall loan portfolio.

        Based on an updated analysis of historical performance, OREO and short sale losses, recent trending data and other internal and external factors, we have concluded that historical performance by portfolio class is the best indicator of incurred loss for the non-ACI 1-4 single family residential and home equity portfolio classes. For each of these portfolio classes, a quarterly roll rate matrix is calculated by delinquency bucket to measure the rate at which loans move from one delinquency bucket to the next during a given quarter. An average four quarter roll rate matrix is used to estimate the amount within each delinquency bucket expected to roll to 120+ days delinquent. We assume no cure for those loans that are currently 120+ days delinquent. Prior to the first quarter of 2013, frequency was calculated for each class using a four month roll to loss percentage. Given emerging market and portfolio trends, a 12 month loss emergence period is now being utilized to incorporate performance information from a period that incorporates a broader range of expectations relative to portfolio performance. Loss severity given default is estimated based on internal data about OREO sales and short sales from the portfolio. The ALLL calculation incorporates a 100% loss severity assumption for home equity loans that are projected to roll to default.

        The impact on the provision for loan losses of the changes in the source of proxy data used to estimate the ALLL for new residential loans and the loss emergence period used to calculate the ALLL for the non-ACI residential portfolio discussed above was not material.

        Since the new commercial loan portfolio is not yet seasoned enough to exhibit a loss trend and the non-ACI commercial portfolio has limited delinquency history, the ALLL for new and non-ACI commercial loans is based primarily on the Company's internal credit risk rating system and peer group average annual historical charge-off rates by loan class. The allowance is comprised of specific reserves for loans that are individually evaluated and determined to be impaired as well as general reserves for individually evaluated loans determined not to be impaired and loans that do not meet our established threshold for individual evaluation. Commercial relationships graded substandard or doubtful and on non-accrual status with committed credit facilities greater than or equal to $750,000 are individually evaluated for impairment. For loans evaluated individually for impairment and determined to be impaired, a specific allowance is established based on the present value of expected cash flows discounted at the loan's effective interest rate, the estimated fair value of the loan, or for collateral dependent loans, the estimated fair value of collateral less costs to sell. Loans modified in TDRs are also evaluated individually for impairment. We believe that loans rated substandard or doubtful that are not individually evaluated for impairment exhibit characteristics indicative of a heightened level of credit risk. Loss factors for these loans are determined by using default frequency and severity information applied at the loan level. Estimated default frequencies and severities are based on available industry data.

        The peer groups used to calculate the average historical charge-off rates that form the basis for our general reserve calculations for new and non-ACI commercial and new home equity and consumer loans are banks with total assets ranging from $3—$15 billion. We use a peer group of 23 banks in the U.S. Southeast region for loans originated in our Florida market and by our lending subsidiaries, and a peer group of 16 banks in the New York region for loans originated in our New York market. These peer groups include all of the banks in each region within the defined asset size range. Peer bank data is obtained from the Statistics on Depository Institutions Report published by the FDIC for the most recent quarter available. An eight-quarter average net charge-off rate is used. We evaluate the composition of the peer groups annually, or more frequently if, in our judgment, a more frequent evaluation is necessary. The general loss factor for municipal lease receivables is based on historical loss experience of a portfolio of similar assets.

86


Table of Contents

        Our internal risk rating system comprises 13 credit grades; grades 1 through 8 are "pass" grades. The risk ratings are driven largely by debt service coverage. Peer group average historical loss rates are adjusted upward for loans rated special mention or assigned a lower "pass" rating. Peer group average historical loss rates are adjusted downward for loans assigned the highest "pass" grades.

        Qualitative adjustments are made to the ALLL when, based on management's judgment and experience, there are internal or external factors impacting loss frequency and severity not taken into account by the quantitative calculations. Management has grouped potential qualitative adjustments into the following categories:

    Portfolio performance trends, including levels of delinquencies and non-performing loans;

    Portfolio growth rates;

    Exceptions to policy and credit guidelines;

    Economic factors, including changes in and levels of real estate price indices, unemployment rates and GDP;

    Credit concentrations; and

    Changes in credit administration management and staff.

        At December 31, 2013, qualitative adjustments were made to historical loss percentages related to:

    economic factors, specifically changes in real estate price indices, unemployment rates and GDP;

    the level of non-performing commercial loans;

    changes in credit administration staff;

    loan portfolio growth rates; and

    the level of policy and procedural exceptions.

        Qualitative adjustments represented approximately 13% of the total new and non-ACI ALLL at December 31, 2013.

        For non-ACI loans, the allowance is initially calculated based on UPB. The total of UPB, less the calculated allowance, is then compared to the carrying amount of the loans, net of unamortized credit related fair value adjustments established at acquisition. If the calculated balance net of the allowance is less than the carrying amount, an additional allowance is established. Any such increase in the allowance for non-ACI loans will result in a corresponding increase in the FDIC indemnification asset.

    ACI Loans

        For ACI loans, a valuation allowance is established when periodic evaluations of expected cash flows reflect a decrease resulting from credit related factors from the level of cash flows that were estimated to be collected at acquisition plus any additional expected cash flows arising from revisions in those estimates. We perform a quarterly analysis of expected cash flows for ACI loans.

        Expected cash flows are estimated on a pool basis for ACI 1-4 single family residential and home equity loans. The analysis of expected pool cash flows incorporates updated pool level expected prepayment rate, default rate, delinquency level and loss severity given default assumptions. Prepayment, delinquency and default curves are derived primarily from roll rates generated from the historical performance of the portfolio over the immediately preceding four quarters. Estimates of default probability also incorporate updated LTV ratios, at the loan level, based on Case-Shiller Home Price Indices for the relevant MSA. Costs and fees represent an additional component of loss on default and are projected using the "Making Home Affordable" cost factors provided by the Federal

87


Table of Contents

government. The ACI home equity roll rates reflect elevated default probabilities as a result of delinquent, related senior liens and loans to borrowers who have not reaffirmed their debt discharged in Chapter 7 bankruptcy.

        Based on our projected cash flow analysis, no ALLL related to 1-4 single family residential and home equity ACI pools was recorded at December 31, 2013 or 2012.

        The primary assumptions underlying estimates of expected cash flows for ACI commercial loans are default probability and severity of loss given default. Updated assumptions for large balance and delinquent loans in the commercial ACI portfolio are based on net realizable value analyses prepared at the individual loan level by the Company's workout and recovery department. Updated assumptions for smaller balance commercial loans are based on a combination of the Company's own historical delinquency and severity data and industry level data. Delinquency data is used as a proxy for defaults as the Company's experience has been that few of these loans return to performing status after being delinquent greater than 60 days. An additional multiplier is applied to the portfolio level default probability in developing assumptions for loans rated special mention, substandard, or doubtful based on the Company's historical delinquency experience.

        Based on our loan level analysis, we recorded provisions for (recoveries of) loan losses on ACI commercial loans of $(2.9) million, $(4.3) million and $7.2 million for the years ended December 31, 2013, 2012 and 2011, respectively. Related increases (decreases) in the FDIC indemnification asset of $(2.5) million, $(2.7) million and $6.2 million were recorded for the years ended December 31, 2013, 2012 and 2011, respectively.

88


Table of Contents

        The following table provides an analysis of the ALLL, provision for loan losses and net charge-offs for the period from May 21, 2009 (inception of operations) through December 31, 2013 (in thousands):

 
  Covered Loans    
   
 
 
  ACI Loans   Non-ACI
Loans
  New Loans   Total  

Balance at May 21, 2009

  $   $   $   $  

Provision for loan losses:

    20,021     1,266     1,334     22,621  

Charge-offs:

                 

Recoveries:

                 
                   

Balance at December 31, 2009

    20,021     1,266     1,334     22,621  
                   

Provision for loan losses:

    33,928     12,553     4,926     51,407  

Charge-offs:

                         

Home equity loans and lines of credit

        (1,125 )       (1,125 )

Multi-family

    (1,414 )   (166 )       (1,580 )

Commercial real estate

    (3,274 )           (3,274 )

Construction and land

    (8,398 )           (8,398 )

Commercial loans and leases

    (938 )   (29 )   (109 )   (1,076 )

Consumer

        (215 )       (215 )
                   

Total Charge-offs

    (14,024 )   (1,535 )   (109 )   (15,668 )
                   

Total Recoveries

                 
                   

Net Charge-offs:

    (14,024 )   (1,535 )   (109 )   (15,668 )
                   

Balance at December 31, 2010

    39,925     12,284     6,151     58,360  
                   

Provision for (recovery of) loan losses:

    (11,278 )   3,586     21,520     13,828  

Charge-offs:

                         

1 - 4 single family residential

        (459 )       (459 )

Home equity loans and lines of credit

        (1,918 )       (1,918 )

Multi-family

    (461 )           (461 )

Commercial real estate

    (2,845 )   (674 )       (3,519 )

Construction and land

    (7,348 )           (7,348 )

Commercial loans and leases

    (2,873 )   (5,438 )   (3,367 )   (11,678 )
                   

Total Charge-offs

    (13,527 )   (8,489 )   (3,367 )   (25,383 )

Recoveries:

                         

Home equity loans and lines of credit

        20         20  

Multi-family

    565     27         592  

Commercial real estate

    16     131         147  

Construction and land

    625             625  

Commercial loans and leases

    6     183     24     213  
                   

Total Recoveries

    1,212     361     24     1,597  
                   

Net Charge-offs:

    (12,315 )   (8,128 )   (3,343 )   (23,786 )
                   

Balance at December 31, 2011

    16,332     7,742     24,328     48,402  
                   

Provision for (recovery of) loan losses:

    (4,347 )   3,844     19,399     18,896  

Charge-offs:

                         

1 - 4 single family residential

        (245 )       (245 )

Home equity loans and lines of credit

        (3,030 )       (3,030 )

Multi-family

    (563 )       (87 )   (650 )

Commercial real estate

    (1,482 )           (1,482 )

89


Table of Contents

 
  Covered Loans    
   
 
(continued)
  ACI Loans   Non-ACI
Loans
  New Loans   Total  

Construction and land

    (1,183 )       (3 )   (1,186 )

Commercial loans and leases

    (738 )   (316 )   (2,839 )   (3,893 )
                   

Total Charge-offs

    (3,966 )   (3,591 )   (2,929 )   (10,486 )

Recoveries:

                         

Home equity loans and lines of credit

        29         29  

Multi-family

        24         24  

Commercial real estate

        347         347  

Commercial loans and leases

        1,479     427     1,906  

Consumer

            3     3  
                   

Total Recoveries

        1,879     430     2,309  
                   

Net Charge-offs:

    (3,966 )   (1,712 )   (2,499 )   (8,177 )
                   

Balance at December 31, 2012

    8,019     9,874     41,228     59,121  
                   

Provision for (recovery of) loan losses:

    (2,891 )   1,153     33,702     31,964  

Charge-offs:

                         

1 - 4 single family residential

        (1,276 )   (10 )   (1,286 )

Home equity loans and lines of credit

        (2,858 )       (2,858 )

Commercial real estate

    (1,162 )           (1,162 )

Construction and land

    (77 )           (77 )

Commercial loans and leases

    (996 )   (171 )   (17,987 )   (19,154 )

Consumer

            (484 )   (484 )
                   

Total Charge-offs

    (2,235 )   (4,305 )   (18,481 )   (25,021 )

Recoveries:

                         

Home equity loans and lines of credit

        90         90  

Multi-family

        15         15  

Commercial real estate

        191         191  

Commercial loans and leases

        2,484     758     3,242  

Consumer

            123     123  
                   

Total Recoveries

        2,780     881     3,661  
                   

Net Charge-offs:

    (2,235 )   (1,525 )   (17,600 )   (21,360 )
                   

Balance at December 31, 2013

  $ 2,893   $ 9,502   $ 57,330   $ 69,725  
                   
                   

90


Table of Contents

        The following tables show the distribution of the ALLL, broken out between covered and non-covered loans, as of December 31 of the years indicated (dollars in thousands):

 
  2013  
 
  Covered Loans    
   
   
 
 
  ACI Loans   Non-ACI
Loans
  New Loans   Total   %(1)  

Residential:

                               

1 - 4 single family residential

  $   $ 827   $ 6,271   $ 7,098     32.4 %

Home equity loans and lines of credit

        8,243     12     8,255     1.9 %
                       

        9,070     6,283     15,353     34.3 %
                       

Commercial:

                               

Multi-family

    323         3,947     4,270     12.6 %

Commercial real estate

    1,813     14     11,175     13,002     20.0 %

Construction and land

    192     6     803     1,001     1.7 %

Commercial loans and leases

    565     412     32,935     33,912     29.0 %
                       

    2,893     432     48,860     52,185     63.3 %
                       

Consumer

            2,187     2,187     2.4 %
                       

  $ 2,893   $ 9,502   $ 57,330   $ 69,725     100.0 %
                       
                       

 

 
  2012  
 
  Covered Loans    
   
   
 
 
  ACI Loans   Non-ACI
Loans
  New Loans   Total   %(1)  

Residential:

                               

1 - 4 single family residential

  $   $ 984   $ 10,074   $ 11,058     41.5 %

Home equity loans and lines of credit

        8,087     19     8,106     3.8 %
                       

        9,071     10,093     19,164     45.3 %
                       

Commercial:

                               

Multi-family

    504     5     2,212     2,721     6.5 %

Commercial real estate

    5,400     31     7,790     13,221     17.5 %

Construction and land

    350     9     672     1,031     1.6 %

Commercial loans and leases

    1,765     758     20,047     22,570     28.5 %
                       

    8,019     803     30,721     39,543     54.1 %
                       

Consumer

            414     414     0.6 %
                       

  $ 8,019   $ 9,874   $ 41,228   $ 59,121     100.0 %
                       
                       

91


Table of Contents


 
  2011  
 
  Covered Loans    
   
   
 
 
  ACI Loans   Non-ACI
Loans
  New Loans   Total   %(1)  

Residential:

                               

1 - 4 single family residential

  $   $ 593   $ 4,015   $ 4,608     54.1 %

Home equity loans and lines of credit

        5,549     18     5,567     6.1 %
                       

        6,142     4,033     10,175     60.2 %

Commercial:

                               

Multi-family

    1,063     5     929     1,997     4.1 %

Commercial real estate

    10,672     284     4,529     15,485     13.6 %

Construction and land

    2,310     62     337     2,709     1.7 %

Commercial loans and leases

    2,287     1,249     14,449     17,985     20.2 %
                       

    16,332     1,600     20,244     38,176     39.6 %
                       

Consumer

            51     51     0.2 %
                       

  $ 16,332   $ 7,742   $ 24,328   $ 48,402     100.0 %
                       
                       

 

 
  2010  
 
  Covered Loans    
   
   
 
 
  ACI Loans   Non-ACI
Loans
  New Loans   Total   %(1)  

Residential:

                               

1 - 4 single family residential

  $   $ 761   $ 168   $ 929     67.5 %

Home equity loans and lines of credit

    18,488     9,229     3     27,720     7.7 %
                       

    18,488     9,990     171     28,649     75.2 %

Commercial:

                               

Multi-family

    5,701     633     772     7,106     2.8 %

Commercial real estate

    5,795     418     1,189     7,402     11.4 %

Construction and land

    4,891     27     220     5,138     1.7 %

Commercial and industrial

    5,050     1,216     3,744     10,010     8.7 %
                       

    21,437     2,294     5,925     29,656     24.6 %
                       

Consumer

            55     55     0.2 %
                       

  $ 39,925   $ 12,284   $ 6,151   $ 58,360     100.0 %
                       
                       

92


Table of Contents


 
  2009  
 
  Covered Loans    
   
   
 
 
  ACI Loans   Non-ACI
Loans
  New Loans   Total   %(1)  

Residential:

                               

1 - 4 single family residential

  $ 20,021   $ 119   $ 65   $ 20,205     76.0 %

Home equity loans and lines of credit

        11     4     15     7.1 %
                       

    20,021     130     69     20,220     83.1 %

Commercial:

                               

Multi-family

        60     11     71     1.7 %

Commercial real estate

        465     303     768     9.2 %

Construction and land

        7         7     1.9 %

Commercial and industrial

        604     905     1,509     3.9 %
                       

        1,136     1,219     2,355     16.7 %
                       

Consumer

            46     46     0.2 %
                       

  $ 20,021   $ 1,266   $ 1,334   $ 22,621     100.0 %
                       
                       

(1)
Represents percentage of loans receivable in each category to total loans receivable.

        Significant components of the change in the ALLL at December 31, 2013 as compared to December 31, 2012, include:

    A decrease of $(3.8) million for new 1 - 4 single family residential loans, attributable to a decrease in loss factors resulting from the use of more comparable proxy loss data as discussed above, partially offset by growth of the portfolio;

    An increase of $12.9 million for new commercial loans and leases, resulting from an increase of $7.9 million in specific reserves for impaired loans and an increase of $5.0 million from the growth of the commercial portfolio, partially offset by decreases in peer group historical loss factors;

    Increases of $1.7 million for new multi-family loans and $3.4 million for new commercial real estate loans, resulting primarily from the growth of the portfolio, partially offset by decreases in peer group historical loss factors;

    A $(5.1) million decrease in the allowance for ACI commercial loans resulting from continued resolutions, including charge-offs, of impaired loans in this portfolio class and improvements in expected cash flows; and

    An increase of $1.8 million for new consumer loans, resulting primarily from the growth of the indirect auto portfolio.

        For additional information about the ALLL, see Note 5 to the consolidated financial statements.

    Equipment under Operating Lease

        Equipment under operating lease consists of railcar equipment we have purchased and leased to North American commercial end-users, predominantly companies in the petroleum/natural gas extraction and railroad line-haul industries. At December 31, 2013, our operating lease fleet consisted of 2,373 rail cars, including covered hoppers, gondolas, open hoppers, boxcars, auto carriers and tank cars. The largest concentration of 1,232 cars is in covered hopper cars used to ship sand for the energy industry. These equipment leases provide additional diversity in asset classes, geography and financing structures, with the potential for attractive after-tax returns.

93


Table of Contents

        The primary risks inherent in the equipment leasing business are asset risk resulting from ownership of the equipment on operating lease and credit risk. Asset risk arises from fluctuations in supply and demand for the underlying leased equipment. Railcars are long-lived equipment with useful lives of approximately 35-50 years. The equipment is leased to commercial end-users with average lease terms of 3-7 years at December 31, 2013. We are exposed to the risk that, at the end of the initial or a subsequent lease term, the value of the asset will be lower than expected, potentially resulting in reduced future lease income over the remaining life of the asset or a lower sale value.

        Asset risk will ultimately impact the financial statements through changes to lease income streams from fluctuations in lease rates and/or utilization. Changes to lease income occur when the existing lease contracts expire, the assets come off lease, and we seek to enter new lease agreements. Asset risk may also lead to changes in depreciation as a result of changes in the residual values of the operating lease assets or through impairment of asset carrying values. Since our operating lease portfolio is relatively new, we do not have historical experience with respect to the expiration of lease terms for our equipment. To date, there have been no impairments of asset carrying values.

        Asset risk is evaluated and managed by an internal team of leasing professionals with a broad depth and breadth of experience in the leasing business. Additionally, we have partnered with an industry leading, experienced service provider who provides fleet management and servicing, including lease administration and reporting, Regulation Y full service maintenance program and railcar remarketing. Risk is managed by setting appropriate residual values at inception and systematic reviews of residual values based on independent appraisals, performed at least annually. Additionally, our internal management team and our external service provider closely follow the rail markets, monitoring traffic flows, supply and demand trends and the impact of new technologies and regulatory requirements. Demand for railcars is sensitive to shifts in general and industry specific economic and market trends and shifts in trade flows from specific events such as natural or man-made disasters. We seek to mitigate these risks by leasing to a stable end-user base, by maintaining a relatively young and diversified fleet of assets that are expected to maintain relatively stronger and more stable utilization rates despite impacts from unexpected events or cyclical trends and by staggering lease maturities.

        Credit risk in the leased equipment portfolio results from the potential default of lessees, possibly driven by obligor specific or industry-wide conditions, and is economically less significant than asset risk, because in the operating lease business, there is no extension of credit to the obligor. Instead, the lessor deploys a portion of the useful life of the asset. Credit losses, if any, will manifest through reduced rental income due to missed payments, time off lease, or lower rental payments due either to a restructuring or re-leasing of the asset to another obligor. To date, we have not experienced any credit losses, missed payments, time off lease or restructurings related to our operating lease portfolio. Credit risk in the operating lease portfolio is managed and monitored utilizing credit administration infrastructure, processes and procedures similar to those used to manage and monitor credit risk in the commercial loan portfolio. We also mitigate credit risk in this portfolio by leasing only to high credit quality obligors.

        We expect our operating lease portfolio to grow in the future, and may expand into other transportation asset classes.

94


Table of Contents

    Other Real Estate Owned

        The following table presents the changes in OREO for the years ended December 31, 2013, 2012 and 2011 (in thousands):

 
  2013   2012   2011  

Balance, beginning of period

  $ 76,022   $ 123,737   $ 206,680  

Transfers from loan portfolio

    68,084     151,302     312,958  

Sales

    (101,597 )   (189,091 )   (371,332 )

Impairment

    (1,939 )   (9,926 )   (24,569 )
               

Balance, end of period

  $ 40,570   $ 76,022   $ 123,737  
               
               

        At December 31, 2013 and 2012, OREO consisted of the following types of properties (in thousands):

 
  2013   2012  
 
  Covered   Non-Covered   Total   Total  

1 - 4 single family residential

  $ 28,310   $ 83   $ 28,393   $ 58,848  

Condominium

    4,732         4,732     12,887  

Multi-family

    135         135     257  

Commercial real estate

    5,708     500     6,208     1,512  

Land

    787     315     1,102     2,518  
                   

  $ 39,672   $ 898   $ 40,570   $ 76,022  
                   
                   

        All OREO was covered under the Loss Sharing Agreements at December 31, 2012.

        The majority of our residential OREO properties are located in Florida. At December 31, 2013, 64.3% of residential properties were located in Florida, 6.7%, in Illinois, 6.1% in Maryland, 5.9% in California, and 4.8% in Virginia. All of our commercial OREO properties are located in Florida. The decrease in OREO reflects continued efforts to resolve non-performing covered assets and a decline in the level of new foreclosures. Residential OREO inventory declined to 157 units at December 31, 2013 from 402 units at December 31, 2012.

        Full appraisals, prepared in accordance with prevailing industry standards, are ordered for all OREO properties at the time of transfer to OREO and upon obtaining physical possession. Full appraisals are generally considered stale after 180 days. Broker Price Opinions, used for foreclosure bids, short sales, and modifications, are considered stale after 90 days from the effective date of the report.

    Goodwill and Other Intangible Assets

        Goodwill consists of $59 million recorded in conjunction with the FSB Acquisition and an additional $8 million recorded in conjunction with the acquisition of two lending subsidiaries in 2010. Other intangible assets consist of core deposit intangible assets and customer relationship intangible assets.

        The Company has a single reporting unit. We perform goodwill impairment testing in the third quarter of each fiscal year. As of the 2013 impairment testing date, the estimated fair value of the reporting unit substantially exceeded its carrying amount; therefore, no impairment was indicated.

95


Table of Contents

    Deposits

        The following table presents information about our deposits for the years ended December 31, 2013, 2012 and 2011 (dollars in thousands):

 
  2013   2012   2011  
 
  Average
Balance
  Average
Rate Paid
  Average
Balance
  Average
Rate Paid
  Average
Balance
  Average
Rate Paid
 

Demand deposits:

                                     

Non-interest bearing

  $ 1,586,007     0.00 % $ 1,099,448     0.00 % $ 622,377     0.00 %

Interest bearing

    582,623     0.46 %   504,614     0.63 %   382,329     0.65 %

Money market

    3,403,276     0.51 %   2,838,735     0.63 %   2,165,230     0.88 %

Savings

    877,255     0.37 %   1,073,709     0.58 %   1,201,236     0.83 %

Time

    2,844,377     1.31 %   2,632,451     1.48 %   2,585,201     1.71 %
                           

  $ 9,293,538     0.65 % $ 8,148,957     0.81 % $ 6,956,373     1.09 %
                                 
                                 

        Total deposits increased by $2.0 billion to $10.5 billion at December 31, 2013 from $8.5 billion at December 31, 2012. The distribution of deposits reflected in the table above reflects growth in lower rate deposit products, including non-interest bearing demand deposits, consistent with management's business strategy.

        The following table shows scheduled maturities of certificates of deposit with denominations greater than or equal to $100,000 as of December 31, 2013 (in thousands):

Three months or less

  $ 319,716  

Over three through six months

    374,717  

Over six through twelve months

    977,706  

Over twelve months

    457,398  
       

  $ 2,129,537  
       
       

    Federal Home Loan Bank Advances and Other Borrowings

        At December 31, 2013 and 2012 outstanding FHLB advances and other borrowings consisted of the following (dollars in thousands):

 
  2013   2012  

Federal Home Loan Bank advances

  $ 2,412,050   $ 1,916,919  

Securities sold under agreements to repurchase

    346     8,175  

Capital lease obligations

    1,917      
           

  $ 2,414,313   $ 1,925,094  
           
           

        In addition to deposits, we also utilize FHLB advances to finance our operations; the advances provide us with additional flexibility in managing both term and cost of funding. FHLB advances are secured by FHLB stock and qualifying first mortgage, commercial real estate, and home equity loans

96


Table of Contents

and mortgage-backed securities. The contractual balance of FHLB advances outstanding at December 31, 2013 is scheduled to mature as follows (in thousands):

Maturing in:

       

2014—30 days or less

  $ 200,000  

2014—Over 30 days

    1,765,000  

2015

    270,350  

2016

    75,000  

2017

    105,000  
       

Total contractual balance outstanding

    2,415,350  

Acquisition accounting fair value adjustment and unamortized modification costs

    (3,300 )
       

Carrying value

  $ 2,412,050  
       
       

        The increase in outstanding FHLB advances during the year ended December 31, 2013 corresponds to growth in the loan portfolio.


Capital Resources

        Since inception, stockholders' equity has been impacted primarily by the retention of earnings, and to a lesser extent, proceeds from the issuance of common shares and changes in unrealized gains and losses, net of taxes, on investment securities available for sale and cash flow hedges. Stockholders' equity increased $122 million, or 6.8%, from $1.8 billion at December 31, 2012 to $1.9 billion at December 31, 2013.

        Pursuant to the FDIA, the federal banking agencies have adopted regulations setting forth a five-tier system for measuring the capital adequacy of the financial institutions they supervise. At December 31, 2013 and 2012, BankUnited and the Company had capital levels that exceeded both the regulatory well-capitalized guidelines and all internal capital ratio targets. See Note 16 to the consolidated financial statements for more information about the Company's regulatory capital ratios and requirements.

        On July 2, 2013 the Federal Reserve Board approved a final rule that implements the Basel III changes to the regulatory capital framework for all U.S. banking organizations. The Company is required to implement the final rule on January 1, 2015, with a phase-in period extending through January 1, 2019. The rule will add another risk-based capital category, common equity tier 1 capital, increase the required tier 1 capital level, increase risk weights for certain of the Company's investment securities, loans and other assets and add some complexity to the risk-based capital calculations. In addition, a capital conservation buffer will be phased in beginning in 2016. In order to avoid limitations on capital distributions, including dividend payments and certain discretionary bonus payments to executive officers, a banking organization must hold this capital conservation buffer composed of common equity tier 1 capital above its minimum risk-based capital requirements. As of December 31, 2013, the adoption of the rule would not have impacted our capital categories.


Liquidity

        Liquidity involves our ability to generate adequate funds to support asset growth, meet deposit withdrawal and other contractual obligations, maintain reserve requirements and otherwise conduct ongoing operations. BankUnited's liquidity needs are primarily met by growth in transaction deposit accounts, its cash position, cash flow from its amortizing investment and loan portfolios and reimbursements under the Loss Sharing Agreements. BankUnited also has access to additional liquidity through collateralized borrowings, FHLB advances, term and wholesale deposits or the sale of available

97


Table of Contents

for sale securities. The ALCO policy has established several measures of liquidity which are monitored monthly by ALCO and quarterly by the Board of Directors. The primary measure of liquidity monitored by management is liquid assets (defined as cash and cash equivalents and pledgeable securities) to total assets. BankUnited's liquidity is considered acceptable if liquid assets divided by total assets exceeds 5.0%. At December 31, 2013, BankUnited's liquid assets divided by total assets was 8.4%. Management monitors a one year liquidity ratio, defined as cash and cash equivalents, pledgeable securities, unused borrowing capacity at the FHLB, and loans and non-agency securities maturing within one year divided by deposits and borrowings maturing within one year. The maturity of deposits, excluding certificate of deposits, is based on retention rates derived from the most recent external core deposit analysis obtained by the Company. This ratio allows management to monitor liquidity over a longer time horizon. At December 31, 2013, BankUnited exceeded the acceptable limit established by ALCO for this ratio. Additional measures of liquidity regularly monitored by ALCO include the ratio of FHLB advances to Tier 1 capital plus the ALLL, the ratio of FHLB advances to total assets and a measure of available liquidity to volatile liabilities. At December 31, 2013, BankUnited was within acceptable limits established by ALCO for each of these measures.

        As a holding company, BankUnited, Inc. is a corporation separate and apart from its banking subsidiary, and therefore, provides for its own liquidity. BankUnited, Inc.'s main sources of funds include management fees and dividends from the Bank and access to capital markets. There are regulatory limitations that affect the ability of the Bank to pay dividends to BankUnited, Inc. Management believes that such limitations will not impact our ability to meet our ongoing short-term cash obligations.

        We expect that our liquidity requirements will continue to be satisfied over the next 12 months through these sources of funds.


Interest Rate Risk

        The principal component of the Company's risk of loss arising from adverse changes in the fair value of financial instruments, or market risk, is interest rate risk, including the risk that assets and liabilities with similar re-pricing characteristics may not reprice at the same time or to the same degree. The primary objective of the Company's asset/liability management activities is to maximize net interest income, while maintaining acceptable levels of interest rate risk. The ALCO is responsible for establishing policies to limit exposure to interest rate risk, and to ensure procedures are established to monitor compliance with these policies. The guidelines established by ALCO are approved at least annually by the Board of Directors.

        Management believes that the simulation of net interest income in different interest rate environments provides the most meaningful measure of interest rate risk. Income simulation analysis is designed to capture not only the potential of all assets and liabilities to mature or reprice, but also the probability that they will do so. Income simulation also attends to the relative interest rate sensitivities of these items, and projects their behavior over an extended period of time. Finally, income simulation permits management to assess the probable effects on the balance sheet not only of changes in interest rates, but also of proposed strategies for responding to them.

        The income simulation model analyzes interest rate sensitivity by projecting net interest income over the next twenty-four months in a most likely rate scenario based on forward interest rate curves versus net interest income in alternative rate scenarios. Management continually reviews and refines its interest rate risk management process in response to the changing economic climate. Currently, our model projects a plus 100, plus 200 and plus 300 basis point change with rates increasing 25 basis points per month until the applicable limit is reached as well as a modified flat scenario incorporating a more flattened yield curve. We did not simulate a decrease in interest rates at December 31, 2013 due to the current low rate environment. We continually evaluate the scenarios being modeled with a view toward adapting them to changing economic conditions, expectations and trends.

98


Table of Contents

        The Company's ALCO policy has established that interest income sensitivity will be considered acceptable if forecast net interest income in the plus 200 basis point scenario is within 5% of forecast net interest income in the most likely rate scenario over the next twelve months and within 10% in the second year. The following table illustrates the impact on forecasted net interest income of plus 100, plus 200 and plus 300 basis point scenarios at December 31, 2013 and 2012:

 
  Plus 100   Plus 200   Plus 300  

December 31, 2013:

                   

Twelve Months

    1.1 %   1.2 %   1.2 %

Twenty Four Months

    4.1 %   7.2 %   9.4 %

December 31, 2012:

   
 
   
 
   
 
 

Twelve Months

    0.9 %   1.3 %   1.1 %

Twenty Four Months

    5.1 %   9.7 %   12.2 %

        Management also simulates changes in the economic value of equity ("EVE") in various interest rate environments. The ALCO policy has established parameters of acceptable risk that are defined in terms of the percentage change in EVE from a base scenario under six rate scenarios, derived by implementing immediate parallel movements of plus and minus 100, 200 and 300 basis points from current rates. We did not simulate decreases in interest rates at December 31, 2013 due to the current low rate environment. The parameters established by ALCO stipulate that the change in EVE is considered acceptable if the change is less than 6%, 10% and 14% in plus 100, 200 and 300 basis point scenarios, respectively. As of December 31, 2013, our simulation for BankUnited indicated percentage changes from base EVE of (2.0)%, (4.5)% and (7.8)% in plus 100, 200, and 300 basis point scenarios, respectively.

        These measures fall within an acceptable level of interest rate risk per the policies established by ALCO. In the event the models indicate an unacceptable level of risk, the Company could undertake a number of actions that would reduce this risk, including the sale of a portion of its available for sale investment portfolio or the use of risk management strategies such as interest rate swaps and caps.

        Many assumptions were used by the Company to calculate the impact of changes in interest rates, including the change in rates. Actual results may not be similar to the Company's projections due to several factors including the timing and frequency of rate changes, market conditions and the shape of the yield curve. Actual results may also differ due to the Company's actions, if any, in response to the changing rates.

    Derivative Financial Instruments

        Interest rate swaps are one of the tools we use to manage interest rate risk. These derivative instruments are used to mitigate exposure to changes in interest rates on FHLB advances and time deposits and to manage duration of liabilities. These interest rate swaps are designated as cash flow hedging instruments. The fair value of these instruments is included in other assets and other liabilities in our consolidated balance sheets and changes in fair value are reported in accumulated other comprehensive income. At December 31, 2013, outstanding interest rate swaps designated as cash flow hedges had an aggregate notional amount of $1.7 billion. The aggregate fair value of interest rate swaps designated as cash flow hedges included in other assets was $17 million and the aggregate fair value included in other liabilities was $39 million.

        Interest rate swaps not designated as cash flow hedges had an aggregate notional amount of $568 million at December 31, 2013. The aggregate fair value of these interest rate swaps included in other assets was $5 million and the aggregate fair value included in other liabilities was $5 million. These interest rate swaps were entered into as accommodations to certain of our commercial borrowers.

