10-Q 1 fb-6302015x10q.htm 10-Q FB-6.30.2015-10Q
UNITED STATES
SECURITIES AND EXCHANGE COMMISSION
Washington, D.C. 20549
____________________________________________ 
FORM 10-Q
____________________________________________ 
(Mark One)
x QUARTERLY REPORT PURSUANT TO SECTION 13 OR 15(d) OF THE SECURITIES EXCHANGE ACT OF 1934
For the quarterly period ended June 30, 2015
or
o TRANSITION REPORT PURSUANT TO SECTION 13 OR 15(d) OF THE SECURITIES EXCHANGE ACT OF 1934
For the transition period from            to            
Commission File Number: 001-35551
____________________________________________ 
FACEBOOK, INC.
(Exact name of registrant as specified in its charter)
____________________________________________ 
Delaware
20-1665019
(State or other jurisdiction of incorporation or organization)
(I.R.S. Employer Identification Number)
1601 Willow Road, Menlo Park, California 94025
(Address of principal executive offices and Zip Code)
(650) 543-4800
(Registrant's telephone number, including area code)
 ____________________________________________
Indicate by check mark whether the registrant (1) has filed all reports required to be filed by Section 13 or 15(d) of the Securities Exchange Act of 1934 (Exchange Act) during the preceding 12 months (or for such shorter period that the registrant was required to file such reports), and (2) has been subject to such filing requirements for the past 90 days.    Yes  x    No  ¨ 
Indicate by check mark whether the registrant has submitted electronically and posted on its corporate Web site, if any, every Interactive Data File required to be submitted and posted pursuant to Rule 405 of Regulation S-T during the preceding 12 months (or for such shorter period that the registrant was required to submit and post such files).    Yes  x    No  ¨
Indicate by check mark whether the registrant is a large accelerated filer, an accelerated filer, a non-accelerated filer, or a smaller reporting company. See definition of "large accelerated filer," "accelerated filer" and "smaller reporting company" in Rule 12b-2 of the Exchange Act. (Check one):
Large accelerated filer
 
x
Accelerated filer
 
¨
 
 
 
 
 
Non-accelerated filer
 
¨ (Do not check if a smaller reporting company)
Smaller reporting company
 
¨
Indicate by check mark whether the registrant is a shell company (as defined in Rule 12b-2 of the Exchange Act).    Yes  ¨    No x
Indicate the number of shares outstanding of each of the issuer's classes of Common Stock, as of the latest practicable date.
Class
Number of Shares Outstanding
Class A Common Stock $0.000006 par value
2,259,736,529 shares outstanding as of July 27, 2015
Class B Common Stock $0.000006 par value
557,808,963 shares outstanding as of July 27, 2015



FACEBOOK, INC.
TABLE OF CONTENTS
 
 
 
Page No.
 
 
 
 
 
 
 
 
 
Item 1.
 
 
 
 
 
 
 
 
 
 
 
 
 
 
 
 
 
 
 
 
 
 
 
Item 2.
 
 
 
Item 3.
 
 
 
Item 4.
 
 
 
 
 
Item 1.
 
 
 
Item 1A.
 
 
 
Item 2.
 
 
 
Item 6.
 
 


2


NOTE ABOUT FORWARD-LOOKING STATEMENTS
This Quarterly Report on Form 10-Q contains forward-looking statements within the meaning of the Private Securities Litigation Reform Act of 1995. All statements contained in this Quarterly Report on Form 10-Q other than statements of historical fact, including statements regarding our future results of operations and financial position, our business strategy and plans, and our objectives for future operations, are forward-looking statements. The words "believe," "may," "will," "estimate," "continue," "anticipate," "intend," "expect," and similar expressions are intended to identify forward-looking statements. We have based these forward-looking statements largely on our current expectations and projections about future events and trends that we believe may affect our financial condition, results of operations, business strategy, short-term and long-term business operations and objectives, and financial needs. These forward-looking statements are subject to a number of risks, uncertainties and assumptions, including those described in Part II, Item 1A, "Risk Factors" in this Quarterly Report on Form 10-Q. Moreover, we operate in a very competitive and rapidly changing environment. New risks emerge from time to time. It is not possible for our management to predict all risks, nor can we assess the impact of all factors on our business or the extent to which any factor, or combination of factors, may cause actual results to differ materially from those contained in any forward-looking statements we may make. In light of these risks, uncertainties and assumptions, the future events and trends discussed in this Quarterly Report on Form 10-Q may not occur and actual results could differ materially and adversely from those anticipated or implied in the forward-looking statements.
We undertake no obligation to revise or publicly release the results of any revision to these forward-looking statements, except as required by law. Given these risks and uncertainties, readers are cautioned not to place undue reliance on such forward-looking statements.
Unless expressly indicated or the context requires otherwise, the terms "Facebook," "company," "we," "us," and "our" in this document refer to Facebook, Inc., a Delaware corporation, and, where appropriate, its wholly owned subsidiaries. The term "Facebook" may also refer to our products, regardless of the manner in which they are accessed. For references to accessing Facebook on the "web" or via a "website," such terms refer to accessing Facebook on personal computers. For references to accessing Facebook on "mobile," such term refers to accessing Facebook via a mobile application or via a mobile-optimized version of our website such as m.facebook.com, whether on a mobile phone or tablet.

3


LIMITATIONS OF KEY METRICS AND OTHER DATA
The numbers for our key metrics, which include our daily active users (DAUs), mobile DAUs, monthly active users (MAUs), mobile MAUs, and average revenue per user (ARPU), as well as certain other metrics such as mobile-only DAUs and mobile-only MAUs, are calculated using internal company data based on the activity of user accounts. While these numbers are based on what we believe to be reasonable estimates of our user base for the applicable period of measurement, there are inherent challenges in measuring usage of our products across large online and mobile populations around the world.
For example, there may be individuals who maintain one or more Facebook accounts in violation of our terms of service. We estimate, for example, that "duplicate" accounts (an account that a user maintains in addition to his or her principal account) may have represented less than 5% of our worldwide MAUs in 2014. We also seek to identify "false" accounts, which we divide into two categories: (1) user-misclassified accounts, where users have created personal profiles for a business, organization, or non-human entity such as a pet (such entities are permitted on Facebook using a Page rather than a personal profile under our terms of service); and (2) undesirable accounts, which represent user profiles that we determine are intended to be used for purposes that violate our terms of service, such as spamming. In 2014, for example, we estimate user-misclassified and undesirable accounts may have represented less than 2% of our worldwide MAUs. We believe the percentage of accounts that are duplicate or false is meaningfully lower in developed markets such as the United States or United Kingdom and higher in developing markets such as India and Turkey. However, these estimates are based on an internal review of a limited sample of accounts and we apply significant judgment in making this determination, such as identifying names that appear to be fake or other behavior that appears inauthentic to the reviewers. As such, our estimation of duplicate or false accounts may not accurately represent the actual number of such accounts. We are continually seeking to improve our ability to identify duplicate or false accounts and estimate the total number of such accounts, and such estimates may change due to improvements or changes in our methodology.
Our data limitations may affect our understanding of certain details of our business. For example, while user-provided data indicates a decline in usage among younger users, this age data is unreliable because a disproportionate number of our younger users register with an inaccurate age. Accordingly, our understanding of usage by age group may not be complete.
Some of our metrics have also been affected by applications on certain mobile devices that automatically contact our servers for regular updates with no user action involved, and this activity can cause our system to count the user associated with such a device as an active user on the day such contact occurs. The impact of this automatic activity on our metrics varies by geography because mobile usage varies in different regions of the world. In addition, our data regarding the geographic location of our users is estimated based on a number of factors, such as the user's IP address and self-disclosed location. These factors may not always accurately reflect the user's actual location. For example, a mobile-only user may appear to be accessing Facebook from the location of the proxy server that the user connects to rather than from the user's actual location. The methodologies used to measure user metrics may also be susceptible to algorithm or other technical errors. Our estimates for revenue by user location and revenue by user device are also affected by these factors. We regularly review our processes for calculating these metrics, and from time to time we may discover inaccuracies in our metrics or make adjustments to improve their accuracy, including adjustments that may result in the recalculation of our historical metrics. We believe that any such inaccuracies or adjustments are immaterial unless otherwise stated. In addition, our DAU and MAU estimates will differ from estimates published by third parties due to differences in methodology. For example, some third parties are not able to accurately measure mobile users or do not count mobile users for certain user groups or at all in their analyses.
The numbers of DAUs, mobile DAUs, MAUs, mobile MAUs, mobile-only DAUs, and mobile-only MAUs discussed in this Quarterly Report on Form 10-Q, as well as ARPU, do not include users of Instagram or WhatsApp unless they would otherwise qualify as such users, respectively, based on their other activities on Facebook. In addition, other user engagement metrics included herein do not include Instagram or WhatsApp unless otherwise specifically stated.

4


PART I—FINANCIAL INFORMATION
Item 1.
Financial Statements
FACEBOOK, INC.
CONDENSED CONSOLIDATED BALANCE SHEETS
(In millions, except for number of shares and par value)
(Unaudited)
 
June 30,
2015
 
December 31,
2014
Assets
 
 
 
Current assets:
 
 
 
Cash and cash equivalents
$
5,123

 
$
4,315

Marketable securities
9,002

 
6,884

Accounts receivable, net of allowances for doubtful accounts of $47 and $39 as of June 30, 2015 and December 31, 2014, respectively
1,815

 
1,678

Prepaid expenses and other current assets
1,011

 
793

Total current assets
16,951

 
13,670

Property and equipment, net
4,955

 
3,967

Intangible assets, net
3,605

 
3,929

Goodwill
18,025

 
17,981

Other assets
594

 
637

Total assets
$
44,130

 
$
40,184

Liabilities and stockholders' equity
 
 
 
Current liabilities:
 
 
 
Accounts payable
$
139

 
$
176

Partners payable
182

 
202

Accrued expenses and other current liabilities
1,472

 
866

Deferred revenue and deposits
49

 
66

Current portion of capital lease obligations
39

 
114

Total current liabilities
1,881

 
1,424

Capital lease obligations, less current portion
110

 
119

Other liabilities
2,687

 
2,545

Total liabilities
4,678

 
4,088

Stockholders' equity:
 
 
 
Common stock, $0.000006 par value; 5,000 million Class A shares authorized, 2,256 million and 2,234 million shares issued and outstanding, including 10 million and 13 million outstanding shares subject to repurchase, as of June 30, 2015 and December 31, 2014, respectively; 4,141 million Class B shares authorized, 558 million and 563 million shares issued and outstanding, including 4 million and 6 million outstanding shares subject to repurchase, as of June 30, 2015 and December 31, 2014, respectively

 

Additional paid-in capital
32,479

 
30,225

Accumulated other comprehensive loss
(357
)
 
(228
)
Retained earnings
7,330

 
6,099

Total stockholders' equity
39,452

 
36,096

Total liabilities and stockholders' equity
$
44,130

 
$
40,184

See Accompanying Notes to Condensed Consolidated Financial Statements.