99


Table of Contents

        See Note 13 to the consolidated financial statements for more information about our derivative positions.


Off-Balance Sheet Arrangements

    Commitments

        We routinely enter into commitments to extend credit to our customers, including commitments to fund loans or lines of credit and commercial and standby letters of credit. The credit risk associated with these commitments is essentially the same as that involved in extending loans to customers and they are subject to our normal credit policies and approval processes. While these commitments represent contractual cash requirements, a significant portion of commitments to extend credit may expire without being drawn upon. The following table details our outstanding commitments to extend credit as of December 31, 2013 (in thousands):

 
  Covered   Non-Covered   Total  

Commitments to fund loans

  $   $ 685,384   $ 685,384  

Commitments to purchase loans

        66,290     66,290  

Unfunded commitments under lines of credit

    51,085     920,638     971,723  

Commercial and standby letters of credit

        50,468     50,468  
               

  $ 51,085   $ 1,722,780   $ 1,773,865  
               
               


Contractual Obligations

        The following table contains supplemental information regarding our outstanding contractual obligations as of December 31, 2013 (in thousands):

 
  Total   Less than
1 year
  1 - 3 years   3 - 5 years   More than
5 years
 

Long-term debt obligations

  $ 2,436,936   $ 1,981,265   $ 349,916   $ 105,755   $  

Operating lease obligations

    200,538     22,315     40,035     37,990     100,198  

Premises and equipment obligations

    7,691     7,691              

Certificates of deposits

    3,319,768     2,655,693     633,051     30,918     106  

Capital lease

    5,073     255     404     412     4,002  
                       

  $ 5,970,006   $ 4,667,219   $ 1,023,406   $ 175,075   $ 104,306  
                       
                       

Item 7A.    Quantitative and Qualitative Disclosures About Market Risk

        See the section entitled "Interest Rate Risk" included in Item 7, "Management's Discussion and Analysis of Financial Condition and Results of Operations."

100


Table of Contents

Item 8.    Financial Statements and Supplementary Data

INDEX TO CONSOLIDATED FINANCIAL STATEMENTS

 
  Page  

Management's Report on Internal Control Over Financial Reporting

    F-2  

BankUnited, Inc. Consolidated Financial Statements for the Years ended December 31, 2013, 2012 and 2011

       

Reports of Independent Registered Public Accounting Firm

    F-3  

Consolidated Balance Sheets as of December 31, 2013 and December 31, 2012

    F-6  

Consolidated Statements of Income for the years ended December 31, 2013, 2012 and 2011

    F-7  

Consolidated Statements of Comprehensive Income for the years ended December 31, 2013, 2012 and 2011

    F-8  

Consolidated Statements of Cash Flows for the years ended December 31, 2013, 2012 and 2011

    F-9  

Consolidated Statements of Stockholders' Equity for the years ended December 31, 2013, 2012 and 2011

    F-11  

Notes to Consolidated Financial Statements

    F-12  

F-1


Table of Contents


MANAGEMENT'S REPORT ON INTERNAL CONTROL OVER FINANCIAL REPORTING

        Management is responsible for establishing and maintaining adequate internal control over financial reporting, as such term is defined in the Securities Exchange Act of 1934 Rule 13a-15(f). The Company's internal control over financial reporting includes those policies and procedures that (i) pertain to the maintenance of records that, in reasonable detail, accurately and fairly reflect the transactions and dispositions of the assets of the Company; (ii) provide reasonable assurance that transactions are recorded as necessary to permit preparation of financial statements in accordance with generally accepted accounting principles, and that receipts and expenditures of the Company are being made only in accordance with authorizations of management and directors of the Company; and (iii) provide reasonable assurance regarding prevention or timely detection of unauthorized acquisition, use, or disposition of the Company's assets that could have a material effect on the financial statements.

        Internal control over financial reporting is designed to provide reasonable assurance regarding the reliability of financial reporting and the preparation of financial statements prepared for external purposes in accordance with generally accepted accounting principles. Because of its inherent limitations, internal control over financial reporting may not prevent or detect misstatements. Also, projections of any evaluation of effectiveness to future periods are subject to the risk that controls may become inadequate because of changes in conditions, or that the degree of compliance with the policies or procedures may deteriorate.

        Under the supervision and with the participation of management, including the Company's principal executive officer and principal financial officer, the Company conducted an evaluation of the effectiveness of the Company's internal control over financial reporting based on the framework in Internal Control—Integrated Framework (1992) issued by the Committee of Sponsoring Organizations of the Treadway Commission. Based on the Company's evaluation under the framework in Internal Control—Integrated Framework, management concluded that the Company's internal control over financial reporting was effective as of December 31, 2013.

        The effectiveness of the Company's internal control over financial reporting as of December 31, 2013 has been audited by KPMG LLP, an independent registered public accounting firm, as stated in their report which is included herein.

F-2


Table of Contents


Report of Independent Registered Public Accounting Firm

The Board of Directors and Stockholders
BankUnited, Inc.:

        We have audited the accompanying consolidated balance sheets of BankUnited, Inc. and subsidiaries (the Company) as of December 31, 2013 and 2012, and the related consolidated statements of income, comprehensive income, cash flows, and stockholders' equity for each of the years in the three-year period ended December 31, 2013. These consolidated financial statements are the responsibility of the Company's management. Our responsibility is to express an opinion on these consolidated financial statements based on our audits.

        We conducted our audits in accordance with the standards of the Public Company Accounting Oversight Board (United States). Those standards require that we plan and perform the audit to obtain reasonable assurance about whether the financial statements are free of material misstatement. An audit includes examining, on a test basis, evidence supporting the amounts and disclosures in the financial statements. An audit also includes assessing the accounting principles used and significant estimates made by management, as well as evaluating the overall financial statement presentation. We believe that our audits provide a reasonable basis for our opinion.

        In our opinion, the consolidated financial statements referred to above present fairly, in all material respects, the financial position of BankUnited, Inc. and subsidiaries as of December 31, 2013 and 2012, and the results of their operations and their cash flows for each of the years in the three-year period ended December 31, 2013, in conformity with U.S. generally accepted accounting principles.

        We have also audited, in accordance with the standards of the Public Company Accounting Oversight Board (United States), the Company's internal control over financial reporting as of December 31, 2013, based on criteria established in Internal Control—Integrated Framework issued by the Committee of Sponsoring Organizations of the Treadway Commission (1992), and our report dated February 27, 2014 expressed an unqualified opinion on the effectiveness of the Company's internal control over financial reporting.

    /s/KPMG LLP

Miami, Florida
February 27, 2014
Certified Public Accountants

F-3


Table of Contents


Report of Independent Registered Public Accounting Firm

The Board of Directors and Stockholders
BankUnited, Inc.:

        We have audited BankUnited, Inc. and subsidiaries' (the Company) internal control over financial reporting as of December 31, 2013, based on criteria established in Internal Control—Integrated Framework issued by the Committee of Sponsoring Organizations of the Treadway Commission (1992). The Company's management is responsible for maintaining effective internal control over financial reporting and for its assessment of the effectiveness of internal control over financial reporting, included in the accompanying Management's Report on Internal Control over Financial Reporting. Our responsibility is to express an opinion on the Company's internal control over financial reporting based on our audit.

        We conducted our audit in accordance with the standards of the Public Company Accounting Oversight Board (United States). Those standards require that we plan and perform the audit to obtain reasonable assurance about whether effective internal control over financial reporting was maintained in all material respects. Our audit included obtaining an understanding of internal control over financial reporting, assessing the risk that a material weakness exists, and testing and evaluating the design and operating effectiveness of internal control based on the assessed risk. Our audit also included performing such other procedures as we considered necessary in the circumstances. We believe that our audit provides a reasonable basis for our opinion.

        A company's internal control over financial reporting is a process designed to provide reasonable assurance regarding the reliability of financial reporting and the preparation of financial statements for external purposes in accordance with generally accepted accounting principles. A company's internal control over financial reporting includes those policies and procedures that (1) pertain to the maintenance of records that, in reasonable detail, accurately and fairly reflect the transactions and dispositions of the assets of the company; (2) provide reasonable assurance that transactions are recorded as necessary to permit preparation of financial statements in accordance with generally accepted accounting principles, and that receipts and expenditures of the company are being made only in accordance with authorizations of management and directors of the company; and (3) provide reasonable assurance regarding prevention or timely detection of unauthorized acquisition, use, or disposition of the company's assets that could have a material effect on the financial statements.

        Because of its inherent limitations, internal control over financial reporting may not prevent or detect misstatements. Also, projections of any evaluation of effectiveness to future periods are subject to the risk that controls may become inadequate because of changes in conditions, or that the degree of compliance with the policies or procedures may deteriorate.

F-4


Table of Contents

        In our opinion, BankUnited, Inc. and subsidiaries maintained, in all material respects, effective internal control over financial reporting as of December 31, 2013, based on criteria established in Internal Control—Integrated Framework issued by the Committee of Sponsoring Organizations of the Treadway Commission (1992).

        We also have audited, in accordance with the standards of the Public Company Accounting Oversight Board (United States), the consolidated balance sheets of the Company as of December 31, 2013 and 2012, and the related consolidated statements of income, comprehensive income, cash flows, and stockholders' equity for each of the years in the three-year period ended December 31, 2013, and our report dated February 27, 2014 expressed an unqualified opinion on those consolidated financial statements.

    /s/KPMG LLP

Miami, Florida
February 27, 2014
Certified Public Accountants

F-5


Table of Contents


BANKUNITED, INC. AND SUBSIDIARIES

CONSOLIDATED BALANCE SHEETS

(In thousands, except share and per share data)

 
  December 31,
2013
  December 31,
2012
 

ASSETS

 

Cash and due from banks:

   
 
   
 
 

Non-interest bearing

  $ 45,976   $ 61,088  

Interest bearing

    14,590     21,507  

Interest bearing deposits at Federal Reserve Bank

    190,075     408,827  

Federal funds sold

    2,108     3,931  
           

Cash and cash equivalents

    252,749     495,353  

Investment securities available for sale, at fair value (including covered securities of $205,769 and $226,505)

    3,637,124     4,172,412  

Non-marketable equity securities

    152,066     133,060  

Loans held for sale

    194     2,129  

Loans (including covered loans of $1,483,888 and $1,864,375)

    9,053,609     5,571,739  

Allowance for loan and lease losses

    (69,725 )   (59,121 )
           

Loans, net

    8,983,884     5,512,618  

FDIC indemnification asset

    1,205,117     1,457,570  

Bank owned life insurance

    206,759     207,069  

Equipment under operating lease

    196,483     38,732  

Other real estate owned (including covered OREO of $39,672 and $76,022)

    40,570     76,022  

Deferred tax asset, net

    70,626     62,274  

Goodwill and other intangible assets

    69,067     69,768  

Other assets

    232,010     148,946  
           

Total assets

  $ 15,046,649   $ 12,375,953  
           
           

LIABILITIES AND STOCKHOLDERS' EQUITY

 

Liabilities:

   
 
   
 
 

Demand deposits:

             

Non-interest bearing

  $ 2,171,335   $ 1,312,779  

Interest bearing

    676,079     542,561  

Savings and money market

    4,402,987     4,042,022  

Time

    3,282,027     2,640,711  
           

Total deposits

    10,532,428     8,538,073  

Federal Home Loan Bank advances and other borrowings

    2,414,313     1,925,094  

Other liabilities

    171,210     106,106  
           

Total liabilities

    13,117,951     10,569,273  

Commitments and contingencies

   
 
   
 
 

Stockholders' equity:

   
 
   
 
 

Common stock, par value $0.01 per share, 400,000,000 shares authorized; 101,013,014 and 95,006,729 shares issued and outstanding

    1,010     950  

Preferred stock, par value $0.01 per share, 100,000,000 shares authorized; 5,415,794 shares of Series A issued and outstanding at December 31, 2012

        54  

Paid-in capital

    1,334,945     1,308,315  

Retained earnings

    535,263     413,385  

Accumulated other comprehensive income

    57,480     83,976  
           

Total stockholders' equity

    1,928,698     1,806,680  
           

Total liabilities and stockholders' equity

  $ 15,046,649   $ 12,375,953  
           
           

   

The accompanying notes are an integral part of these consolidated financial statements.

F-6


Table of Contents


BANKUNITED, INC. AND SUBSIDIARIES

CONSOLIDATED STATEMENTS OF INCOME

(In thousands, except per share data)

 
  Years Ended December 31,  
 
  2013   2012   2011  

Interest income:

                   

Loans

  $ 618,944   $ 584,727   $ 512,728  

Investment securities available for sale

    114,535     131,198     122,626  

Other

    5,342     4,931     2,743  
               

Total interest income

    738,821     720,856     638,097  
               

Interest expense:

                   

Deposits

    60,566     66,178     75,773  

Borrowings

    32,045     57,091     63,164  
               

Total interest expense

    92,611     123,269     138,937  
               

Net interest income before provision for (recovery of) loan losses

    646,210     597,587     499,160  

Provision for (recovery of) loan losses (including $(1,738), $(503) and $(7,692) for covered loans)

    31,964     18,896     13,828  
               

Net interest income after provision for (recovery of) loan losses

    614,246     578,691     485,332  
               

Non-interest income:

                   

(Amortization) accretion of FDIC indemnification asset

    (36,943 )   15,306     55,901  

Income from resolution of covered assets, net

    78,862     51,016     18,776  

Net gain (loss) on indemnification asset

    (50,638 )   (6,030 )   79,812  

FDIC reimbursement of costs of resolution of covered assets

    9,397     19,569     31,528  

Service charges and fees

    14,255     12,716     11,128  

Loss on sale of loans, net (including loss related to covered loans of $16,195, $29,270 and $70,366)

    (15,469 )   (28,657 )   (69,714 )

Gain on investment securities available for sale, net (including loss related to covered securities of $(963) for the year ended December 31, 2013)

    8,629     17,039     1,136  

Loss on extinguishment of debt

        (14,175 )    

Loss on termination of interest rate swap

        (8,701 )    

Mortgage insurance income

    2,061     9,772     16,904  

Other non-interest income

    20,952     21,392     17,746  
               

Total non-interest income

    31,106     89,247     163,217  
               

Non-interest expense:

                   

Employee compensation and benefits (including $110.4 million in equity based compensation recorded in conjunction with the IPO for 2011; see Note 15)

    173,763     173,261     272,991  

Occupancy and equipment

    63,766     54,465     36,680  

Impairment of other real estate owned

    1,939     9,926     24,569  

(Gain) loss on sale of other real estate owned

    (9,568 )   (4,164 )   23,576  

Foreclosure and other real estate owned expense

    10,442     20,268     31,977  

Deposit insurance expense

    7,648     7,248     8,480  

Professional fees

    21,934     15,468     17,330  

Telecommunications and data processing

    13,034     12,462     12,041  

Other non-interest expense

    44,392     34,139     28,161  
               

Total non-interest expense

    327,350     323,073     455,805  
               

Income before income taxes

    318,002     344,865     192,744  

Provision for income taxes

    109,066     133,605     129,576  
               

Net income

    208,936     211,260     63,168  

Preferred stock dividends

        3,899      
               

Net income available to common stockholders

  $ 208,936   $ 207,361   $ 63,168  
               
               

Earnings per common share, basic (see Note 2)

  $ 2.03   $ 2.05   $ 0.63  
               
               

Earnings per common share, diluted (see Note 2)

  $ 2.01   $ 2.05   $ 0.62  
               
               

Cash dividends declared per common share

  $ 0.84   $ 0.72   $ 0.56  
               
               

   

The accompanying notes are an integral part of these consolidated financial statements.

F-7


Table of Contents


BANKUNITED, INC. AND SUBSIDIARIES

CONSOLIDATED STATEMENTS OF COMPREHENSIVE INCOME

(In thousands)

 
  Years Ended December 31,  
 
  2013   2012   2011  

Net income

  $ 208,936   $ 211,260   $ 63,168  

Other comprehensive income (loss), net of tax:

                   

Unrealized gains on investment securities available for sale:

                   

Net unrealized holding gains (losses) arising during the year

    (39,546 )   68,893     (27 )

Reclassification adjustment for net securities gains realized in income

    (5,300 )   (10,466 )   (698 )
               

Net change in unrealized gains on securities available for sale

    (44,846 )   58,427     (725 )
               

Unrealized losses on derivative instruments:

                   

Net unrealized holding gains (losses) arising during the year

    4,942     (8,848 )   (24,882 )

Reclassification adjustment for net losses realized in income

    13,408     16,378     11,660  
               

Net change in unrealized losses on derivative instruments

    18,350     7,530     (13,222 )
               

Other comprehensive income (loss)

    (26,496 )   65,957     (13,947 )
               

Comprehensive income

  $ 182,440   $ 277,217   $ 49,221  
               
               

   

The accompanying notes are an integral part of these consolidated financial statements.

F-8


Table of Contents


BANKUNITED, INC. AND SUBSIDIARIES

CONSOLIDATED STATEMENTS OF CASH FLOWS

(In thousands)

 
  Years Ended December 31,  
 
  2013   2012   2011  

Cash flows from operating activities:

                   

Net income

  $ 208,936   $ 211,260   $ 63,168  

Adjustments to reconcile net income to net cash used in operating activities:

                   

Amortization and accretion, net

    (373,988 )   (476,185 )   (533,255 )

Provision for loan losses

    31,964     18,896     13,828  

Income from resolution of covered assets, net

    (78,862 )   (51,016 )   (18,776 )

Net (gain) loss on indemnification asset

    50,638     6,030     (79,812 )

Loss on sale of loans, net

    15,469     28,657     69,714  

Increase in cash surrender value of bank owned life insurance

    (2,472 )   (3,532 )   (3,891 )

Gain on investment securities available for sale, net

    (8,629 )   (17,039 )   (1,136 )

Loss on extinguishment of debt

        14,175      

(Gain) loss on sale of other real estate owned

    (9,568 )   (4,164 )   23,576  

Equity based compensation

    13,429     23,204     144,769  

Depreciation and amortization

    23,184     15,056     7,987  

Impairment of other real estate owned

    1,939     9,926     24,569  

Deferred income taxes

    8,237     (72,228 )   (15,109 )

Proceeds from sale of loans held for sale

    36,752     42,920     34,895  

Loans originated for sale, net of repayments

    (34,091 )   (39,735 )   (35,536 )

Realized tax benefits from dividend equivalents and equity based compensation

    (2,795 )   (1,612 )   (606 )

Gain on acquisition

        (5,288 )    

Other:

                   

(Increase) decrease in other assets

    (4,324 )   3,100     15,101  

Increase (decrease) in other liabilities

    57,074     (54,031 )   41,926  
               

Net cash used in operating activities

    (67,107 )   (351,606 )   (248,588 )
               

Cash flows from investing activities:

                   

Net cash paid in business combination

        (1,626 )    

Purchase of investment securities available for sale

    (1,095,477 )   (1,300,485 )   (2,074,483 )

Proceeds from repayments of investment securities available for sale           

    680,780     659,044     541,016  

Proceeds from sale of investment securities available for sale           

    874,876     835,745     217,069  

Maturities and calls of investment securities available for sale           

    5,751     78,623     61,565  

Purchase of non-marketable equity securities

    (40,137 )   (45,389 )    

Proceeds from redemption of non-marketable equity securities

    21,131     61,670     70,353  

Purchases of loans

    (1,141,808 )   (709,388 )   (384,171 )

Loan originations, repayments and resolutions, net

    (2,067,791 )   (204,530 )   170,147  

Proceeds from sale of loans, net

    116,611     103,796     75,782  

Decrease in FDIC indemnification asset for claims filed

    164,872     600,857     753,963  

Purchase of bank owned life insurance

            (50,000 )

Bank owned life insurance proceeds

    2,782     540     77,721  

Purchase of premises and equipment, net

    (22,079 )   (31,958 )   (42,595 )

Acquisition of equipment under operating lease

    (162,009 )   (39,154 )    

Proceeds from sale of other real estate owned

    111,165     193,255     347,756  

Other investing activities

    (55,651 )        
               

Net cash provided by (used in) investing activities

    (2,606,984 )   201,000     (235,877 )
               

   

The accompanying notes are an integral part of these consolidated financial statements.

F-9


Table of Contents


BANKUNITED, INC. AND SUBSIDIARIES

CONSOLIDATED STATEMENTS OF CASH FLOWS (Continued)

(In thousands)

 
  Years Ended December 31,  
 
  2013   2012   2011  

Cash flows from financing activities:

                   

Net increase in deposits

    1,994,404     738,332     207,972  

Additions to Federal Home Loan Bank advances and other borrowings

    2,625,000     2,612,969      

Repayments of Federal Home Loan Bank advances and other borrowings

    (2,137,882 )   (2,923,607 )   (286 )

Settlement of FDIC warrant liability

            (25,000 )

Issuance of common stock

            98,620  

Dividends paid

    (65,225 )   (89,021 )   (55,803 )

Realized tax benefits from dividend equivalents and equity based compensation

    2,795     1,612     606  

Exercise of stock options

    9,905     3,597     325  

Other financing activities

    2,490     (1,665 )   (3,001 )
               

Net cash provided by financing activities

    2,431,487     342,217     223,433  
               

Net increase (decrease) in cash and cash equivalents

    (242,604 )   191,611     (261,032 )

Cash and cash equivalents, beginning of period

    495,353     303,742     564,774  
               

Cash and cash equivalents, end of period

  $ 252,749   $ 495,353   $ 303,742  
               
               

Supplemental disclosure of cash flow information:

                   

Interest paid

  $ 93,735   $ 143,161   $ 164,960  
               
               

Income taxes paid

  $ 97,631   $ 257,960   $ 80,224  
               
               

Supplemental schedule of non-cash investing and financing activities:

                   

Transfers from loans to other real estate owned

  $ 68,084   $ 151,302   $ 312,958  
               
               

Transfers from loans held for sale to portfolio

  $   $ 4,023   $  
               
               

Assets received in satisfaction of loans

  $   $ 4,772   $  
               
               

Dividends declared, not paid

  $ 21,833   $   $ 14,930  
               
               

Reclassification of liability award to equity

  $ 507   $   $ 44,964  
               
               

Rescission of surrender of bank owned life insurance

  $   $   $ 20,846  
               
               

Equity consideration issued in business combination

  $   $ 39,861   $  
               
               

   

The accompanying notes are an integral part of these consolidated financial statements.

F-10


Table of Contents


BANKUNITED, INC. AND SUBSIDIARIES

CONSOLIDATED STATEMENTS OF STOCKHOLDERS' EQUITY

(In thousands, except share data)

 
  Common
Shares
Outstanding
  Common
Stock
  Preferred
Shares
Outstanding
  Preferred
Stock
  Paid-in
Capital
  Retained
Earnings
  Accumulated
Other
Comprehensive
Income
  Total
Stockholders'
Equity
 

Balance at December 31, 2010

    92,971,850   $ 930       $   $ 950,831   $ 269,781   $ 31,966   $ 1,253,508  

Comprehensive income

                        63,168     (13,947 )   49,221  

Proceeds from issuance of common stock net of direct costs of $3,979

    4,000,000     42             98,578             98,620  

Dividends

                        (56,733 )       (56,733 )

Reclassification of PIU liability to equity

                    44,964             44,964  

Equity based compensation

    706,230     5             144,764             144,769  

Forfeiture of unvested shares

    (8,280 )                            

Exercise of stock options

    31,029                 325             325  

Tax benefits from dividend equivalents and equity based compensation

                    606             606  
                                   

Balance at December 31, 2011

    97,700,829     977             1,240,068     276,216     18,019     1,535,280  

Comprehensive income

                        211,260     65,957     277,217  

Exchange of common shares for preferred shares

    (5,415,794 )   (54 )   5,415,794     54                  

Equity consideration issued in business combination

    1,676,060     17             39,844             39,861  

Dividends

                        (74,091 )       (74,091 )

Equity based compensation

    885,143     8             23,196             23,204  

Forfeiture of unvested shares

    (90,629 )   (1 )           1              

Exercise of stock options

    251,120     3             3,594             3,597  

Tax benefits from dividend equivalents and equity based compensation

                    1,612             1,612  
                                   

Balance at December 31, 2012

    95,006,729     950     5,415,794     54     1,308,315     413,385     83,976     1,806,680  

Comprehensive income

                        208,936     (26,496 )   182,440  

Conversion of preferred shares to common shares

    5,415,794     54     (5,415,794 )   (54 )                

Dividends

                          (87,058 )       (87,058 )

Equity based compensation

    109,585     1             13,935             13,936  

Forfeiture of unvested shares

    (58,682 )                                      

Exercise of stock options

    539,588     5             9,900             9,905  

Tax benefits from dividend equivalents and equity based compensation

                    2,795             2,795  
                                   

Balance at December 31, 2013

    101,013,014   $ 1,010       $   $ 1,334,945   $ 535,263   $ 57,480   $ 1,928,698  
                                   
                                   

   

The accompanying notes are an integral part of these consolidated financial statements.

F-11


Table of Contents


BANKUNITED, INC. AND SUBSIDIARIES

NOTES TO CONSOLIDATED FINANCIAL STATEMENTS

December 31, 2013

Note 1 Basis of Presentation and Summary of Significant Accounting Policies

        BankUnited, Inc. ("BankUnited, Inc." or "BKU"), is a national bank holding company with one wholly-owned subsidiary, BankUnited, National Association ("BankUnited" or the "Bank"), collectively, the Company. BankUnited, a national banking association headquartered in Miami Lakes, Florida, provides a full range of banking and related services to individual and corporate customers through 99 branches located in 15 Florida counties and 6 banking centers located in the New York metropolitan area at December 31, 2013.

        On February 29, 2012, BKU completed the acquisition of Herald National Bank ("Herald"), a national banking association located in the New York metropolitan area. In March 2013, Herald was merged into BankUnited.

        On May 21, 2009, BankUnited acquired substantially all of the assets and assumed all of the non-brokered deposits and substantially all of the other liabilities of BankUnited, FSB from the Federal Deposit Insurance Corporation ("FDIC") in a transaction referred to as the "FSB Acquisition." Neither the Company nor the Bank had any substantive operations prior to May 21, 2009. In connection with the FSB Acquisition, BankUnited entered into two loss sharing agreements with the FDIC ("The Loss Sharing Agreements"). The Loss Sharing Agreements consist of a single family shared-loss agreement (the "Single Family Shared-Loss Agreement"), and a commercial and other loans shared-loss agreement, (the "Commercial Shared-Loss Agreement"). The Single Family Shared-Loss Agreement provides for FDIC loss sharing and the Bank's reimbursement for recoveries to the FDIC through May 21, 2019 for single family residential loans and other real estate owned ("OREO"). The Commercial Shared-Loss Agreement provides for FDIC loss sharing through May 21, 2014 and the Bank's reimbursement for recoveries to the FDIC through May 21, 2017 for all other covered assets, including commercial real estate, commercial and industrial and consumer loans, certain investment securities and commercial OREO. The assets covered under the Loss Sharing Agreements are collectively referred to as the "covered assets." Pursuant to the terms of the Loss Sharing Agreements, the covered assets are subject to a stated loss threshold whereby the FDIC will reimburse BankUnited for 80% of losses related to the covered assets up to $4.0 billion and 95% of losses in excess of this amount, beginning with the first dollar of loss incurred.

        Under the terms of the Commercial Shared-Loss Agreement, if the Bank seeks to sell commercial loans in the nine months prior to May 21, 2014 and the FDIC does not consent to the sale, then the Commercial Shared-Loss Agreement will be extended for two years until May 21, 2016 with respect to the loans to be included in such sale. The Bank will have the right to sell all or any portion of such loans without FDIC consent at any time within the nine months prior to the extended termination date, and any losses incurred will be covered under the Commercial Shared-Loss Agreement.

        Prior to the initial public offering ("IPO") of BKU's common stock in February 2011, BankUnited, Inc. was a wholly-owned subsidiary of BU Financial Holdings, LLC ("BUFH"). Immediately prior to the completion of the IPO, a reorganization was effected in accordance with BUFH's LLC agreement, pursuant to which all equity interests in BankUnited, Inc. were distributed to the members of BUFH and BUFH was liquidated.

        The consolidated financial statements have been prepared in accordance with U.S. generally accepted accounting principles ("GAAP") and prevailing practices in the banking industry.

        The Company has a single reportable segment, community banking.

F-12


Table of Contents


BANKUNITED, INC. AND SUBSIDIARIES

NOTES TO CONSOLIDATED FINANCIAL STATEMENTS (Continued)

December 31, 2013

Note 1 Basis of Presentation and Summary of Significant Accounting Policies (Continued)

    Accounting Estimates

        In preparing the consolidated financial statements, management is required to make estimates and assumptions that affect the reported amounts of assets, liabilities, revenues, and expenses and disclosures of contingent assets and liabilities. Actual results could differ significantly from these estimates.

        Significant estimates include the allowance for loan and lease losses, the amount and timing of expected cash flows from covered assets and the FDIC indemnification asset, the fair values of investment securities and other financial instruments and the valuation of OREO. Management has used information provided by third party valuation specialists to assist in the determination of the fair values of investment securities and OREO.

        Significant estimates were also made in the determination of the fair values of assets acquired and liabilities assumed in the FSB Acquisition, including loans acquired with evidence of deterioration in credit quality since origination, the FDIC indemnification asset, investment securities, OREO and goodwill.

    Principles of Consolidation

        The consolidated financial statements include the accounts of BankUnited, Inc., its wholly-owned subsidiary and BankUnited Investment Services, Inc. ("BUIS"). BUIS was a Florida insurance agency providing wealth management and financial planning services. The operations of BUIS were discontinued in May 2013 and were not significant to the consolidated results of operations or financial position of the Company for any period presented. All significant intercompany balances and transactions have been eliminated in consolidation.

    Fair Value Measurements

        Certain of the Company's assets and liabilities are reflected in the financial statements at fair value on either a recurring or non-recurring basis. Investment securities available for sale and derivative instruments are measured at fair value on a recurring basis. Assets measured at fair value or fair value less cost to sell on a non-recurring basis may include collateral dependent impaired loans, OREO, loans held for sale, goodwill, mortgage servicing rights and assets acquired and liabilities assumed in business combinations. These non-recurring fair value measurements typically involve the application of acquisition accounting, lower-of-cost-or-market accounting or the measurement of impairment of certain assets.

        Fair value is defined as the exchange price that would be received for an asset or paid to transfer a liability in the principal or most advantageous market for the asset or liability in an orderly transaction between market participants at the measurement date. GAAP establishes a hierarchy that prioritizes inputs used to determine fair value measurements into three levels based on the observability and transparency of the inputs:

            Level 1 inputs are unadjusted quoted prices in active markets that are accessible at the measurement date for identical assets or liabilities. Estimated fair values of U. S. Treasury

F-13


Table of Contents


BANKUNITED, INC. AND SUBSIDIARIES

NOTES TO CONSOLIDATED FINANCIAL STATEMENTS (Continued)

December 31, 2013

Note 1 Basis of Presentation and Summary of Significant Accounting Policies (Continued)

    securities, certain preferred stocks and mutual fund investments are generally based on level 1 inputs.

            Level 2 inputs are observable inputs other than level 1 inputs, including quoted prices for similar assets and liabilities, quoted prices for identical assets and liabilities in less active markets and other inputs that can be corroborated by observable market data. Estimated fair values of U. S. Government agency and sponsored enterprise securities, certain private label mortgage-backed and non-mortgage asset-backed securities, collateralized loan obligations, certain preferred stocks, state and municipal obligations, certain other debt securities and most derivatives are generally based on level 2 inputs.

            Level 3 inputs are unobservable inputs supported by limited or no market activity or data and inputs requiring significant management judgment or estimation. Estimated fair values of certain private label mortgage-backed securities, certain other debt securities, OREO and collateral dependent impaired loans may be based on level 3 inputs. Valuation techniques utilizing level 3 inputs include option pricing models, discounted cash flow models and similar techniques.

        The fair value hierarchy requires the Company to maximize the use of observable inputs and minimize the use of unobservable inputs in estimating fair value. Unobservable inputs are utilized in determining fair value measurements only to the extent that observable inputs are unavailable. The need to use unobservable inputs generally results from a lack of market liquidity and diminished observability of actual trades or assumptions that would otherwise be available to value a particular asset or liability.

        Transfers between levels of the fair value hierarchy are recorded as of the end of the reporting period.

    Cash and Cash Equivalents

        Cash and cash equivalents include cash and due from banks, both interest bearing and non-interest bearing, amounts on deposit at the Federal Reserve Bank and federal funds sold. Cash equivalents have original maturities of three months or less.

    Investment Securities Available for Sale

        Debt securities that the Company may not have the intent to hold to maturity and marketable equity securities are classified as available for sale at the time of acquisition and carried at fair value with unrealized gains and losses, net of tax, excluded from earnings and reported in accumulated other comprehensive income ("AOCI"), a separate component of stockholders' equity. Securities classified as available for sale may be used as part of the Company's asset/liability management strategy and may be sold in response to liquidity needs, regulatory changes or changes in interest rates, prepayment risk or other market factors. Currently, all of the Company's investment securities are classified as available for sale. The Company does not maintain a trading or held to maturity portfolio. Purchase premiums and discounts on debt securities are amortized as adjustments to yield over the expected lives of the securities using the level yield method. Realized gains and losses from sales of securities are recorded on the trade date and are determined using the specific identification method.

F-14


Table of Contents


BANKUNITED, INC. AND SUBSIDIARIES

NOTES TO CONSOLIDATED FINANCIAL STATEMENTS (Continued)

December 31, 2013

Note 1 Basis of Presentation and Summary of Significant Accounting Policies (Continued)

        The Company reviews investment securities available for sale for other-than-temporary impairment ("OTTI") on a quarterly basis or more frequently if events and circumstances indicate that a potential impairment may have occurred. An investment security is impaired if its fair value is lower than its amortized cost basis. The Company considers many factors in determining whether a decline in fair value below amortized cost represents OTTI, including, but not limited to:

    the Company's intent to hold the security until maturity or for a period of time sufficient for a recovery in value;

    whether it is more likely than not that the Company will be required to sell the security prior to recovery of its amortized cost basis;

    the length of time and extent to which fair value has been less than amortized cost;

    adverse changes in expected cash flows;

    collateral values and performance;

    the payment structure of the security including levels of subordination or over-collateralization;

    changes in the economic or regulatory environment;

    the general market condition of the geographic area or industry of the issuer;

    the issuer's financial condition, performance and business prospects; and

    changes in credit ratings.