5



FACEBOOK, INC.
CONDENSED CONSOLIDATED STATEMENTS OF INCOME
(In millions, except per share amounts)
(Unaudited) 
 
Three Months Ended June 30,
 
Six Months Ended June 30,
 
2015
 
2014
 
2015
 
2014
Revenue
$
4,042

 
$
2,910

 
$
7,586

 
$
5,412

Costs and expenses:
 
 
 
 
 
 
 
Cost of revenue
668

 
473

 
1,323

 
936

Research and development
1,170

 
492

 
2,231

 
947

Marketing and sales
626

 
358

 
1,247

 
681

General and administrative
305

 
197

 
579

 
384

Total costs and expenses
2,769

 
1,520

 
5,380

 
2,948

Income from operations
1,273

 
1,390

 
2,206

 
2,464

Interest and other income/(expense), net

 
(4
)
 
(1
)
 
(4
)
Income before provision for income taxes
1,273

 
1,386

 
2,205

 
2,460

Provision for income taxes
554

 
595

 
974

 
1,027

Net income
$
719

 
$
791

 
$
1,231

 
$
1,433

Less: Net income attributable to participating securities
4

 
3

 
7

 
6

Net income attributable to Class A and Class B common stockholders
$
715

 
$
788

 
$
1,224

 
$
1,427

Earnings per share attributable to Class A and Class B common stockholders:
 
 
 
 
 
 
 
Basic
$
0.26

 
$
0.31

 
$
0.44

 
$
0.56

Diluted
$
0.25

 
$
0.30

 
$
0.43

 
$
0.55

Weighted average shares used to compute earnings per share attributable to Class A and Class B common stockholders:
 
 
 
 
 
 
 
Basic
2,796

 
2,560

 
2,790

 
2,552

Diluted
2,850

 
2,615

 
2,844

 
2,609

Share-based compensation expense included in costs and expenses:
 
 
 
 
 
 
 
Cost of revenue
$
21

 
$
16

 
$
38

 
$
28

Research and development
603

 
219

 
1,169

 
400

Marketing and sales
82

 
50

 
154

 
93

General and administrative
57

 
29

 
105

 
67

Total share-based compensation expense
$
763

 
$
314

 
$
1,466

 
$
588

See Accompanying Notes to Condensed Consolidated Financial Statements.


6


FACEBOOK, INC.
CONDENSED CONSOLIDATED STATEMENTS OF COMPREHENSIVE INCOME
(In millions)
(Unaudited) 
 
Three Months Ended June 30,
 
Six Months Ended June 30,
 
2015
 
2014
 
2015
 
2014
Net income
$
719

 
$
791

 
$
1,231

 
$
1,433

Other comprehensive income (loss):
 
 
 
 
 
 
 
Change in foreign currency translation adjustment, net of tax
91

 
(20
)
 
(132
)
 
(21
)
Change in unrealized gain/loss on available-for-sale investments, net of tax
(1
)
 

 
3

 
2

Comprehensive income
$
809

 
$
771

 
$
1,102

 
$
1,414

See Accompanying Notes to Condensed Consolidated Financial Statements.

7


FACEBOOK, INC.
CONDENSED CONSOLIDATED STATEMENTS OF CASH FLOWS
(In millions)
(Unaudited)
 
Six Months Ended June 30,
 
2015
 
2014
Cash flows from operating activities
 
 
 
Net income
$
1,231

 
$
1,433

Adjustments to reconcile net income to net cash provided by operating activities:
 
 
 
Depreciation and amortization
916

 
521

Share-based compensation
1,457

 
588

Deferred income taxes
(289
)
 
(34
)
Tax benefit from share-based award activity
809

 
875

Excess tax benefit from share-based award activity
(809
)
 
(883
)
Other
7

 
(23
)
Changes in assets and liabilities:
 
 
 
Accounts receivable
(198
)
 
(82
)
Prepaid expenses and other current assets
(90
)
 
10

Other assets
(25
)
 
18

Accounts payable
16

 
69

Partners payable
(19
)
 
(5
)
Accrued expenses and other current liabilities
241

 
75

Deferred revenue and deposits
(17
)
 
15

Other liabilities
350

 
49

Net cash provided by operating activities
3,580

 
2,626

Cash flows from investing activities
 
 
 
Purchases of property and equipment
(1,051
)
 
(832
)
Purchases of marketable securities
(5,560
)
 
(4,482
)
Sales of marketable securities
2,726

 
1,968

Maturities of marketable securities
715

 
1,074

Acquisitions of businesses, net of cash acquired, and purchases of intangible assets
(282
)
 
(19
)
Change in restricted cash and deposits
44

 
(2
)
Other investing activities, net

 
(1
)
Net cash used in investing activities
(3,408
)
 
(2,294
)
Cash flows from financing activities
 
 
 
Taxes paid related to net share settlement
(12
)
 
(3
)
Proceeds from exercise of stock options

 
2

Principal payments on capital lease obligations
(84
)
 
(150
)
Excess tax benefit from share-based award activity
809

 
883

Net cash provided by financing activities
713

 
732

Effect of exchange rate changes on cash and cash equivalents
(77
)
 
(3
)
Net increase in cash and cash equivalents
808

 
1,061

Cash and cash equivalents at beginning of period
4,315

 
3,323

Cash and cash equivalents at end of period
$
5,123

 
$
4,384

See Accompanying Notes to Condensed Consolidated Financial Statements.

8


FACEBOOK, INC.
CONDENSED CONSOLIDATED STATEMENTS OF CASH FLOWS
(In millions)
(Unaudited)
 
Six Months Ended June 30,
 
2015
 
2014
Supplemental cash flow data
 
 
 
Cash paid during the period for:
 
 
 
Interest
$
5

 
$
8

Income taxes, net
$
159

 
$
59

Non-cash investing and financing activities:
 
 
 
Net change in accounts payable and accrued expenses and other current liabilities related to property and equipment additions
$
194

 
$
18

Promissory note payable issued in connection with an acquisition
$
198

 
$

See Accompanying Notes to Condensed Consolidated Financial Statements.

9


FACEBOOK, INC.
NOTES TO CONDENSED CONSOLIDATED FINANCIAL STATEMENTS
(Unaudited)
Note 1.
Summary of Significant Accounting Policies
Basis of Presentation
The accompanying unaudited condensed consolidated financial statements have been prepared in accordance with generally accepted accounting principles in the United States (GAAP) and applicable rules and regulations of the Securities and Exchange Commission regarding interim financial reporting. Certain information and note disclosures normally included in the financial statements prepared in accordance with GAAP have been condensed or omitted pursuant to such rules and regulations. As such, the information included in this quarterly report on Form 10-Q should be read in conjunction with the consolidated financial statements and accompanying notes included in our Annual Report on Form 10-K for the fiscal year ended December 31, 2014.
The condensed consolidated balance sheet as of December 31, 2014 included herein was derived from the audited financial statements as of that date, but does not include all disclosures including notes required by GAAP.
The condensed consolidated financial statements include the accounts of Facebook, Inc. and its wholly owned subsidiaries. All intercompany balances and transactions have been eliminated.
The accompanying condensed consolidated financial statements reflect all normal recurring adjustments necessary to present fairly the financial position, results of operations, and cash flows for the interim periods, but are not necessarily indicative of the results of operations to be anticipated for the full year ending December 31, 2015.
There have been no changes to our significant accounting policies described in our Annual Report on Form 10-K for the fiscal year ended December 31, 2014 that have had a material impact on our condensed consolidated financial statements and related notes.
Use of Estimates
Conformity with GAAP requires the use of estimates and judgments that affect the reported amounts in the condensed consolidated financial statements and accompanying notes. These estimates form the basis for judgments we make about the carrying values of our assets and liabilities, which are not readily apparent from other sources. We base our estimates and judgments on historical information and on various other assumptions that we believe are reasonable under the circumstances. GAAP requires us to make estimates and judgments in several areas, including, but not limited to, those related to revenue recognition, collectability of accounts receivable, contingent liabilities, fair value of financial instruments, fair value of acquired intangible assets and goodwill, useful lives of intangible assets and property and equipment, and income taxes. These estimates are based on management's knowledge about current events and expectations about actions we may undertake in the future. Actual results could differ materially from those estimates.
Recent Accounting Pronouncement
In May 2014, the Financial Accounting Standards Board (FASB) issued Accounting Standards Update No. 2014-09, Revenue from Contracts with Customers (Topic 606) (ASU 2014-09), which amends the existing accounting standards for revenue recognition. In July 2015, the FASB decided to delay the effective date of ASU 2014-09 by one year. The FASB also agreed to allow entities to choose to adopt the standard as of the original effective date. As such, the updated standard will be effective for us in the first quarter of 2018, with the option to adopt it in the first quarter of 2017. We are still evaluating the effect that the updated standard will have on our consolidated financial statements and related disclosures.
Note 2.
Acquisitions
In the six months ended June 30, 2015, we completed several business acquisitions for total consideration of $469 million, the substantial majority of which is related to a business combination involving land and buildings adjacent to our headquarters in Menlo Park. Included in this amount is a $198 million promissory note payable issued in connection with this particular acquisition. This promissory note payable is classified under accrued expenses and other current liabilities in our condensed consolidated balance sheets. These acquisitions were not material to our condensed consolidated financial statements, either individually or in the aggregate. Accordingly, pro forma historical results of operations related to these business acquisitions during the six months ended June 30, 2015 have not been presented. We have included the financial results of these business acquisitions in our condensed consolidated financial statements from their respective dates of acquisition.

10


The following table summarizes the allocation of the total consideration transferred during the six months ended June 30, 2015, including the related useful lives, where applicable:
 
(in millions)
 
Useful lives (in years)
Finite-lived intangible assets:
 
 
 
Acquired technology
$
25

 
3
Other
5

 
3
Land acquired
379

 
 
Other net tangible assets acquired
12

 
 
Deferred tax assets, net
6

 
 
Net assets acquired
$
427

 
 
Goodwill
42

 
 
Total fair value consideration
$
469

 
 
Goodwill generated from all business acquisitions completed during the six months ended June 30, 2015 is primarily attributable to expected synergies from future growth and potential monetization opportunities. The amount of goodwill generated during this period that is deductible for tax purposes is not material.
Note 3.
Earnings per Share
We compute earnings per share (EPS) of Class A and Class B common stock using the two-class method required for participating securities. We consider restricted stock awards to be participating securities because holders of such shares have non-forfeitable dividend rights in the event of our declaration of a dividend for common shares.
Undistributed earnings allocated to participating securities are subtracted from net income in determining net income attributable to common stockholders. Basic EPS is computed by dividing net income attributable to common stockholders by the weighted-average number of shares of our Class A and Class B common stock outstanding, adjusted for outstanding shares that are subject to repurchase.
For the calculation of diluted EPS, net income attributable to common stockholders for basic EPS is adjusted by the effect of dilutive securities, including awards under our equity compensation plans and inducement awards under a separate non-plan RSU award agreement. In addition, the computation of the diluted EPS of Class A common stock assumes the conversion of our Class B common stock to Class A common stock, while the diluted EPS of Class B common stock does not assume the conversion of those shares to Class A common stock. Diluted EPS attributable to common stockholders is computed by dividing the resulting net income attributable to common stockholders by the weighted-average number of fully diluted common shares outstanding.
Basic and dilutive securities in our basic and diluted EPS calculation for the three and six months ended June 30, 2015 do not include contingent earn-out shares. Issuance of these earn-out shares is dependent upon the completion of certain milestones. These milestones were not met as of June 30, 2015 and accordingly, these shares are excluded from the effect of basic and dilutive securities.
The restricted stock units (RSUs) excluded from the EPS calculation were not material for the three and six months ended June 30, 2015. There were 18 million and 10 million RSUs excluded from the calculation for the three and six months ended June 30, 2014, respectively, because the impact would be anti-dilutive.
Basic and diluted EPS are the same for each class of common stock because they are entitled to the same liquidation and dividend rights.

11


The numerators and denominators of the basic and diluted EPS computations for our common stock are calculated as follows (in millions, except per share amounts): 
 
Three Months Ended June 30,
 
Six Months Ended June 30,
 
2015
 
2014
 
2015
 
2014
 
Class A
 
Class B
 
Class A
 
Class B
 
Class A
 
Class B
 
Class A
 
Class B
Basic EPS:
 
 
 
 
 
 
 
 
 
 
 
 
 
 
 
Numerator
 
 
 
 
 
 
 
 
 
 
 
 
 
 
 
Net income
$
576

 
$
143

 
$
617

 
$
174

 
$
987

 
$
244

 
$
1,116

 
$
317

Less: Net income attributable to participating securities
3

 
1

 
2

 
1

 
6

 
1

 
5

 
1

Net income attributable to common stockholders
$
573

 
$
142

 
$
615

 
$
173

 
$
981

 
$
243

 
$
1,111

 
$
316

Denominator
 
 
 
 
 
 
 
 
 
 
 
 
 
 
 
Weighted average shares outstanding
2,252

 
559

 
2,002

 
568

 
2,247

 
560

 
1,992

 
571

Less: Shares subject to repurchase
10

 
5

 
5

 
5

 
11

 
6

 
5

 
6

Number of shares used for basic EPS computation
2,242

 
554

 
1,997

 
563

 
2,236

 
554

 
1,987

 
565

Basic EPS
$
0.26

 
$
0.26

 
$
0.31

 
$
0.31

 
$
0.44

 
$
0.44

 
$
0.56

 
$
0.56

Diluted EPS:
 
 
 
 
 
 
 
 
 
 
 
 
 
 
 
Numerator
 
 
 
 
 
 
 
 
 
 
 
 
 
 
 
Net income attributable to common stockholders
$
573

 
$
142

 
$
615

 
$
173

 
$
981

 
$
243

 
$
1,111

 
$
316

Reallocation of net income attributable to participating securities
4

 

 
3

 

 
7

 

 
6

 

Reallocation of net income as a result of conversion of Class B to Class A common stock
142

 

 
173

 

 
243

 

 
316

 

Reallocation of net income to Class B common stock

 
3

 

 
7

 

 
7

 

 
14

Net income attributable to common stockholders for diluted EPS
$
719

 
$
145

 
$
791

 
$
180

 
$
1,231

 
$
250

 
$
1,433

 
$
330

Denominator
 
 
 
 
 
 
 
 
 
 
 
 
 
 
 
Number of shares used for basic EPS computation
2,242

 
554

 
1,997

 
563

 
2,236

 
554

 
1,987

 
565

Conversion of Class B to Class A common stock
554

 

 
563

 

 
554

 

 
565

 

Weighted average effect of dilutive securities:
 
 
 
 
 
 
 
 
 
 
 
 
 
 
 
Employee stock options
8

 
8

 
13

 
13

 
9

 
9

 
14

 
14

RSUs
40

 
11

 
36

 
17

 
39

 
11

 
36

 
17

Shares subject to repurchase
6

 
2

 
6

 
4

 
6

 
3

 
7

 
4

Number of shares used for diluted EPS computation
2,850

 
575

 
2,615

 
597

 
2,844

 
577

 
2,609

 
600

Diluted EPS
$
0.25

 
$
0.25

 
$
0.30

 
$
0.30

 
$
0.43

 
$
0.43

 
$
0.55

 
$
0.55


12


Note 4.
Cash and Cash Equivalents, and Marketable Securities
The following table sets forth the cash and cash equivalents, and marketable securities (in millions):
 
June 30, 2015
 
December 31, 2014
Cash and cash equivalents:
 
 
 
Cash
$
2,300

 
$
2,162

Money market funds
2,823

 
2,153

Total cash and cash equivalents
5,123

 
4,315

Marketable securities:
 
 
 
U.S. government securities
3,981

 
2,830

U.S. government agency securities
3,248

 
2,710

Corporate debt securities
1,773

 
1,344

Total marketable securities
9,002

 
6,884

Total cash and cash equivalents, and marketable securities
$
14,125

 
$
11,199

The gross unrealized gains or losses on our marketable securities as of June 30, 2015 and December 31, 2014 were not significant. In addition, there were no securities in a continuous loss position for 12 months or longer as of June 30, 2015 and December 31, 2014.
The following table classifies our marketable securities by contractual maturities (in millions):
 
June 30, 2015
Due in one year
$
5,244

Due in one to two years
3,758

Total
$
9,002


13


Note 5.
Fair Value Measurement
The following table summarizes, for assets or liabilities measured at fair value, the respective fair value and the classification by level of input within the fair value hierarchy (in millions): 
 
 
 
Fair Value Measurement at
Reporting Date Using
Description
June 30, 2015
 
Quoted Prices
in Active
Markets for
Identical Assets
(Level 1)
 
Significant
Other
Observable
Inputs
(Level 2)
 
Significant
Unobservable
Inputs
(Level 3)
Cash equivalents:
 
 
 
 
 
 
 
Money market funds
$
2,823

 
$
2,823

 
$

 
$

Marketable securities:
 
 
 
 
 
 
 
U.S. government securities
3,981

 
3,981

 

 

U.S. government agency securities
3,248

 
3,248

 

 

Corporate debt securities
1,773

 

 
1,773

 

Total cash equivalents and marketable securities
$
11,825

 
$
10,052

 
$
1,773

 
$

 
 
 
 
 
 
 
 
Other liabilities:
 
 
 
 
 
 
 
Contingent consideration liability
$
213

 
$

 
$

 
$
213

 
 
 
Fair Value Measurement at
Reporting Date Using
Description
December 31, 2014
 
Quoted Prices
in Active
Markets for
Identical Assets
(Level 1)
 
Significant
Other
Observable
Inputs
(Level 2)
 
Significant
Unobservable
Inputs
(Level 3)
Cash equivalents:
 
 
 
 
 
 
 
Money market funds
$
2,153

 
$
2,153

 
$

 
$

Marketable securities:
 
 
 
 
 
 
 
U.S. government securities
2,830

 
2,830

 

 

U.S. government agency securities
2,710

 
2,710

 

 

Corporate debt securities
1,344

 

 
1,344

 

Total cash equivalents and marketable securities
$
9,037

 
$
7,693

 
$
1,344

 
$

 
 
 
 
 
 
 
 
Other liabilities:
 
 
 
 
 
 
 
Contingent consideration liability
$
191

 
$

 
$

 
$
191

We classify our cash equivalents and marketable securities within Level 1 or Level 2 because we use quoted market prices or alternative pricing sources and models utilizing market observable inputs to determine their fair value.
We classify our contingent consideration liability in connection with an acquisition in 2014 within Level 3 as factors used to develop the estimated fair value are unobservable inputs that are not supported by market activity. We estimate the fair value of our contingent consideration liability based on the present value of probability-weighted future cash flows related to the contingent earn-out criteria and the fair value of our common stock on each reporting date. Changes in the fair value of the contingent consideration liability subsequent to the acquisition date, such as changes in the probability assessment and the fair value of our common stock, are recognized in earnings in the period when the change in the estimated fair value occurs. During the three and six months ended June 30, 2015, we recognized increases in the fair value of our contingent consideration liability of $11 million and $22 million, respectively, in research and development expense in our condensed consolidated statements of income primarily due to an increase in the fair value of our common stock.