        The relative importance assigned to each of these factors varies depending on the facts and circumstances pertinent to the individual security being evaluated.

        The Company recognizes OTTI of a debt security for which there has been a decline in fair value below amortized cost if (i) management intends to sell the security, (ii) it is more likely than not that the Company will be required to sell the security before recovery of its amortized cost basis, or (iii) the Company does not expect to recover the entire amortized cost basis of the security. The amount by which amortized cost exceeds the fair value of a debt security that is considered to be other-than-temporarily impaired is separated into a component representing the credit loss, which is recognized in earnings, and a component related to all other factors, which is recognized in other comprehensive income. The measurement of the credit loss component is equal to the difference between the debt security's amortized cost basis and the present value of its expected future cash flows discounted at the security's effective yield. If the Company intends to sell the security, or if it is more likely than not it will be required to sell the security before recovery, an OTTI write-down is recognized in earnings equal to the entire difference between the amortized cost basis and fair value of the security.

        The evaluation of OTTI of marketable equity securities focuses on whether evidence supports recovery of the unrealized loss within a timeframe consistent with temporary impairment. The entire amount by which cost basis exceeds the fair value of an equity security that is considered to be other-than-temporarily impaired is recognized in earnings.

F-15


Table of Contents


BANKUNITED, INC. AND SUBSIDIARIES

NOTES TO CONSOLIDATED FINANCIAL STATEMENTS (Continued)

December 31, 2013

Note 1 Basis of Presentation and Summary of Significant Accounting Policies (Continued)

    Federal Reserve Bank Stock

        The Bank, as a member of the Federal Reserve Bank ("FRB") system, is required to maintain an investment in the stock of the FRB. No market exists for this stock, and the investment can be liquidated only through redemption by the FRB, at the discretion of and subject to conditions imposed by the FRB. The stock has no readily determinable fair value and is carried at cost.

    Federal Home Loan Bank Stock

        The Bank, as a member of the Federal Home Loan Bank ("FHLB") system, is required to maintain an investment in the stock of the FHLB. No market exists for this stock, and the investment can be liquidated only through redemption by the FHLB, at the discretion of and subject to conditions imposed by the FHLB. The stock has no readily determinable fair value and is carried at cost. Historically, FHLB stock redemptions have been at par value, which equals the Company's carrying value. The Company monitors its investment in FHLB stock for impairment through review of recent financial results of the FHLB, including capital adequacy and liquidity position, dividend payment history, redemption history and information from credit agencies. The Company has not identified any indicators of impairment of FHLB stock.

    Loans Held for Sale

        Mortgage loans originated with the intent to sell in the secondary market are carried at the lower of cost or fair value, determined in the aggregate. These loans are generally sold on a non-recourse basis with servicing released. Gains and losses on the sale of loans recognized in earnings are measured based on the difference between proceeds received and the carrying amount of the loans, inclusive of deferred origination fees and costs, if any.

        Loans not originated for sale in the secondary market and not otherwise acquired with the intent to sell are transferred into the held for sale classification at the lower of carrying amount or fair value when they are specifically identified as being available for sale and a formal plan exists to sell them. Acquired credit impaired loans accounted for in pools are removed from the pools at their carrying amounts when they are sold.

    Loans

        The Company's loan portfolio contains 1-4 single family residential first mortgages, home equity loans and lines of credit, multi-family, commercial real estate, construction and land, commercial and industrial and consumer loans and small business, equipment and municipal direct financing leases. A portion of the Company's loan portfolio consists of loans acquired from the FDIC in the FSB Acquisition, the substantial majority of which are covered under the Loss Sharing Agreements. These loans are referred to as covered loans. The Company segregates its loan portfolio between covered and non-covered loans. Non-covered loans are primarily those originated or purchased since the FSB Acquisition ("new loans"). Loans acquired in the FSB Acquisition are further segregated between those acquired with evidence of deterioration in credit quality since origination (Acquired Credit Impaired or "ACI" loans) and those acquired without evidence of deterioration in credit quality since origination ("non-ACI" loans).

F-16


Table of Contents


BANKUNITED, INC. AND SUBSIDIARIES

NOTES TO CONSOLIDATED FINANCIAL STATEMENTS (Continued)

December 31, 2013

Note 1 Basis of Presentation and Summary of Significant Accounting Policies (Continued)

    New Loans

        New loans are those originated or purchased by the Company since the FSB Acquisition. New loans are carried at the unpaid principal balance ("UPB"), net of premiums, discounts, unearned income, deferred loan origination fees and costs, and the allowance for loan and lease losses.

        Interest income on new loans is accrued based on the principal amount outstanding. Non-refundable loan origination fees, net of direct costs of originating or acquiring loans, as well as purchase premiums and discounts, are deferred and recognized as adjustments to yield over the contractual lives of the related loans using the level yield method.

    Direct Financing Leases

        Direct financing leases are carried at the aggregate of lease payments receivable and estimated residual value of the leased property, if applicable, less unearned income. Interest income on direct financing leases is recognized over the term of the leases to achieve a constant periodic rate of return on the outstanding investment. Initial direct costs are deferred and amortized over the lease term as a reduction to interest income using the effective interest method.

    ACI Loans

        ACI loans are those for which, at acquisition, management determined it probable that the Company would be unable to collect all contractual principal and interest payments due. These loans were recorded at estimated fair value at the time of the FSB Acquisition, measured as the present value of all cash flows expected to be received, discounted at an appropriately risk-weighted discount rate. Initial cash flow expectations incorporated significant assumptions regarding prepayment rates, frequency of default and loss severity.

        The difference between total contractually required payments on ACI loans and the cash flows expected to be received represents non-accretable difference. The excess of all cash flows expected to be received over the Company's recorded investment in the loans represents accretable yield and is recognized as interest income on a level-yield basis over the expected life of the loans.

        The Company aggregated ACI 1-4 single family residential mortgage loans and home equity loans and lines of credit with similar risk characteristics into homogenous pools at acquisition. A composite interest rate and composite expectations of future cash flows are used in accounting for each pool. These loans were aggregated into pools based on the following characteristics:

    delinquency status;

    product type, in particular, amortizing as opposed to option adjustable rate mortgages ("ARMs");

    loan-to-value ratio; and

    borrower FICO score.

        Loans that do not have similar risk characteristics, primarily commercial and commercial real estate loans, are accounted for on an individual loan basis using interest rates and expectations of cash flows for each loan.

F-17


Table of Contents


BANKUNITED, INC. AND SUBSIDIARIES

NOTES TO CONSOLIDATED FINANCIAL STATEMENTS (Continued)

December 31, 2013

Note 1 Basis of Presentation and Summary of Significant Accounting Policies (Continued)

        The Company is required to develop reasonable expectations about the timing and amount of cash flows to be collected related to ACI loans and to continue to update those estimates over the lives of the loans. Expected cash flows from ACI loans are updated quarterly. If it is probable that the Company will be unable to collect all the cash flows expected from a loan or pool at acquisition plus additional cash flows expected to be collected arising from changes in estimates after acquisition, the loan or pool is considered impaired and a valuation allowance is established by a charge to the provision for loan losses. If there is a significant increase in expected cash flows from a loan or pool, the Company first reduces any valuation allowance previously established by the amount of the increase in the present value of expected cash flows, and then recalculates the amount of accretable yield for that loan or pool. The adjustment of accretable yield due to an increase in expected cash flows, as well as changes in expected cash flows due to changes in interest rate indices and changes in prepayment assumptions is accounted for prospectively as a change in yield. Additional cash flows expected to be collected are transferred from non-accretable difference to accretable yield and the amount of periodic accretion is adjusted accordingly over the remaining life of the loan or pool.

        The Company may resolve an ACI loan either through a sale of the loan, by working with the customer and obtaining partial or full repayment, by short sale of the collateral, or by foreclosure. When a loan accounted for in a pool is resolved, it is removed from the pool at its carrying amount. In the event of a sale of the loan, the Company recognizes a gain or loss on sale based on the difference between the sales proceeds and the carrying amount of the loan. For loans resolved through pre-payment or short sale of the collateral, the Company recognizes the difference between the amount of the payment received and the carrying amount of the loan in the income statement line item "Income from resolution of covered assets, net". For loans resolved through foreclosure, the difference between the fair value of the collateral obtained through foreclosure less estimated cost to sell and the carrying amount of the loan is recognized in the income statement line item "Income from resolution of covered assets, net". Any remaining accretable discount related to loans not accounted for in pools that are resolved by full or partial pre-payment, short sale or foreclosure is recognized in interest income at the time of resolution, to the extent collected. Accretable discount represents the cumulative undiscounted difference between the contractual interest on the loan and the interest recognized based on the accretion rate.

        Payments received earlier than expected or in excess of expected cash flows from sales or other resolutions may result in the carrying value of a pool being reduced to zero even though outstanding contractual balances and expected cash flows remain related to loans in the pool. Once the carrying value of a pool is reduced to zero, any future proceeds, which may include cash or real estate acquired in foreclosure, from the remaining loans, representing further realization of accretable yield, are recognized as interest income upon receipt. As of December 31, 2013, the portfolio included one pool whose carrying value had been reduced to zero.

    Non-ACI Loans

        Loans acquired without evidence of deterioration in credit quality since origination were initially recorded at estimated fair value on the acquisition date. Non-ACI 1-4 single family residential mortgage loans and home equity loans and lines of credit with similar risk characteristics were aggregated into pools for accounting purposes at acquisition. Loans that do not have similar risk characteristics, primarily commercial and commercial real estate loans, are accounted for on an individual loan basis.

F-18


Table of Contents


BANKUNITED, INC. AND SUBSIDIARIES

NOTES TO CONSOLIDATED FINANCIAL STATEMENTS (Continued)

December 31, 2013

Note 1 Basis of Presentation and Summary of Significant Accounting Policies (Continued)

These loans are carried at the principal amount outstanding, adjusted for unamortized acquisition date fair value adjustments and the allowance for loan losses. Interest income is accrued based on the UPB and acquisition date fair value adjustments are amortized using the level-yield method over the expected lives of the related loans. For non-ACI 1-4 family residential mortgage loans accounted for in pools, prepayment estimates are used in determining the periodic amortization of acquisition date fair value adjustments using the effective yield method. Acquisition date fair value adjustments related to revolving home equity loans and lines of credit are recognized on a straight-line basis.

    Non-accrual Loans

        New and non-ACI commercial loans are placed on non-accrual status when (i) management has determined that full repayment of all contractual principal and interest is in doubt, or (ii) the loan is past due 90 days or more as to principal or interest unless the loan is well secured and in the process of collection. New and non-ACI residential and consumer loans are generally placed on non-accrual status when 90 days of interest is due and unpaid. When a loan is placed on non-accrual status, uncollected interest accrued is reversed and charged to interest income. Commercial loans are returned to accrual status only after all past due principal and interest has been collected and full repayment of remaining contractual principal and interest is reasonably assured. Residential and consumer loans are returned to accrual status when there is no longer 90 days of interest due and unpaid. When a residential or consumer loan is returned to accrual status, interest accrued at the date the loan was placed on non-accrual status along with interest foregone during the non-accrual period are recognized as interest income. Past due status of loans is determined based on the contractual next payment due date. Loans less than 30 days past due are reported as current.

        Contractually delinquent ACI loans are not classified as non-accrual as long as discount continues to be accreted on the loans or pools.

    Impaired Loans

        An ACI pool or loan is considered to be impaired when it is probable that the Company will be unable to collect all the cash flows expected at acquisition, plus additional cash flows expected to be collected arising from changes in estimates after acquisition. 1-4 single family residential and home equity ACI loans accounted for in pools are evaluated collectively for impairment on a pool by pool basis based on expected pool cash flows. Commercial ACI loans are individually evaluated for impairment based on expected cash flows from the individual loans. Discount continues to be accreted on ACI loans or pools as long as there are expected future cash flows in excess of the current carrying amount of the loans or pools.

        New and non-ACI loans are considered impaired when, based on current information and events, it is probable that the Company will be unable to collect the scheduled payments of principal or interest when due, according to the contractual terms of the loan agreements. Commercial relationships with committed balances greater than or equal to $750,000 that have internal risk ratings of substandard or doubtful and are on non-accrual status are individually evaluated for impairment. The likelihood of loss related to loans assigned internal risk ratings of substandard or doubtful is considered elevated due to their identified credit weaknesses. Loans with well-defined credit weaknesses that may result in a loss if the identified deficiencies are not corrected are assigned an internal risk rating of

F-19


Table of Contents


BANKUNITED, INC. AND SUBSIDIARIES

NOTES TO CONSOLIDATED FINANCIAL STATEMENTS (Continued)

December 31, 2013

Note 1 Basis of Presentation and Summary of Significant Accounting Policies (Continued)

substandard. Loans in this category may exhibit payment defaults, insufficient cash flows, operating losses, increasing balance sheet leverage, project cost overruns, unreasonable construction delays, exhausted interest reserves or declining collateral values. A loan with a weakness so severe that collection in full is highly questionable or improbable, but because of certain reasonably specific pending factors charge-off is not yet appropriate, will be assigned an internal risk rating of doubtful. Factors considered by management in evaluating impairment include payment status, financial condition of the borrower, collateral value, and other factors impacting the probability of collecting scheduled principal and interest payments when due.

    Troubled Debt Restructurings

        In certain situations due to economic or legal reasons related to a borrower's financial difficulties, the Company may grant a concession to the borrower for other than an insignificant period of time that it would not otherwise consider. At that time, except for ACI loans accounted for in pools, the related loan is classified as a troubled-debt restructuring ("TDR") and considered impaired. The concessions granted may include rate reductions, principal forgiveness, payment forbearance, extensions of maturity at rates of interest below that commensurate with the risk profile of the loans, modification of payment terms and other actions intended to minimize economic loss. A troubled-debt restructured loan is generally placed on non-accrual status at the time of the modification unless the borrower has no history of missed payments for six months prior to the restructuring. If the borrower performs pursuant to the modified loan terms for at least six months and the remaining loan balance is considered collectible, the loan is returned to accrual status. Modified ACI loans accounted for in pools are not accounted for as TDRs, are not separated from the pools and are not classified as impaired loans.

    Allowance for Loan and Lease Losses

        The allowance for loan and lease losses ("ALLL") represents the amount considered adequate by management to absorb probable losses inherent in the loan portfolio at the balance sheet date. The ALLL relates to (i) new loans, (ii) estimated additional losses arising on non-ACI loans subsequent to the FSB Acquisition and (iii) additional impairment recognized as a result of decreases in expected cash flows on ACI loans due to further credit deterioration since acquisition. The ALLL consists of both specific and general components. The ALLL is established as losses are estimated to have occurred through a provision charged to earnings. Individual loans are charged off against the ALLL when management determines them to be uncollectible.

        An assessment of collateral value is made at no later than 120 days delinquency for new open- and closed-end loans secured by residential real estate and any outstanding loan balance in excess of fair value less cost to sell is charged off at no later than 180 days delinquency. Additionally, any outstanding balance in excess of fair value of collateral less cost to sell is charged off (i) within 60 days of receipt of notification of filing from the bankruptcy court, (ii) within 60 days of determination of loss if all borrowers are deceased or (iii) within 90 days of discovery of fraudulent activity. Non-ACI loans secured by residential real estate are generally charged off at final resolution which is consistent with the terms of the Single Family Shared Loss Agreement. Consumer loans are typically charged off at 120 days delinquency. Commercial loans are charged off when management deems them to be uncollectible. Subsequent recoveries are credited to the ALLL.

F-20


Table of Contents


BANKUNITED, INC. AND SUBSIDIARIES

NOTES TO CONSOLIDATED FINANCIAL STATEMENTS (Continued)

December 31, 2013

Note 1 Basis of Presentation and Summary of Significant Accounting Policies (Continued)

    New and Non-ACI Loans

        The new residential and home equity portfolio segments have not yet developed an observable loss trend. Due to several factors, there is a lack of similarity between the risk characteristics of new loans and covered loans in the residential and home equity portfolios. Those factors include elimination of wholesale origination channels, elimination of Alt-A and no document loans, enhancements to real estate appraisal policies, elimination of option ARMs and tightening of underwriting policies. Therefore, management does not believe it is appropriate to use the historical performance of the covered loans as a basis for calculating the ALLL applicable to the new loans. The ALLL for new 1-4 single family residential loans is based on one year loss rates on prime residential mortgage securitizations issued between 2003 and 2008. Loans included in these securitizations have credit characteristics, such as loan-to-value ("LTV") and FICO scores, considered by management to be comparable to characteristics of loans in the new 1-4 single family residential portfolio. The ALLL for new home equity loans is based on peer group average historical loss rates as described further below.

        Calculated loss frequency and severity percentages are applied to the dollar value of non-ACI 1-4 single family residential mortgages and home equity loans and lines of credit to calculate the ALLL. Based on an analysis of historical portfolio performance, OREO and short sale data and other internal and external factors, management has concluded that historical performance by portfolio class is the best indicator of incurred loss for the non-ACI 1-4 single family residential and home equity portfolio classes. For each of these portfolio classes, a quarterly roll rate matrix is used to measure the rate at which loans move from one delinquency bucket to the next during a given quarter. An average four quarter roll rate matrix is used to estimate the amount within each delinquency bucket expected to roll to 120+ days delinquent. Loss severity given default is estimated based on internal data about short sales and OREO sales for the most recent twelve months. The ALLL calculation incorporates a 100% loss severity assumption for home equity loans and lines of credit projected to roll to 120 days delinquency.

        The credit quality of loans in the residential portfolio segment may be impacted by fluctuations in home values, unemployment, general economic conditions, borrowers' financial circumstances and fluctuations in interest rates.

        The new and non-ACI commercial loan portfolios have limited delinquency history and have not exhibited an observable loss trend. The credit quality of loans in this portfolio segment is impacted by general economic conditions and other factors that may influence debt service coverage generated by the borrowers' businesses as well as fluctuations in the value of real estate and other collateral. For loans evaluated individually for impairment and determined to be impaired, a specific allowance is established based on the present value of expected cash flows discounted at the loan's effective interest rate, the estimated fair value of the loan, or for collateral dependent loans, the estimated fair value of collateral less costs to sell. Loans not individually determined to be impaired are grouped based on common risk characteristics. The ALLL for these portfolio segments is based primarily on the Bank's internal credit risk rating system and peer group average historical loss rates. The ALLL for municipal lease receivables is based on historical loss experience of a portfolio of similar loans.

F-21


Table of Contents


BANKUNITED, INC. AND SUBSIDIARIES

NOTES TO CONSOLIDATED FINANCIAL STATEMENTS (Continued)

December 31, 2013

Note 1 Basis of Presentation and Summary of Significant Accounting Policies (Continued)

        The peer groups used to calculate average historical loss rates consist of banks determined by management to be comparable to BankUnited based primarily on geographic location and asset size. A peer group of banks in the Southeast region of the U.S. is used for loans originated in the Florida market and a peer group of banks in the U.S. New York region is used for loans originated in the New York market. An eight quarter average of peer group historical loss rates as published by the FDIC is used.

        Qualitative adjustments are made to the ALLL when, based on management's judgment and experience, there are internal or external factors impacting loss frequency and severity not taken into account by the quantitative calculations. Management has categorized potential qualitative adjustments into the following categories:

    Portfolio performance trends, including levels of delinquencies and non-performing loans;

    Portfolio growth rates;

    Exceptions to policy and credit guidelines;

    Changes in credit administration management and staff;

    Economic factors, including changes in and levels of real estate price indices, unemployment rates and GDP; and

    Credit concentrations.

    ACI Loans

        A specific valuation allowance related to an ACI loan or pool is established when quarterly evaluations of expected cash flows indicate it is probable that the Company will be unable to collect all of the cash flows expected at acquisition plus any additional cash flows expected to be collected arising from changes in estimate after acquisition. The amount of any necessary valuation allowance is measured by comparing the carrying value of the loan or pool to the updated net present value of expected cash flows for the loan or pool. In calculating the present value of expected cash flows for this purpose, changes in cash flows related to credit related factors are isolated from those related to changes in interest rate indices or prepayment assumptions. Alternatively, an improvement in the expected cash flows related to ACI loans results in a reduction of any previously established specific allowance with a corresponding credit to the provision for loan losses. A charge-off is taken for an individual ACI commercial loan when it is deemed probable that the loan will be resolved for an amount less than its carrying value.

        Expected cash flows are estimated on a pool basis for ACI 1-4 single family residential and home equity loans. The analysis of expected pool cash flows incorporates updated pool level expected prepayment rate, default rate, delinquency level and loss severity given default assumptions. Prepayment, delinquency and default curves are derived primarily from roll rates generated from the historical performance of the portfolio over the immediately preceding four quarters. Loss severity given default is also generated from the historical performance of the portfolio over the immediately preceding four quarters. Estimates of default probability also incorporate updated LTV ratios, at the loan level, based on Case-Shiller Home Price Indices for the relevant Metropolitan Statistical Area

F-22


Table of Contents


BANKUNITED, INC. AND SUBSIDIARIES

NOTES TO CONSOLIDATED FINANCIAL STATEMENTS (Continued)

December 31, 2013

Note 1 Basis of Presentation and Summary of Significant Accounting Policies (Continued)

("MSA"). Costs and fees represent an additional component of loss on default and are projected using the "Making Home Affordable" cost factors provided by the Federal government.

        The primary assumptions underlying estimates of expected cash flows for commercial ACI loans are default probability and severity of loss given default. Generally, for commercial relationships with risk ratings of substandard or doubtful and committed balances greater than or equal to $750,000, updated cash flow assumptions are based primarily on net realizable value analyses prepared at the individual loan level. These analyses incorporate information about loan performance, collateral values, the financial condition of the borrower and other available information that may impact sources of repayment. Updated assumptions for smaller balance commercial loans are based on a combination of internal risk ratings, the Company's own historical delinquency and default severity data and industry level delinquency data. Cash flow estimates for consumer loans are based primarily on regularly updated historical performance information.

    FDIC Indemnification Asset

        The FDIC indemnification asset was initially recorded at the time of the FSB Acquisition at fair value, measured as the present value of the estimated cash payments expected from the FDIC for probable losses on covered assets. Covered assets consist of loans, OREO and certain investment securities acquired from the FDIC. The FDIC indemnification asset is measured separately from the related covered assets. It is not contractually embedded in the covered assets and it is not transferrable with the covered assets should the Company choose to dispose of them. The discount rate used to estimate the initial fair value of the FDIC indemnification asset was determined using a risk-free yield curve adjusted for a premium reflecting the uncertainty related to the collection, amount and timing of the cash flows as well as illiquidity of the asset.

        The discount resulting from recording the FDIC indemnification asset at present value is accreted to non-interest income using the effective interest method over the period during which cash flows from the FDIC are expected to be collected, which is limited to the lesser of the contractual term of the indemnification agreement and the remaining life of the indemnified assets. Impairment of expected cash flows from covered assets results in an increase in cash flows expected to be collected from the FDIC. These increased expected cash flows from the FDIC are recognized as increases in the FDIC indemnification asset and as non-interest income in the same period that the impairment of the covered assets is recognized in earnings. Increases in expected cash flows from covered assets result in decreases in cash flows expected to be collected from the FDIC. These decreases in expected cash flows from the FDIC are recognized immediately in earnings to the extent that they relate to a reversal of a previously recorded valuation allowance related to the covered assets. Any remaining decreases in cash flows expected to be collected from the FDIC are recognized prospectively through an adjustment of the rate of accretion or amortization on the FDIC indemnification asset, consistent with the approach taken to recognize increases in expected cash flows on the covered assets. Amortization of the FDIC indemnification asset results from circumstances in which, due to improvement in expected cash flows from the covered assets, expected cash flows from the FDIC are less than the carrying value of the FDIC indemnification asset.

        Gains and losses from resolution of ACI loans are included in the income statement line item "Income from resolution of covered assets, net." These gains and losses represent the difference

F-23


Table of Contents


BANKUNITED, INC. AND SUBSIDIARIES

NOTES TO CONSOLIDATED FINANCIAL STATEMENTS (Continued)

December 31, 2013

Note 1 Basis of Presentation and Summary of Significant Accounting Policies (Continued)

between the expected losses from ACI loans and consideration actually received in satisfaction of such loans that were resolved either by payment in full, foreclosure, short sale or, for the non-residential portfolio, charge-offs. The Company may also realize gains or losses on the sale of covered loans, the sale or impairment of covered investment securities or the sale or impairment of covered OREO. When the Company recognizes gains or losses related to the resolution, sale or impairment of covered assets in earnings, corresponding changes in the estimated amount recoverable from the FDIC under the Loss Sharing Agreements are reflected in the consolidated financial statements as increases or decreases in the FDIC indemnification asset and in the consolidated statement of income line item "Net gain (loss) on indemnification asset."

        The ultimate realization of the FDIC indemnification asset is dependent upon the performance of the underlying covered assets and payment of claims by the FDIC.

    Bank Owned Life Insurance

        Bank owned life insurance is carried at the amount that could be realized under the contract at the balance sheet date, which is typically cash surrender value. Changes in cash surrender value are recorded in non-interest income.

    Other Real Estate Owned

        OREO consists of real estate assets acquired through, or in lieu of, loan foreclosure. These assets are held for sale and are initially recorded at estimated fair value less costs to sell, establishing a new cost basis. Subsequent to foreclosure, periodic valuations are performed and the assets are carried at the lower of the carrying amount at the date of foreclosure or estimated fair value less cost to sell. Significant property improvements that enhance the salability of the property are capitalized to the extent that the resulting carrying value does not exceed fair value less cost to sell. Legal fees, maintenance, taxes, insurance and other direct costs of holding and maintaining foreclosed properties are expensed as incurred.

    Goodwill and Other Intangible Assets

        Goodwill of $67 million at December 31, 2013 and 2012 represents the excess of consideration transferred in business combinations over the fair value of net tangible and identifiable intangible assets acquired. Goodwill is not amortized, but is tested for impairment annually or more frequently if events or circumstances indicate that impairment may have occurred. The Company performs its annual goodwill impairment test in the third fiscal quarter. The Company has a single reporting unit. The impairment test compares the estimated fair value of the reporting unit to its carrying amount. If the fair value of the reporting unit exceeds its carrying amount, no impairment is indicated. If the fair value of the reporting unit is less than its carrying amount, impairment of goodwill is measured as the excess of the carrying amount of goodwill over its implied fair value. The estimated fair value of the reporting unit is based on the market capitalization of the Company's common stock. The estimated fair value of the reporting unit at each impairment testing date substantially exceeded its carrying amount; therefore, no impairment of goodwill was indicated.

F-24


Table of Contents


BANKUNITED, INC. AND SUBSIDIARIES

NOTES TO CONSOLIDATED FINANCIAL STATEMENTS (Continued)

December 31, 2013

Note 1 Basis of Presentation and Summary of Significant Accounting Policies (Continued)

        Intangible assets with determinable lives include core deposit intangible assets and other customer relationship intangible assets. These assets are amortized over their estimated useful lives using the straight-line method, or for certain core deposit intangible assets using an accelerated method based on an exponential attrition curve. Intangible assets with determinable lives are evaluated for impairment when events or changes in circumstances indicate the carrying amount of the assets may not be recoverable.

    Equipment Under Operating Lease

        Equipment under operating lease is carried at cost less accumulated depreciation and is depreciated to estimated residual value using the straight-line method over the lease term. Estimated residual values are re-evaluated at least annually. This evaluation is based primarily on current residual value appraisals. Rental revenue is recognized on a straight-line basis over the contractual term of the lease and is included in other non-interest income in the accompanying consolidated statements of income.

    Premises and Equipment

        Premises and equipment are carried at cost less accumulated depreciation and amortization and are included in other assets in the accompanying consolidated balance sheets. Depreciation is calculated using the straight-line method over the estimated useful lives of the assets. The lives of improvements to existing buildings are based on the lesser of the estimated remaining lives of the buildings or the estimated useful lives of the improvements. Leasehold improvements are amortized over the shorter of the expected terms of the leases at inception, considering options to extend that are reasonably assured, or their useful lives. Direct costs of materials and services associated with developing or obtaining and implementing internal use computer software incurred during the application and development stage are capitalized and amortized over the estimated useful lives of the software. The estimated useful lives of premises and equipment are as follows:

    branch buildings and improvements—30 years;

    leasehold improvements—5 to 20 years;

    furniture, fixtures and equipment—5 to 7 years;

    computer equipment—3 to 5 years; and

    software and software licensing rights—3 to 5 years.

    Mortgage Servicing Rights

        The Company may acquire mortgage servicing rights ("MSRs") through purchases or retention of servicing in connection with sales of originated loans in the secondary market. All newly acquired MSRs are initially measured at fair value. MSRs are subsequently measured using the amortization method. MSRs are amortized in proportion to and over the period of estimated net servicing revenue. Amortization is adjusted prospectively in response to changes in estimated future cash flows.

F-25


Table of Contents


BANKUNITED, INC. AND SUBSIDIARIES

NOTES TO CONSOLIDATED FINANCIAL STATEMENTS (Continued)

December 31, 2013

Note 1 Basis of Presentation and Summary of Significant Accounting Policies (Continued)

        MSRs are periodically evaluated for impairment based on a comparison of the amortized balance to fair value. For purposes of impairment evaluation and measurement, MSRs are stratified based on predominant risk characteristics such as product type, interest rate and term. If, by individual stratum, the carrying amount of MSRs exceeds fair value, a valuation allowance is established. The valuation allowance is subsequently adjusted to reflect changes in the measurement of impairment.

        MSRs are included in other assets in the accompanying consolidated balance sheets. Servicing fee income is recorded net of amortization of MSRs in other non-interest income. Neither the MSR asset nor related income have had a material impact on the Company's financial statements to date.

    Income Taxes

        The Company accounts for income taxes using the asset and liability method. Deferred tax assets and liabilities are determined based on differences between the financial reporting and tax bases of assets and liabilities using enacted tax rates in effect for periods in which the differences are expected to reverse. The effect of changes in tax rates on deferred tax assets and liabilities are recognized in income in the period that includes the enactment date. A valuation allowance is established for deferred tax assets when management determines that it is more likely than not that some portion or all of a deferred tax asset will not be realized. In making such determinations, the Company considers all available positive and negative evidence that may impact the realization of deferred tax assets. These considerations include the amount of taxable income generated in statutory carryback periods, future reversals of existing taxable temporary differences, projected future taxable income and available tax planning strategies.

        The Company recognizes tax benefits from uncertain tax positions when it is more likely than not that the related tax positions will be sustained upon examination, including resolutions of any related appeals or litigation processes, based on the technical merits of the tax positions. An uncertain tax position is a position taken in a previously filed tax return or a position expected to be taken in a future tax return that is not based on clear and unambiguous tax law. The Company measures tax benefits related to uncertain tax positions based on the largest benefit that has a greater than 50% likelihood of being realized upon settlement. If the initial assessment fails to result in recognition of a tax benefit, the Company subsequently recognizes a tax benefit if (i) there are changes in tax law or case law that raise the likelihood of prevailing on the technical merits of the position to more-likely-than-not, (ii) the statute of limitations expires, or (iii) there is a completion of an examination resulting in a settlement of that tax year or position with the appropriate agency. The Company recognizes interest and penalties related to uncertain tax positions in the provision for income taxes.

    Equity Based Compensation

        The Company periodically grants nonqualified stock options or unvested or restricted shares of common stock to key employees. Compensation cost is measured based on the estimated fair value of the awards at the grant date and is recognized in earnings on a straight-line basis over the requisite service period. Compensation cost related to awards that embody performance conditions is recognized if it is probable that the performance condition will be achieved.

F-26


Table of Contents


BANKUNITED, INC. AND SUBSIDIARIES

NOTES TO CONSOLIDATED FINANCIAL STATEMENTS (Continued)

December 31, 2013

Note 1 Basis of Presentation and Summary of Significant Accounting Policies (Continued)

        The fair value of unvested shares is based on the closing market price of the Company's common stock at the date of grant. The value of shares granted with post-vesting restrictions as to transferability is reduced by a discount for lack of marketability. The fair value of stock options is estimated at the date of grant using a Black-Scholes option pricing model. This model requires assumptions as to expected volatility, expected term, dividend yield, and risk free interest rates. Since the Company's common stock has limited trading history, the measurement of expected volatility incorporates the volatility of the common stock of peer companies. The expected term represents the period of time that options are expected to be outstanding from the grant date and is based on the contractual term of the options and employees' anticipated exercise behavior. The risk free interest rate is based on the U.S. Treasury constant maturity rate corresponding to the expected term of the options at the date of grant. The expected dividend yield is determined based on historical dividend rates and dividends expected to be declared in the foreseeable future.

        Prior to the IPO, BUFH had a class of authorized non-voting membership interests identified as Profits Interest Units ("PIUs"). PIUs were issued by BUFH to management members of the Company who owned common units of BUFH. The PIUs entitled their holders to share in distributions from BUFH after investors in BUFH received certain defined returns on their investment. PIUs consisted of both time-based awards, which vested based on fulfillment of a service condition and IRR-based awards. Based on their settlement provisions, the PIUs were classified as liabilities and adjusted to estimated fair value at each financial statement date. Fair value was estimated using a Black-Scholes option pricing model. Compensation expense related to PIUs was based on the fair value of the underlying units. Compensation expense related to time-based PIUs was recognized over the requisite service period on a straight-line basis. Compensation expense related to IRR-based PIUs was recognized upon vesting, which occurred on completion of the IPO. In conjunction with the IPO, all of the outstanding PIUs were exchanged for a combination of non-qualified stock options and common shares in the Company.