14


Note 6.
Property and Equipment
Property and equipment consists of the following (in millions): 
 
June 30,
2015
 
December 31,
2014
Land
$
583

 
$
153

Buildings
2,159

 
1,420

Leasehold improvements
348

 
304

Network equipment
3,279

 
3,020

Computer software, office equipment and other
199

 
149

Construction in progress
348

 
738

Total
6,916

 
5,784

Less: Accumulated depreciation
(1,961
)
 
(1,817
)
Property and equipment, net
$
4,955

 
$
3,967

Construction in progress includes costs primarily related to server network infrastructure and construction of data centers to support our infrastructure around the world. No interest was capitalized during the three and six months ended June 30, 2015 and 2014.
Note 7.
Goodwill and Intangible Assets
The changes in the carrying amount of goodwill for the six months ended June 30, 2015 are as follows (in millions): 
Balance as of December 31, 2014
$
17,981

Goodwill acquired
42

Effect of currency translation adjustment
2

Balance as of June 30, 2015
$
18,025

Intangible assets consist of the following (in millions):
 
 
 
June 30, 2015
 
December 31, 2014
 
Useful lives from date of acquisitions (in years)
 
Gross Carrying Amount
 
Accumulated Amortization
 
Net Carrying Amount
 
Gross Carrying Amount
 
Accumulated Amortization
 
Net Carrying Amount
Finite-lived intangible assets:
 
 
 
 
 
 
 
 
 
 
 
 
 
Acquired users
3 - 7
 
$
2,056

 
$
(234
)
 
$
1,822

 
$
2,056

 
$
(85
)
 
$
1,971

Acquired technology
2 - 10
 
838

 
(229
)
 
609

 
813

 
(144
)
 
669

Acquired patents
2 - 18
 
778

 
(286
)
 
492

 
773

 
(239
)
 
534

Trade names
2 - 7
 
632

 
(105
)
 
527

 
632

 
(46
)
 
586

Other
2 - 10
 
169

 
(74
)
 
95

 
164

 
(55
)
 
109

Total finite-lived intangible assets
 
 
$
4,473

 
$
(928
)
 
$
3,545

 
$
4,438

 
$
(569
)
 
$
3,869

 
 
 
 
 
 
 
 
 
 
 
 
 
 
Indefinite-lived intangible assets:
 
 
 
 
 
 
 
 
 
 
 
 
 
In-process research and development (IPR&D)
 
 
$
60

 
$

 
$
60

 
$
60

 
$

 
$
60

 
 
 
 
 
 
 
 
 
 
 
 
 
 
Total intangible assets
 
 
$
4,533

 
$
(928
)
 
$
3,605

 
$
4,498

 
$
(569
)
 
$
3,929


As of June 30, 2015, technological feasibility has not been established for our IPR&D intangible assets. They have no alternative future use and, as such, continue to be accounted for as indefinite-lived intangible assets.

15


Amortization expense of intangible assets was $180 million and $359 million for the three and six months ended June 30, 2015, respectively, and $41 million and $82 million for the three and six months ended June 30, 2014, respectively.
As of June 30, 2015, expected amortization expense for the unamortized acquired intangible assets for the next five years and thereafter is as follows (in millions):
The remainder of 2015
$
360

2016
702

2017
658

2018
602

2019
519

Thereafter
704

Total
$
3,545

Note 8.
Long-term Debt
In August 2013, we entered into a five-year senior unsecured revolving credit facility (2013 Revolving Credit Facility) that allows us to borrow up to $6.5 billion to fund working capital and general corporate purposes with interest payable on the borrowed amounts set at LIBOR plus 1.0%, as well as an annual commitment fee of 0.10% on the daily undrawn balance of the facility. We paid origination fees at closing of the 2013 Revolving Credit Facility, which fees are being amortized over the term of the facility. Any amounts outstanding under this facility will be due and payable on August 15, 2018. As of June 30, 2015, no amounts had been drawn down, and we were in compliance with the covenants under this facility.
Note 9.
Commitments and Contingencies
Commitments
Leases
We entered into various capital lease arrangements to obtain property and equipment for our operations. Additionally, on occasion we have purchased property and equipment for which we have subsequently obtained capital financing under sale-leaseback transactions. These agreements are typically for three years, except for a building lease which is for 15 years, with interest rates ranging from 1% to 13%. The leases are secured by the underlying leased buildings, leasehold improvements, and equipment. We have also entered into various non-cancelable operating lease agreements for certain of our offices, equipment, land, and data centers with original lease periods expiring between 2015 and 2030. We are committed to pay a portion of the related actual operating expenses under certain of these lease agreements. Certain of these arrangements have free rent periods or escalating rent payment provisions, and we recognize rent expense under such arrangements on a straight-line basis.
Operating lease expense was $41 million and $79 million for the three and six months ended June 30, 2015, respectively, and $33 million and $63 million for the three and six months ended June 30, 2014, respectively.
Contingencies
Legal Matters
Beginning on May 22, 2012, multiple putative class actions, derivative actions, and individual actions were filed in state and federal courts in the United States and in other jurisdictions against us, our directors, and/or certain of our officers alleging violation of securities laws or breach of fiduciary duties in connection with our initial public offering (IPO) and seeking unspecified damages. We believe these lawsuits are without merit, and we intend to continue to vigorously defend them. The vast majority of the cases in the United States, along with multiple cases filed against The NASDAQ OMX Group, Inc. and The Nasdaq Stock Market LLC (collectively referred to herein as NASDAQ) alleging technical and other trading-related errors by NASDAQ in connection with our IPO, were ordered centralized for coordinated or consolidated pre-trial proceedings in the U.S. District Court for the Southern District of New York. In a series of rulings in 2013 and 2014, the court denied our motion to dismiss the consolidated securities class action and granted our motions to dismiss the derivative actions against our directors and certain of our officers. On July 24, 2015, the court of appeals affirmed the dismissal of the derivative actions. On December 23, 2014, the plaintiffs in the consolidated securities class action filed their motion for class certification. On April 10, 2015, we filed our opposition to class certification. In addition, the events surrounding our IPO became the subject of various state and federal government inquiries. In May 2014, the Securities and Exchange Commission (SEC) notified us that it had terminated its inquiry and that no enforcement action had been recommended by the SEC.

16


We are also party to various legal proceedings and claims that arise in the ordinary course of business. With respect to our outstanding legal matters, we believe that the amount or estimable range of reasonably possible loss will not, either individually or in the aggregate, have a material adverse effect on our business, consolidated financial position, results of operations, or cash flows. However, the outcome of litigation is inherently uncertain. Therefore, if one or more of these legal matters were resolved against us for amounts in excess of management's expectations, our results of operations and financial condition, including in a particular reporting period, could be materially adversely affected.
Note 10.
Stockholders' Equity
Share-based Compensation Plans
We maintain two share-based employee compensation plans: the 2012 Equity Incentive Plan (2012 Plan) and the 2005 Stock Plan (collectively, Stock Plans). Our 2012 Plan serves as the successor to our 2005 Stock Plan and provides for the issuance of incentive and nonstatutory stock options, restricted stock awards, stock appreciation rights, RSUs, performance shares and stock bonuses to qualified employees, directors and consultants. Outstanding awards under the 2005 Stock Plan continue to be subject to the terms and conditions of the 2005 Stock Plan.
We initially reserved 25,000,000 shares of our Class A common stock for issuance under our 2012 Plan. The number of shares reserved for issuance under our 2012 Plan increase automatically on the first day of January of each of 2013 through 2022 by a number of shares of Class A common stock equal to the lesser of (i) 2.5% of the total outstanding shares of our common stock as of the immediately preceding December 31st or (ii) a number of shares determined by the board of directors. Our board of directors elected not to increase the number of shares reserved for issuance in 2015. In addition, shares available for grant under the 2005 Stock Plan, which were reserved but not issued, forfeited or repurchased at their original issue price, or subject to outstanding awards under the 2005 Stock Plan as of the effective date of our IPO, were added to the reserves of the 2012 Plan. The maximum term for stock options granted under the 2012 Plan may not exceed ten years from the date of grant. Our 2012 Plan will terminate ten years from the date of approval unless it is terminated earlier by our compensation committee.
The following table summarizes the activities of stock option awards under the Stock Plans for the six months ended June 30, 2015: 
 
Shares Subject to Options Outstanding
 
Number of
Shares
 
Weighted
Average
Exercise
Price
 
Weighted-
Average
Remaining
Contractual
Term
 
Aggregate
Intrinsic
Value(1)
 
(in thousands)
 
 
 
(in years)
 
(in millions)
Balance as of December 31, 2014
12,984

 
$
4.78

 
 
 
 
Stock options exercised
(1,475
)
 
0.55

 
 
 
 
Balance as of June 30, 2015
11,509

 
$
5.33

 
3.42
 
$
926

Stock options vested and expected to vest as of June 30, 2015
11,506

 
$
5.32

 
3.42
 
$
926

Stock options exercisable as of June 30, 2015
8,845

 
$
3.25

 
2.89
 
$
730

(1)
The aggregate intrinsic value is calculated as the difference between the exercise price of the underlying stock option awards and the official closing price of our Class A common stock, as reported on the NASDAQ Global Select Market, of $85.76 on June 30, 2015.


17


The following table summarizes the activities for our unvested RSUs for the six months ended June 30, 2015:
 
Unvested RSUs(1)
 
Number of Shares
 
Weighted Average Grant Date Fair Value
 
(in thousands)
 
 
Unvested at December 31, 2014
138,055

 
$
55.89

Granted
24,844

 
78.18

Vested
(18,903
)
 
39.74

Forfeited
(4,201
)
 
47.30

Unvested at June 30, 2015
139,795

 
$
62.29

(1)
Unvested shares include inducement awards issued in connection with an acquisition in 2014 and are subject to the terms, restrictions, and conditions of a separate non-plan RSU award agreement.

The fair value as of the respective vesting dates of RSUs that vested during the three and six months ended June 30, 2015 was $668 million and $1.48 billion, respectively, and $589 million and $1.54 billion, respectively, during the three and six months ended June 30, 2014.
As of June 30, 2015, there was $8.23 billion of unrecognized share-based compensation expense, of which $7.48 billion is related to RSUs and $751 million is related to restricted shares, shares with performance conditions related to our contingent consideration liability, and stock options. This unrecognized compensation expense is expected to be recognized over a weighted-average period of approximately three years.
Note 11.
Income Taxes
Our tax provision for interim periods is determined using an estimate of our annual effective tax rate, adjusted for discrete items arising in that quarter. In each quarter we update our estimate of the annual effective tax rate, and if our estimated annual tax rate changes, we make a cumulative adjustment in that quarter. Our quarterly tax provision, and our quarterly estimate of our annual effective tax rate, are subject to significant volatility due to several factors, including our ability to accurately predict our income (loss) before provision for income taxes in multiple jurisdictions, including the portions of our share-based compensation that will not generate tax benefits, and the effects of acquisitions and the integration of those acquisitions. In addition, our effective tax rate can be more or less volatile based on the amount of income before provision for income taxes.
Our effective tax rate has exceeded the U.S. statutory rate primarily because of the effect of non-deductible share-based compensation and the impact of acquiring intellectual property and integrating it into our business. Our effective tax rate in the future will depend on the portion of our profits earned within and outside the United States, which will also be affected by our methodologies for valuing our intellectual property and intercompany transactions.
We are subject to taxation in the United States and various other state and foreign jurisdictions. The material jurisdictions in which we are subject to potential examination include the United States and Ireland. We are under examination by the Internal Revenue Service (IRS) for our 2008 through 2010 tax years. We believe that adequate amounts have been reserved for any adjustments that may ultimately result from these examinations, and we do not anticipate a significant impact to our gross unrecognized tax benefits within the next 12 months related to these years. Our 2011 and future years remain open to examination by the IRS. Our 2010 and future years remain open to examination in Ireland.
Our gross unrecognized tax benefits were $2.02 billion and $1.68 billion as of June 30, 2015 and December 31, 2014, respectively. If the gross unrecognized tax benefits as of June 30, 2015 were realized in a subsequent period, this would result in a tax benefit of $1.47 billion within our provision of income taxes at such time. Our existing tax positions will continue to generate an increase in unrecognized tax benefits in subsequent periods. 
Although the timing of the resolution, settlement, and closure of any audits is highly uncertain, it is reasonably possible that the balance of gross unrecognized tax benefits could significantly change in the next 12 months. However, given the number of years remaining that are subject to examination, we are unable to estimate the full range of possible adjustments to the balance of gross unrecognized tax benefits.

18


Note 12.
Geographical Information
Revenue by geography is based on the billing address of the advertiser or developer. The following tables set forth revenue and property and equipment, net by geographic area (in millions):
 
Three Months Ended June 30,
 
Six Months Ended June 30,
 
2015
 
2014
 
2015
 
2014
Revenue:
 
 
 
 
 
 
 
United States
$
1,880

 
$
1,260

 
$
3,533

 
$
2,389

Rest of the world (1)
2,162

 
1,650

 
4,053

 
3,023

Total revenue
$
4,042

 
$
2,910

 
$
7,586

 
$
5,412

 
(1)
No individual country, other than disclosed above, exceeded 10% of our total revenue for any period presented.
 
June 30,
2015
 
December 31,
2014
Property and equipment, net:
 
 
 
United States
$
4,090

 
$
3,256

Sweden
605

 
514

Rest of the world
260

 
197

Total property and equipment, net
$
4,955

 
$
3,967

 


19


Item 2.
Management's Discussion and Analysis of Financial Condition and Results of Operations
You should read the following discussion of our financial condition and results of operations in conjunction with the condensed consolidated financial statements and the related notes included elsewhere in this Quarterly Report on Form 10-Q and with our audited consolidated financial statements included in our Annual Report on Form 10-K for the year ended December 31, 2014, as filed with the Securities and Exchange Commission. In addition to historical condensed consolidated financial information, the following discussion contains forward-looking statements that reflect our plans, estimates, and beliefs. Our actual results could differ materially from those discussed in the forward-looking statements. Factors that could cause or contribute to these differences include those discussed below and elsewhere in this Quarterly Report on Form 10-Q, particularly in Part II, Item 1A. "Risk Factors." For a discussion of limitations in the measurement of certain of our user metrics, see the section entitled "Limitations of Key Metrics and Other Data" in this Quarterly Report on Form 10-Q.

Certain revenue information in the section entitled "Three and Six Months Ended June 30, 2015 and 2014RevenueForeign Exchange Impact on Revenue" is presented on a constant currency basis. This information is a non-GAAP financial measure. To calculate revenue on a constant currency basis, we translated revenue for the three and six months ended June 30, 2015 using the prior year's monthly exchange rates for our settlement currencies other than the U.S. dollar. This non-GAAP financial measure is not intended to be considered in isolation or as a substitute for, or superior to, financial information prepared and presented in accordance with GAAP. This measure may be different from non-GAAP financial measures used by other companies, limiting its usefulness for comparison purposes. Moreover, presentation of revenue on a constant currency basis is provided for year-over-year comparison purposes, and investors should be cautioned that the effect of changing foreign currency exchange rates has an actual effect on our operating results. We believe this non-GAAP financial measure provides investors with useful supplemental information about the financial performance of our business, enable comparison of financial results between periods where certain items may vary independent of business performance, and allows for greater transparency with respect to key metrics used by management in operating our business.
Executive Overview of Second Quarter Results

Our key user metrics and financial results for the second quarter of 2015 are as follows:

User growth:
Daily active users (DAUs) were 968 million on average for June 2015, an increase of 17% year-over-year.
Mobile DAUs were 844 million on average for June 2015, an increase of 29% year-over-year.
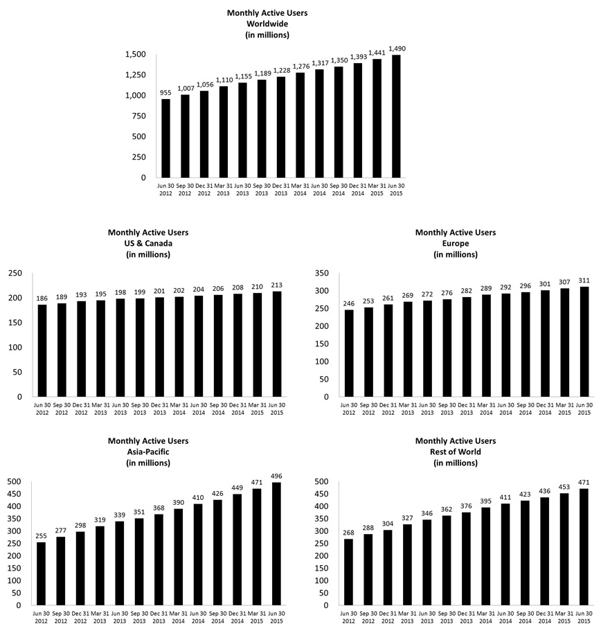
Monthly active users (MAUs) were 1.49 billion as of June 30, 2015, an increase of 13% year-over-year.
Mobile MAUs were 1.31 billion as of June 30, 2015, an increase of 23% year-over-year.

Financial results:
Revenue was $4.04 billion, up 39% year-over-year (or 50% year-over-year on a constant currency basis), and ad revenue was $3.83 billion, up 43% year-over-year (or 55% year-over-year on a constant currency basis).
Total costs and expenses were $2.77 billion.
Income from operations was $1.27 billion.
Net income was $719 million with diluted earnings per share of $0.25.
Capital expenditures were $549 million.
Effective tax rate was 44%.
Cash and cash equivalents and marketable securities were $14.13 billion as of June 30, 2015.
Headcount increased to 10,955 as of June 30, 2015.
In the second quarter of 2015, we continued to focus on three main revenue growth priorities: (i) continuing to capitalize on the shift to mobile, (ii) growing the number of marketers using our ad products, especially small- and medium-sized businesses around the world, and (iii) making our ads more relevant and effective through new ad formats and tools for marketers.
In addition, we invested, and will continue to invest, across three priorities: (i) our current generation of services by improving the speed and reliability of our apps and building new infrastructure, such as the recently announced data center project in Texas, and connecting people with the content they want such as more engaging videos, (ii) our next generation of services, including new features on Messenger, WhatsApp and search, and (iii) our long-term innovation efforts such as Internet.org, which provides free basic Internet services in certain countries, and the consumer version of the Oculus Rift. We expect these investments and our increasingly global scale will continue to drive significant overall year-over-year expense growth compared to 2014, driven primarily by increased headcount-related expenses as well as our capital expenditures, which we expect to be between $2.5 billion to $3.0 billion for 2015.

20


Trends in Our User Metrics
The numbers for our key metrics, our daily active users (DAUs), mobile DAUs, MAUs, mobile MAUs, and average revenue per user (ARPU), and certain other metrics such as mobile-only DAUs and mobile-only MAUs, do not include Instagram or WhatsApp users unless they would otherwise qualify as such users, respectively, based on their other activities on Facebook. In addition, other user engagement metrics do not include Instagram or WhatsApp unless otherwise specifically stated.
Trends in the number of users affect our revenue and financial results by influencing the number of ads we are able to show, the value of our ads to marketers, the volume of Payments transactions, as well as our expenses and capital expenditures.
Daily Active Users (DAUs). We define a daily active user as a registered Facebook user who logged in and visited Facebook through our website or a mobile device, used our Messenger app (and is also a registered Facebook user), or took an action to share content or activity with his or her Facebook friends or connections via a third-party website or application that is integrated with Facebook, on a given day. We view DAUs, and DAUs as a percentage of MAUs, as measures of user engagement.
Note: For purposes of reporting DAUs, MAUs, and ARPU by geographic region, Europe includes all users in Russia and Turkey and Rest of World includes all users in Africa, Latin America, and the Middle East.

21



Worldwide DAUs increased 17% to 968 million on average during June 2015 from 829 million during June 2014. We experienced growth in DAUs across major markets including India, the United States, and Brazil. Overall growth in DAUs was driven by increased mobile usage of Facebook, and the number of DAUs accessing Facebook on personal computers decreased in June 2015 compared to the same period in 2014. We believe that use of Facebook through personal computers will continue to decline in all regions.
Mobile DAUs. We define a mobile DAU as a user who accessed Facebook via a mobile application or via mobile versions of our website such as m.facebook.com, whether on a mobile phone or tablet, or used our Messenger app (and is also a registered Facebook user) on a given day. We define a mobile-only DAU as a user who accessed Facebook solely through mobile applications or mobile versions of our website on a given day, whereas a mobile DAU may have also accessed Facebook on a personal computer on that day.
Worldwide mobile DAUs increased 29% to 844 million on average during June 2015 from 654 million during June 2014. In all regions, an increasing number of our DAUs accessed Facebook through mobile devices on average during June 2015 as compared to the same period during 2014, with users in Brazil, India, and the United States representing key sources of mobile DAU growth on average during June 2015. On average during June 2015, there were 688 million mobile-only DAUs, increasing 41% from 488 million mobile-only DAUs during the same period in 2014. The remaining mobile DAUs accessed Facebook from both mobile devices and personal computers. We anticipate that growth in mobile users will continue to be the driver of our user growth for the foreseeable future.

22


Monthly Active Users (MAUs). We define a monthly active user as a registered Facebook user who logged in and visited Facebook through our website or a mobile device, used our Messenger app (and is also a registered Facebook user), or took an action to share content or activity with his or her Facebook friends or connections via a third-party website or application that is integrated with Facebook, in the last 30 days as of the date of measurement. MAUs are a measure of the size of our global active user community.
    
As of June 30, 2015, we had 1.49 billion MAUs, an increase of 13% from June 30, 2014. Users in India, Thailand, and the United States represented key sources of growth in the second quarter of 2015 relative to the same period in 2014. Overall growth in MAUs was driven by increased mobile usage of Facebook, and the number of MAUs accessing Facebook on personal computers decreased in June 2015 compared to the same period in 2014. We believe that use of Facebook through personal computers will continue to decline in all regions.