    Derivative Financial Instruments and Hedging Activities

    Interest rate swap agreements

        Interest rate swaps are contracts in which a series of interest cash flows are exchanged over a prescribed period. Interest rate swaps are recorded as assets or liabilities in the consolidated balance sheets at fair value. Interest rate swaps that are used as a risk management tool to hedge the Company's exposure to changes in interest rates have been designated as cash flow hedging instruments. The effective portion of the gain or loss on interest rate swaps designated and qualifying as cash flow hedging instruments is initially reported as a component of other comprehensive income and subsequently reclassified into earnings in the same period in which the hedged transaction affects earnings. The ineffective portion of the gain or loss on the derivative instruments, if any, is recognized currently in earnings. Hedge effectiveness is assessed using the hypothetical derivative method. Assessments of hedge effectiveness and measurements of hedge ineffectiveness are performed quarterly.

        The Company discontinues hedge accounting prospectively when it is determined that the derivative is no longer effective in offsetting changes in the cash flows of the hedged item, the derivative expires or is sold, terminated, or exercised, management determines that the designation of

F-27


Table of Contents


BANKUNITED, INC. AND SUBSIDIARIES

NOTES TO CONSOLIDATED FINANCIAL STATEMENTS (Continued)

December 31, 2013

Note 1 Basis of Presentation and Summary of Significant Accounting Policies (Continued)

the derivative as a hedging instrument is no longer appropriate or the occurrence of the forecasted transaction is no longer probable. When hedge accounting is discontinued, any subsequent changes in fair value of the derivative are recognized in earnings. The cumulative unrealized gain or loss related to a discontinued cash flow hedge continues to be reported in AOCI unless it is probable that the forecasted transaction will not occur by the end of the originally specified time period, in which case the cumulative unrealized gain or loss reported in AOCI is reclassified into earnings immediately.

        Cash flows resulting from derivative financial instruments that are accounted for as hedges are classified in the cash flow statement in the same category as the cash flows from the hedged items.

        Changes in the fair value of interest rate swaps not designated as, or not qualifying as, hedging instruments are recognized currently in earnings.

    Derivative loan commitments

        Interest rate lock commitments to originate mortgage loans to be held for sale upon funding are derivative instruments and are recognized in the consolidated balance sheets at fair value with changes in fair value reflected in earnings.

    Forward loan sale commitments

        Mandatory delivery forward loan sale commitments and best efforts forward loan sale commitments for which the loan to the underlying borrower has closed are derivative instruments and are reflected in the consolidated balance sheets at fair value with changes in fair value reflected in earnings.

    Transfers of Financial Assets

        Transfers of financial assets are accounted for as sales when control over the assets has been surrendered. A gain or loss is recognized in earnings upon completion of the sale based on the difference between the sales proceeds and the carrying value of the assets. Control over the transferred assets is deemed to have been surrendered when: (i) the assets have been legally isolated from the Company, (ii) the transferee obtains the right (free of conditions that constrain it from taking advantage of that right) to pledge or exchange the transferred assets, and (iii) the Company does not maintain effective control over the transferred assets through an agreement to repurchase them before their maturity or the ability to unilaterally cause the holder to return specific assets.

    Advertising Costs

        Advertising costs are expensed as incurred.

    Earnings per Common Share

        Basic earnings per common share is calculated by dividing income allocated to common stockholders for basic earnings per common share by the weighted average number of common shares outstanding for the period, reduced by average unvested stock awards. Unvested stock awards and stock option awards with non-forfeitable rights to dividends or dividend equivalents, whether paid or unpaid,

F-28


Table of Contents


BANKUNITED, INC. AND SUBSIDIARIES

NOTES TO CONSOLIDATED FINANCIAL STATEMENTS (Continued)

December 31, 2013

Note 1 Basis of Presentation and Summary of Significant Accounting Policies (Continued)

and participating preferred stock are considered participating securities and are included in the computation of basic earnings per common share using the two class method whereby net income is allocated between common stock and participating securities. In periods of a net loss, no allocation is made to participating securities as they are not contractually required to fund net losses. Diluted earnings per common share is computed by dividing income allocated to common stockholders for basic earnings per common share, adjusted for earnings reallocated from participating securities, by the weighted average number of common shares outstanding for the period increased for the dilutive effect of unexercised stock options, warrants and unvested stock awards using the treasury stock method and by the dilutive effect of convertible preferred stock using the if-converted method. Contingently issuable shares are included in the calculation of earnings per common share as if the end of the respective period was the end of the contingency period.

    Reclassifications

        Certain amounts presented for prior periods have been reclassified to conform to the current period presentation.

    Recent Accounting Pronouncements

        In December 2011, the Financial Accounting Standards Board ("FASB") issued Accounting Standards Update 2011-11, Disclosures about Offsetting Assets and Liabilities. This update requires entities to disclose both gross information and net information about instruments and transactions eligible for offset in the statement of financial position and instruments and transactions subject to an agreement similar to a master netting arrangement. The scope of this update includes derivatives, sale and repurchase agreements, reverse sale and repurchase agreements and securities borrowing and lending arrangements. Accounting Standards Update 2013-01 clarifies certain of the provisions of Accounting Standards Update 2011-11. Adoption of this update in 2013 resulted in revised disclosures in the Company's financial statements, but did not have an impact on the Company's consolidated financial position, results of operations or cash flows.

        In October 2012, the FASB issued Accounting Standards Update No. 2012-06, Subsequent Accounting for an Indemnification Asset Recognized at the Acquisition Date as a Result of a Government-Assisted Acquisition of a Financial Institution. The amendments in this update clarify the applicable guidance for subsequently measuring an indemnification asset recognized as a result of a government-assisted acquisition of a financial institution. The update provides that changes in cash flows expected to be collected on the indemnification asset arising subsequent to initial recognition as a result of changes in cash flows expected to be collected on the related indemnified assets should be accounted for on the same basis as the change in the assets subject to indemnification. Any amortization of changes in value should be limited to the contractual term of the indemnification agreement. The requirements of the update are consistent with the Company's existing accounting policy; therefore, adoption of this update in 2013 did not have an impact on the Company's consolidated financial position, results of operations or cash flows.

        In February 2013, the FASB issued Accounting Standards Update 2013-02, Reporting of Amounts Reclassified Out of Accumulated Other Comprehensive Income. This update requires entities to provide information about the amounts reclassified out of AOCI by component. In addition, entities are

F-29


Table of Contents


BANKUNITED, INC. AND SUBSIDIARIES

NOTES TO CONSOLIDATED FINANCIAL STATEMENTS (Continued)

December 31, 2013

Note 1 Basis of Presentation and Summary of Significant Accounting Policies (Continued)

required to present, either on the face of the statement where net income is presented or in the notes, significant amounts reclassified out of AOCI by the respective line items of net income. Adoption of this update in 2013 resulted in revised disclosures in the Company's financial statements, but did not have an impact on the Company's consolidated financial position, results of operations or cash flows.

        In January 2014, the FASB issued Accounting Standards Update 2014-04, Receivables—Troubled Debt Restructurings by Creditors. The amendments in this update clarify that an in substance repossession or foreclosure occurs, and a creditor is considered to have received physical possession of residential real estate property collateralizing a mortgage loan, upon either (1) the creditor obtaining legal title to the residential real estate property upon completion of a foreclosure or (2) the borrower conveying all interest in the residential real estate property to the creditor to satisfy the loan through a deed in lieu of foreclosure or other similar legal agreement. In addition, entities are required to disclose the recorded investment in residential mortgage loans for which formal foreclosure proceedings are in process. The amendments in this update are effective for annual periods, and interim periods within those annual periods, beginning after December 15, 2014, with early adoption permitted. The Company intends to adopt this update prospectively. Management is currently evaluating the impact of adoption, but does not anticipate it will have a material impact on the Company's consolidated financial position, results of operations or cash flows.

F-30


Table of Contents


BANKUNITED, INC. AND SUBSIDIARIES

NOTES TO CONSOLIDATED FINANCIAL STATEMENTS (Continued)

December 31, 2013

Note 2 Earnings Per Common Share

        The computation of basic and diluted earnings per common share is presented below (in thousands except share and per share data):

 
  2013   2012   2011  

Basic earnings per common share:

                   

Numerator:

                   

Net income

  $ 208,936   $ 211,260   $ 63,168  

Preferred stock dividends

        (3,899 )    
               

Net income available to common stockholders

    208,936     207,361     63,168  

Distributed and undistributed earnings allocated to participating securities

    (9,380 )   (15,081 )   (3,449 )
               

Income allocated to common stockholders for basic earnings per common share

  $ 199,556   $ 192,280   $ 59,719  

Denominator:

                   

Weighted average common shares outstanding

    99,587,970     94,791,484     96,875,386  

Less average unvested stock awards

    (1,093,930 )   (1,137,210 )   (1,421,694 )
               

Weighted average shares for basic earnings per common share

    98,494,040     93,654,274     95,453,692  
               

Basic earnings per common share

  $ 2.03   $ 2.05   $ 0.63  
               
               

Diluted earnings per common share:

                   

Numerator:

                   

Income allocated to common stockholders for basic earnings per common share

  $ 199,556   $ 192,280   $ 59,719  

Adjustment for earnings reallocated from participating securities

    1,265     20      
               

Income used in calculating diluted earnings per common share

  $ 200,821   $ 192,300   $ 59,719  

Denominator:

                   

Average shares for basic earnings per common share

    98,494,040     93,654,274     95,453,692  

Dilutive effect of stock options and preferred shares

    1,257,565     174,509     151,585  
               

Weighted average shares for diluted earnings per common share

    99,751,605     93,828,783     95,605,277  
               

Diluted earnings per common share

  $ 2.01   $ 2.05   $ 0.62  
               
               

F-31


Table of Contents


BANKUNITED, INC. AND SUBSIDIARIES

NOTES TO CONSOLIDATED FINANCIAL STATEMENTS (Continued)

December 31, 2013

Note 2 Earnings Per Common Share (Continued)

        The following potentially dilutive securities were outstanding at December 31, 2013, 2012 and 2011, but excluded from the calculation of diluted earnings per common share for the years ended December 31, 2013, 2012 and 2011 because their inclusion would have been anti-dilutive:

 
  2013   2012   2011  

Unvested shares(1)

    752,609     1,248,407     1,663,822  

Stock options and warrants

    6,386,815     6,950,735     5,073,580  

Convertible preferred shares

        5,415,794      

(1)
Includes contingently issuable performance share awards.

Note 3 Acquisition Activity

        On February 29, 2012, BKU completed the acquisition of Herald for a purchase price of $65 million consisting of cash of $25 million, 1,676,060 shares of common stock valued at $39 million and stock options and warrants valued at $1 million. The acquisition of Herald was determined to be a business combination and was accounted for using the acquisition method of accounting; accordingly, the assets acquired and liabilities assumed were recorded at their estimated fair values at the acquisition date.

        The estimated fair values of assets acquired and liabilities assumed totaled $508 million and $438 million, respectively, resulting in the recognition of a gain of $5.3 million on the acquisition of 100% of Herald, representing the excess of the fair value of net assets acquired over the value of consideration issued. Pursuant to the terms of the merger agreement between BKU and Herald, the determination of the final purchase price was dependent on the price of BKU's common stock for the ten trading days preceding the merger. A decline in the stock price between the execution of the agreement and consummation of the acquisition led to this gain, which is included in the consolidated statement of income line item "other non-interest income" for the year ended December 31, 2012. The results of operations of Herald have been included in the Company's consolidated financial statements from the date of acquisition and are not material.

F-32


Table of Contents


BANKUNITED, INC. AND SUBSIDIARIES

NOTES TO CONSOLIDATED FINANCIAL STATEMENTS (Continued)

December 31, 2013

Note 4 Investment Securities Available for Sale

        Investment securities available for sale at December 31, 2013 and 2012 consisted of the following (in thousands):

 
  2013  
 
  Covered Securities   Non-Covered Securities  
 
   
  Gross Unrealized    
   
  Gross Unrealized    
 
 
  Amortized
Cost
  Fair
Value
  Amortized
Cost
  Fair
Value
 
 
  Gains   Losses   Gains   Losses  

U.S. Government agency and sponsored enterprise residential mortgage-backed securities

  $   $   $   $   $ 1,548,671   $ 34,191   $ (8,559 ) $ 1,574,303  

U.S. Government agency and sponsored enterprise commercial mortgage-backed securities

                    27,132         (355 )   26,777  

Resecuritized real estate mortgage investment conduits ("Re-Remics")

                    267,525     4,261     (1 )   271,785  

Private label residential mortgage-backed securities and CMOs

    119,434     56,539     (110 )   175,863     135,750     329     (1,824 )   134,255  

Private label commercial mortgage-backed securities

                    814,114     7,638     (12,980 )   808,772  

Non-mortgage asset-backed securities

                    172,329     6,676     (11 )   178,994  

Mutual funds and preferred stocks

    15,419     6,726         22,145     125,387     4,015     (1,870 )   127,532  

Small Business Administration securities

                    295,892     13,045         308,937  

Other debt securities

    3,542     4,219         7,761                  
                                   

  $ 138,395   $ 67,484   $ (110 ) $ 205,769   $ 3,386,800   $ 70,155   $ (25,600 ) $ 3,431,355  
                                   
                                   

F-33


Table of Contents


BANKUNITED, INC. AND SUBSIDIARIES

NOTES TO CONSOLIDATED FINANCIAL STATEMENTS (Continued)

December 31, 2013

Note 4 Investment Securities Available for Sale (Continued)


 
  2012  
 
  Covered Securities   Non-Covered Securities  
 
   
  Gross Unrealized    
   
  Gross Unrealized    
 
 
  Amortized
Cost
  Fair
Value
  Amortized
Cost
  Fair
Value
 
 
  Gains   Losses   Gains   Losses  

U.S. Treasury and Government agency securities

  $   $   $   $   $ 34,998   $ 157   $ (1 ) $ 35,154  

U.S. Government agency and sponsored enterprise residential mortgage-backed securities

                    1,520,047     64,476         1,584,523  

U.S. Government agency and sponsored enterprise commercial mortgage-backed securities

                    58,518     1,898         60,416  

Re-Remics

                    575,069     10,063     (90 )   585,042  

Private label residential mortgage-backed securities and CMOs

    143,739     58,266     (185 )   201,820     243,029     3,437     (201 )   246,265  

Private label commercial mortgage-backed securities

                    413,110     19,982         433,092  

Collateralized loan obligations

                    252,280     908         253,188  

Non-mortgage asset-backed securities

                    233,791     7,672     (117 )   241,346  

Mutual funds and preferred stocks

    16,382     1,439     (361 )   17,460     125,127     7,066         132,193  

State and municipal obligations

                    25,127     249     (23 )   25,353  

Small Business Administration securities

                    333,423     6,187         339,610  

Other debt securities

    3,723     3,502         7,225     9,164     561         9,725  
                                   

  $ 163,844   $ 63,207   $ (546 ) $ 226,505   $ 3,823,683   $ 122,656   $ (432 ) $ 3,945,907  
                                   
                                   

        At December 31, 2013, contractual maturities of investment securities available for sale, adjusted for anticipated prepayments of mortgage-backed and other pass-through securities, were as follows (in thousands):

 
  Amortized
Cost
  Fair
Value
 

Due in one year or less

  $ 450,966   $ 474,236  

Due after one year through five years

    1,856,202     1,906,130  

Due after five years through ten years

    887,083     904,287  

Due after ten years

    190,138     202,794  

Mutual funds and preferred stocks with no stated maturity

    140,806     149,677  
           

  $ 3,525,195   $ 3,637,124  
           
           

        Based on the Company's proprietary assumptions, the estimated weighted average life of the investment portfolio as of December 31, 2013 was 4.4 years. The effective duration of the investment portfolio as of December 31, 2013 was 2.1 years. The model results are based on assumptions that may differ from actual results.

F-34


Table of Contents


BANKUNITED, INC. AND SUBSIDIARIES

NOTES TO CONSOLIDATED FINANCIAL STATEMENTS (Continued)

December 31, 2013

Note 4 Investment Securities Available for Sale (Continued)

        The carrying value of securities pledged as collateral for FHLB advances, public deposits, interest rate swaps, securities sold under agreements to repurchase and to secure borrowing capacity at the FRB totaled $0.9 billion at December 31, 2013 and 2012.

        The following table provides information about gains and losses on investment securities available for sale for the years ended December 31, 2013, 2012 and 2011 (in thousands):

 
  2013   2012   2011  

Proceeds from sale of investment securities available for sale

  $ 874,876   $ 835,745   $ 217,069  
               
               

Gross realized gains

  $ 11,119   $ 17,338   $ 1,224  

Gross realized losses

    (1,527 )   (299 )   (88 )
               

Net realized gain

    9,592     17,039     1,136  

OTTI

    (963 )        
               

Gain on investment securities available for sale, net

  $ 8,629   $ 17,039   $ 1,136  
               
               

        During the year ended December 31, 2013, OTTI was recognized on an intermediate term mortgage mutual fund investment which had been in a continuous unrealized loss position for 34 months. Due primarily to the length of time the investment had been in a continuous unrealized loss position and an increasing measure of impairment, the Company determined the impairment to be other than temporary. This security is covered under the Loss Sharing Agreements; therefore, the impact of the impairment was significantly mitigated by an increase of $770 thousand in the FDIC indemnification asset, reflected in the consolidated statement of income line item "Net gain (loss) on indemnification asset."

        The following tables present the aggregate fair value and the aggregate amount by which amortized cost exceeded fair value for investment securities in unrealized loss positions at

F-35


Table of Contents


BANKUNITED, INC. AND SUBSIDIARIES

NOTES TO CONSOLIDATED FINANCIAL STATEMENTS (Continued)

December 31, 2013

Note 4 Investment Securities Available for Sale (Continued)

December 31, 2013 and December 31, 2012, aggregated by investment category and length of time that individual securities had been in continuous unrealized loss positions (in thousands):

 
  2013  
 
  Less than 12 Months   12 Months or Greater   Total  
 
  Fair
Value
  Unrealized
Losses
  Fair
Value
  Unrealized
Losses
  Fair
Value
  Unrealized
Losses
 

U.S. Government agency and sponsored enterprise residential mortgage-backed securities

  $ 414,361   $ (8,559 ) $   $   $ 414,361   $ (8,559 )

U.S. Government agency and sponsored enterprise commercial mortgage-backed securities

    26,777     (355 )           26,777     (355 )

Re-Remics

    11,037     (1 )           11,037     (1 )

Private label residential mortgage-backed securities and CMOs

    79,048     (1,696 )   10,303     (238 )   89,351     (1,934 )

Private label commercial mortgage-backed securities

    511,778     (12,980 )           511,778     (12,980 )

Non-mortgage asset-backed securities

    1,516     (11 )           1,516     (11 )

Mutual funds and preferred stocks

    67,513     (1,870 )           67,513     (1,870 )
                           

  $ 1,112,030   $ (25,472 ) $ 10,303   $ (238 ) $ 1,122,333   $ (25,710 )
                           
                           

 

 
  2012  
 
  Less than 12 Months   12 Months or Greater   Total  
 
  Fair
Value
  Unrealized
Losses
  Fair
Value
  Unrealized
Losses
  Fair
Value
  Unrealized
Losses
 

U.S. Treasury and Government agency securities

  $ 5,000   $ (1 ) $   $   $ 5,000   $ (1 )

Re-Remics

    42,018     (16 )   8,833     (74 )   50,851     (90 )

Private label residential mortgage-backed securities and CMOs

    53,537     (185 )   6,080     (201 )   59,617     (386 )

Non-mortgage asset-backed securities

            10,566     (117 )   10,566     (117 )

Mutual funds and preferred stocks

            15,082     (361 )   15,082     (361 )

State and municipal obligations

    2,902     (23 )           2,902     (23 )
                           

  $ 103,457   $ (225 ) $ 40,561   $ (753 ) $ 144,018   $ (978 )
                           
                           

F-36


Table of Contents


BANKUNITED, INC. AND SUBSIDIARIES

NOTES TO CONSOLIDATED FINANCIAL STATEMENTS (Continued)

December 31, 2013

Note 4 Investment Securities Available for Sale (Continued)

        The Company monitors its investment securities available for sale for OTTI on an individual security basis. As discussed above, one security was determined to be other than temporarily impaired during the year ended December 31, 2013. No securities were determined to be other than temporarily impaired during the years ended December 31, 2012 and 2011. The Company does not intend to sell securities that are in significant unrealized loss positions and it is not more likely than not that the Company will be required to sell these securities before recovery of the amortized cost basis, which may be at maturity. At December 31, 2013, 63 securities were in unrealized loss positions. Unrealized losses on investment securities available for sale at December 31, 2013 were primarily attributable to an increase in medium and long-term market interest rates. The amount of impairment related to 11 of these securities was considered insignificant, totaling approximately $32 thousand and no further analysis with respect to these securities was considered necessary. The basis for concluding that impairment of the remaining securities is not other-than-temporary is further described below:

    U.S. Government agency and sponsored enterprise residential and commercial mortgage-backed securities:

        At December 31, 2013, 15 U.S. Government agency and sponsored enterprise residential and commercial mortgage-backed securities were in unrealized loss positions. Five of these securities were in unrealized loss positions for three months or less and 10 for less than 12 months. The amount of impairment of each of the individual securities was less than 4% of amortized cost. The timely payment of principal and interest on these securities is explicitly or implicitly guaranteed by the U.S. Government. Given the limited severity and duration of impairment and the expectation of timely payment of principal and interest, the impairments were considered to be temporary.

    Private label residential mortgage-backed securities and CMOs:

        At December 31, 2013, 12 private label residential mortgage-backed securities were in unrealized loss positions. These securities were assessed for OTTI using third-party developed credit and prepayment behavioral models and CUSIP level constant default rates, voluntary prepayment rates and loss severity and delinquency assumptions. The results of these assessments were not indicative of credit losses related to any of these securities as of December 31, 2013. Four of these securities were in unrealized loss positions for three months or less, five for less than 12 months and two for 14 months. These securities evidenced unrealized losses ranging from less than 1% to 6% of amortized cost. The remaining security had been in an unrealized loss position for 30 months and evidenced an unrealized loss of 10% of amortized cost. The market for this security is thin and the market price is adversely affected by lack of liquidity. This bond is considered an odd lot which can be detrimental to potential bids for the security. Given the generally limited duration and severity of impairment and the expectation of timely recovery of outstanding principal, the impairments were considered to be temporary.

    Private label commercial mortgage-backed securities:

        At December 31, 2013, 16 private label commercial mortgage-backed securities were in unrealized loss positions. Seven of these securities were in unrealized loss positions for three months or less and the remainder for less than 12 months. The amount of impairment ranged from less than 1% to 6% of

F-37


Table of Contents


BANKUNITED, INC. AND SUBSIDIARIES

NOTES TO CONSOLIDATED FINANCIAL STATEMENTS (Continued)

December 31, 2013

Note 4 Investment Securities Available for Sale (Continued)

amortized cost. These securities were assessed for OTTI using third-party developed models, incorporating assumptions consistent with the collateral characteristics of each security. The results of this analysis were not indicative of expected credit losses. Securities in this class generally have longer durations than the portfolio as a whole, so were more significantly impacted by the increase in rates. Given the limited severity and duration of impairment and the expectation of timely recovery of outstanding principal, the impairments were considered to be temporary.

    Non-mortgage asset-backed securities:

        At December 31, 2013, one non-mortgage asset-backed security was in an unrealized loss position. This security had been in an unrealized loss position for less than 12 months and the amount of impairment was less than 1% of amortized cost. This security was assessed for OTTI using a third-party developed credit and prepayment behavioral model and CUSIP level constant default rates, voluntary prepayment rates and loss severity and delinquency assumptions. The results of this analysis were not indicative of expected credit losses. Given the limited severity and duration of impairment and the expectation of timely recovery of outstanding principal, the impairment was considered to be temporary.

    Mutual funds:

        At December 31, 2013, three investments in one mutual fund were in unrealized loss positions. These investments had been in unrealized loss positions for less than 12 months and the amount of impairment was less than 6% of amortized cost. The majority of the underlying holdings of the mutual fund are either explicitly or implicitly guaranteed by the U.S. Government. The unrealized losses are related primarily to an increase in term interest rates since the securities were purchased. Given the limited severity and duration of impairment, the impairments were considered to be temporary.

    Preferred stocks:

        At December 31, 2013, five investments in two financial institution preferred stocks were in unrealized loss positions. These securities had been in unrealized loss positions for less than 12 months and the amount of impairment was less than 4% of amortized cost. Given the limited duration and severity of impairment and results of the Company's analysis of the financial condition of the issuers of the financial institution preferred stocks, the impairments were considered to be temporary.

F-38


Table of Contents


BANKUNITED, INC. AND SUBSIDIARIES

NOTES TO CONSOLIDATED FINANCIAL STATEMENTS (Continued)

December 31, 2013

Note 5 Loans and Allowance for Loan and Lease Losses

        At December 31, 2013 and 2012, loans consisted of the following (dollars in thousands):

 
  2013  
 
  Covered Loans   Non-Covered Loans    
   
 
 
   
  Percent
of Total
 
 
  ACI   Non-ACI   ACI   New Loans   Total  

Residential:

                                     

1 - 4 single family residential

  $ 1,057,012   $ 70,378   $   $ 1,800,332   $ 2,927,722     32.4 %

Home equity loans and lines of credit

    39,602     127,807         1,535     168,944     1.9 %
                           

    1,096,614     198,185         1,801,867     3,096,666     34.3 %
                           

Commercial:

                                     

Multi-family

    33,354         8,093     1,097,872     1,139,319     12.6 %

Commercial real estate

                                     

Owner occupied

    49,861     689     5,318     712,844     768,712     8.5 %

Non-owner occupied

    93,089     52     1,449     946,543     1,041,133     11.5 %

Construction and land

    10,600     729         138,091     149,420     1.7 %

Commercial and industrial

    6,050     6,234         2,266,407     2,278,691     25.3 %

Lease financing

                337,382     337,382     3.7 %
                           

    192,954     7,704     14,860     5,499,139     5,714,657     63.3 %
                           

Consumer

    1,679             213,107     214,786     2.4 %
                           

Total loans

    1,291,247     205,889     14,860     7,514,113     9,026,109     100.0 %
                           

Premiums, discounts and deferred fees and costs, net

        (13,248 )       40,748     27,500        
                             

Loans net of premiums, discounts, deferred fees and costs

    1,291,247     192,641     14,860     7,554,861     9,053,609        

Allowance for loan and lease losses

    (2,893 )   (9,502 )       (57,330 )   (69,725 )      
                             

Loans, net

  $ 1,288,354   $ 183,139   $ 14,860   $ 7,497,531   $ 8,983,884        
                             
                             

F-39


Table of Contents


BANKUNITED, INC. AND SUBSIDIARIES

NOTES TO CONSOLIDATED FINANCIAL STATEMENTS (Continued)

December 31, 2013

Note 5 Loans and Allowance for Loan and Lease Losses (Continued)


 
  2012  
 
  Covered Loans   Non-Covered Loans    
   
 
 
   
  Percent
of Total
 
 
  ACI   Non-ACI   ACI   New Loans   Total  

Residential:

                                     

1 - 4 single family residential

  $ 1,300,109   $ 93,438   $   $ 920,713   $ 2,314,260     41.5 %

Home equity loans and lines of credit

    52,499     157,691         1,954     212,144     3.8 %
                           

    1,352,608     251,129         922,667     2,526,404     45.3 %
                           

Commercial:

                                     

Multi-family

    56,148     716         307,183     364,047     6.5 %

Commercial real estate

                                     

Owner occupied

    58,675     850     4,087     451,130     514,742     9.3 %

Non-owner occupied

    115,057     60         343,576     458,693     8.2 %

Construction and land

    18,064     829         72,361     91,254     1.6 %

Commercial and industrial

    14,608     11,627         1,334,991     1,361,226     24.4 %

Lease financing

                225,980     225,980     4.1 %
                           

    262,552     14,082     4,087     2,735,221     3,015,942     54.1 %
                           

Consumer

    2,239             33,526     35,765     0.6 %
                           

Total loans

    1,617,399     265,211     4,087     3,691,414     5,578,111     100.0 %
                           

Premiums, discounts and deferred fees and costs, net

        (18,235 )       11,863     (6,372 )      
                             

Loans net of premiums, discounts, deferred fees and costs

    1,617,399     246,976     4,087     3,703,277     5,571,739        

Allowance for loan and lease losses

    (8,019 )   (9,874 )       (41,228 )   (59,121 )      
                             

Loans, net

  $ 1,609,380   $ 237,102   $ 4,087   $ 3,662,049   $ 5,512,618        
                             
                             

        At December 31, 2013 and 2012, the UPB of ACI loans was $3.3 billion and $4.2 billion, respectively.

        During the years ended December 31, 2013 and 2012, the Company purchased 1-4 single family residential loans totaling $1.1 billion and $709 million, respectively.

        At December 31, 2013, the Company had pledged real estate loans with UPB of approximately $6.0 billion and carrying amounts of approximately $4.2 billion as security for FHLB advances.

F-40


Table of Contents


BANKUNITED, INC. AND SUBSIDIARIES

NOTES TO CONSOLIDATED FINANCIAL STATEMENTS (Continued)

December 31, 2013

Note 5 Loans and Allowance for Loan and Lease Losses (Continued)

        The following table presents the components of the net investment in direct financing leases as of December 31, 2013 and 2012 (in thousands):

 
  2013   2012  

Total minimum lease payments to be received

  $ 360,584   $ 243,604  

Unearned income

    (23,202 )   (17,624 )

Initial direct costs

    2,980     1,761  
           

  $ 340,362   $ 227,741  
           
           

        As of December 31, 2013, future minimum lease payments to be received under direct financing leases were as follows (in thousands):

Years Ending December 31:

       

2014

  $ 112,133  

2015

    94,154  

2016

    62,401  

2017

    30,610  

2018

    15,609  

Thereafter

    45,677  
       

  $ 360,584  
       
       


Loan Concentrations

        The following tables present total 1-4 single family residential loans categorized between fixed rate mortgages and ARMs as of December 31, 2013 and 2012 (dollars in thousands):

 
  2013  
 
  Covered
Loans
  New Loans   Total   Percent of
Total
 

1 - 4 single family residential loans:

                         

Fixed rate loans

  $ 421,143   $ 841,987   $ 1,263,130     42.9 %

ARM Loans

    695,539     985,793     1,681,332     57.1 %
                   

  $ 1,116,682   $ 1,827,780   $ 2,944,462     100.0 %
                   
                   

 

 
  2012  
 
  Covered
Loans
  New Loans   Total   Percent of
Total
 

1 - 4 single family residential loans:

                         

Fixed rate loans

  $ 495,321   $ 446,161   $ 941,482     40.7 %

ARM Loans

    883,372     489,510     1,372,882     59.3 %
                   

  $ 1,378,693   $ 935,671   $ 2,314,364     100.0 %
                   
                   

F-41


Table of Contents


BANKUNITED, INC. AND SUBSIDIARIES

NOTES TO CONSOLIDATED FINANCIAL STATEMENTS (Continued)

December 31, 2013

Note 5 Loans and Allowance for Loan and Lease Losses (Continued)

        At December 31, 2013 and 2012, the majority of the 1-4 single family residential loans outstanding were to customers domiciled in the following states (dollars in thousands):

 
  2013  
 
  Covered
Loans
  New Loans   Total   Percent of
Total
 

California

  $ 80,919   $ 865,342   $ 946,261     32.1 %

Florida

    604,384     241,827     846,211     28.7 %

New York

    31,406     119,147     150,553     5.1 %

Illinois

    69,966     37,539     107,505     3.7 %

Others

    330,007     563,925     893,932     30.4 %
                   

  $ 1,116,682   $ 1,827,780   $ 2,944,462     100.0 %
                   
                   

 

 
  2012  
 
  Covered
Loans
  New Loans   Total   Percent of
Total
 

Florida

  $ 775,408   $ 124,945   $ 900,353     38.9 %

California

    95,987     438,760     534,747     23.1 %

Illinois

    87,195     26,951     114,146     4.9 %

New York

    37,890     47,914     85,804     3.7 %

Others

    382,213     297,101     679,314     29.4 %
                   

  $ 1,378,693   $ 935,671   $ 2,314,364     100.0 %
                   
                   

        No other state represented borrowers with more than 3.7% of total 1-4 single family residential loans outstanding at December 31, 2013 or 2012. The commercial loan portfolio is primarily comprised of loans to businesses located in Florida and New York. Consumer loans are comprised primarily of indirect auto loans, representing 94.4% of new consumer loans at December 31, 2013.

F-42


Table of Contents


BANKUNITED, INC. AND SUBSIDIARIES

NOTES TO CONSOLIDATED FINANCIAL STATEMENTS (Continued)

December 31, 2013

Note 5 Loans and Allowance for Loan and Lease Losses (Continued)


Covered Loan Sale

        During the years ended December 31, 2013, 2012 and 2011, the Company sold covered 1-4 single family residential loans to third parties on a non-recourse basis. The following table summarizes the impact of these transactions (in thousands):

 
  2013   2012   2011  

Unpaid principal balance of loans sold

  $ 230,031   $ 239,135   $ 268,588  
               
               

Cash proceeds, net of transaction costs

  $ 116,611   $ 103,796   $ 75,782  

Carrying value of loans sold

    82,160     103,127     146,148  
               

Net pre-tax impact on earnings, excluding gain on indemnification asset

  $ 34,451   $ 669   $ (70,366 )
               
               

Loss on sale of covered loans

  $ (16,195 ) $ (29,270 ) $ (70,366 )

Proceeds recorded in interest income

    50,646     29,939      
               

  $ 34,451   $ 669   $ (70,366 )
               
               

Gain on indemnification asset

  $ 21,021   $ 30,725   $ 56,053  
               
               

        For the years ended December 31, 2013 and 2012, loans with UPB of $102 million and $73 million, respectively, were sold from a pool of ACI loans with a zero carrying value. Proceeds of the sale of loans from this pool, representing realization of accretable yield, were recorded in interest income. The loss on the sale of loans from the remaining pools, representing the difference between the carrying amount and consideration received, was recorded in "Loss on sale of loans, net" in the accompanying consolidated statements of income. These losses were mitigated by increases in the FDIC indemnification asset, reflected in the consolidated statement of income line item "Net gain (loss) on indemnification asset." Reimbursements from the FDIC under the terms of the Loss Sharing Agreements are calculated based on UPB rather than on the carrying value of the loans; therefore the amount of gain on indemnification asset reflected in the table above also includes amounts reimbursable from the FDIC related to loans sold from the pool with a zero carrying value.

F-43


Table of Contents


BANKUNITED, INC. AND SUBSIDIARIES

NOTES TO CONSOLIDATED FINANCIAL STATEMENTS (Continued)

December 31, 2013

Note 5 Loans and Allowance for Loan and Lease Losses (Continued)


Allowance for loan and lease losses

        Activity in the ALLL is summarized as follows (in thousands):

 
  2013  
 
  Residential   Commercial   Consumer   Total  

Beginning balance

  $ 19,164   $ 39,543   $ 414   $ 59,121  

Provision for (recovery of) loan losses:

                         

ACI loans

        (2,891 )       (2,891 )

Non-ACI loans

    4,043     (2,890 )       1,153  

New loans

    (3,800 )   35,368     2,134     33,702  
                   

Total provision

    243     29,587     2,134     31,964  

Charge-offs:

                         

ACI loans

        (2,235 )       (2,235 )

Non-ACI loans

    (4,134 )   (171 )       (4,305 )

New loans

    (10 )   (17,987 )   (484 )   (18,481 )
                   

Total charge-offs

    (4,144 )   (20,393 )   (484 )   (25,021 )

Recoveries:

                         

Non-ACI loans

    90     2,690         2,780  

New loans

        758     123     881  
                   

Total recoveries

    90     3,448     123     3,661  
                   

Ending balance

  $ 15,353   $ 52,185   $ 2,187   $ 69,725  
                   
                   

 

 
  2012  
 
  Residential   Commercial   Consumer   Total  

Beginning balance

  $ 10,175   $ 38,176   $ 51   $ 48,402  

Provision for (recovery of) loan losses:

                         

ACI loans

        (4,347 )       (4,347 )

Non-ACI loans

    6,175     (2,331 )       3,844  

New loans

    6,060     12,979     360     19,399  
                   

Total provision

    12,235     6,301     360     18,896  

Charge-offs:

                         

ACI loans

        (3,966 )       (3,966 )

Non-ACI loans

    (3,275 )   (316 )       (3,591 )

New loans

        (2,929 )       (2,929 )
                   

Total charge-offs

    (3,275 )   (7,211 )       (10,486 )

Recoveries:

                         

Non-ACI loans

    29     1,850         1,879  

New loans

        427     3     430  
                   

Total recoveries

    29     2,277     3     2,309  
                   

Ending balance

  $ 19,164   $ 39,543   $ 414   $ 59,121  
                   
                   

F-44


Table of Contents


BANKUNITED, INC. AND SUBSIDIARIES

NOTES TO CONSOLIDATED FINANCIAL STATEMENTS (Continued)

December 31, 2013

Note 5 Loans and Allowance for Loan and Lease Losses (Continued)

 
  2011  
 
  Residential   Commercial   Consumer   Total  

Beginning balance

  $ 28,649   $ 29,656   $ 55   $ 58,360  

Provision for (recovery of) loan losses:

                         

ACI loans

    (18,488 )   7,210         (11,278 )

Non-ACI loans

    (1,491 )   5,077         3,586  

New loans

    3,862     17,662     (4 )   21,520  
                   

Total provision

    (16,117 )   29,949     (4 )   13,828  

Charge-offs:

                         

ACI loans

        (13,527 )       (13,527 )

Non-ACI loans

    (2,377 )   (6,112 )       (8,489 )

New loans

        (3,367 )       (3,367 )
                   

Total charge-offs

    (2,377 )   (23,006 )       (25,383 )

Recoveries:

                         

ACI loans

        1,212         1,212  

Non-ACI loans

    20     341         361  

New loans

        24         24  
                   

Total recoveries

    20     1,577         1,597  
                   

Ending balance

  $ 10,175   $ 38,176   $ 51   $ 48,402  
                   
                   

        The impact of provisions for (recoveries of) losses on covered loans is significantly mitigated by increases (decreases) in the FDIC indemnification asset, recorded in the consolidated statement of income line item "Net gain (loss) on indemnification asset."

F-45


Table of Contents


BANKUNITED, INC. AND SUBSIDIARIES

NOTES TO CONSOLIDATED FINANCIAL STATEMENTS (Continued)

December 31, 2013

Note 5 Loans and Allowance for Loan and Lease Losses (Continued)

        The following table presents information about the balance of the ALLL and related loans as of December 31, 2013 and 2012 (in thousands):

 
  2013   2012  
 
  Residential   Commercial   Consumer   Total   Residential   Commercial   Consumer   Total  

Allowance for loan and lease losses:

                                                 

Ending balance

  $ 15,353   $ 52,185   $ 2,187   $ 69,725   $ 19,164   $ 39,543   $ 414   $ 59,121  
                                   
                                   

Ending balance: non-ACI and new loans individually evaluated for impairment

  $ 855   $ 9,467   $   $ 10,322   $ 984   $ 1,533   $   $ 2,517  
                                   
                                   

Ending balance: non-ACI and new loans collectively evaluated for impairment

  $ 14,498   $ 39,825   $ 2,187   $ 56,510   $ 18,180   $ 29,991   $ 414   $ 48,585  
                                   
                                   

Ending balance: ACI

  $   $ 2,893   $   $ 2,893   $   $ 8,019   $   $ 8,019  
                                   
                                   

Ending balance: non-ACI

  $ 9,070   $ 432   $   $ 9,502   $ 9,071   $ 803   $   $ 9,874  
                                   
                                   

Ending balance: new loans

  $ 6,283   $ 48,860   $ 2,187   $ 57,330   $ 10,093   $ 30,721   $ 414   $ 41,228  
                                   
                                   

Loans:

                                                 

Ending balance

  $ 3,111,167   $ 5,720,722   $ 221,720   $ 9,053,609   $ 2,523,564   $ 3,012,394   $ 35,781   $ 5,571,739  
                                   
                                   

Ending balance: non-ACI and new loans individually evaluated for impairment

  $ 5,663   $ 22,584   $   $ 28,247   $ 4,545   $ 24,690   $   $ 29,235  
                                   
                                   

Ending balance: non-ACI and new loans collectively evaluated for impairment

  $ 2,008,890   $ 5,490,324   $ 220,041   $ 7,719,255   $ 1,166,411   $ 2,721,065   $ 33,542   $ 3,921,018  
                                   
                                   

Ending balance: ACI loans

  $ 1,096,614   $ 207,814   $ 1,679   $ 1,306,107   $ 1,352,608   $ 266,639   $ 2,239   $ 1,621,486  
                                   
                                   


Credit quality information—New and non-ACI loans

        Commercial relationships on non-accrual status with internal risk ratings of substandard or doubtful and with committed balances greater than or equal to $750,000 as well as loans that have been modified in troubled debt restructurings are individually evaluated for impairment. The tables below

F-46


Table of Contents


BANKUNITED, INC. AND SUBSIDIARIES

NOTES TO CONSOLIDATED FINANCIAL STATEMENTS (Continued)

December 31, 2013

Note 5 Loans and Allowance for Loan and Lease Losses (Continued)

present information about new and non-ACI loans individually evaluated for impairment and identified as impaired as of December 31, 2013 and 2012 (in thousands):

 
  2013   2012  
 
  Recorded
Investment
  Unpaid
Principal
Balance
  Related
Specific
Allowance
  Recorded
Investment
  Unpaid
Principal
Balance
  Related
Specific
Allowance
 

New loans:

                                     

With no specific allowance recorded:

                                     

Multi-family

  $   $   $   $ 3,649   $ 3,649   $  

Commercial real estate

                                     

Owner occupied

    1,751     1,754                  

Non-owner occupied

    1,444     1,444         1,564     1,564      

Commercial and industrial

                9,858     9,860      

With a specific allowance recorded:

                                     

Commercial and industrial

    16,048     16,055     8,696     4,377     4,381     649  

Lease financing

    1,345     1,345     771     1,677     1,677     884  

Total:

                                     

Residential

  $   $   $   $   $   $  

Commercial

    20,588     20,598     9,467     21,125     21,131     1,533  
                           

  $ 20,588   $ 20,598   $ 9,467   $ 21,125   $ 21,131   $ 1,533  
                           
                           

Non-ACI loans:

                                     

With no specific allowance recorded:

                                     

1 - 4 single family residential

  $ 168   $ 198   $   $ 375   $ 446   $  

Home equity loans and lines of credit

    1,703     1,734         176     179      

Commercial real estate

                                     

Non-owner occupied

                59     59      

Commercial and industrial

    1,996     1,999         3,506     3,508      

With a specific allowance recorded:

                                     

1 - 4 single family residential

    3,564     4,203     827     3,577     4,252     970  

Home equity loans and lines of credit

    228     232     28     417     425     14  

Total:

                                     

Residential

  $ 5,663   $ 6,367   $ 855   $ 4,545   $ 5,302   $ 984  

Commercial

    1,996     1,999         3,565     3,567      
                           

  $ 7,659   $ 8,366   $ 855   $ 8,110   $ 8,869   $ 984  
                           
                           

        Interest income recognized on impaired loans after impairment was not significant for any of the periods presented.

F-47


Table of Contents


BANKUNITED, INC. AND SUBSIDIARIES

NOTES TO CONSOLIDATED FINANCIAL STATEMENTS (Continued)

December 31, 2013

Note 5 Loans and Allowance for Loan and Lease Losses (Continued)

        The following table presents the average recorded investment in impaired new and non-ACI loans for the years ended December 31, 2013, 2012 and 2011 (in thousands):

 
  2013   2012   2011  
 
  New
Loans
  Non-ACI
Loans
  New
Loans
  Non-ACI
Loans
  New
Loans
  Non-ACI
Loans
 

Residential:

                                     

1 - 4 single family residential

  $   $ 3,891   $   $ 2,757   $   $ 577  

Home equity loans and lines of credit          

        1,494         119          
                           

        5,385         2,876         577  

Commercial:

                                     

Multi-family

    730         4,614              

Commercial real estate

    2,224         1,291     143         73  

Construction and land

            190     1,074     266     1,074  

Commercial and industrial

    16,837     2,424     7,274     3,749     1,162     6,317  

Lease financing

    1,478         671              
                           

    21,269     2,424     14,040     4,966     1,428     7,464  
                           

  $ 21,269   $ 7,809   $ 14,040   $ 7,842   $ 1,428   $ 8,041  
                           
                           

        The following table presents the carrying amount of new and non-ACI loans on non-accrual status as of December 31, 2013 and 2012 (in thousands):

 
  2013   2012  
 
  New
Loans
  Non-ACI
Loans
  New
Loans
  Non-ACI
Loans
 

Residential:

                         

1 - 4 single family residential

  $ 194   $ 293   $ 155   $ 2,678  

Home equity loans and lines of credit

        6,559         9,767  
                   

    194     6,852     155     12,445  

Commercial:

                         

Commercial real estate

                         

Owner occupied

    2,785         55      

Non-owner occupied

    1,444     52     1,564     59  

Construction and land

    244         278      

Commercial and industrial

    16,612     2,765     11,907     4,530  

Lease financing

    1,370         1,719      
                   

    22,455     2,817     15,523     4,589  
                   

Consumer

    75              
                   

  $ 22,724   $ 9,669   $ 15,678   $ 17,034  
                   
                   

        New and non-ACI loans contractually delinquent by 90 days or more and still accruing totaled $0.5 million and $0.2 million at December 31, 2013 and 2012, respectively. The amount of additional interest income that would have been recognized on non-accrual loans and TDRs had they performed in accordance with their contractual terms is not material.

F-48


Table of Contents


BANKUNITED, INC. AND SUBSIDIARIES

NOTES TO CONSOLIDATED FINANCIAL STATEMENTS (Continued)

December 31, 2013

Note 5 Loans and Allowance for Loan and Lease Losses (Continued)

        The following table summarizes new and non-ACI loans that were modified in TDRs during the years ended December 31, 2013, 2012 and 2011 as well as new and non-ACI loans modified during the years ended December 31, 2013, 2012 and 2011 that experienced payment defaults during the periods indicated (dollars in thousands):

 
  2013   2012   2011  
 
  Loans Modified in
TDRs
During the Period
  TDRs Experiencing
Payment Defaults
During the Period
  Loans Modified in
TDRs
During the Period
  TDRs Experiencing
Payment Defaults
During the Period
  Loans Modified in
TDRs
During the Period
  TDRs Experiencing
Payment Defaults
During the Period
 
 
  Number
of TDRs
  Recorded
Investment
  Number
of TDRs
  Recorded
Investment
  Number
of TDRs
  Recorded
Investment
  Number
of TDRs
  Recorded
Investment
  Number
of TDRs
  Recorded
Investment
  Number
of TDRs
  Recorded
Investment
 

New loans:

                                                                         

Multi-family

      $       $     1   $ 3,649       $       $       $  

Commercial and industrial

    3     8,291             7     1,999     2     594     1     231     1     231  
                                                   

    3   $ 8,291       $     8   $ 5,648     2   $ 594     1   $ 231     1   $ 231  
                                                   
                                                   

Non-ACI loans:

                                                                         

1 - 4 single family residential

    2   $ 335     1   $ 167     5   $ 2,428     2   $ 1,139     11   $ 1,521     5   $ 938  

Home equity loans and lines of credit

    4     1,338     1     196                                  

Commercial real estate

                                    2     295     2     295  

Commercial and industrial

                    1     9             3     71     3     71  
                                                   

    6   $ 1,673     2   $ 363     6   $ 2,437     2   $ 1,139     16   $ 1,887     10   $ 1,304  
                                                   
                                                   

        Modifications during the years ended December 31, 2013, 2012 and 2011 included restructuring of the amount and timing of required periodic payments, modifications of interest rates, extensions of maturity and residential modifications under the U.S. Treasury Department's Home Affordable Modification Program ("HAMP"). Included in TDRs are loans to consumer borrowers who have not reaffirmed their debt discharged in Chapter 7 bankruptcy. The total amount of such loans is not material. Because of the immateriality of the amount of loans modified in TDRs and nature of the modifications, the modifications did not have a material impact on the Company's consolidated financial statements or on the determination of the amount of the ALLL for the years ended December 31, 2013, 2012 and 2011.

        Management considers delinquency status to be the most meaningful indicator of the credit quality of 1-4 single family residential, home equity and consumer loans. Delinquency statistics are updated at least monthly. Original LTV ratio and original FICO score are also important indicators of credit quality for the new 1-4 single family residential portfolio, while original FICO score is an important indicator of credit quality for the indirect auto portfolio.

        Internal risk ratings are considered the most meaningful indicator of credit quality for commercial loans. Internal risk ratings are a key factor in identifying loans that are individually evaluated for impairment and impact management's estimates of loss factors used in determining the amount of the ALLL. Internal risk ratings are updated on a continuous basis. Relationships with balances in excess of $1 million are re-evaluated at least annually and more frequently if circumstances indicate that a change in risk rating may be warranted. Loans exhibiting potential credit weaknesses that deserve management's close attention and that if left uncorrected may result in deterioration of the repayment capacity of the borrower are categorized as special mention. Loans with well-defined credit weaknesses, including payment defaults, declining collateral values, frequent overdrafts, operating losses, increasing

F-49


Table of Contents


BANKUNITED, INC. AND SUBSIDIARIES

NOTES TO CONSOLIDATED FINANCIAL STATEMENTS (Continued)

December 31, 2013

Note 5 Loans and Allowance for Loan and Lease Losses (Continued)

balance sheet leverage, inadequate cash flow, project cost overruns, unreasonable construction delays, past due real estate taxes or exhausted interest reserves, are assigned an internal risk rating of substandard. A loan with a weakness so severe that collection in full is highly questionable or improbable will be assigned an internal risk rating of doubtful.

        The following tables summarize key indicators of credit quality for the Company's new and non-ACI loans as of December 31, 2013 and 2012. Amounts are net of premiums, discounts, deferred fees and costs (in thousands):


Residential credit exposure, based on delinquency status:

 
  2013   2012  
 
  1 - 4 Single
Family
Residential
  Home Equity
Loans and
Lines of Credit
  1 - 4 Single
Family
Residential
  Home Equity
Loans and
Lines of Credit
 

New loans:

                         

Current

  $ 1,824,084   $ 1,535   $ 927,859   $ 1,811  

Past due less than 90 days

    3,099         7,619     143  

Past due 90 days or more

    597         193      
                   

  $ 1,827,780   $ 1,535   $ 935,671   $ 1,954  
                   
                   

Non-ACI loans:

                         

Current

  $ 56,248   $ 116,036   $ 71,096   $ 140,975  

Past due less than 90 days

    3,422     2,973     5,057     4,005  

Past due 90 days or more

        6,559     2,431     9,767  
                   

  $ 59,670   $ 125,568   $ 78,584   $ 154,747  
                   
                   


1-4 Single Family Residential credit exposure for new loans, based on original LTV and FICO score:

 
  2013  
 
  FICO  
LTV
  720 or less   721 - 740   741 - 760   761 or greater   Total  

60% or less

  $ 37,293   $ 60,626   $ 86,920   $ 473,250   $ 658,089  

60% - 70%

    25,861     45,485     77,253     308,242     456,841  

70% - 80%

    19,610     60,021     116,332     472,279     668,242  

More than 80%

    26,492     5,487     3,166     9,463     44,608  
                       

  $ 109,256   $ 171,619   $ 283,671   $ 1,263,234   $ 1,827,780  
                       
                       

F-50


Table of Contents


BANKUNITED, INC. AND SUBSIDIARIES

NOTES TO CONSOLIDATED FINANCIAL STATEMENTS (Continued)

December 31, 2013

Note 5 Loans and Allowance for Loan and Lease Losses (Continued)


 
  2012  
 
  FICO  
LTV
  720 or less   721 - 740   741 - 760   761 or greater   Total  

60% or less

  $ 33,141   $ 29,292   $ 35,761   $ 217,249   $ 315,443  

60% - 70%

    16,852     12,286     41,863     159,068     230,069  

70% - 80%

    28,251     27,068     54,367     256,605     366,291  

More than 80%

    16,822     1,505     1,200     4,341     23,868  
                       

  $ 95,066   $ 70,151   $ 133,191   $ 637,263   $ 935,671  
                       
                       


Consumer credit exposure, based on delinquency status:

 
  2013   2012  

New loans:

             

Current

  $ 219,083   $ 33,488  

Past due less than 90 days

    927     54  

Past due 90 days or more

    31      
           

  $ 220,041   $ 33,542  
           
           


Consumer indirect auto credit exposure for new loans, based on original FICO score:

 
  2013  

FICO:

       

740 or greater

  $ 79,220  

680 - 739

    94,090  

620 - 679

    34,425  
       

  $ 207,735  
       
       

        The balance of indirect auto loans was insignificant at December 31, 2012.

F-51


Table of Contents


BANKUNITED, INC. AND SUBSIDIARIES

NOTES TO CONSOLIDATED FINANCIAL STATEMENTS (Continued)

December 31, 2013

Note 5 Loans and Allowance for Loan and Lease Losses (Continued)


Commercial credit exposure, based on internal risk rating:

 
  2013  
 
  Multi-Family   Commercial
Real Estate—
Owner
Occupied
  Commercial
Real Estate—
Non-Owner
Occupied
  Construction
and Land
  Commercial
and Industrial
  Lease
Financing
  Total  

New loans:

                                           

Pass

  $ 1,098,383   $ 704,403   $ 946,208   $ 137,513   $ 2,236,331   $ 338,992   $ 5,461,830  

Special mention

                    7,892         7,892  

Substandard

    770     7,080     1,444     244     15,906     599     26,043  

Doubtful

        51             8,918     771     9,740  
                               

  $ 1,099,153   $ 711,534   $ 947,652   $ 137,757   $ 2,269,047   $ 340,362   $ 5,505,505  
                               
                               

Non-ACI loans:

                                           

Pass

  $   $ 687   $   $ 688   $ 3,177   $   $ 4,552  

Substandard

            52         2,379         2,431  

Doubtful

                    420         420  
                               

  $   $ 687   $ 52   $ 688   $ 5,976   $   $ 7,403  
                               
                               

 

 
  2012  
 
  Multi-Family   Commercial
Real Estate—
Owner
Occupied
  Commercial
Real Estate—
Non-Owner
Occupied
  Construction
and Land
  Commercial
and
Industrial
  Lease
Financing
  Total  

New loans:

                                           

Pass

  $ 299,303   $ 447,737   $ 341,280   $ 71,724   $ 1,274,595   $ 226,022   $ 2,660,661  

Special mention

    3,110                 18,249         21,359  

Substandard

    4,068     2,469     1,564     278     38,837     1,719     48,935  

Doubtful

        55             1,100         1,155  
                               

  $ 306,481   $ 450,261   $ 342,844   $ 72,002   $ 1,332,781   $ 227,741   $ 2,732,110  
                               
                               

Non-ACI loans:

                                           

Pass

  $ 703   $ 851   $   $ 775   $ 6,674   $   $ 9,003  

Substandard

    9         59         3,882         3,950  

Doubtful

                    692         692  
                               

  $ 712   $ 851   $ 59   $ 775   $ 11,248   $   $ 13,645  
                               
                               

F-52


Table of Contents


BANKUNITED, INC. AND SUBSIDIARIES

NOTES TO CONSOLIDATED FINANCIAL STATEMENTS (Continued)

December 31, 2013

Note 5 Loans and Allowance for Loan and Lease Losses (Continued)

        The following table presents an aging of loans in the new and non-ACI portfolios as of December 31, 2013 and 2012. Amounts are net of premiums, discounts, deferred fees and costs (in thousands):

 
  2013   2012  
 
  Current   30 - 59
Days
Past
Due
  60 - 89
Days
Past
Due
  90 Days or
More Past
Due or in
Foreclosure
  Total   Current   30 - 59
Days
Past
Due
  60 - 89
Days
Past
Due
  90 Days or
More Past
Due or in
Foreclosure
  Total  

New loans:

                                                             

1 - 4 single family residential

  $ 1,824,084   $ 2,990   $ 109   $ 597   $ 1,827,780   $ 927,859   $ 7,458   $ 161   $ 193   $ 935,671  

Home equity loans and lines of credit

    1,535                 1,535     1,811     143             1,954  

Multi-family

    1,099,153                 1,099,153     306,481                 306,481  

Commercial real estate

                                                             

Owner occupied

    710,938             596     711,534     450,261                 450,261  

Non-owner occupied

    947,652                 947,652     342,844                 342,844  

Construction and land

    137,757                 137,757     72,002                 72,002  

Commercial and industrial

    2,260,628     610     165     7,644     2,269,047     1,322,937     7,147     192     2,505     1,332,781  

Lease financing

    340,337         25         340,362     227,741                 227,741  

Consumer

    219,083     766     161     31     220,041     33,488     9     45         33,542  
                                           

  $ 7,541,167   $ 4,366   $ 460   $ 8,868   $ 7,554,861   $ 3,685,424   $ 14,757   $ 398   $ 2,698   $ 3,703,277  
                                           
                                           

Non-ACI loans:

                                                             

1 - 4 single family residential

  $ 56,248   $ 3,129   $ 293   $   $ 59,670   $ 71,096   $ 4,448   $ 609   $ 2,431   $ 78,584  

Home equity loans and lines of credit

    116,036     2,417     556     6,559     125,568     140,975     2,170     1,835     9,767     154,747  

Multi-family

                        712                 712  

Commercial real estate

                                                             

Owner occupied

    687                 687     851                 851  

Non-owner occupied

    52                 52     59                 59  

Construction and land

    688                 688     775                 775  

Commercial and industrial

    3,722         4     2,250     5,976     7,164     27     12     4,045     11,248  
                                           

  $ 177,433   $ 5,546   $ 853   $ 8,809   $ 192,641   $ 221,632   $ 6,645   $ 2,456   $ 16,243   $ 246,976  
                                           
                                           

F-53


Table of Contents


BANKUNITED, INC. AND SUBSIDIARIES

NOTES TO CONSOLIDATED FINANCIAL STATEMENTS (Continued)

December 31, 2013

Note 5 Loans and Allowance for Loan and Lease Losses (Continued)


ACI Loans

        The accretable yield on ACI loans represents the amount by which undiscounted expected future cash flows exceed carrying value. Changes in the accretable yield on ACI loans for the years ended December 31, 2013, 2012 and 2011 were as follows (in thousands):

Balance, December 31, 2010

  $ 1,833,974  

Reclassifications from non-accretable difference

    135,933  

Accretion

    (446,292 )
       

Balance, December 31, 2011

    1,523,615  

Reclassifications from non-accretable difference

    206,934  

Accretion

    (444,483 )
       

Balance, December 31, 2012

    1,286,066  

Reclassifications from non-accretable difference

    282,952  

Accretion

    (410,446 )
       

Balance, December 31, 2013

  $ 1,158,572  
       
       

        Accretable yield at December 31, 2013 included expected cash flows from a pool of 1-4 single family residential loans whose carrying value had been reduced to zero. The UPB of loans remaining in this pool was $64 million at December 31, 2013.


Credit quality information—ACI loans

        ACI loans or loan pools are considered to be impaired when there has been further deterioration in the cash flows expected at acquisition plus any additional cash flows expected to be collected arising from changes in estimates after acquisition, other than due to decreases in interest rate indices and changes in prepayment assumptions. Discount continues to be accreted on ACI loans or pools as long as there are expected future cash flows in excess of the current carrying amount; therefore, these loans are not classified as non-accrual even though they may be contractually delinquent. ACI 1-4 single family residential and home equity loans accounted for in pools are evaluated for impairment on a pool basis and the amount of any impairment is measured based on the expected aggregate cash flows of the pools. ACI commercial and commercial real estate loans are evaluated individually for impairment.

        The tables below set forth at December 31, 2013 and 2012 the carrying amount of ACI loans or pools for which the Company has determined it is probable that it will be unable to collect all the cash flows expected at acquisition plus additional cash flows expected to be collected arising from changes in

F-54


Table of Contents


BANKUNITED, INC. AND SUBSIDIARIES

NOTES TO CONSOLIDATED FINANCIAL STATEMENTS (Continued)

December 31, 2013

Note 5 Loans and Allowance for Loan and Lease Losses (Continued)

estimates after acquisition, if any, as well as ACI loans not accounted for in pools that have been modified in TDRs, and the related allowance amounts (in thousands):

 
  2013   2012  
 
  Recorded
Investment
in Impaired
Loans or
Pools
  Unpaid
Principal
Balance
  Related
Specific
Allowance
  Recorded
Investment
in Impaired
Loans or
Pools
  Unpaid
Principal
Balance
  Related
Specific
Allowance
 

With no specific allowance recorded:

                                     

Commercial real estate

                                     

Non-owner occupied

  $ 384   $ 406   $   $ 104   $ 171   $    

Construction and land

    567     588         512     669      

Commercial and industrial

                188     188      

With a specific allowance recorded:

                                     

Multi-family

    3,478     3,459     323     6,626     7,043     504  

Commercial real estate

                                     

Owner occupied

    2,643     2,812     369     3,076     3,853     692  

Non-owner occupied

    32,436     37,392     1,444     20,620     23,504     4,708  

Construction and land

    1,686     1,500     192     4,874     6,567     350  

Commercial and industrial

    3,932     4,262     565     7,580     7,959     1,765  

Total:

                                     

Residential

  $   $   $   $   $   $  

Commercial

    45,126     50,419     2,893     43,580     49,954     8,019  
                           

  $ 45,126   $ 50,419   $ 2,893   $ 43,580   $ 49,954   $ 8,019  
                           
                           

        The following table presents the average recorded investment in impaired ACI loans or pools for the years ended December 31, 2013, 2012 and 2011 (in thousands):

 
  2013   2012   2011  

Residential:

                   

Home equity loans and lines of credit

  $   $   $ 45,947  
               

            45,947  
               

Commercial:

                   

Multi-family

    4,804     11,936     29,606  

Commercial real estate

    26,143     41,952     61,291  

Construction and land

    3,873     12,482     25,729  

Commercial and industrial

    5,744     12,825     23,877  
               

    40,564     79,195     140,503  
               

  $ 40,564   $ 79,195   $ 186,450  
               
               

F-55


Table of Contents


BANKUNITED, INC. AND SUBSIDIARIES

NOTES TO CONSOLIDATED FINANCIAL STATEMENTS (Continued)

December 31, 2013

Note 5 Loans and Allowance for Loan and Lease Losses (Continued)

        The following table summarizes ACI loans that were modified in TDRs during the years ended December 31, 2013, 2012 and 2011 as well as ACI loans modified during the years ended December 31, 2013, 2012 and 2011 that experienced payment defaults during the periods indicated (dollars in thousands):

 
  2013   2012   2011  
 
  Loans Modified in
TDRs During the
Period
  TDRs Experiencing
Payment Defaults
During the Period
  Loans Modified in
TDRs During the
Period
  TDRs Experiencing
Payment Defaults
During the Period
  Loans Modified in
TDRs During the
Period
  TDRs Experiencing
Payment Defaults
During the Period
 
 
  Number
of TDRs
  Recorded
Investment
  Number
of TDRs
  Recorded
Investment
  Number
of TDRs
  Recorded
Investment
  Number
of TDRs
  Recorded
Investment
  Number
of TDRs
  Recorded
Investment
  Number
of TDRs
  Recorded
Investment
 

Commercial real estate

    3   $ 1,354       $     3   $ 242     1   $ 9     3   $ 917     1   $ 197  

Construction and land

                                    1     435     2     435  

Commercial and industrial

    1     168             3     261     1     188                  
                                                   

    4   $ 1,522       $     6   $ 503     2   $ 197     4   $ 1,352     3   $ 632  
                                                   
                                                   

        Modifications during the years ended December 31, 2013, 2012 and 2011 included restructurings of the amount and timing of payments, extensions of maturity and modifications of interest rates. Modified ACI loans accounted for in pools are not considered TDRs, are not separated from the pools and are not classified as impaired loans.

        The following tables summarize key indicators of credit quality for the Company's ACI loans as of December 31, 2013 and 2012 (in thousands):


Residential credit exposure, based on delinquency status:

 
  2013   2012  
 
  1 - 4 Single
Family
Residential
  Home Equity
Loans and
Lines of Credit
  1 - 4 Single
Family
Residential
  Home Equity
Loans and
Lines of Credit
 

Current

  $ 957,791   $ 33,967   $ 1,093,363   $ 43,226  

Past due less than 90 days

    43,346     1,479     63,435     1,818  

Past due 90 days or more

    55,875     4,156     143,311     7,455  
                   

  $ 1,057,012   $ 39,602   $ 1,300,109   $ 52,499  
                   
                   

    Consumer credit exposure, based on delinquency status:

 
  2013   2012  

Current

  $ 1,477   $ 2,190  

Past due less than 90 days

    201     17  

Past due 90 days or more

    1     32  
           

  $ 1,679   $ 2,239  
           
           

F-56


Table of Contents


BANKUNITED, INC. AND SUBSIDIARIES

NOTES TO CONSOLIDATED FINANCIAL STATEMENTS (Continued)

December 31, 2013

Note 5 Loans and Allowance for Loan and Lease Losses (Continued)

    Commercial credit exposure, based on internal risk rating:

 
  2013  
 
  Multi-Family   Commercial
Real Estate—
Owner
Occupied
  Commercial
Real Estate—
Non-Owner
Occupied
  Construction
and Land
  Commercial
and
Industrial
  Total  

Pass

  $ 31,002   $ 40,725   $ 53,238   $ 7,373   $ 1,824   $ 134,162  

Special mention

        1,000     3,361             4,361  

Substandard

    10,445     13,454     37,845     3,227     4,206     69,177  

Doubtful

            94         20     114  
                           

  $ 41,447   $ 55,179   $ 94,538   $ 10,600   $ 6,050   $ 207,814  
                           
                           

 

 
  2012  
 
  Multi-Family   Commercial
Real
Estate—Owner
Occupied
  Commercial
Real
Estate—Non-Owner
Occupied
  Construction
and Land
  Commercial
and
Industrial
  Total  

Pass

  $ 36,068   $ 48,011   $ 70,386   $ 6,937   $ 6,183   $ 167,585  

Special mention

    381     867     3,748             4,996  

Substandard

    19,699     13,884     40,910     11,127     8,198     93,818  

Doubtful

            13         227     240  
                           

  $ 56,148   $ 62,762   $ 115,057   $ 18,064   $ 14,608   $ 266,639  
                           
                           

        The following table presents an aging of loans in the ACI portfolio as of December 31, 2013 and 2012 (in thousands):

 
  2013   2012  
 
  Current   30 - 59
Days Past
Due
  60 - 89
Days Past
Due
  90 Days or
More Past
Due or in
Foreclosure
  Total   Current   30 - 59
Days Past
Due
  60 - 89
Days Past
Due
  90 Days or
More Past
Due or in
Foreclosure
  Total  

1 - 4 single family residential

  $ 957,791   $ 33,067   $ 10,279   $ 55,875   $ 1,057,012   $ 1,093,363   $ 47,529   $ 15,906   $ 143,311   $ 1,300,109  

Home equity loans and lines of credit

    33,967     1,150     329     4,156     39,602     43,226     1,254     564     7,455     52,499  

Multi-family

    38,877             2,570     41,447     47,474     45         8,629     56,148  

Commercial real estate

                                                             

Owner occupied

    54,501     253         425     55,179     62,491     100     69     102     62,762  

Non-owner occupied

    81,754     3,245         9,539     94,538     109,417     1,975     378     3,287     115,057  

Construction and land

    7,373             3,227     10,600     9,257             8,807     18,064  

Commercial and industrial

    3,193             2,857     6,050     7,762     1,951     17     4,878     14,608  

Consumer

    1,477         201     1     1,679     2,190     10     7     32     2,239  
                                           

  $ 1,178,933   $ 37,715   $ 10,809   $ 78,650   $ 1,306,107   $ 1,375,180   $ 52,864   $ 16,941   $ 176,501   $ 1,621,486  
                                           
                                           

        1-4 single family residential and home equity ACI loans that are contractually delinquent by more than 90 days and accounted for in pools that are on accrual status because discount continues to be accreted totaled $60 million and $151 million at December 31, 2013 and 2012, respectively. The carrying amount of commercial and commercial real estate ACI loans that are contractually delinquent

F-57


Table of Contents


BANKUNITED, INC. AND SUBSIDIARIES

NOTES TO CONSOLIDATED FINANCIAL STATEMENTS (Continued)

December 31, 2013

Note 5 Loans and Allowance for Loan and Lease Losses (Continued)

in excess of ninety days but still classified as accruing loans due to discount accretion totaled $18 million and $26 million at December 31, 2013 and 2012, respectively. As of December 31, 2013, discount is no longer being accreted on ACI commercial real estate loans with a carrying value of $1 million.