23


Mobile MAUs. We define a mobile MAU as a user who accessed Facebook via a mobile application or via mobile versions of our website such as m.facebook.com, whether on a mobile phone or tablet, or used our Messenger app (and is also a registered Facebook user) during the period of measurement. We define a mobile-only MAU as a user who accessed Facebook solely through mobile applications or mobile versions of our website during the period of measurement, whereas a mobile MAU may have also accessed Facebook on a personal computer during the period of measurement.
Worldwide mobile MAUs increased 23% to 1.31 billion as of June 30, 2015 from 1.07 billion as of June 30, 2014. In all regions, an increasing number of our MAUs accessed Facebook through mobile devices in the second quarter of 2015 as compared to the same period in 2014, with users in India, Brazil, and the United States representing key sources of mobile MAU growth in the second quarter of 2015. There were 655 million mobile-only MAUs as of June 30, 2015, increasing 64% from 399 million mobile-only MAUs during the same period in 2014. The remaining 659 million mobile MAUs accessed Facebook from both mobile devices and personal computers during June 2015. We anticipate that growth in mobile users will continue to be the driver of our user growth for the foreseeable future.

24


Trends in Our Monetization by User Geography
We calculate our revenue by user geography based on our estimate of the geography in which ad impressions are delivered or virtual and digital goods are purchased. We define ARPU as our total revenue in a given geography during a given quarter, divided by the average of the number of MAUs in the geography at the beginning and end of the quarter. The geography of our users affects our revenue and financial results because we currently monetize users in different geographies at different average rates. Our revenue and ARPU in regions such as United States & Canada and Europe are relatively higher due to the size and maturity of those advertising markets as well as our greater sales presence and the number of payment methods that we make available to marketers and users. For example, ARPU for an average user in the second quarter of 2015 in the United States & Canada region was more than seven times higher than for an average user in the Asia-Pacific region.
Note: Our revenue by user geography in the charts above is geographically apportioned based on our estimation of the geographic location of our users when they perform a revenue-generating activity. This allocation differs from our revenue by geography disclosure in our condensed consolidated financial statements where revenue is geographically apportioned based on the location of the marketer or developer.

25


During the second quarter of 2015, worldwide ARPU was $2.76, an increase of 23% from the second quarter of 2014. Over this period, ARPU increased by 44% in United States & Canada, 19% in Asia-Pacific, 18% in Europe, and 5% in Rest of World. The general strengthening of the U.S. dollar relative to certain foreign currencies from the second quarter of 2014 to the same period in 2015 had an unfavorable impact on the growth rate of our ARPU outside the United States and Canada region. In addition, user growth was more rapid in geographies with relatively lower ARPU, such as Asia-Pacific and Rest of World. We expect that user growth in the future will be primarily concentrated in those regions where ARPU is relatively lower, such as Asia-Pacific and Rest of World, such that worldwide ARPU may continue to increase at a slower rate relative to ARPU in any geographic region, or potentially decrease even if ARPU increases in each geographic region.

26


Components of Results of Operations
Revenue
We generate substantially all of our revenue from advertising and from fees associated with our Payments infrastructure that enables people to purchase virtual and digital goods from our developers.
Advertising. Our advertising revenue is generated by displaying ad products on Facebook properties, including our mobile applications, and third-party affiliated websites or mobile applications. Marketers pay for ad products either directly or through their relationships with advertising agencies, based on the number of clicks made by people, the number of actions taken by people, or the number of impressions delivered. We recognize revenue from the delivery of click-based ads in the period in which a person clicks on the content, and action-based ads in the period in which a person takes the action the marketer contracted for. We recognize revenue from the display of impression-based ads in the contracted period in which the impressions are delivered. Impressions are considered delivered when an ad is displayed to people. The number of ads we show is subject to methodological changes as we continue to evolve our ads business and the structure of our ads products. We calculate price per ad as total ad revenue divided by the number of ads delivered, representing the effective price paid per impression by a marketer regardless of their desired objective such as impression, click, or action.
Payments and other fees. We enable Payments from people to purchase virtual and digital goods from our developers. People can transact and make payments on the Facebook website by using debit and credit cards, PayPal, mobile phone payments, gift cards, or other methods. We receive a fee from developers when people make purchases in these applications using our Payments infrastructure. We recognize revenue net of amounts remitted to our developers. We have mandated the use of our Payments infrastructure for game applications on Facebook, and fees related to Payments are generated almost exclusively from games. Our other fees revenue, which has not been significant in recent periods, consists primarily of revenue from our ad serving and measurement products and the delivery of virtual reality platform devices.
Cost of Revenue and Operating Expenses
Cost of revenue. Our cost of revenue consists primarily of expenses associated with the delivery and distribution of our products. These include expenses related to the operation of our data centers such as facility and server equipment depreciation, facility and server equipment rent expense, energy and bandwidth costs, support and maintenance costs, and salaries, benefits, and share-based compensation for employees on our operations teams. Cost of revenue also includes credit card and other transaction fees related to processing customer transactions, amortization of intangible assets, and cost of virtual reality platform device inventory sold.
Research and development. Research and development expenses consist primarily of share-based compensation, salaries, and benefits for employees on our engineering and technical teams who are responsible for building new products as well as improving existing products. We expense all of our research and development costs as they are incurred.
Marketing and sales. Our marketing and sales expenses consist of salaries, benefits, and share-based compensation for our employees engaged in sales, sales support, marketing, business development, and customer service functions. Our marketing and sales expenses also include people-, marketer-, and developer-facing marketing and promotional expenditures, as well as amortization of intangible assets.
General and administrative. Our general and administrative expenses consist primarily of salaries, benefits, and share-based compensation for our executives as well as our legal, finance, human resources, corporate communications and policy, and other administrative employees. In addition, general and administrative expenses include professional and legal services. General and administrative expenses also include depreciation of property and equipment and amortization of intangible assets we have acquired.


27


Results of Operations
The following tables set forth our condensed consolidated statements of income data:
 
Three Months Ended June 30,
 
Six Months Ended June 30,
 
2015
 
2014
 
2015
 
2014
 
(in millions)
Revenue
$
4,042

 
$
2,910

 
$
7,586

 
$
5,412

Costs and expenses:
 
 
 
 
 
 
 
Cost of revenue
668

 
473

 
1,323

 
936

Research and development
1,170

 
492

 
2,231

 
947

Marketing and sales
626

 
358

 
1,247

 
681

General and administrative
305

 
197

 
579

 
384

Total costs and expenses
2,769

 
1,520

 
5,380

 
2,948

Income from operations
1,273

 
1,390

 
2,206

 
2,464

Interest and other income/(expense), net

 
(4
)
 
(1
)
 
(4
)
Income before provision for income taxes
1,273

 
1,386

 
2,205

 
2,460

Provision for income taxes
554

 
595

 
974

 
1,027

Net income
$
719

 
$
791

 
$
1,231

 
$
1,433

Share-based compensation expense included in costs and expenses:
 
Three Months Ended June 30,
 
Six Months Ended June 30,
 
2015
 
2014
 
2015
 
2014
 
(in millions)
Cost of revenue
$
21

 
$
16

 
$
38

 
$
28

Research and development
603

 
219

 
1,169

 
400

Marketing and sales
82

 
50

 
154

 
93

General and administrative
57

 
29

 
105

 
67

Total share-based compensation expense
$
763

 
$
314

 
$
1,466

 
$
588



28


The following tables set forth our condensed consolidated statements of income data (as a percentage of revenue): 
 
Three Months Ended June 30,
 
Six Months Ended June 30,
 
2015
 
2014
 
2015
 
2014
Revenue
100
%
 
100
%
 
100
%
 
100
%
Costs and expenses:
 
 
 
 
 
 
 
Cost of revenue
17

 
16

 
17

 
17

Research and development
29

 
17

 
29

 
17

Marketing and sales
15

 
12

 
16

 
13

General and administrative
8

 
7

 
8

 
7

Total costs and expenses
69

 
52

 
71

 
54

Income from operations
31

 
48

 
29

 
46

Interest and other income/(expense), net

 

 

 

Income before provision for income taxes
31

 
48

 
29

 
45

Provision for income taxes
14

 
20

 
13

 
19

Net income
18
%
 
27
%
 
16
%
 
26
%
Share-based compensation expense included in costs and expenses (as a percentage of revenue): 
 
Three Months Ended June 30,
 
Six Months Ended June 30,
 
2015
 
2014
 
2015
 
2014
Cost of revenue
1
%
 
1
%
 
1
%
 
1
%
Research and development
15

 
8

 
15

 
7

Marketing and sales
2

 
2

 
2

 
2

General and administrative
1

 
1

 
1

 
1

Total share-based compensation expense
19
%
 
11
%
 
19
%
 
11
%
Three and Six Months Ended June 30, 2015 and 2014
Revenue 
 
Three Months Ended June 30,
 
 
 
Six Months Ended June 30,
 
 
 
2015
 
2014
 
% change
 
2015
 
2014
 
% change
 
(in millions, except for percentages)
Advertising
$
3,827

 
$
2,676

 
43
 %
 
$
7,144

 
$
4,941

 
45
 %
Payments and other fees
215

 
234

 
(8
)%
 
442

 
471

 
(6
)%
Total revenue
$
4,042

 
$
2,910

 
39
 %
 
$
7,586

 
$
5,412

 
40
 %
Revenue in the second quarter and the first six months of 2015 increased $1.13 billion or 39%, and $2.17 billion, or 40%, respectively, compared to the same periods in 2014. The increases were primarily due to increases in advertising revenue.
The most important factor driving advertising revenue growth was an increase in revenue from ads in News Feed on mobile devices. News Feed ads are displayed more prominently, have significantly higher levels of engagement, and a higher price per ad relative to our other ad placements. For the second quarter and the first six months of 2015, we estimate that mobile advertising revenue represented 76% and 74%, respectively, of total advertising revenue, as compared with 62% and 60% in the same periods in 2014.
Other factors that influenced our advertising revenue growth in the second quarter and the first six months of 2015 included (i) an increase in demand for our ad inventory, in part driven by an increase in the number of marketers actively advertising on Facebook, (ii) certain product changes to increase the value and performance of our ads, and (iii) an increase in user growth and engagement.
During the second quarter and the first six months of 2015, as compared to the same periods in 2014, the average price per ad increased by 220% and 251%, respectively, and the number of ads delivered decreased by 55% and 59%, respectively. The