Note 6 FDIC Indemnification Asset

        When the Company recognizes gains or losses related to covered assets in its consolidated financial statements, changes in the estimated amount recoverable from the FDIC under the Loss Sharing Agreements with respect to those gains or losses are also reflected in the consolidated financial statements. Covered loans may be resolved through prepayment, short sale of the underlying collateral, foreclosure, sale of the loans or charge-off. For loans resolved through prepayment, short sale or foreclosure, the difference between consideration received in satisfaction of the loans and the carrying value of the loans is recognized in the statement of income line item "Income from resolution of covered assets, net." Losses from the resolution of covered loans increase the amount recoverable from the FDIC under the Loss Sharing Agreements. Gains from the resolution of covered loans reduce the amount recoverable from the FDIC under the Loss Sharing Agreements. Similarly, differences in proceeds received on the sale of OREO and covered loans and their carrying amounts result in gains or losses and reduce or increase the amount recoverable from the FDIC under the Loss Sharing Agreements. Increases in valuation allowances or impairment charges related to covered assets also increase the amount estimated to be recoverable from the FDIC. These additions to or reductions in amounts recoverable from the FDIC related to the resolution of covered assets are recorded in the statement of income line item "Net gain (loss) on indemnification asset" and reflected as corresponding increases or decreases in the FDIC indemnification asset.

        The following table summarizes the components of the gains and losses associated with covered assets, along with the related additions to or reductions in the amounts recoverable from the FDIC under the Loss Sharing Agreements, as reflected in the consolidated statements of income for the years ended December 31, 2013, 2012 and 2011 (in thousands):

 
  2013  
 
  Transaction
Income (Loss)
  Net Gain (Loss) on
Indemnification
Asset
  Net Impact on
Pre-tax
Earnings
 

Recovery of losses on covered loans

  $ 1,738   $ (1,574 ) $ 164  

Income from resolution of covered assets, net

    78,862     (64,793 )   14,069  

Loss on sale of covered loans

    (16,195 )   21,021     4,826  

OTTI on covered investment securities available for sale

    (963 )   770     (193 )

Gain on sale of OREO

    9,568     (7,611 )   1,957  

Impairment of OREO

    (1,939 )   1,549     (390 )
               

  $ 71,071   $ (50,638 ) $ 20,433  
               
               

F-58


Table of Contents


BANKUNITED, INC. AND SUBSIDIARIES

NOTES TO CONSOLIDATED FINANCIAL STATEMENTS (Continued)

December 31, 2013

Note 6 FDIC Indemnification Asset (Continued)


 
  2012  
 
  Transaction
Income (Loss)
  Net Gain (Loss) on
Indemnification
Asset
  Net Impact on
Pre-tax
Earnings
 

Recovery of losses on covered loans

  $ 503   $ 344   $ 847  

Income from resolution of covered assets, net

    51,016     (41,962 )   9,054  

Loss on sale of covered loans

    (29,270 )   30,725     1,455  

Gain on sale of OREO

    4,164     (3,078 )   1,086  

Impairment of OREO

    (9,926 )   7,941     (1,985 )
               

  $ 16,487   $ (6,030 ) $ 10,457  
               
               

 

 
  2011  
 
  Transaction
Income (Loss)
  Net Gain (Loss) on
Indemnification
Asset
  Net Impact on
Pre-tax
Earnings
 

Recovery of losses on covered loans

  $ 7,692   $ (6,327 ) $ 1,365  

Income from resolution of covered assets, net

    18,776     (6,871 )   11,905  

Loss on sale of covered loans

    (70,366 )   56,053     (14,313 )

Loss on sale of OREO

    (23,576 )   17,272     (6,304 )

Impairment of OREO

    (24,569 )   19,685     (4,884 )
               

  $ (92,043 ) $ 79,812   $ (12,231 )
               
               

        Changes in the FDIC indemnification asset for the years ended December 31, 2013, 2012 and 2011 were as follows (in thousands):

Balance, December 31, 2010

  $ 2,667,401  

Accretion

    55,901  

Reduction for claims filed

    (753,963 )

Net gain on indemnification asset

    79,812  
       

Balance, December 31, 2011

    2,049,151  

Accretion

    15,306  

Reduction for claims filed

    (600,857 )

Net loss on indemnification asset

    (6,030 )
       

Balance, December 31, 2012

    1,457,570  

Amortization

    (36,943 )

Reduction for claims filed

    (164,872 )

Net loss on indemnification asset

    (50,638 )
       

Balance, December 31, 2013

  $ 1,205,117  
       
       

        Under the terms of the Loss Sharing Agreements, the Company is also entitled to reimbursement from the FDIC for certain expenses related to covered assets upon final resolution of those assets. For

F-59


Table of Contents


BANKUNITED, INC. AND SUBSIDIARIES

NOTES TO CONSOLIDATED FINANCIAL STATEMENTS (Continued)

December 31, 2013

Note 6 FDIC Indemnification Asset (Continued)

the years ended December 31, 2013, 2012 and 2011, non-interest expense includes approximately $8.3 million, $20.3 million, and $32.0 million, respectively, of expenses subject to reimbursement at the 80% level under the Loss Sharing Agreements. For those same periods, claims of $9.4 million, $19.6 million, and $31.5 million, respectively, were submitted to the FDIC for reimbursement. As of December 31, 2013, $13.5 million of expenses incurred to date remained to be submitted for reimbursement from the FDIC in future periods as the related covered assets are resolved.

Note 7 Other Real Estate Owned

        At December 31, 2013 $39.7 million of the Company's OREO was covered under the Loss Sharing Agreements. An analysis of OREO activity for the years ended December 31, 2013, 2012 and 2011 follows (in thousands):

 
  2013   2012   2011  

Balance, beginning of period

  $ 76,022   $ 123,737   $ 206,680  

Transfers from loan portfolio

    68,084     151,302     312,958  

Sales

    (101,597 )   (189,091 )   (371,332 )

Impairment

    (1,939 )   (9,926 )   (24,569 )
               

Balance, end of period

  $ 40,570   $ 76,022   $ 123,737  
               
               

Note 8 Equipment Under Operating Lease

        Equipment under operating lease consists of rail cars. The components of equipment under operating lease as of December 31, 2013 and 2012 are summarized as follows (in thousands):

 
  2013   2012  

Equipment under operating lease

  $ 201,163   $ 39,154  

Less: accumulated depreciation

    (4,680 )   (422 )
           

Equipment under operating lease, net

  $ 196,483   $ 38,732  
           
           

        Depreciation expense related to equipment under operating lease was $4.3 million and $0.4 million for the years ended December 31, 2013 and 2012, respectively.

        At December 31, 2013, scheduled minimum rental payments under operating leases were as follows (in thousands):

Years Ending December 31:

       

2014

  $ 15,309  

2015

    15,309  

2016

    14,023  

2017

    10,438  

2018

    6,248  

Thereafter through 2020

    6,491  
       

  $ 67,818  
       
       

F-60


Table of Contents


BANKUNITED, INC. AND SUBSIDIARIES

NOTES TO CONSOLIDATED FINANCIAL STATEMENTS (Continued)

December 31, 2013

Note 9 Premises and Equipment and Lease Commitments

        Premises and equipment are included in other assets in the accompanying consolidated balance sheets and are summarized as follows as of December 31, 2013 and 2012 (in thousands):

 
  2013   2012  

Branch buildings and improvements

  $ 18,049   $ 17,440  

Leasehold improvements

    47,912     30,491  

Construction in progress

    3,293     7,816  

Furniture, fixtures and equipment

    29,880     25,644  

Computer equipment

    11,212     10,356  

Software and software licensing rights

    26,855     22,363  
           

    137,201     114,110  

Less: accumulated depreciation

    (42,923 )   (25,507 )
           

Premises and equipment, net

  $ 94,278   $ 88,603  
           
           

        Branch buildings and improvements includes $2 million related to a branch facility recorded under capital lease at December 31, 2013.

        Depreciation and amortization expense related to premises and equipment, including amortization of assets recorded under capital leases, was $18.2 million, $14.0 million and $7.6 million for the years ended December 31, 2013, 2012 and 2011, respectively.

        The Company leases branch and office facilities under operating leases, most of which contain renewal options under various terms. Total rent expense under operating leases for the years ended December 31, 2013, 2012 and 2011 was $26.0 million, $23.3 million and $14.9 million, respectively.

        As of December 31, 2013, future minimum rentals under non-cancelable operating leases with initial or remaining terms in excess of one year were as follows (in thousands):

Years ending December 31:

       

2014

  $ 22,315  

2015

    20,470  

2016

    19,565  

2017

    19,584  

2018

    18,406  

Thereafter through 2034

    100,198  
       

  $ 200,538  
       
       

F-61


Table of Contents


BANKUNITED, INC. AND SUBSIDIARIES

NOTES TO CONSOLIDATED FINANCIAL STATEMENTS (Continued)

December 31, 2013

Note 10 Deposits

        The following table presents average balances and weighted average rates paid on deposits for the years ended December 31, 2013, 2012 and 2011 (dollars in thousands):

 
  2013   2012   2011  
 
  Average
Balance
  Average
Rate
Paid
  Average
Balance
  Average
Rate
Paid
  Average
Balance
  Average
Rate
Paid
 

Demand deposits:

                                     

Non-interest bearing

  $ 1,586,007     0.00 % $ 1,099,448     0.00 % $ 622,377     0.00 %

Interest bearing

    582,623     0.46 %   504,614     0.63 %   382,329     0.65 %

Money market

    3,403,276     0.51 %   2,838,735     0.63 %   2,165,230     0.88 %

Savings

    877,255     0.37 %   1,073,709     0.58 %   1,201,236     0.83 %

Time

    2,844,377     1.31 %   2,632,451     1.48 %   2,585,201     1.71 %
                           

  $ 9,293,538     0.65 % $ 8,148,957     0.81 % $ 6,956,373     1.09 %
                                 
                                 

        Time deposit accounts with balances of $100,000 or more totaled approximately $2.1 billion and $1.5 billion at December 31, 2013 and 2012, respectively. Time deposit accounts with balances of $250,000 or more totaled $829 million and $540 million at December 31, 2013 and 2012, respectively. The following table presents maturities of time deposits with balances equal to or greater than $100,000 as of December 31, 2013 (in thousands):

Three months or less

  $ 319,716  

Over three through six months

    374,717  

Over six through twelve months

    977,706  

Over twelve months

    457,398  
       

  $ 2,129,537  
       
       

        Included in deposits at December 31, 2013 are $153 million of time deposits issued to the State of Florida, $521 million of other public funds deposits and reciprocal brokered deposits of $103 million. Investment securities available for sale with a carrying value of $312 million were pledged as security for public funds deposits at December 31, 2013.

        Interest expense on deposits for the years ended December 31, 2013, 2012 and 2011 was as follows (in thousands):

 
  2013   2012   2011  

Interest bearing demand

  $ 2,698   $ 3,155   $ 2,499  

Money market

    17,355     17,878     19,020  

Savings

    3,265     6,215     10,006  

Time

    37,248     38,930     44,248  
               

  $ 60,566   $ 66,178   $ 75,773  
               
               

F-62


Table of Contents


BANKUNITED, INC. AND SUBSIDIARIES

NOTES TO CONSOLIDATED FINANCIAL STATEMENTS (Continued)

December 31, 2013

Note 11 Federal Home Loan Bank Advances and Other Borrowings

        At December 31, 2013 and 2012 outstanding FHLB advances and other borrowings consisted of the following (dollars in thousands):

 
  2013   2012  

Federal Home Loan Bank advances

  $ 2,412,050   $ 1,916,919  

Securities sold under agreements to repurchase

    346     8,175  

Capital lease obligations

    1,917      
           

  $ 2,414,313   $ 1,925,094  
           
           

        Securities sold under agreements to repurchase are offered to certain deposit customers, generally mature daily, and are not a significant source of funds for the Company. As of December 31, 2013 and 2012, the Company had pledged securities with a carrying value of approximately $23 million and $24 million, respectively, as collateral for securities sold under agreements to repurchase.

        Information about outstanding FHLB advances as of December 31, 2013 follows (dollars in thousands):

 
   
  Range of Interest Rates    
 
 
   
  Weighted
Average Rate
 
 
  Amount   Minimum   Maximum  

Maturing in:

                         

2014—30 days or less

  $ 200,000     0.20 %   0.36 %   0.24 %

2014—Over 30 days

    1,765,000     0.20 %   0.71 %   0.29 %

2015

    270,350     0.00 %   0.79 %   0.48 %

2016

    75,000     0.68 %   0.79 %   0.73 %

2017

    105,000     0.95 %   0.98 %   0.97 %
                         

Total contractual balance outstanding

    2,415,350                    

Acquisition accounting fair value adjustment and unamortized modification costs

    (3,300 )                  
                         

Carrying value

  $ 2,412,050                    
                         
                         

        During 2012, the Company modified FHLB advances with an outstanding balance of $105 million, extending the maturity and reducing the rate on the advances and incurring modification fees of $5.3 million. Additionally, during the year ended December 31, 2012, the Company elected to prepay $520 million of FHLB advances with a carrying value of $524 million for an aggregate cash payment of $538 million. The Company recorded a loss of $14.2 million on this extinguishment of debt.

        Acquisition accounting fair value adjustments and deferred modification costs on FHLB advances are being amortized as adjustments to interest expense over the remaining terms of the related advances using the effective yield method. The amortization of these adjustments and costs increased (reduced) interest expense by $131 thousand, $(14.8) million and $(19.1) million during the years ended December 31, 2013, 2012 and 2011, respectively.

F-63


Table of Contents


BANKUNITED, INC. AND SUBSIDIARIES

NOTES TO CONSOLIDATED FINANCIAL STATEMENTS (Continued)

December 31, 2013

Note 11 Federal Home Loan Bank Advances and Other Borrowings (Continued)

        The terms of the Company's security agreement with the FHLB require a specific assignment of collateral consisting of qualifying first mortgage loans, commercial real estate loans, home equity lines of credit and mortgage-backed securities with unpaid principal amounts discounted at various stipulated percentages at least equal to 100% of outstanding FHLB advances. As of December 31, 2013, the Company had pledged investment securities and real estate loans with an aggregate carrying amount of approximately $4.6 billion as collateral for advances from the FHLB.

        At December 31, 2013, BankUnited had available borrowing capacity at the Federal Home Loan Bank of approximately $1.3 billion, unused borrowing capacity at the Federal Reserve Bank of approximately $94 million and unused Federal funds lines of credit with other financial institutions totaling $85 million.

Note 12 Income Taxes

        The components of the provision for income taxes for the years ended December 31, 2013, 2012 and 2011 were as follows (in thousands):

 
  2013   2012   2011  

Current:

                   

Federal

  $ 94,724   $ 170,973   $ 115,127  

State

    6,105     34,860     29,558  
               

    100,829     205,833     144,685  
               

Deferred:

                   

Federal

    5,028     (60,985 )   (9,322 )

State

    3,209     (11,243 )   (5,787 )
               

    8,237     (72,228 )   (15,109 )
               

  $ 109,066   $ 133,605   $ 129,576  
               
               

F-64


Table of Contents


BANKUNITED, INC. AND SUBSIDIARIES

NOTES TO CONSOLIDATED FINANCIAL STATEMENTS (Continued)

December 31, 2013

Note 12 Income Taxes (Continued)

        A reconciliation of expected income tax expense at the statutory federal income tax rate of 35% to the Company's actual income tax expense and effective tax rate for the years ended December 31, 2013, 2012 and 2011 follows (dollars in thousands):

 
  2013   2012   2011  
 
  Amount   Percent   Amount   Percent   Amount   Percent  

Tax expense calculated at the statutory federal income tax rate

  $ 111,301     35.00 % $ 120,703     35.00 % $ 67,460     35.00 %
                           

Increases (decreases) resulting from:

                                     

State income taxes, net of federal tax benefit

    6,597     2.08 %   13,944     4.04 %   7,172     3.72 %

Income not subject to tax

    (7,065 )   (2.22 )%   (6,019 )   (1.75 )%   (4,982 )   (2.59 )%

Non-deductible equity based compensation

        0.00 %   3,624     1.05 %   47,023     24.40 %

Uncertain state tax positions

    (2,063 )   (0.65 )%   2,870     0.83 %   12,757     6.62 %

Other, net

    296     0.09 %   (1,517 )   (0.43 )%   146     0.08 %
                           

  $ 109,066     34.30 % $ 133,605     38.74 % $ 129,576     67.23 %
                           
                           

        State income taxes in 2013 included credits of approximately $3.5 million, net of federal tax benefit, related to changes in certain state income tax positions taken in prior years.

        The components of deferred tax assets and liabilities at December 31, 2013 and 2012 were as follows (in thousands):

 
  2013   2012  

Deferred tax assets:

             

Excess of tax basis over carrying value of acquired loans

  $ 199,715   $ 290,735  

Allowance for loan and lease losses

    26,639     22,743  

Acquisition costs

    12,119     12,969  

Net operating loss carryforwards

    6,894     7,636  

Net unrealized losses on derivatives designated as cash flow hedges

    7,080     18,603  

Other

    19,210     21,133  
           

Gross deferred tax assets

    271,657     373,819  
           

Deferred tax liabilities:

             

Deferred tax gain resulting from the FSB Acquisition

    107,512     216,632  

Net unrealized gains on investment securities available for sale

    43,177     71,290  

Premises and equipment and equipment under operating lease, due to differences in depreciation

    45,081     20,931  

Other

    5,261     2,692  
           

Gross deferred tax liabilities

    201,031     311,545  
           

Net deferred tax asset

  $ 70,626   $ 62,274  
           
           

F-65


Table of Contents


BANKUNITED, INC. AND SUBSIDIARIES

NOTES TO CONSOLIDATED FINANCIAL STATEMENTS (Continued)

December 31, 2013

Note 12 Income Taxes (Continued)

        In evaluating whether a valuation allowance is required related to deferred tax assets, the Company considers all available evidence, both positive and negative, based on the more-likely-than-not criteria that such assets will be realized. This evaluation includes but is not limited to (1) available carryback potential to prior tax years, (2) future taxable income that will result from reversal of existing taxable temporary differences, which are expected to have a reversal pattern generally consistent with deferred tax assets, (3) potential tax planning strategies and (4) projected future taxable income. Based on this evaluation, management has concluded that it is more likely than not that the existing deferred tax assets will be realized. The primary factors supporting this conclusion are the amount of taxable income available for carryback and the amount of future taxable income that will result from the scheduled reversal of existing deferred tax liabilities.

        At December 31, 2013, the amount of remaining net operating loss carryforwards resulting from the acquisition of Herald was $19 million, expiring from 2029 through 2032. The tax benefits of net operating losses recognized for each of the years ended December 31, 2013 and 2012 was $0.8 million. No tax benefit of net operating losses was recognized for the year ended December 31, 2011.

        The Company has a liability for unrecognized tax benefits relating to uncertain tax positions primarily for state tax contingencies in several jurisdictions. A reconciliation of the beginning and ending amount of gross unrecognized tax benefits for the years ended December 31, 2013, 2012 and 2011 follows (in thousands):

 
  2013   2012   2011  

Balance, beginning of period

  $ 24,790   $ 20,961   $ 2,845  

Additions for tax positions related to the current year

    699     1,246     6,501  

Additions for tax positions related to prior periods

            7,982  

Reductions due to settlements with taxing authorities

        (41 )   (185 )

Reductions due to lapse of the statute of limitations

    (3,340 )        
               

    22,149     22,166     17,143  

Interest and penalties

    (251 )   2,624     3,818  
               

Balance, end of period

  $ 21,898   $ 24,790   $ 20,961  
               
               

        As of December 31, 2013, 2012 and 2011, the Company had $10.0 million, $11.7 million and $10.9 million of unrecognized state tax benefits, net of federal tax benefits, that if recognized would have impacted the effective tax rate. Unrecognized tax benefits related to state income tax contingencies that may decrease during the 12 months subsequent to December 31, 2013 as a result of the lapse in the statute of limitations total approximately $4.9 million.

        Interest and penalties related to unrecognized tax benefits are included in the provision for income taxes in the consolidated statements of income. At December 31, 2013 and 2012, accrued interest and penalties included in the consolidated balance sheets, net of federal tax benefits, were $5.5 million and $5.9 million, respectively. The total amounts of interest and penalties, net of federal tax benefits, recognized through income tax expense were $(0.3) million, $2.1 million and $3.5 million in 2013, 2012 and 2011, respectively, including the reversal of $1.4 million of interest and penalties due to lapse of the statute of limitations in 2013.

F-66


Table of Contents


BANKUNITED, INC. AND SUBSIDIARIES

NOTES TO CONSOLIDATED FINANCIAL STATEMENTS (Continued)

December 31, 2013

Note 12 Income Taxes (Continued)

        The Company and its subsidiaries file a consolidated federal income tax return as well as combined state income tax returns where combined filings are required. In June 2013, the federal income tax audit for the 2009 tax year was closed, with no material adjustments required. Income tax returns for the tax years ended December 31, 2013, 2012, 2011 and 2010 remain subject to examination in the U.S. Federal and various state tax jurisdictions. The tax year ended December 31, 2009 remains subject to examination by the state of Florida.

Note 13 Derivatives and Hedging Activities

        The Company uses interest rate swaps to manage interest rate risk related to variable rate FHLB advances and certificates of deposit with maturities of one year, which expose the Company to variability in cash flows due to changes in interest rates. The Company enters into LIBOR-based interest rate swaps that are designated as cash flow hedges with the objective of limiting the variability of interest payment cash flows resulting from changes in the benchmark interest rate LIBOR. The effective portion of changes in the fair value of interest rate swaps designated as cash flow hedging instruments is reported in AOCI and subsequently reclassified into interest expense in the same period in which the related interest on the floating-rate debt obligations affects earnings.

        The Company also enters into interest rate derivative contracts with certain of its commercial borrowers to enable those borrowers to manage their exposure to interest rate fluctuations. To mitigate interest rate risk associated with these derivative contracts, the Company enters into offsetting derivative contract positions with primary dealers. These interest rate derivative contracts are not designated as hedging instruments; therefore, changes in the fair value of these derivatives are recognized immediately in earnings. The impact on earnings related to changes in fair value of these derivatives for the years ended December 31, 2013, 2012 and 2011 was not material.

        The Company may be exposed to credit risk in the event of non-performance by the counterparties to its interest rate derivative agreements. The Company assesses the credit risk of its financial institution counterparties by monitoring publicly available credit rating and financial information. The Company manages dealer credit risk by entering into interest rate derivatives only with primary and highly rated counterparties, the use of ISDA master agreements and counterparty limits. The agreements contain bilateral collateral arrangements with the amount of collateral to be posted generally governed by the settlement value of outstanding swaps. The Company manages the risk of default by its borrower counterparties through its normal loan underwriting and credit monitoring policies and procedures. The Company does not currently anticipate any losses from failure of interest rate derivative counterparties to honor their obligations.

F-67


Table of Contents


BANKUNITED, INC. AND SUBSIDIARIES

NOTES TO CONSOLIDATED FINANCIAL STATEMENTS (Continued)

December 31, 2013

Note 13 Derivatives and Hedging Activities (Continued)

        The following tables set forth certain information concerning the Company's interest rate contract derivative financial instruments and related hedged items at December 31, 2013 and 2012 (dollars in thousands):

 
  2013  
 
   
   
   
  Weighted
Average
Remaining
Life
in Years
   
   
   
   
 
 
   
   
   
   
   
  Fair value  
 
   
  Weighted
Average
Pay Rate
  Weighted
Average
Receive Rate
  Notional
Amount
  Balance Sheet
Location
 
 
  Hedged Item   Asset   Liability  

Derivatives designated as cash flow hedges:

                                         

Pay-fixed interest rate swaps

  Variability of interest cash flows on certificates of deposit   3.11%   12-Month Libor     1.9   $ 225,000   Other liabilities   $   $ (10,591 )

Pay-fixed interest rate swaps

  Variability of interest cash flows on variable rate borrowings   1.61%   3-Month Libor     3.8     1,505,000   Other assets / Other liabilities     16,960     (28,326 )

Derivatives not designated as hedges:

                                         

Pay-fixed interest rate swaps and caps

      4.62%   Indexed to 1-month Libor     6.4     283,751   Other assets / Other liabilities     1,055     (3,816 )

Pay-variable interest rate swaps and caps

      Indexed to 1-month Libor   4.62%     6.4     283,751   Other assets / Other liabilities     3,816     (1,055 )
                                     

                    $ 2,297,502       $ 21,831   $ (43,788 )
                                     
                                     

 

 
  2012  
 
   
   
   
  Weighted
Average
Remaining
Life
in Years
   
   
   
   
 
 
   
   
   
   
   
  Fair value  
 
   
  Weighted
Average
Pay Rate
  Weighted
Average
Receive Rate
  Notional
Amount
  Balance Sheet
Location
 
 
  Hedged Item   Asset   Liability  

Derivatives designated as cash flow hedges:

                                         

Pay-fixed interest rate swaps

  Variability of interest cash flows on certificates of deposit   3.11%   12-Month Libor     2.8   $ 225,000   Other liabilities   $   $ (14,622 )

Pay-fixed interest rate swaps

  Variability of interest cash flows on variable rate borrowings   3.75%   3-Month Libor     3.8     285,000   Other liabilities         (36,182 )

Derivatives not designated as hedges:

                                         

Pay-fixed interest rate swaps and caps

      4.18%   Indexed to 1-month Libor     4.8     102,712   Other liabilities         (4,908 )

Pay-variable interest rate swaps and caps

      Indexed to 1-month Libor   4.18%     4.8     102,712   Other assets     4,908      
                                     

                    $ 715,424       $ 4,908   $ (55,712 )
                                     
                                     

F-68


Table of Contents


BANKUNITED, INC. AND SUBSIDIARIES

NOTES TO CONSOLIDATED FINANCIAL STATEMENTS (Continued)

December 31, 2013

Note 13 Derivatives and Hedging Activities (Continued)

        The following table provides information about gains and losses related to interest rate contract derivative instruments designated as cash flow hedges for the years ended December 31, 2013, 2012 and 2011 (in thousands):

 
  2013   2012   2011  

Amount of loss reclassified from AOCI into interest expense during the period (effective portion)

  $ (21,827 ) $ (17,962 ) $ (18,982 )
               
               

Amount of loss related to termination of cash flow hedges reclassified from AOCI into non-interest income during the period

  $   $ (8,701 ) $  
               
               

Amount of gain (loss) recognized in income during the period (ineffective portion)

  $   $   $ 426  
               
               

        During the years ended December 31, 2013 and 2011, no derivative positions designated as cash flow hedges were discontinued and none of the gains and losses reported in AOCI were reclassified into earnings as a result of the discontinuance of cash flow hedges or because of the early extinguishment of debt. During the year ended December 31, 2012, a derivative position designated as a cash flow hedge with a notional amount of $120 million was discontinued and a loss of $8.7 million was reclassified from AOCI into earnings as a result of the discontinuance of the cash flow hedge and the early extinguishment of related variable rate debt. As of December 31, 2013, the amount of loss expected to be reclassified from AOCI into income during the next twelve months was $25.4 million.

        Some of the Company's ISDA master agreements with financial institution counterparties contain provisions that permit either counterparty to terminate the agreements and require settlement in the event that regulatory capital ratios fall below certain designated thresholds, upon the initiation of other defined regulatory actions or upon suspension or withdrawal of the Bank's credit rating. Currently, there are no circumstances that would trigger these provisions of the agreements. Information on interest rate swaps subject to master netting agreements is as follows at December 31, 2013 and 2012 (in thousands):

 
  2013  
 
   
   
   
  Gross Amounts Not
Offset in Balance Sheet
   
 
 
  Gross Amounts
Recognized
  Gross Amounts
Offset in Balance
Sheet
  Net Amounts
Presented in
Balance Sheet
  Derivative
Instruments
  Collateral
Pledged
  Net Amount  

Derivative assets

  $ 18,015   $   $ 18,015   $ (2,010 ) $ (14,714 ) $ 1,291  

Derivative liabilities

    (42,733 )       (42,733 )   2,010     40,723      
                           

  $ (24,718 ) $   $ (24,718 ) $   $ 26,009   $ 1,291  
                           
                           

F-69


Table of Contents


BANKUNITED, INC. AND SUBSIDIARIES

NOTES TO CONSOLIDATED FINANCIAL STATEMENTS (Continued)

December 31, 2013

Note 13 Derivatives and Hedging Activities (Continued)


 
  2012  
 
   
   
   
  Gross Amounts Not
Offset in Balance Sheet
   
 
 
   
  Gross Amounts Offset in Balance Sheet    
   
 
 
  Gross Amounts Recognized   Net Amounts Presented in Balance Sheet   Derivative Instruments   Collateral Pledged   Net Amount  

Derivative liabilities

  $ (55,712 ) $   $ (55,712 ) $   $ 55,712   $  
                           
                           

        The difference between the amounts reported for interest rate swaps subject to master netting agreements and the total fair value of interest rate contract derivative financial instruments reported in the consolidated balance sheets is related to interest rate contracts entered into with borrowers not subject to master netting agreements.

        At December 31, 2013, the Company has pledged investment securities available for sale with a carrying amount of $44 million and cash on deposit of $14 million as collateral for these interest rate swaps in a liability position. Financial collateral of $15 million was pledged by counterparties to the Company for interest rate swaps in an asset position. The amount of collateral required to be posted by the Company varies based on the settlement value of outstanding swaps and in some cases may include initial margin requirements.

        The Company enters into commitments to fund residential mortgage loans with the intention that these loans will subsequently be sold into the secondary market. A mortgage loan commitment binds the Company to lend funds to a potential borrower at a specified interest rate within a specified period of time, generally 30 to 90 days. These commitments are considered derivative instruments. The notional amount of outstanding mortgage loan commitment derivatives was $3 million and $8 million at December 31, 2013 and 2012, respectively. Outstanding derivative loan commitments expose the Company to the risk that the price of the loans arising from exercise of the commitments might decline from inception of the commitment to funding of the loan. To protect against the price risk inherent in derivative loan commitments, the Company utilizes "best efforts" forward loan sale commitments. Under a "best efforts" contract, the Company commits to deliver an individual mortgage loan to an investor if the loan to the underlying borrower closes. Generally, the price the investor will pay the Company for a loan is specified prior to the loan being funded. These commitments are considered derivative instruments once the underlying loans are funded. The notional amount of forward loan sale commitment derivatives was $0.2 million and $2 million at December 31, 2013 and 2012, respectively. The fair value of loan commitment and forward sale commitment derivatives was nominal at December 31, 2013 and 2012.

Note 14 Stockholders' Equity

        In February 2012, the Company created a series of 5,416,000 shares of preferred stock designated "Series A Nonvoting Convertible Preferred Stock", par value $0.01 per share. The preferred stock ranked pari passu with the Company's common stock with respect to the payment of dividends or distributions and had a liquidation preference of $0.01 per share. In March 2013, each share of preferred stock outstanding was converted into one share of common stock. Following the conversion, the preferred stock resumed the status of authorized and unissued preferred stock, undesignated as to series and available for future issuance.

F-70


Table of Contents


BANKUNITED, INC. AND SUBSIDIARIES

NOTES TO CONSOLIDATED FINANCIAL STATEMENTS (Continued)

December 31, 2013

Note 14 Stockholders' Equity (Continued)

        On February 2, 2011, the Company closed the IPO of 33,350,000 shares of its common stock at $27 per share. In the offering, the Company sold 4,000,000 shares and selling stockholders sold 29,350,000 shares. Proceeds received by the Company on the sale of the 4,000,000 shares amounted to $102.6 million, net of underwriting discounts. The Company incurred direct costs of the stock issuance of $4.0 million, which were charged to paid-in capital.

        Effective January 10, 2011, the Board of Directors of BankUnited, Inc. (the "Board of Directors"), authorized a 10-for-1 split of the Company's outstanding common shares. Stockholders' equity has been retroactively adjusted to give effect to this stock split for all periods presented by reclassifying from paid-in capital to common stock the par value of the additional shares issued. All share and per share data have been retroactively restated for all periods presented to reflect this stock split.

        In conjunction with the acquisition of Herald, the Company issued 1,834,160 warrants to purchase its common stock to certain former shareholders of Herald. The warrants expire in November 2018. Each warrant is exercisable at an exercise price of $9.47, in exchange for which the holder is entitled to receive 0.0827 shares of BKU common stock and cash of $1.73.

    Accumulated Other Comprehensive Income

        Changes in AOCI for the years ended December 31, 2013, 2012 and 2011 are summarized as follows (in thousands):

 
  2013  
 
  Before Tax   Tax Effect   Net of Tax  

Unrealized gains on investment securities available for sale:

                   

Net unrealized holding loss arising during the year

  $ (64,330 ) $ 24,784   $ (39,546 )

Reclassification adjustment for net securities gains realized in income

    (8,629 )   3,329     (5,300 )
               

Net change in unrealized gains on securities available for sale

    (72,959 )   28,113     (44,846 )
               

Unrealized losses on derivative instruments:

                   

Net unrealized holding gain arising during the year

    8,046     (3,104 )   4,942  

Amounts reclassified to interest expense on deposits

    5,140     (1,982 )   3,158  

Amounts reclassified to interest expense on borrowings

    16,687     (6,437 )   10,250  
               

Net change in unrealized losses on derivative instruments

    29,873     (11,523 )   18,350  
               

Other comprehensive loss

  $ (43,086 ) $ 16,590   $ (26,496 )
               
               

F-71


Table of Contents


BANKUNITED, INC. AND SUBSIDIARIES

NOTES TO CONSOLIDATED FINANCIAL STATEMENTS (Continued)

December 31, 2013

Note 14 Stockholders' Equity (Continued)

 
  2012  
 
  Before Tax   Tax Effect   Net of Tax  

Unrealized gains on investment securities available for sale:

                   

Net unrealized holding gain arising during the year

  $ 112,165   $ (43,272 ) $ 68,893  

Reclassification adjustment for net securities gains realized in income

    (17,039 )   6,573     (10,466 )
               

Net change in unrealized gains on securities available for sale

    95,126     (36,699 )   58,427  
               

Unrealized losses on derivative instruments:

                   

Net unrealized holding loss arising during the year

    (14,405 )   5,557     (8,848 )

Amounts reclassified to interest expense on deposits

    4,904     (1,892 )   3,012  

Amounts reclassified to interest expense on borrowings

    13,058     (5,037 )   8,021  

Amounts reclassified to loss on termination of interest rate swap

    8,701     (3,356 )   5,345  
               

Net change in unrealized losses on derivative instruments

    12,258     (4,728 )   7,530  
               

Other comprehensive income

  $ 107,384   $ (41,427 ) $ 65,957  
               
               

F-72


Table of Contents


BANKUNITED, INC. AND SUBSIDIARIES

NOTES TO CONSOLIDATED FINANCIAL STATEMENTS (Continued)

December 31, 2013

Note 14 Stockholders' Equity (Continued)


 
  2011  
 
  Before Tax   Tax Effect   Net of Tax  

Unrealized gains on investment securities available for sale:

                   

Net unrealized holding loss arising during the year

  $ (44 ) $ 17   $ (27 )

Reclassification adjustment for net securities gains realized in income

    (1,136 )   438     (698 )
               

Net change in unrealized gains on securities available for sale

    (1,180 )   455     (725 )
               

Unrealized losses on derivative instruments:

                   

Net unrealized holding loss arising during the year

    (40,507 )   15,625     (24,882 )

Amounts reclassified to interest expense on deposits

    5,238     (2,020 )   3,218  

Amounts reclassified to interest expense on borrowings

    13,744     (5,302 )   8,442  
               

Net change in unrealized losses on derivative instruments

    (21,525 )   8,303     (13,222 )
               

Other comprehensive loss

  $ (22,705 ) $ 8,758   $ (13,947 )
               
               

        The categories of AOCI and changes therein are presented below for the years ended December 31, 2013, 2012 and 2011 (in thousands):

 
  Unrealized Gains on
Investment Securities
Available for Sale
  Unrealized Losses
on Derivative
Instruments
  Total  

Balance, December 31, 2010

  $ 55,897   $ (23,931 ) $ 31,966  

Other comprehensive income

    (725 )   (13,222 )   (13,947 )
               

Balance, December 31, 2011

    55,172     (37,153 )   18,019  

Other comprehensive income

    58,427     7,530     65,957  
               

Balance, December 31, 2012

    113,599     (29,623 )   83,976  

Other comprehensive income

    (44,846 )   18,350     (26,496 )
               

Balance, December 31, 2013

  $ 68,753   $ (11,273 ) $ 57,480  
               
               

Note 15 Equity Based Compensation and Other Benefit Plans

    Description of Equity Based Compensation Plans

        Pursuant to the terms of the BankUnited, Inc. 2009 Stock Option Plan (the "2009 Plan"), the Company's Board of Directors may grant up to 2,312,500 non-qualified stock options to key employees of the Company and its affiliates. Stock options may be granted with an exercise price equal to or

F-73


Table of Contents


BANKUNITED, INC. AND SUBSIDIARIES

NOTES TO CONSOLIDATED FINANCIAL STATEMENTS (Continued)

December 31, 2013

Note 15 Equity Based Compensation and Other Benefit Plans (Continued)

greater than the stock's fair value at the date of grant. The terms and conditions applicable to options granted under the 2009 Plan are determined by the Company's Board of Directors or a committee thereof, provided however, that each stock option shall expire on the tenth anniversary of the date of the grant, unless it is earlier exercised or forfeited. Options granted to date under the 2009 Plan vest over a period of three years. Shares of common stock delivered under the 2009 Plan may be authorized but unsold common stock or previously issued common stock reacquired by the Company. Vesting of stock options may be accelerated in the event of a change in control, as defined. The Company does not intend to issue any new awards under the 2009 Plan.

        In connection with the IPO, the Company adopted the BankUnited, Inc. 2010 Omnibus Equity Incentive Plan (the "2010 Plan"). The 2010 Plan is administered by the Board of Directors or a committee thereof and provides for the grant of non-qualified stock options, share appreciation rights ("SARs"), restricted shares, deferred shares, performance shares, unrestricted shares and other share-based awards to selected employees, directors or independent contractors of the Company and its affiliates. The number of shares of common stock authorized for award under the 2010 Plan is 7,500,000, of which 1,056,087 shares remain available for issuance as of December 31, 2013. Shares of common stock delivered under the plan may consist of authorized but unissued shares or previously issued shares reacquired by the Company. The term of a share option or SAR issued under the plan may not exceed ten years from the date of grant and the exercise price may not be less than the fair market value of the Company's common stock at the date of grant. Unvested awards generally become fully vested in the event of a change in control, as defined.

        At the time of acquisition by BankUnited, Inc., Herald had an existing stock option plan, the Heritage Bank, N.A. 2008 Stock Incentive Plan (the "Herald Plan"). Replacement options issued to employees and directors of Herald in conjunction with the acquisition were issued under the Herald Plan. No further awards are available for issuance under the Herald Plan.

    Compensation Expense Related to Equity Based Awards

        The following table summarizes compensation cost related to equity based awards for the years ended December 31, 2013, 2012 and 2011 (in thousands):

 
  2013   2012   2011  

Compensation cost of equity based awards:

                   

Unvested and restricted share awards

  $ 11,618   $ 7,389   $ 2,069  

Option awards

    1,362     2,671     1,707  

Performance share awards

    798     507      

PIUs

            110,398  

Instruments issued in exchange for PIUs

        13,235     30,614  
               

Total compensation cost of equity based awards

    13,778     23,802     144,788  

Related tax benefits

    (5,021 )   (4,887 )   (3,767 )
               

Compensation cost of equity based awards, net of tax

  $ 8,757   $ 18,915   $ 141,021  
               
               

F-74


Table of Contents


BANKUNITED, INC. AND SUBSIDIARIES

NOTES TO CONSOLIDATED FINANCIAL STATEMENTS (Continued)

December 31, 2013

Note 15 Equity Based Compensation and Other Benefit Plans (Continued)

        The following table summarizes total unrecognized compensation cost and the weighted average remaining period over which compensation cost will be recognized for share and option awards outstanding at December 31, 2013:

 
  Unrecognized
Compensation
Cost
  Weighted
Average
Remaining
Period
 

Share awards

  $ 13,473     1.56  

Option awards

  $ 609     0.96  

    Share Awards

    Unvested share awards

        A summary of activity related to unvested share awards granted under the 2010 Plan for the years ended December 31, 2013, 2012 and 2011 follows:

 
  Number of
Share
Awards
  Weighted
Average Grant
Date Fair Value
 

Unvested share awards outstanding, December 31, 2010

      $  

Granted

    706,230     24.58  

Issued in exchange for PIUs

    1,931,745     27.00  

Vested

    (965,873 )   27.00  

Canceled or forfeited

    (8,280 )   28.05  
           

Unvested share awards outstanding, December 31, 2011

    1,663,822     25.97  

Granted

    608,714     23.42  

Vested

    (1,179,118 )   26.58  

Canceled or forfeited

    (90,629 )   24.18  
           

Unvested share awards outstanding, December 31, 2012

    1,002,789     23.86  

Granted

    109,585     28.77  

Vested

    (436,577 )   24.54  

Canceled or forfeited

    (58,682 )   23.61  
           

Unvested share awards outstanding, December 31, 2013

    617,115   $ 24.27  
           
           

        Unvested share awards are generally valued at the closing price of the Company's common stock on the date of grant. The following table summarizes the closing price of the Company's stock on the

F-75


Table of Contents


BANKUNITED, INC. AND SUBSIDIARIES

NOTES TO CONSOLIDATED FINANCIAL STATEMENTS (Continued)

December 31, 2013

Note 15 Equity Based Compensation and Other Benefit Plans (Continued)

date of grant and the aggregate grant date fair value of shares vesting during the years ended December 31, 2013, 2012 and 2011(in thousands, except per share data):

 
  2013   2012   2011

Range of the closing price on date of grant

  $24.53 - $30.72   $23.08 - $25.20   $21.74 - $28.05

Aggregate grant date fair value of shares vesting

  $10,714   $31,346   $26,079

        Substantially all of the shares vest in equal annual installments over a period of three years from the date of grant. Shares issued in exchange for PIUs, valued at the IPO price of $27, retained the vesting provisions of the time-based PIUs for which they were exchanged and fully vested in 2012. Unvested shares participate in dividends declared on the Company's common stock on a one-for-one basis.

    Performance share awards

        Certain of the Company's executive officers are eligible to receive performance share awards at the end of each 12 month performance period ending on June 30. The dollar value of share awards to be granted is based on the achievement of certain performance criteria pre-established annually by the Company's Compensation Committee. The number of performance shares to be awarded is variable; therefore, these awards are initially classified as liability instruments in the Company's consolidated balance sheets. The awards vest over varying schedules of up to three years.

        The first annual performance period ended on June 30, 2013, resulting in awards with an aggregate value of $2.0 million. Based on the closing price of the Company's common stock on the date of grant, 66,822 share awards were granted. These shares are included in the summary of activity related to unvested share awards above. The maximum aggregate value of performance shares that may be granted for the performance period ending June 30, 2014 is $1.5 million. As of December 31, 2013, a liability of $255 thousand related to these performance share awards was reflected in the consolidated balance sheet based on management's assessment of the probability that the defined performance criteria will be achieved and the vesting terms of the awards to be granted.

F-76


Table of Contents


BANKUNITED, INC. AND SUBSIDIARIES

NOTES TO CONSOLIDATED FINANCIAL STATEMENTS (Continued)

December 31, 2013

Note 15 Equity Based Compensation and Other Benefit Plans (Continued)

    Restricted share awards

        In 2012, the Company granted shares of restricted stock under the 2010 Plan to certain of its officers. The restricted shares vest on varying schedules through December 31, 2014 and embody post-vesting transfer restrictions through the first anniversary of each vesting date. Restricted share activity for the years ended December 31, 2013 and 2012 is presented below:

 
  Number of
Share
Awards
  Weighted
Average Grant
Date Fair Value
 

Restricted share awards outstanding, December 31, 2011

      $  

Granted

    276,429     22.27  

Vested

    (89,322 )   22.28  
           

Restricted share awards outstanding, December 31, 2012

    187,107     22.27  

Vested

    (97,786 )   22.25  
           

Restricted share awards outstanding, December 31, 2013

    89,321   $ 22.28  
           
           

        Restricted shares were valued at the closing price of the Company's common stock at the date of grant, less a discount for lack of marketability ("DLOM") related to post-vesting transferability restrictions. The model used to calculate the DLOM first determines an estimated volatility based on historical and implied volatility of the Company's common stock and then, utilizing the estimated volatility, calculates the DLOM using both the "protective put method" and the "Asian put method." Discounts applied in valuing restricted shares granted during 2012 ranged from 7.10% to 11.55%. The aggregate fair value of restricted shares granted was $6.2 million, net of a $0.8 million DLOM. Vested and unvested restricted shares participate in dividends declared on the Company's common stock on a one-for-one basis.

F-77


Table of Contents


BANKUNITED, INC. AND SUBSIDIARIES

NOTES TO CONSOLIDATED FINANCIAL STATEMENTS (Continued)

December 31, 2013

Note 15 Equity Based Compensation and Other Benefit Plans (Continued)

    Option Awards

        A summary of activity related to stock option awards for the years ended December 31, 2013, 2012 and 2011 follows:

 
  Number of
Option
Awards
  Weighted
Average
Exercise Price
 

Option awards outstanding, December 31, 2010

    981,710   $ 17.04  

Granted

    300,000     22.31  

Option awards issued in exchange for PIUs

    4,534,970     27.00  

Exercised

    (31,029 )   10.48  

Canceled or forfeited

    (47,529 )   19.55  
           

Option awards outstanding, December 31, 2011

    5,738,122     25.20  

Replacement options issued in conjunction with the acquisition of Herald

    256,028     31.32  

Exercised

    (251,120 )   14.32  

Canceled or forfeited

    (44,242 )   34.31  
           

Option awards outstanding, December 31, 2012

    5,698,788     25.89  

Exercised

    (539,588 )   18.37  

Canceled or forfeited

    (88,261 )   43.30  
           

Option awards outstanding, December 31, 2013

    5,070,939     26.38  
           
           

Exercisable at December 31, 2013

    5,004,273   $ 26.44  
           
           

        The intrinsic value of options exercised during the years ended December 31, 2013, 2012 and 2011 was $6.1 million, $2.6 million and $370 thousand, respectively.

        There were no option awards granted during the year ended December 31, 2013. The grant-date fair value of option awards granted during the years ended December 31, 2012 and 2011 was determined using a Black-Scholes option pricing model incorporating the following weighted average assumptions:

 
  2012   2011  
 
  Options
Granted
  Options
Granted
  Exchanged
for PIUs
 

Expected volatility

    35.97 %   42.85 %   45.00 %

Expected dividend yield

    2.95 %   2.51 %   2.07 %

Expected term in years

    1.7     6.0     5.1  

Risk-free interest rate

    0.27 %   1.07 %   1.98 %

Weighted average grant date fair value

  $ 4.70   $ 7.19   $ 9.42  

        Prior to the IPO, the Company's common stock was not traded on an exchange. Expected volatility for options granted in exchange for PIUs in conjunction with the IPO was based on the volatility of comparable peer banks. Due to limited trading history in the Company's common stock, expected volatility for options granted subsequent to the IPO was estimated using both the volatility of the

F-78


Table of Contents


BANKUNITED, INC. AND SUBSIDIARIES

NOTES TO CONSOLIDATED FINANCIAL STATEMENTS (Continued)

December 31, 2013

Note 15 Equity Based Compensation and Other Benefit Plans (Continued)

Company's common stock since it began trading and the volatility of peer companies. At the time these options were granted, the Company had limited exercise history related to stock option awards. Therefore, the simplified method provided for in Staff Accounting Bulletin 14 was used to estimate the expected term.

        Additional information about options outstanding and exercisable at December 31, 2013 is presented in the following table:

 
  Outstanding Options   Exercisable Options  
Range of Exercise Prices
  Number of
Options
  Weighted
Average
Remaining
Contractual
Term (in
years)
  Aggregate
Intrinsic
Value (in
thousands)
  Number of
Options
  Weighted
Average
Remaining
Contractual
Term (in
years)
  Aggregate
Intrinsic
Value (in
thousands)
 
$10.00 - $13.39     78,110     5.73   $ 1,701     78,110     5.73   $ 1,701  
$15.94 - $19.97     107,218     6.38     1,612     107,218     6.38     1,612  
$21.36 - $22.31     332,956     7.63     3,540     266,290     7.55     2,832  
$27     4,534,970     7.09     26,847     4,534,970     7.09     26,847  
$63.74     17,685     4.95         17,685     4.95      
                           
      5,070,939     7.08   $ 33,700     5,004,273     7.07   $ 32,992  
                           
                           

    Profits Interests Units

        In conjunction with the IPO, the PIUs outstanding were exchanged for a combination of vested and unvested shares of the Company's common stock and vested and unvested stock options. The unvested shares and vested stock options participate in dividends declared on the Company's common stock on a one-for-one basis. The unvested stock options participated on a one-for-one basis in dividends declared on common stock until they vested. All of these instruments have vested. In the first quarter of 2011 in conjunction with the IPO, the Company recorded approximately $110.4 million in compensation expense related to the exchange and vesting of PIUs. This expense, which was not deductible for tax purposes, resulted in an offsetting increase in paid-in capital.

    Deferred Compensation Plan

        The Company has a non-qualified deferred compensation plan (the "Deferred Compensation Plan") for a select group of highly compensated employees whereby a participant, upon election, may defer a portion of eligible compensation. The Deferred Compensation Plan provides for Company contributions equal to 100% of the first 1% plus 70% of the next 5% of eligible compensation deferred. The Company credits each participant's account at an annual interest rate determined by the Company's Compensation Committee. The Company accrued interest on the deferred obligation at an annual rate of 6% for the years ended December 31, 2013, 2012 and 2011. A participant's elective deferrals and interest thereon are at all times 100% vested. Company contributions and interest thereon will become 100% vested upon the earlier of a change in control, as defined, or the participant's death, disability, attainment of normal retirement age or the completion of two years of service. Participant deferrals and any associated earnings will be paid upon separation from service or

F-79


Table of Contents


BANKUNITED, INC. AND SUBSIDIARIES

NOTES TO CONSOLIDATED FINANCIAL STATEMENTS (Continued)

December 31, 2013

Note 15 Equity Based Compensation and Other Benefit Plans (Continued)

the specified distribution year elected. The specified distribution year can be no earlier than the third calendar year after the calendar year in which the participant deferrals and or Company contributions are made. A participant may elect to be paid in a lump sum or in five, ten or fifteen annual installments. Deferred compensation expense for this plan was $373 thousand, $312 thousand and $217 thousand for the years ended December 31, 2013, 2012 and 2011, respectively.

    BankUnited 401(k) Plan

        The Company sponsors the BankUnited 401(k) Plan, a tax-qualified, deferred compensation plan (the "401(k) Plan"). Under the terms of the 401(k) Plan, eligible employees may contribute a portion of compensation not exceeding the limits set by law. Employees are eligible to participate in the plan after one month of service. The 401(k) Plan allows a matching employer contribution equal to 100% of elective deferrals that do not exceed 1% of compensation, plus 70% of elective deferrals that exceed 1% but are less than 6% of compensation. Matching contributions are fully vested after two years of service. For the years ended December 31, 2013, 2012 and 2011, BankUnited made matching contributions to the 401(k) Plan of approximately $4.1 million, $3.6 million and $3.0 million, respectively.

Note 16 Regulatory Requirements and Restrictions

        The Company and its banking subsidiaries are subject to various regulatory capital requirements administered by Federal banking agencies. Failure to meet minimum capital requirements can initiate certain mandatory—and possibly additional discretionary—actions by regulators that, if undertaken, could have a direct material effect on the Company's financial statements. Under capital adequacy guidelines and the regulatory framework for prompt corrective action, the Company and its banking subsidiaries must meet specific capital guidelines that involve quantitative measures of assets, liabilities and certain off-balance-sheet items calculated pursuant to regulation. The capital amounts and classification also are subject to qualitative judgments by the regulators about components, risk weightings and other factors. Banking regulations identify five capital categories for insured depository institutions: well-capitalized, adequately capitalized, undercapitalized, significantly undercapitalized and critically undercapitalized. As of December 31, 2013 and 2012, all capital ratios of the Company and its banking subsidiaries exceeded the "well capitalized" levels under the regulatory framework for prompt corrective action. Quantitative measures established by regulation to ensure capital adequacy require the Company and its banking subsidiaries to maintain minimum amounts and ratios of total and Tier 1 capital (as defined in the regulations) to risk-weighted assets (as defined), and of Tier 1 capital to average tangible assets (leverage ratio).

F-80


Table of Contents


BANKUNITED, INC. AND SUBSIDIARIES

NOTES TO CONSOLIDATED FINANCIAL STATEMENTS (Continued)

December 31, 2013

Note 16 Regulatory Requirements and Restrictions (Continued)

        The following tables provide information regarding regulatory capital for the Company and its banking subsidiaries as of December 31, 2013 and 2012 (dollars in thousands):

 
  2013  
 
  Actual   Required to be
Considered Well
Capitalized
  Required to be
Considered
Adequately
Capitalized
 
 
  Amount   Ratio   Amount   Ratio   Amount   Ratio  

BankUnited, Inc.:

                                     

Tier 1 leverage

  $ 1,801,848     12.42 %   N/A (1)   N/A (1) $ 580,454     4.00 %

Tier 1 risk-based capital

  $ 1,801,848     21.06 % $ 513,439     6.00 % $ 342,293     4.00 %

Total risk based capital

  $ 1,876,640     21.93 % $ 855,732     10.00 % $ 684,586     8.00 %

BankUnited:

                                     

Tier 1 leverage

  $ 1,519,285     10.58 % $ 718,098     5.00 % $ 574,479     4.00 %

Tier 1 risk-based capital

  $ 1,519,285     18.06 % $ 504,822     6.00 % $ 336,548     4.00 %

Total risk based capital

  $ 1,592,564     18.93 % $ 841,371     10.00 % $ 673,097     8.00 %

 

 
  2012  
 
  Actual   Required to be
Considered Well
Capitalized
  Required to be
Considered
Adequately
Capitalized
 
 
  Amount   Ratio   Amount   Ratio   Amount   Ratio  

BankUnited, Inc.:

                                     

Tier 1 leverage

  $ 1,646,120     13.16 %   N/A (1)   N/A (1) $ 500,402     4.00 %

Tier 1 risk-based capital

  $ 1,646,120     33.60 % $ 293,952     6.00 % $ 195,968     4.00 %

Total risk based capital

  $ 1,708,907     34.88 % $ 489,920     10.00 % $ 391,936     8.00 %

BankUnited:

                                     

Tier 1 leverage

  $ 1,304,980     11.01 % $ 592,836     5.00 % $ 474,269     4.00 %

Tier 1 risk-based capital

  $ 1,304,980     29.12 % $ 268,903     6.00 % $ 179,269     4.00 %

Total risk based capital

  $ 1,361,736     30.38 % $ 448,173     10.00 % $ 358,538     8.00 %

Herald:

                                     

Tier 1 leverage

  $ 91,249     18.78 % $ 24,294     5.00 % $ 19,435     4.00 %

Tier 1 risk-based capital

  $ 91,249     31.67 % $ 17,287     6.00 % $ 11,525     4.00 %

Total risk based capital

  $ 92,998     32.28 % $ 28,810     10.00 % $ 23,048     8.00 %

(1)
There is no Tier 1 leverage ratio component in the definition of a well-capitalized bank holding company.

        For purposes of risk based capital computations, the FDIC Indemnification asset and the covered assets are risk-weighted at 20% due to the conditional guarantee represented by the Loss Sharing Agreements.

        BankUnited is subject to various regulatory restrictions relating to the payment of dividends, including requirements to maintain capital at or above certain minimums, and to remain

F-81


Table of Contents


BANKUNITED, INC. AND SUBSIDIARIES

NOTES TO CONSOLIDATED FINANCIAL STATEMENTS (Continued)

December 31, 2013

Note 16 Regulatory Requirements and Restrictions (Continued)

"well-capitalized" under the prompt corrective action regulations. The Company does not expect that any of these laws, regulations or policies will materially affect the ability of BankUnited to pay dividends in the future.

        BankUnited is required by the Board of Governors of the Federal Reserve System to maintain reserve balances in the form of vault cash or deposits with the Federal Reserve Bank. At December 31, 2013, the reserve requirement for BankUnited was $24 million.

Note 17 Fair Value Measurements

    Assets and liabilities measured at fair value on a recurring basis

        Following is a description of the methodologies used to estimate the fair values of assets and liabilities measured at fair value on a recurring basis and the level within the fair value hierarchy in which those measurements are typically classified.

        Investment securities available for sale—Fair value measurements are based on quoted prices in active markets when available; these measurements are classified within level 1 of the fair value hierarchy. These securities typically include U.S. Treasury securities, certain preferred stocks and mutual funds. If quoted prices in active markets are not available, fair values are estimated using quoted prices of securities with similar characteristics, quoted prices of identical securities in less active markets, discounted cash flow techniques, or matrix pricing models. Investment securities available for sale that are generally classified within level 2 of the fair value hierarchy include U.S. Government agency securities, U.S. Government agency and sponsored enterprise mortgage-backed securities, preferred stock investments for which level 1 valuations are not available, corporate debt securities, non-mortgage asset-backed securities, certain private label mortgage-backed securities, Re-Remics, private label commercial mortgage-backed securities, collateralized loan obligations, state and municipal obligations and U.S. Small Business Administration securities. Pricing of these securities is generally primarily spread driven. Observable inputs that may impact the valuation of these securities include benchmark yield curves, credit spreads, reported trades, dealer quotes, bids, issuer spreads, current rating, historical constant prepayment rates, historical voluntary prepayment rates, structural and waterfall features of individual securities, published collateral data, and for certain securities, historical constant default rates and default severities. Investment securities available for sale generally classified within level 3 of the fair value hierarchy include certain private label mortgage-backed securities and trust preferred securities. The Company typically values these securities using internally developed or third-party proprietary pricing models, primarily discounted cash flow valuation techniques, which incorporate both observable and unobservable inputs. Unobservable inputs that may impact the valuation of these securities include risk adjusted discount rates, projected prepayment rates, projected default rates and projected loss severity.

        Derivative financial instruments—Interest rate swaps are predominantly traded in over-the-counter markets and, as such, values are determined using widely accepted discounted cash flow modeling techniques. These discounted cash flow models use projections of future cash payments and receipts that are discounted at mid-market rates. Observable inputs that may impact the valuation of these instruments include LIBOR swap rates, LIBOR forward yield curves and counterparty credit risk spreads. These fair value measurements are generally classified within level 2 of the fair value

F-82


Table of Contents


BANKUNITED, INC. AND SUBSIDIARIES

NOTES TO CONSOLIDATED FINANCIAL STATEMENTS (Continued)

December 31, 2013

Note 17 Fair Value Measurements (Continued)

hierarchy. Loan commitment derivatives are priced based on a bid pricing convention adjusted based on the Company's historical fallout rates. Fallout rates are a significant unobservable input; therefore, these fair value measurements are classified within level 3 of the fair value hierarchy. The fair value of loan commitment derivatives is nominal.

        The following tables present assets and liabilities measured at fair value on a recurring basis as of December 31, 2013 and 2012 (in thousands):

 
  2013  
 
  Level 1   Level 2   Level 3   Total  

Investment securities available for sale:

                         

U.S. Government agency and sponsored enterprise residential mortgage-backed securities

  $   $ 1,574,303   $   $ 1,574,303  

U.S. Government agency and sponsored enterprise commercial mortgage-backed securities

        26,777         26,777  

Re-Remics

        271,785         271,785  

Private label residential mortgage-backed securities and CMOs

        110,710     199,408     310,118  

Private label commercial mortgage-backed securities

        808,772         808,772  

Non-mortgage asset-backed securities

        178,994         178,994  

Mutual funds and preferred stocks

    149,427     250         149,677  

Small Business Administration securities

        308,937         308,937  

Other debt securities

        3,160     4,601     7,761  

Derivative assets

        21,831     35     21,866  
                   

Total assets at fair value

  $ 149,427   $ 3,305,519   $ 204,044   $ 3,658,990  
                   
                   

Derivative liabilities

  $   $ 43,788   $ 3   $ 43,791  
                   

Total liabilities at fair value

  $   $ 43,788   $ 3   $ 43,791  
                   
                   

F-83


Table of Contents


BANKUNITED, INC. AND SUBSIDIARIES

NOTES TO CONSOLIDATED FINANCIAL STATEMENTS (Continued)

December 31, 2013

Note 17 Fair Value Measurements (Continued)


 
  2012  
 
  Level 1   Level 2   Level 3   Total  

Investment securities available for sale:

                         

U.S. Treasury and Government agency securities

  $ 20,141   $ 15,013   $   $ 35,154  

U.S. Government agency and sponsored enterprise residential mortgage-backed securities

        1,584,523         1,584,523  

U.S. Government agency and sponsored enterprise commercial mortgage-backed securities

        60,416         60,416  

Re-Remics

        585,042         585,042  

Private label residential mortgage-backed securities and CMOs

        205,027     243,058     448,085  

Private label commercial mortgage-backed securities

        433,092         433,092  

Collateralized loan obligations

        253,188         253,188  

Non-mortgage asset-backed securities

        241,346         241,346  

Mutual funds and preferred stocks

    149,279     374         149,653  

State and municipal obligations

        25,353         25,353  

Small Business Administration securities

        339,610         339,610  

Other debt securities

        12,777     4,173     16,950  

Derivative assets

        4,908         4,908  
                   

Total assets at fair value

  $ 169,420   $ 3,760,669   $ 247,231   $ 4,177,320  
                   
                   

Derivative liabilities

  $   $ 55,712   $ 29   $ 55,741  
                   

Total liabilities at fair value

  $   $ 55,712   $ 29   $ 55,741  
                   
                   

        There were no transfers of financial assets between levels of the fair value hierarchy during the year ended December 31, 2013.

        During the year ended December 31, 2012, certain non-covered private label residential mortgage-backed securities and certain non-mortgage asset-backed securities with an aggregate fair value of $271 million were transferred from level 3 to level 2 of the fair value hierarchy. Activity in the market for these securities had increased such that unobservable inputs were no longer significant to the valuation process.

        During the year ended December 31, 2011, financial institution preferred stocks with a fair value of $200 million were transferred from level 2 to level 1 of the fair value hierarchy. Activity in the market for these securities had increased, enabling management to obtain quoted prices in a market considered to be active for identical securities on the measurement date. Non-mortgage asset-backed securities with a fair value of $65 million were transferred from level 2 to level 3 of the fair value hierarchy due to an increase in the significance of unobservable inputs to the valuation of the securities transferred. Re-Remics, private label commercial mortgage-backed securities, and non-mortgage asset-backed securities with a fair value of $780 million were transferred from level 3 to level 2 of the fair value hierarchy due to an increase in the level of market activity for these securities such that unobservable inputs were no longer considered significant to the valuation process.

F-84


Table of Contents


BANKUNITED, INC. AND SUBSIDIARIES

NOTES TO CONSOLIDATED FINANCIAL STATEMENTS (Continued)

December 31, 2013

Note 17 Fair Value Measurements (Continued)

        The following tables reconcile changes in the fair value of assets and liabilities measured at fair value on a recurring basis and classified in level 3 of the fair value hierarchy for the years ended December 31, 2013, 2012 and 2011 (in thousands):

 
  2013  
 
  Private Label
Residential
Mortgage-Backed
Securities
  Other Debt
Securities
  Derivative
Assets
  Derivative
Liabilities
 

Balance at beginning of period

  $ 243,058   $ 4,173   $   $ (29 )

Gains (losses) for the period included in:

                         

Net income

            35     26  

Other comprehensive income

    (2,157 )   691          

Premium and discount (amortization) accretion

    12,470     61          

Purchases or issuances

                 

Sales

                 

Settlements

    (53,963 )   (324 )        

Transfers into level 3

                 

Transfers out of level 3

                 
                   

Balance at end of period

  $ 199,408   $ 4,601   $ 35   $ (3 )
                   
                   

 

 
  2012  
 
  Private Label
Residential
Mortgage-Backed
Securities
  Non-Mortgage
Asset-Backed
Securities
  Other Debt
Securities
  Derivative
Liabilities
 

Balance at beginning of period

  $ 387,687   $ 79,870   $ 3,159   $  

Gains (losses) for the period included in:

                         

Net income

                (29 )

Other comprehensive income

    16,629     1,482     1,234      

Premium and discount (amortization) accretion

    12,713     443     63      

Purchases or issuances

    167,300              

Sales

                 

Settlements

    (136,244 )   (15,499 )   (283 )    

Transfers into level 3

                 

Transfers out of level 3

    (205,027 )   (66,296 )        
                   

Balance at end of period

  $ 243,058   $   $ 4,173   $ (29 )
                   
                   

F-85


Table of Contents


BANKUNITED, INC. AND SUBSIDIARIES

NOTES TO CONSOLIDATED FINANCIAL STATEMENTS (Continued)

December 31, 2013

Note 17 Fair Value Measurements (Continued)


 
  2011  
 
  Re-Remics   Private Label
Residential
Mortgage-Backed
Securities
  Private Label
Commercial
Mortgage-Backed
Securities
  Non-Mortgage
Asset-Backed
Securities
  Other
Debt
Securities
  FDIC
Warrant
  PIU
Liability
  Derivative
Liabilities
 

Balance at beginning of period

  $ 612,631   $ 382,920   $   $ 130,610   $ 3,943   $ (25,000 ) $ (44,964 ) $ (78 )

Gains (losses) for the period included in:

                                                 

Net income

                                78  

Other comprehensive income

    (9,949 )   (18,135 )   6,033     (3,256 )   (771 )            

Premium and discount (amortization) accretion

    1,430     17,595     2,171     (4,872 )   84              

Purchases or issuances

        93,594     178,370     140,922                  

Sales

                (14,978 )                

Settlements

    (145,700 )   (88,287 )   (22,856 )   (75,288 )   (97 )   25,000     44,964      

Transfers into level 3

                64,533                  

Transfers out of level 3

    (458,412 )       (163,718 )   (157,801 )                
                                   

Balance at end of period

  $   $ 387,687   $   $ 79,870   $ 3,159   $   $   $  
                                   
                                   

        Changes in the fair value of derivatives are included in the consolidated statement of income line item "Other non-interest expense."

        The following table provides information about the valuation techniques and unobservable inputs used in the valuation of financial instruments falling within level 3 of the fair value hierarchy as of December 31, 2013 (dollars in thousands):

 
  Fair Value at
December 31,
2013
  Valuation Technique   Unobservable Input   Range (Weighted Average)

Private label residential mortgage-backed securities and CMOs—Covered

  $ 175,863   Discounted cash flow   Voluntary prepayment rate   2.70% - 20.00% (6.99%)

            Probability of default   0.02% - 19.13% (4.49%)

            Loss severity   0.00% - 55.00% (17.29%)

Private label residential mortgage-backed securities and CMOs—Non-covered

  $ 23,545   Discounted cash flow   Voluntary prepayment rate   9.42% - 14.64% (13.53%)

            Probability of default   0.20% - 1.42% (1.01%)

            Loss severity   0.07% - 9.46% (3.88%)

        The significant unobservable inputs impacting the fair value measurement of private label residential mortgage-backed securities include voluntary prepayment rates, probability of default and loss severity given default. Generally, significant increases in any of those inputs would result in a lower fair value measurement. Alternatively, decreases in any of those inputs would result in a higher fair value measurement. The fair value measurements of those securities with higher levels of subordination

F-86


Table of Contents


BANKUNITED, INC. AND SUBSIDIARIES

NOTES TO CONSOLIDATED FINANCIAL STATEMENTS (Continued)

December 31, 2013

Note 17 Fair Value Measurements (Continued)

will be less sensitive to changes in these unobservable inputs, while securities with lower levels of subordination will show a higher degree of sensitivity to changes in these unobservable inputs. Generally, a change in the assumption used for probability of default is accompanied by a directionally similar change in the assumption used for loss severity given default and a directionally opposite change in the assumption used for voluntary prepayment rate.