29


increase in average price per ad was driven by a product change related to certain non-News Feed ads during the third quarter of 2014, which decreased the number of ads displayed but increased the prominence of each ad. Average price per ad was also driven by a mix shift towards a greater percentage of our ads being shown in News Feed. The reduction in ads delivered was driven by factors including the product change described above as well as the shift in usage towards mobile devices where people are shown fewer ads as compared to personal computers.
Payments and other fees revenue in the second quarter and the first six months of 2015 decreased $19 million, or 8%, and $29 million, or 6%, respectively, compared to the same periods in 2014. The decreases were primarily due to decreases in Payments revenue from games played on personal computers. Facebook usage on personal computers has been declining and will continue to decline in the future, resulting in a decline in our Payments revenue. These decreases were partially offset by increases in other fees revenue related to acquisitions closed in the second half of 2014.
Foreign Exchange Impact on Revenue

The general strengthening of the U.S. dollar relative to certain foreign currencies (primarily the Euro) from the second quarter and the first six months of 2014 to the same periods in 2015 had an unfavorable impact on our revenue. If we had translated revenue for the three and six months ended June 30, 2015 using the prior year's monthly exchange rates for our settlement currencies other than the U.S. dollar, our total revenue would have been $4.37 billion and $8.11 billion, respectively, and our advertising revenue would have been $4.16 billion and $7.66 billion, respectively, which are $332 million and $520 million higher than actual revenue and advertising revenue in the second quarter and the first six months of 2015, respectively.
Cost of revenue
 
Three Months Ended June 30,
 
 
 
Six Months Ended June 30,
 
 
 
2015
 
2014
 
% change
 
2015
 
2014
 
% change
 
(in millions, except for percentages)
Cost of revenue
$
668

 
$
473

 
41
%
 
$
1,323

 
$
936

 
41
%
Percentage of revenue
17
%
 
16
%
 
 
 
17
%
 
17
%
 
 
Cost of revenue in the second quarter and the first six months of 2015 increased $195 million, or 41%, and $387 million, or 41%, respectively, compared to the same periods in 2014. The increases in both periods were primarily due to increases in operational expenses related to our data centers and technical infrastructure of $118 million and $240 million in the second quarter and first six months of 2015, respectively, and to a lesser extent, increased amortization of our intangible assets of $36 million and $71 million in the second quarter and the first six months of 2015, respectively, compared to the same periods in 2014.
Research and development 
 
Three Months Ended June 30,
 
 
 
Six Months Ended June 30,
 
 
 
2015
 
2014
 
% change
 
2015
 
2014
 
% change
 
(in millions, except for percentages)
Research and development
$
1,170

 
$
492

 
138
%
 
$
2,231

 
$
947

 
136
%
Percentage of revenue
29
%
 
17
%
 
 
 
29
%
 
17
%
 
 
Research and development expenses in the second quarter and the first six months of 2015 increased $678 million, or 138%, and $1.28 billion, or 136%, respectively, compared to the same periods in 2014. The increases in both periods were primarily due to increases in share-based compensation expenses of $384 million and $769 million in the second quarter and the first six months of 2015, respectively, compared to the same periods in 2014. In addition, other payroll and benefits expenses in both periods increased as a result of a 62% growth in employee headcount from June 30, 2014 to June 30, 2015 in engineering and other technical functions.

30


Marketing and sales
 
Three Months Ended June 30,
 
 
 
Six Months Ended June 30,
 
 
 
2015
 
2014
 
% change
 
2015
 
2014
 
% change
 
(in millions, except for percentages)
Marketing and sales
$
626

 
$
358

 
75
%
 
$
1,247

 
$
681

 
83
%
Percentage of revenue
15
%
 
12
%
 
 
 
16
%
 
13
%
 
 
Marketing and sales expenses in the second quarter and the first six months of 2015 increased $268 million or 75%, and $566 million, or 83%, respectively, compared to the same periods in 2014. The increases in both periods were due to increases of $101 million and $202 million in amortization of our intangible assets, and $38 million and $131 million in our people-, marketer-, and developer-facing marketing expenses in the second quarter and the first six months of 2015, respectively. Payroll and benefits expenses also increased as a result of a 41% increase in employee headcount from June 30, 2014 to June 30, 2015 to support global sales, business development, and customer service, including $32 million and $61 million increases in share-based compensation expenses in the second quarter and the first six months of 2015, respectively.
General and administrative 
 
Three Months Ended June 30,
 
 
 
Six Months Ended June 30,
 
 
 
2015
 
2014
 
% change
 
2015
 
2014
 
% change
 
(in millions, except for percentages)
General and administrative
$
305

 
$
197

 
55
%
 
$
579

 
$
384

 
51
%
Percentage of revenue
8
%
 
7
%
 
 
 
8
%
 
7
%
 
 
General and administrative expenses in the second quarter and the first six months of 2015 increased $108 million, or 55%, and $195 million, or 51%, respectively, compared to the same periods in 2014. The increases in both periods were primarily due to increases in payroll and benefits expenses as a result of a 62% increase in employee headcount from June 30, 2014 to June 30, 2015, including $28 million and $38 million increases in share-based compensation expenses in the second quarter and the first six months of 2015, respectively. Additionally, professional services expense increased $22 million and $38 million in the second quarter and the first six months of 2015, respectively, compared to the same periods in 2014, primarily due to higher consulting and other professional service fees.
Interest and other income/(expense), net
 
Three Months Ended June 30,
 
 
 
Six Months Ended June 30,
 
 
 
2015
 
2014
 
% change
 
2015
 
2014
 
% change
 
(in millions, except for percentages)
Interest income/(expense), net
$
5

 
$

 
100
 %
 
$
7

 
$

 
100
 %
Other income/(expense), net
(5
)
 
(4
)
 
(25
)%
 
(8
)
 
(4
)
 
(100
)%
Interest and other income/(expense), net
$

 
$
(4
)
 
100
 %
 
$
(1
)
 
$
(4
)
 
75
 %
Interest and other income/(expense), net was not material in the second quarter and the first six months of 2015, compared to $4 million expenses in both periods presented in 2014. Interest income/(expense), net increased in both periods primarily due to increases in interest income driven by higher return on our marketable securities. This increase was partially offset by decreases in other income/(expense), net in both periods, primarily due to increases in foreign exchange losses resulting from the periodic re-measurement of our foreign currency balances.

31


Provision for income taxes
 
Three Months Ended June 30,
 
 
 
Six Months Ended June 30,
 
 
 
2015
 
2014
 
% change
 
2015
 
2014
 
% change
 
(in millions, except for percentages)
Provision for income taxes
$
554

 
$
595

 
(7
)%
 
$
974

 
$
1,027

 
(5
)%
Effective tax rate
44
%
 
43
%
 
 
 
44
%
 
42
%
 
 
Our provision for income taxes in the second quarter and the first six months of 2015 decreased $41 million and $53 million, respectively, compared to the same periods in 2014, primarily due to decreases in income before provision for income taxes. Our effective tax rate in the second quarter was flat, compared to the same period in 2014. Our effective tax rate increased in the first six months of 2015 compared, to the same period in 2014, primarily due to an increase in non-deductible share-based compensation related to acquisitions.
Our effective tax rate has exceeded the U.S. statutory rate primarily because of the effect of non-deductible share-based compensation and the impact of acquiring intellectual property and integrating it into our business. Our effective tax rate in the future will depend on the portion of our profits earned within and outside the United States, which will also be affected by our methodologies for valuing our intellectual property and intercompany transactions. Our future effective tax rate will also be affected by the timing, size, and integration of any acquisitions we make.

32


Liquidity and Capital Resources
Our principal sources of liquidity are our cash and cash equivalents, marketable securities, and cash generated from operations. Cash and cash equivalents and marketable securities consist primarily of cash on deposit with banks, investments in money market funds, and investments in U.S. government securities, U.S. government agency securities, and corporate debt securities. Cash and cash equivalents and marketable securities were $14.13 billion as of June 30, 2015, an increase of $2.93 billion from December 31, 2014, primarily due to $3.58 billion of cash generated from operations and $809 million in excess tax benefits from share-based award activity, partially offset by $1.05 billion for purchases of property and equipment and $282 million for acquisitions of businesses and other assets.
In August 2013, we entered into a five-year senior unsecured revolving credit facility (2013 Revolving Credit Facility) that allows us to borrow up to $6.5 billion to fund working capital and general corporate purposes with interest payable on the borrowed amounts set at LIBOR plus 1.0%, as well as an annual commitment fee of 0.10% on the daily undrawn balance of the facility. We paid origination fees at closing of the 2013 Revolving Credit Facility, which fees are being amortized over the term of the facility. Any amounts outstanding under this facility will be due and payable on August 15, 2018. As of June 30, 2015, no amounts had been drawn down and we were in compliance with the covenants under this credit facility.
As of June 30, 2015, $1.52 billion of the $14.13 billion in cash and cash equivalents and marketable securities was held by our foreign subsidiaries. Substantially all of these funds are in jurisdictions for which we are indefinitely reinvesting the earnings of the local subsidiary. These subsidiaries have historically incurred losses; as such, repatriating the funds will likely incur no residual tax liability. We have provided for residual taxes in jurisdictions where we do not intend to indefinitely reinvest the earnings of the local subsidiary, however the amount of taxes provided has been insignificant.
We currently anticipate that our available funds, credit facility, and cash flow from operations will be sufficient to meet our operational cash needs for the foreseeable future.
Cash Provided by Operating Activities
Cash flow from operating activities during the first six months of 2015 primarily consisted of net income, adjusted for certain non-cash items, including share-based compensation expense of $1.46 billion and total depreciation and amortization of $916 million. The increase in cash flow from operating activities during the first six months of 2015 compared to the same period in 2014 was mostly due to an increase in net income as adjusted for certain non-cash items described above.
Cash Used in Investing Activities
Cash flow from investing activities during the first six months of 2015 primarily consisted of purchases, sales, and maturities of marketable securities, purchases of property and equipment, and acquisitions of businesses and purchases of intangible assets. The increase in cash used in investing activities during the first six months of 2015, compared to the same period in 2014 was primarily due to $679 million increase in net purchases of marketable securities, and to a lesser extent, an increase in acquisition of businesses and purchases of intangible assets. In addition, there was an increase in capital expenditures related to the purchase of server network infrastructure, data center construction, and office buildings.
We anticipate making capital expenditures in 2015 of approximately $2.5 billion to $3.0 billion.
Cash Provided by Financing Activities
Cash flow from financing activities during the first six months of 2015 primarily consisted of excess tax benefits from share-based award activity and principal payments on capital lease obligations. The decrease in cash provided by financing activities was mostly due to decreased excess tax benefit from stock award activities and $12 million of tax payments related to the net share settlement of WhatsApp's vested merger consideration, partially offset by lower principal payments related to our capital lease transactions.
Off-Balance Sheet Arrangements
We did not have any off-balance sheet arrangements as of June 30, 2015.
Contractual Obligations
There were no material changes in our commitments under contractual obligations, as disclosed in our Annual Report on Form 10-K for the fiscal year ended December 31, 2014.