        Non-covered private label residential mortgage-backed securities for which fair value measurements are classified in level 3 of the fair value hierarchy at December 31, 2013 had an aggregate fair value of $24 million. These securities consisted of senior tranches issued from 2003 to 2004 collateralized by prime fixed rate and hybrid 1-4 single family residential mortgages originated from 2002 to 2004. These securities have coupons ranging from 2.5% to 3.7%, ratings ranging from BBB- to A and subordination levels ranging from 7.3% to 11.3%.

        The covered securities for which fair value measurements are categorized in level 3 of the fair value hierarchy at December 31, 2013 consisted of pooled trust preferred securities with a fair value of $5 million and private label residential mortgage-backed securities with a fair value of $176 million. The trust preferred securities are not material to the Company's financial statements. The private label mortgage-backed securities were acquired in the FSB Acquisition and vary significantly with respect to seniority, subordination, collateral type and collateral performance; however, because of the Loss Sharing Agreements, the Company has minimal risk with respect to fluctuations in the value of these securities.

        The Company uses third-party pricing services in determining fair value measurements for investment securities. To obtain an understanding of the methodologies and assumptions used, management reviews written documentation provided by the pricing services, conducts interviews with valuation desk personnel, performs on-site walkthroughs and reviews model results and detailed assumptions used to value selected securities as considered necessary. Management has established a robust price challenge process that includes a review by the treasury front office of all prices provided on a monthly basis. Any price evidencing unexpected month over month fluctuations or deviations from expectations is challenged. If considered necessary to resolve any discrepancies, a price will be obtained from an additional independent valuation source. The Company does not typically adjust the prices provided, other than through this established challenge process. The results of price challenges are subject to review by executive management. The Company has also established a quarterly process whereby prices provided by its primary pricing service for a sample of securities are validated. When there are price discrepancies, the final determination of fair value is based on careful consideration of the assumptions and inputs employed by each of the pricing sources.

    Assets and liabilities measured at fair value on a non-recurring basis

        Following is a description of the methodologies used to estimate the fair values of assets and liabilities that may be measured at fair value on a non-recurring basis, and the level within the fair value hierarchy in which those measurements are typically classified.

        Impaired loans and OREO—The carrying amount of collateral dependent impaired loans is typically based on the fair value of the underlying collateral, which may be real estate or other business assets, less estimated costs to sell. The carrying value of OREO is initially measured based on the fair

F-87


Table of Contents


BANKUNITED, INC. AND SUBSIDIARIES

NOTES TO CONSOLIDATED FINANCIAL STATEMENTS (Continued)

December 31, 2013

Note 17 Fair Value Measurements (Continued)

value of the real estate acquired in foreclosure and subsequently adjusted to the lower of cost or estimated fair value, less estimated cost to sell. Fair values of real estate collateral are typically based on real estate appraisals which utilize market and income approaches to valuation incorporating both observable and unobservable inputs. When current appraisals are not available, the Company may use brokers' price opinions, home price indices or other available information about changes in real estate market conditions to adjust the latest appraised value available. These adjustments to appraised values may be subjective and involve significant management judgment. The fair value of collateral consisting of other business assets is generally based on appraisals that use market approaches to valuation incorporating primarily unobservable inputs. Fair value measurements related to collateral dependent impaired loans and OREO are classified within level 3 of the fair value hierarchy.

        Mortgage Servicing Rights—Fair value is estimated using a discounted cash flow technique that incorporates market-based assumptions including estimated prepayment speeds, contractual servicing fees, cost to service, discount rates, escrow account earnings, ancillary income, and estimated defaults.

        The following tables present assets for which non-recurring changes in fair value have been recorded for the years ended December 31, 2013, 2012 and 2011 (in thousands):

 
  2013  
 
  Level 1   Level 2   Level 3   Total   Gains
(Losses)
from Fair
Value
Changes
 

OREO

  $   $   $ 40,570   $ 40,570   $ (1,939 )
                       
                       

Impaired loans

  $   $   $ 7,320   $ 7,320   $ (22,865 )
                       
                       

 

 
  2012  
 
  Level 1   Level 2   Level 3   Total   Gains
(Losses)
from Fair
Value
Changes
 

OREO

  $   $   $ 76,022   $ 76,022   $ (9,926 )
                       
                       

Impaired loans

  $   $   $ 5,956   $ 5,956   $ (1,600 )
                       
                       

 

 
  2011  
 
  Level 1   Level 2   Level 3   Total   Gains
(Losses)
from Fair
Value
Changes
 

OREO

  $   $   $ 123,737   $ 123,737   $ (24,569 )
                       
                       

Impaired loans

  $   $   $ 5,028   $ 5,028   $ (4,254 )
                       
                       

F-88


Table of Contents


BANKUNITED, INC. AND SUBSIDIARIES

NOTES TO CONSOLIDATED FINANCIAL STATEMENTS (Continued)

December 31, 2013

Note 17 Fair Value Measurements (Continued)

        The following table presents the carrying value and fair value of financial instruments as of December 31, 2013 and 2012 and the level within the fair value hierarchy in which those measurements are classified (dollars in thousands):

 
   
  2013   2012  
 
  Level   Carrying Value   Fair Value   Carrying Value   Fair Value  

Assets:

                             

Cash and cash equivalents

  1   $ 252,749   $ 252,749   $ 495,353   $ 495,353  

Investment securities available for sale

  1/2/3     3,637,124     3,637,124     4,172,412     4,172,412  

Non-marketable equity securities

  2     152,066     152,066     133,060     133,060  

Loans held for sale

  2     194     197     2,129     2,151  

Loans:

                             

Covered

  3     1,471,493     2,199,683     1,846,482     2,508,466  

Non-covered

  3     7,512,391     7,424,698     3,666,136     3,718,377  

FDIC Indemnification asset

  3     1,205,117     854,703     1,457,570     1,285,434  

Accrued interest receivable

  2     25,150     25,150     22,059     22,059  

Derivative assets

  2/3     21,866     21,866     4,908     4,908  

Liabilities:

                             

Demand, savings and money market deposits

  2   $ 7,250,401   $ 7,250,401   $ 5,897,362   $ 5,897,362  

Time deposits

  2     3,282,027     3,303,358     2,640,711     2,666,780  

Federal Home Loan Bank advances and other borrowings

  2     2,414,313     2,417,566     1,925,094     1,937,491  

Accrued interest payable

  2     1,643     1,643     3,877     3,877  

Derivative liabilities

  2/3     43,791     43,791     55,741     55,741  

        The following methods and assumptions were used to estimate the fair value of each class of financial instruments, other than those described above:

        The carrying amounts of certain financial instruments approximate fair value due to their short-term nature and generally negligible credit risk. These financial instruments include cash and cash equivalents, accrued interest receivable, short-term borrowings and accrued interest payable.

    Non-marketable equity securities:

        Non-marketable equity securities include FHLB and FRB stock. There is no market for these securities, which can be liquidated only by redemption by the issuer. These securities are carried at par, which has historically represented the redemption price and is therefore considered to approximate fair value. Non-marketable equity securities are evaluated quarterly for potential impairment.

    Loans held for sale:

        The fair value of conforming loans originated and held for sale is based on pricing currently available to the Company in the secondary market.

F-89


Table of Contents


BANKUNITED, INC. AND SUBSIDIARIES

NOTES TO CONSOLIDATED FINANCIAL STATEMENTS (Continued)

December 31, 2013

Note 17 Fair Value Measurements (Continued)

    ACI and non-ACI loans:

        Fair values are estimated based on a discounted cash flow analysis. Estimates of future cash flows incorporate various factors that may include the type of loan and related collateral, estimated collateral values, estimated default probability and loss severity given default, internal risk rating, whether the interest rate is fixed or variable, term of loan, whether or not the loan is amortizing and loan specific net realizable value analyses for certain commercial and commercial real estate loans. The fair values of loans accounted for in pools are estimated on a pool basis. Other loans may be grouped based on risk characteristics and fair value estimated in the aggregate when applying discounted cash flow valuation techniques. Discount rates are based on current market rates for new originations of comparable loans adjusted for liquidity and credit risk premiums that the Company believes would be required by market participants.

    New loans:

        Fair values of residential loans are estimated using a discounted cash flow analysis with discount rates based on yields at which similar loans are trading in the secondary market, which reflect assumptions about credit risk. Fair values of commercial and consumer loans are estimated using a discounted cash flow analysis with discount rates based on interest rates currently being offered for loans with similar terms to borrowers of similar credit quality. The ALLL related to commercial and consumer loans is considered a reasonable estimate of the required adjustment to fair value to reflect the impact of credit risk. This estimate may not represent an exit value as defined in ASC 820.

    FDIC indemnification asset:

        The fair value of the FDIC indemnification asset has been estimated using a discounted cash flow technique incorporating assumptions about the timing and amount of future projected cash payments from the FDIC related to the resolution of covered assets. The factors that impact estimates of future cash flows are similar to those impacting estimated cash flows from ACI and non-ACI loans described above. The discount rate is determined by adjusting the risk free rate to incorporate uncertainty in the estimate of the timing and amount of future cash flows and illiquidity.

    Deposits:

        The fair value of demand deposits, savings accounts and money market deposits is the amount payable on demand at the reporting date. The fair value of time deposits is estimated using a discounted cash flow technique based on rates currently offered for deposits of similar remaining maturities.

    Federal Home Loan Bank advances:

        Fair value is estimated by discounting contractual future cash flows using the current rate at which borrowings with similar terms and remaining maturities could be obtained by the Company.

F-90


Table of Contents


BANKUNITED, INC. AND SUBSIDIARIES

NOTES TO CONSOLIDATED FINANCIAL STATEMENTS (Continued)

December 31, 2013

Note 18 Commitments and Contingencies

        The Company issues off-balance sheet financial instruments to meet the financing needs of its customers. These financial instruments include commitments to fund loans, unfunded commitments under existing lines of credit, and commercial and standby letters of credit. These commitments expose the Company to varying degrees of credit and market risk which are essentially the same as those involved in extending loans to customers, and are subject to the same credit policies used in underwriting loans. Collateral may be obtained based on the Company's credit evaluation of the counterparty. The Company's maximum exposure to credit loss is represented by the contractual amount of these commitments. Amounts funded under non-cancellable commitments in effect at the date of the FSB Acquisition are covered under the Loss Sharing Agreements if certain conditions are met.

    Commitments to fund loans:

        These are agreements to lend funds to customers as long as there is no violation of any condition established in the contract. Commitments to fund loans generally have fixed expiration dates or other termination clauses and may require payment of a fee. Many of these commitments are expected to expire without being funded and, therefore, the total commitment amounts do not necessarily represent future liquidity requirements.

    Unfunded commitments under lines of credit:

        Unfunded commitments under lines of credit include commercial, commercial real estate, home equity and consumer lines of credit to existing customers. Some of these commitments may mature without being fully funded.

    Commercial and standby letters of credit:

        Letters of credit are conditional commitments issued by the Company to guarantee the performance of a customer to a third party. These letters of credit are primarily issued to support trade transactions or guarantee arrangements. Fees collected on standby letters of credit represent the fair value of those commitments and are deferred and amortized over their term, which is typically one year or less. The credit risk involved in issuing letters of credit is essentially the same as that involved in extending loan facilities to customers.

        Total lending related commitments outstanding at December 31, 2013 were as follows (in thousands):

 
  Covered   Non-Covered   Total  

Commitments to fund loans

  $   $ 685,384   $ 685,384  

Commitments to purchase loans

        66,290     66,290  

Unfunded commitments under lines of credit

    51,085     920,638     971,723  

Commercial and standby letters of credit

        50,468     50,468  
               

  $ 51,085   $ 1,722,780   $ 1,773,865  
               
               

F-91


Table of Contents


BANKUNITED, INC. AND SUBSIDIARIES

NOTES TO CONSOLIDATED FINANCIAL STATEMENTS (Continued)

December 31, 2013

Note 18 Commitments and Contingencies (Continued)

    Legal Proceedings

        The Company is involved as plaintiff or defendant in various legal actions arising in the normal course of business. In the opinion of management, based upon advice of legal counsel, the likelihood is remote that the impact of these proceedings, either individually or in the aggregate, would be material to the Company's consolidated financial position, results of operations or cash flows.

Note 19 Condensed Financial Statements of BankUnited, Inc.

        Condensed financial statements of BankUnited, Inc. are presented below (in thousands):


Condensed Balance Sheets

 
  December 31,
2013
  December 31,
2012
 

Assets:

             

Cash and cash equivalents

  $ 132,293   $ 52,989  

Investment securities available for sale, at fair value

    132,262     155,688  

Investment in subsidiaries

    1,643,939     1,554,153  

Deferred tax asset, net

    15,043     14,973  

Other assets

    31,254     32,582  
           

Total assets

  $ 1,954,791   $ 1,810,385  
           
           

Liabilities and Stockholders' Equity:

             

Liabilities

  $ 26,093   $ 3,705  

Stockholders' equity

    1,928,698     1,806,680  
           

Total liabilities and stockholders' equity

  $ 1,954,791   $ 1,810,385  
           
           

F-92


Table of Contents


BANKUNITED, INC. AND SUBSIDIARIES

NOTES TO CONSOLIDATED FINANCIAL STATEMENTS (Continued)

December 31, 2013

Note 19 Condensed Financial Statements of BankUnited, Inc. (Continued)


Condensed Statements of Income

 
  Years Ended December 31,  
 
  2013   2012   2011  

Income:

                   

Interest and dividends on investment securities available for sale

  $ 5,647   $ 3,890   $ 2,033  

Service fees from subsidiaries

    6,293     14,043     25,659  

Equity in earnings of subsidiaries

    216,240     218,154     190,134  

Other

    68     5,905      
               

Total

    228,248     241,992     217,826  
               

Expense:

                   

Employee compensation and benefits

    18,465     26,928     145,279  

Other

    6,806     6,914     7,858  
               

Total

    25,271     33,842     153,137  
               

Income before income taxes

    202,977     208,150     64,689  

Provision (benefit) for income taxes

    (5,959 )   (3,110 )   1,521  
               

Net income

  $ 208,936   $ 211,260   $ 63,168  
               
               

F-93


Table of Contents


BANKUNITED, INC. AND SUBSIDIARIES

NOTES TO CONSOLIDATED FINANCIAL STATEMENTS (Continued)

December 31, 2013

Note 19 Condensed Financial Statements of BankUnited, Inc. (Continued)

Condensed Statements of Cash Flows

 
  Years Ended December 31,  
 
  2013   2012   2011  

Cash flows from operating activities:

                   

Net income

  $ 208,936   $ 211,260   $ 63,168  

Adjustments to reconcile net income to net cash provided by operating activities:

                   

Equity in undistributed earnings of subsidiaries

    (116,240 )   (118,154 )   (75,134 )

Equity based compensation

    13,429     23,204     144,769  

Other

    5,774     (5,529 )   (883 )
               

Net cash provided by operating activities

    111,899     110,781     131,920  
               

Cash flows from investing activities:

                   

Capital contributions to subsidiary

        (30,000 )    

Purchase of investment securities available for sale

        (99,710 )   (123,367 )

Proceeds from repayments, sale, maturities and calls of investment securities available for sale

    19,851     53,094     17,812  

Cash paid in business combination

        (25,164 )    

Other

    79     (326 )   (223 )
               

Net cash provided by (used in) investing activities

    19,930     (102,106 )   (105,778 )
               

Cash flows from financing activities:

                   

Issuance of common stock

            98,620  

Dividends paid

    (65,225 )   (89,021 )   (55,803 )

Settlement of FDIC warrant liability

            (25,000 )

Other

    12,700     5,209     931  
               

Net cash provided by (used in) financing activities

    (52,525 )   (83,812 )   18,748  
               

Net increase (decrease) in cash and cash equivalents

    79,304     (75,137 )   44,890  

Cash and cash equivalents, beginning of period

    52,989     128,126     83,236  
               

Cash and cash equivalents, end of period

  $ 132,293   $ 52,989   $ 128,126  
               
               

Supplemental schedule of non-cash investing and financing activities:

                   

Dividends declared, not paid

  $ 21,833   $   $ 14,930  
               
               

Equity consideration issued in business combination

  $   $ 39,861   $  
               
               

Reclassification of liability awards to equity

  $ 507   $   $ 44,964  
               
               

        BankUnited, Inc.'s investment in the Bank totaled $1.6 billion at December 31, 2013 and 2012. Dividends received by BankUnited, Inc. from the Bank totaled $100 million for the years ended December 31, 2013 and 2012, and $115 million for the year ended December 31, 2011.

F-94


Table of Contents


BANKUNITED, INC. AND SUBSIDIARIES

NOTES TO CONSOLIDATED FINANCIAL STATEMENTS (Continued)

December 31, 2013

Note 20 Subsequent Events

        Subsequent to December 31, 2013, we requested and received approval from the FDIC to sell certain covered commercial and consumer loans. Loans that had a carrying value of approximately $87 million at December 31, 2013 will be transferred to loans held for sale at the lower of carrying value or estimated fair value during the quarter ending March 31, 2014, and any resulting adjustment to the amount of indemnification expected to be received from the FDIC with respect to such loans will be recorded. The carrying value of such loans at the date of sale may differ from their carrying value at December 31, 2013 due to normal, ongoing payment and resolution activity. We are in the process of finalizing the determination of estimated fair value of the loans to be transferred to the held for sale category and the related impact on the FDIC indemnification asset.

Note 21 Quarterly Financial Information (Unaudited)

        Financial information by quarter for the years ended December 31, 2013 and 2012 follows (in thousands, except per share data):

 
  2013  
 
  Fourth
Quarter
  Third
Quarter
  Second
Quarter
  First
Quarter
  Total  

Interest income

  $ 188,664   $ 187,684   $ 186,098   $ 176,375   $ 738,821  

Interest expense

    24,409     23,566     22,048     22,588     92,611  
                       

Net interest income before provision for loan losses

    164,255     164,118     164,050     153,787     646,210  

Provision for loan losses

    12,512     2,604     4,881     11,967     31,964  
                       

Net interest income after provision for loan losses

    151,743     161,514     159,169     141,820     614,246  
                       

Non-interest income

    5,850     1,333     6,080     17,843     31,106  

Non-interest expense

    84,204     84,290     78,347     80,509     327,350  
                       

Income before income taxes

    73,389     78,557     86,902     79,154     318,002  

Provision for income taxes

    20,996     24,248     32,894     30,928     109,066  
                       

Net income

  $ 52,393   $ 54,309   $ 54,008   $ 48,226   $ 208,936  
                       
                       

Earnings per common share, basic

  $ 0.50   $ 0.52   $ 0.52   $ 0.48   $ 2.03  
                       
                       

Earnings per common share, diluted

  $ 0.50   $ 0.52   $ 0.52   $ 0.47   $ 2.01  
                       
                       

F-95


Table of Contents


BANKUNITED, INC. AND SUBSIDIARIES

NOTES TO CONSOLIDATED FINANCIAL STATEMENTS (Continued)

December 31, 2013

Note 21 Quarterly Financial Information (Unaudited) (Continued)


 
  2012  
 
  Fourth
Quarter
  Third
Quarter
  Second
Quarter
  First
Quarter
  Total  

Interest income

  $ 202,346   $ 170,305   $ 177,915   $ 170,290   $ 720,856  

Interest expense

    27,782     30,888     32,118     32,481     123,269  
                       

Net interest income before provision for loan losses

    174,564     139,417     145,797     137,809     597,587  

Provision for loan losses

    1,030     6,374     2,725     8,767     18,896  
                       

Net interest income after provision for loan losses

    173,534     133,043     143,072     129,042     578,691  
                       

Non-interest income(1)(2)

    5,499     25,684     21,666     36,398     89,247  

Non-interest expense

    78,702     77,222     83,031     84,118     323,073  
                       

Income before income taxes

    100,331     81,505     81,707     81,322     344,865  

Provision for income taxes

    37,829     31,948     32,778     31,050     133,605  
                       

Net income

  $ 62,502   $ 49,557   $ 48,929   $ 50,272   $ 211,260  
                       
                       

Earnings per common share, basic

  $ $0.61   $ $0.48   $ $0.48   $ $0.49   $ 2.05  
                       
                       

Earnings per common share, diluted

  $ $0.61   $ $0.48   $ $0.48   $ $0.49   $ 2.05  
                       
                       

(1)
Non-interest income for the fourth quarter of 2012 includes a loss from the extinguishment of Federal Home Loan Bank advances of $14.2 million. See Note 11.

(2)
Non-interest income for the fourth quarter of 2012 includes a loss from the termination of an interest rate swap of $8.7 million. See Note 13.

F-96


Table of Contents

Item 9.    Changes in and Disagreements with Accountants on Accounting and Financial Disclosure

        None.

Item 9A.    Controls and Procedures

Evaluation of Disclosure Controls and Procedures

        As of the end of the period covered by this Annual Report on Form 10-K, we carried out an evaluation under the supervision and with the participation of our management, including the Chief Executive Officer and Chief Financial Officer, of the effectiveness of the design and operation of our disclosure controls and procedures as defined in Exchange Act Rules 13a-15(e) and 15d-15(e). Based upon that evaluation, the Chief Executive Officer and the Chief Financial Officer concluded that our disclosure controls and procedures were effective.

Changes in Internal Control over Financial Reporting

        None.

Management's Report on Internal Control Over Financial Reporting

        Management's report set forth on page F-2 is incorporated herein by reference.

Item 9B.    Other Information

        None.

101


Table of Contents


PART III

Item 10.    Directors, Executive Officers and Corporate Governance

        Information regarding the directors and executive officers of BankUnited, Inc. and information regarding Section 16(a) compliance, the Audit and Risk Committee, the Company's code of ethics, background of the directors and director nominations appearing under the captions "Section 16(a) Beneficial Ownership Reporting Compliance," "Committees of the Board of Directors," "Corporate Governance Guidelines, Code of Conduct and Code of Ethics," "Director Nominating Process and Diversity" and "Election of Directors" in the Company's Proxy Statement for the 2014 annual meeting of stockholders is hereby incorporated by reference.

Item 11.    Executive Compensation

Executive Compensation

        For purposes of Item 402 of Regulation S-K, the "named executive officers" of BankUnited, Inc. for the fiscal year ended December 31, 2013 are John A. Kanas, Chairman, President and Chief Executive Officer; John Bohlsen, former Vice Chairman and Chief Lending Officer of the Bank; Leslie Lunak, Chief Financial Officer; Douglas J. Pauls, former Chief Financial Officer; Rajinder P. Singh, Chief Operating Officer and Director; and Randy R. Melby, former Senior Executive Vice President and Chief Risk Officer of the Bank.

        Information appearing under the captions "Director Compensation" and "Executive Compensation" in the 2014 Proxy Statement (other than the "Compensation Committee Report," which is deemed furnished herein by reference) is hereby incorporated by reference.

Item 12.    Security Ownership of Certain Beneficial Owners and Management and Related Stockholder Matters

        Information setting forth the security ownership of certain beneficial owners and management appearing under the caption "Beneficial Ownership of the Company's Common Stock" and information in the "Equity Compensation Plans" table appearing under the caption "Equity Compensation Plans" in the 2014 Proxy Statement is hereby incorporated by reference.

Item 13.    Certain Relationships and Related Transactions, and Director Independence

        Information regarding certain related transactions appearing under the captions "Certain Relationships and Related Person Transactions" and information regarding director independence appearing under the caption "Director Independence" in the 2014 Proxy Statement is hereby incorporated by reference.

Item 14.    Principal Accountant Fees and Services

        Information appearing under the captions "Auditor Fees and Services" and "Policy for Approval of Audit and Permitted Non-Audit Services" in the 2014 Proxy Statement is hereby incorporated by reference.

102


Table of Contents


PART IV

Item 15.    Exhibits, Financial Statement Schedules

(a)
List of documents filed as part of this report:

1)
Consolidated Financial Statements and Report of Independent Registered Public Accounting Firm:

      See Index on page F-1.

    2)
    Financial Statement Schedules:

      Financial statement schedules are omitted as not required or not applicable or because the information is included in the Consolidated Financial Statements or notes thereto.

    3)
    List of Exhibits:

      The exhibit list in the Exhibit Index is incorporated herein by reference as the list of exhibits required as part of this report.

103


Table of Contents

SIGNATURES

        Pursuant to the requirements of Section 13 or 15(d) of the Securities Exchange Act of 1934, the registrant has duly caused the report to be signed on its behalf by the undersigned, thereunto duly authorized.

    BANKUNITED, INC.

Date: February 27, 2014

 

By:

 

/s/ JOHN A. KANAS

        Name:   John A. Kanas
        Title:   Chairman, President and Chief Executive Officer

        Pursuant to the requirements of the Securities Exchange Act of 1934, this report has been signed by the following persons in the capacities and on the dates indicated.

Signature
 
Title
 
Date

 

 

 

 

 
/s/ JOHN A. KANAS

John A. Kanas
  Chairman, President and Chief Executive Officer (Principal Executive Officer)   February 27, 2014

/s/ LESLIE LUNAK

Leslie Lunak

 

Chief Financial Officer (Principal Financial and Accounting Officer)

 

February 27, 2014

/s/ RAJINDER SINGH

Rajinder Singh

 

Chief Operating Officer and Director

 

February 27, 2014

/s/ CHINH E. CHU

Chinh E. Chu

 

Director

 

February 27, 2014

/s/ SUE M. COBB

Ambassador Sue M. Cobb

 

Director

 

February 27, 2014

/s/ EUGENE F. DEMARK

Eugene F. Demark

 

Director

 

February 27, 2014

/s/ WILBUR L. ROSS, JR.

Wilbur L. Ross, Jr.

 

Director

 

February 27, 2014

104


Table of Contents

Signature
 
Title
 
Date

 

 

 

 

 
/s/ PIERRE OLIVIER SARKOZY

Pierre Olivier Sarkozy
  Director   February 27, 2014

/s/ LANCE N. WEST

Lance N. West

 

Director

 

February 27, 2014

/s/ THOMAS M. O'BRIEN

Thomas M. O'Brien

 

Director

 

February 27, 2014

/s/ TERE BLANCA

Tere Blanca

 

Director

 

February 27, 2014

/s/ MICHAEL J. DOWLING

Michael J. Dowling

 

Director

 

February 27, 2014

105


Table of Contents


EXHIBIT INDEX

Exhibit
Number
  Description   Location
  2.1a   Purchase and Assumption Agreement, dated as of May 21, 2009, among the Federal Deposit Insurance Corporation, Receiver of BankUnited, FSB, Coral Cables, Florida, the Federal Deposit Insurance Corporation and BankUnited (Single Family Shared-Loss Agreement and Commercial and Other Shared-Loss Agreement included as Exhibits 4.15A and 4.15B thereto, respectively)†   Exhibit 2.1a to the Registration Statement on Form S-1 of the Company filed January 18, 2011

 

2.1b

 

Addendum to Purchase and Assumption Agreement, dated as of May 21, 2009, by and among the Federal Deposit Insurance Corporation, Receiver of BankUnited, FSB, Coral Gables, Florida, BankUnited, and the Federal Deposit Insurance Corporation

 

Exhibit 2.1b to the Registration Statement on Form S-1 of the Company filed January 10, 2011

 

2.1c

 

Amendment No. 1 to the BankUnited Single Family Shared-Loss Agreement with the FDIC, dated as of November 2, 2010

 

Exhibit 2.1c to the Registration Statement on Form S-1 of the Company filed January 18, 2011

 

2.1d

 

Amendment No. 2 the BankUnited Single Family Shared-Loss Agreement with the FDIC, dated as of December 22, 2010

 

Exhibit 2.1d to the Registration Statement on Form S-1 of the Company filed January 18, 2011

 

3.1

 

Amended and Restated Certificate of Incorporation

 

Exhibit 3.1 of the Company's Annual Report on Form 10-K filed March 31, 2011

 

3.2

 

Amended and Restated By-Laws

 

Exhibit 3.2 of the Company's Annual Report on Form 10-K filed March 31, 2011

 

4.1

 

Specimen common stock certificate

 

Exhibit 4.1 to the Registration Statement on Form S-1 of the Company filed January 18, 2011

 

10.1

 

BankUnited Nonqualified Deferred Compensation Plan

 

Exhibit 10.6 to the Registration Statement on Form S-1 of the Company filed October 29, 2010

 

10.2

 

BankUnited, Inc. (formerly known as BU Financial Corporation) 2009 Stock Option Plan

 

Exhibit 10.7 to the Registration Statement on Form S-1 of the Company filed October 29, 2010

 

10.3

 

BankUnited, Inc. 2010 Omnibus Equity Incentive Plan

 

Exhibit 10.8 to the Registration Statement on Form S-1 of the Company filed January 18, 2011

106


Table of Contents

Exhibit
Number
  Description   Location
  10.4a   Registration Rights Agreement by and among BankUnited, Inc., John A. Kanas, Rajinder P. Singh, Douglas J. Pauls and John Bohlsen, and each of the other parties thereto   Exhibit 10.9 to Annual Report on Form 10-K of the Company filed March 31, 2011

 

10.4b

 

Amendment No. 1, dated February 29, 2012, to Registration Rights Agreement, dated February 2, 2011, by and among BankUnited, Inc., John A. Kanas, Rajinder P. Singh, Douglas J. Pauls and John Bohlsen, and each of the other parties thereto

 

Exhibit 10.3 to the Current Report on Form 8-K of the Company filed March 6, 2012

 

10.5

 

Amended and Restated Director Nomination Agreement, dated February 29, 2012, by and among BankUnited, Inc., John A. Kanas and the other parties thereto

 

Exhibit 10.2 to the Current Report on Form 8-K of the Company filed March 6, 2012

 

10.6

 

Form of indemnification agreement between BankUnited, Inc. and each of its directors and executive officers

 

Exhibit 10.1 to the Current Report on Form 8-K of the Company filed February 16, 2011

 

10.7

 

BankUnited, Inc. Policy on Incentive Compensation Arrangements

 

Exhibit 10.14 to the Registration Statement on Form S-1 of the Company filed January 24, 2011

 

10.8

 

Heritage Bank, N.A. 2008 Stock Incentive Plan

 

Exhibit 10.1 to the Registration Statement on Form S-8 of the Company filed February 29, 2012

 

10.9

 

Stock Warrant Agreement, dated as of November 24, 2008, by Heritage Bank, N.A. in favor of the parties listed on Exhibit A thereto

 

Exhibit 10.4 to the Current Report on Form 8-K of the Company filed March 6, 2012

 

10.10

 

Supplemental Warrant Agreement, dated as of February 29, 2012, by and between BankUnited, Inc. and Heritage Bank, N.A.

 

Exhibit 10.5 to the Current Report on Form 8-K of the Company filed March 6, 2012

 

10.11a

 

Amended and Restated Employment Agreement, dated August 29, 2012, by and between BankUnited, Inc. and John A. Kanas

 

Exhibit 10.1 to the Current Report on Form 8-K of the Company filed August 31, 2012

 

10.11b

 

Amended and Restated Employment Agreement, dated August 29, 2012, by and between BankUnited and John A. Kanas

 

Exhibit 10.4 to the Current Report on Form 8-K of the Company filed August 31, 2012

 

10.12a

 

Amended and Restated Employment Agreement, dated August 29, 2012, by and between BankUnited, Inc. and Rajinder P. Singh

 

Exhibit 10.2 to the Current Report on Form 8-K of the Company filed August 31, 2012

107


Table of Contents

Exhibit
Number
  Description   Location
  10.12b   Amended and Restated Employment Agreement, dated August 29, 2012, by and between BankUnited and Rajinder P. Singh   Exhibit 10.5 to the Current Report on Form 8-K of the Company filed August 31, 2012

 

10.13

 

Agreement and General Release, fully executed on January 2, 2014 and effective as of December 11, 2013, by and between Randy Melby and BankUnited

 

Exhibit 10.1 to the Current Report on Form 8-K of the Company filed on January 6, 2014

 

21.1

 

Subsidiaries of BankUnited, Inc.

 

Filed herewith

 

23.1

 

Consent of KPMG LLP

 

Filed herewith

 

31.1

 

Rule 13a-14(a) Certification of Chief Executive Officer of the Company in accordance with Section 302 of the Sarbanes-Oxley Act of 2002

 

Filed herewith

 

31.2

 

Rule 13a-14(a) Certification of Chief Financial Officer of the Company in accordance with Section 302 of the Sarbanes-Oxley Act of 2002

 

Filed herewith

 

32.1

 

Section 1350 Certification of Chief Executive Officer of the Company in accordance with Section 906 of the Sarbanes-Oxley Act of 2002

 

Filed herewith

 

32.2

 

Section 1350 Certification of Chief Financial Officer of the Company in accordance with Section 906 of the Sarbanes-Oxley Act of 2002

 

Filed herewith

 

101.INS

*

XBRL Instance Document

 

Filed herewith

 

101.SCH

*

XBRL Taxonomy Extension Schema

 

Filed herewith

 

101.CAL

*

XBRL Taxonomy Extension Calculation Linkbase

 

Filed herewith

 

101.DEF

*

XBRL Taxonomy Extension Definition Linkbase

 

Filed herewith

 

101.LAB

*

XBRL Taxonomy Extension Label Linkbase

 

Filed herewith

 

101.PRE

*

XBRL Taxonomy Extension Presentation Linkbase

 

Filed herewith

Schedules and similar attachments to the Purchase and Assumption Agreement have been omitted pursuant to Item 601(b)(2) of Regulation S-K. The registrant will furnish supplementally a copy of any omitted schedules or similar attachment to the SEC upon request.

*
Pursuant to Rule 406T of Regulation S-T, the Interactive Data Files on Exhibit 101 hereto are deemed not filed or part of a registration statement or prospectus for purposes of Sections 11 or 12 of the Securities Act of 1933, as amended, are deemed not filed for purposes of Section 18 of the Securities and Exchange Act of 1934, as amended, and otherwise are not subject to liability under those sections.

108