33


Contingencies
We are involved in claims, lawsuits, government investigations, and other legal proceedings. We record a provision for a liability when we believe that it is both probable that a liability has been incurred, and that the amount can be reasonably estimated. Significant judgment is required to determine both probability and the estimated amount. Such legal proceedings are inherently unpredictable and subject to significant uncertainties, some of which are beyond our control. Should any of these estimates and assumptions change or prove to be incorrect, it could have a material impact on our results of operations, financial position, and cash flows.
See Note 9 in the notes to the condensed consolidated financial statements included in Part I, Item 1 and "Legal Proceedings" contained in Part II, Item 1 of this Quarterly Report on Form 10-Q for additional information regarding these contingencies.
Recent Accounting Pronouncement
In May 2014, the Financial Accounting Standards Board (FASB) issued Accounting Standards Update No. 2014-09, Revenue from Contracts with Customers (Topic 606) (ASU 2014-09), which amends the existing accounting standards for revenue recognition. In July 2015, the FASB decided to delay the effective date of ASU 2014-09 by one year. The FASB also agreed to allow entities to choose to adopt the standard as of the original effective date. As such, the updated standard will be effective for us in the first quarter of 2018, with the option to adopt it in the first quarter of 2017. We are still evaluating the effect that the updated standard will have on our consolidated financial statements and related disclosures.
Critical Accounting Policies and Estimates
Our condensed consolidated financial statements are prepared in accordance with GAAP. The preparation of these condensed consolidated financial statements requires us to make estimates and assumptions that affect the reported amounts of assets, liabilities, revenue, costs and expenses, and related disclosures. These estimates form the basis for judgments we make about the carrying values of our assets and liabilities, which are not readily apparent from other sources. We base our estimates and judgments on historical experience and on various other assumptions that we believe are reasonable under the circumstances. On an ongoing basis, we evaluate our estimates and assumptions. Our actual results may differ from these estimates under different assumptions or conditions.
We believe that the assumptions and estimates associated with revenue recognition for Payments and other fees, income taxes, share-based compensation, loss contingencies, and business combinations and valuation of goodwill and other acquired intangible assets have the greatest potential impact on our condensed consolidated financial statements. Therefore, we consider these to be our critical accounting policies and estimates.
There have been no material changes to our critical accounting policies and estimates as compared to the critical accounting policies and estimates described in our Annual Report on Form 10-K for the fiscal year ended December 31, 2014.

34


Item 3.
Quantitative and Qualitative Disclosures About Market Risk
We are exposed to market risks, including changes to foreign currency exchange rates, interest rates, and inflation.
Foreign Currency Exchange Risk
We have foreign currency risks related to our revenue and operating expenses denominated in currencies other than the U.S. dollar, primarily the Euro. In general, we are a net receiver of currencies other than the U.S. dollar. Accordingly, changes in exchange rates, and in particular a strengthening of the U.S. dollar, have negatively affected our revenue and other operating results as expressed in U.S. dollars.
We have experienced and will continue to experience fluctuations in our net income as a result of transaction gains or losses related to revaluing certain current asset and current liability balances that are denominated in currencies other than the functional currency of the entities in which they are recorded. At this time we have not entered into, but in the future we may enter into, derivatives or other financial instruments in an attempt to hedge our foreign currency exchange risk. It is difficult to predict the effect hedging activities would have on our results of operations. We recognized foreign currency losses of $7 million and $11 million in the three and six months ended June 30, 2015, respectively, and $4 million and $3 million in the three and six months ended June 30, 2014, respectively.
Interest Rate Sensitivity
Our exposure to changes in interest rates relates primarily to interest earned and market value on our cash and cash equivalents and marketable securities.
Our cash and cash equivalents and marketable securities consist of cash, certificates of deposit, time deposits, money market funds, U.S. government securities, U.S. government agency securities, and corporate debt securities. Our investment policy and strategy are focused on preservation of capital and supporting our liquidity requirements. Changes in U.S. interest rates affect the interest earned on our cash and cash equivalents and marketable securities and the market value of those securities. A hypothetical 100 basis point increase in interest rates would have resulted in a decrease of approximately $74 million and $63 million in the market value of our available-for-sale debt securities as of June 30, 2015 and December 31, 2014, respectively. Any realized gains or losses resulting from such interest rate changes would only occur if we sold the investments prior to maturity.

35


Item 4.
Controls and Procedures
Evaluation of Disclosure Controls and Procedures
Our management, with the participation of our chief executive officer (CEO) and chief financial officer (CFO), has evaluated the effectiveness of our disclosure controls and procedures (as defined in Rules 13a-15(e) and 15d-15(e) under the Securities Exchange Act of 1934, as amended (Exchange Act)), as of the end of the period covered by this Quarterly Report on Form 10-Q. Based on such evaluation, our CEO and CFO have concluded that as of June 30, 2015, our disclosure controls and procedures are designed at a reasonable assurance level and are effective to provide reasonable assurance that information we are required to disclose in reports that we file or submit under the Exchange Act is recorded, processed, summarized, and reported within the time periods specified in the rules and forms of the Securities and Exchange Commission (SEC), and that such information is accumulated and communicated to our management, including our CEO and CFO, as appropriate, to allow timely decisions regarding required disclosure.
Changes in Internal Control
There were no changes in our internal control over financial reporting identified in management's evaluation pursuant to Rules 13a-15(d) or 15d-15(d) of the Exchange Act during the period covered by this Quarterly Report on Form 10-Q that materially affected, or are reasonably likely to materially affect, our internal control over financial reporting.
Limitations on Effectiveness of Controls and Procedures
In designing and evaluating the disclosure controls and procedures and internal control over financial reporting, management recognizes that any controls and procedures, no matter how well designed and operated, can provide only reasonable assurance of achieving the desired control objectives. In addition, the design of disclosure controls and procedures and internal control over financial reporting must reflect the fact that there are resource constraints and that management is required to apply judgment in evaluating the benefits of possible controls and procedures relative to their costs.

36


PART II—OTHER INFORMATION
Item 1.
Legal Proceedings
Beginning on May 22, 2012, multiple putative class actions, derivative actions, and individual actions were filed in state and federal courts in the United States and in other jurisdictions against us, our directors, and/or certain of our officers alleging violation of securities laws or breach of fiduciary duties in connection with our initial public offering (IPO) and seeking unspecified damages. We believe these lawsuits are without merit, and we intend to continue to vigorously defend them. The vast majority of the cases in the United States, along with multiple cases filed against The NASDAQ OMX Group, Inc. and The Nasdaq Stock Market LLC (collectively referred to herein as NASDAQ) alleging technical and other trading-related errors by NASDAQ in connection with our IPO, were ordered centralized for coordinated or consolidated pre-trial proceedings in the U.S. District Court for the Southern District of New York. In a series of rulings in 2013 and 2014, the court denied our motion to dismiss the consolidated securities class action and granted our motions to dismiss the derivative actions against our directors and certain of our officers. On July 24, 2015, the court of appeals affirmed the dismissal of the derivative actions. On December 23, 2014, the plaintiffs in the consolidated securities class action filed their motion for class certification. On April 10, 2015, we filed our opposition to class certification. In addition, the events surrounding our IPO became the subject of various state and federal government inquiries. In May 2014, the Securities and Exchange Commission (SEC) notified us that it had terminated its inquiry and that no enforcement action had been recommended by the SEC.
In addition, we are also currently parties to multiple other lawsuits related to our products, including other intellectual property lawsuits as well as class action lawsuits brought by users and marketers, and we may in the future be subject to additional lawsuits and disputes. We are also involved in other claims, government investigations, and proceedings arising from the ordinary course of our business.


37


Item 1A.
Risk Factors
Certain factors may have a material adverse effect on our business, financial condition, and results of operations. You should consider carefully the risks and uncertainties described below, in addition to other information contained in this Quarterly Report on Form 10-Q, including our condensed consolidated financial statements and related notes. The risks and uncertainties described below are not the only ones we face. Additional risks and uncertainties that we are unaware of, or that we currently believe are not material, may also become important factors that adversely affect our business. If any of the following risks actually occurs, our business, financial condition, results of operations, and future prospects could be materially and adversely affected. In that event, the trading price of our Class A common stock could decline, and you could lose part or all of your investment.
Risks Related to Our Business and Industry
If we fail to retain existing users or add new users, or if our users decrease their level of engagement with our products, our revenue, financial results, and business may be significantly harmed.
The size of our user base and our users' level of engagement are critical to our success. Our financial performance has been and will continue to be significantly determined by our success in adding, retaining, and engaging active users. We anticipate that our active user growth rate will continue to decline over time as the size of our active user base increases, and as we achieve higher market penetration rates. If people do not perceive our products to be useful, reliable, and trustworthy, we may not be able to attract or retain users or otherwise maintain or increase the frequency and duration of their engagement. A number of other social networking companies that achieved early popularity have since seen their active user bases or levels of engagement decline, in some cases precipitously. There is no guarantee that we will not experience a similar erosion of our active user base or engagement levels. Our user engagement patterns have changed over time, and user engagement can be difficult to measure, particularly as users continue to engage increasingly via mobile devices and as we introduce new and different products and services. Any number of factors could potentially negatively affect user retention, growth, and engagement, including if:
users increasingly engage with other products or services;
we fail to introduce new products or services that users find engaging or if we introduce new products or services that are not favorably received;
users feel that their Facebook experience is diminished as a result of the decisions we make with respect to the frequency, prominence, and size of ads that we display, or the quality of the ads displayed;
users have difficulty installing, updating, or otherwise accessing our products on mobile devices as a result of actions by us or third parties that we rely on to distribute our products and deliver our services;
user behavior on any of our products changes, including decreases in the quality and frequency of content shared on our products and services;
we are unable to continue to develop products for mobile devices that users find engaging, that work with a variety of mobile operating systems and networks, and that achieve a high level of market acceptance;
there are decreases in user sentiment about the quality or usefulness of our products or concerns related to privacy and sharing, safety, security, or other factors;
we are unable to manage and prioritize information to ensure users are presented with content that is interesting, useful, and relevant to them;
users adopt new technologies where our products may be displaced in favor of other products or services, or may not be featured or otherwise available;
there are adverse changes in our products that are mandated by legislation, regulatory authorities, or litigation, including settlements or consent decrees;
technical or other problems prevent us from delivering our products in a rapid and reliable manner or otherwise affect the user experience, such as security breaches or failure to prevent or limit spam or similar content;
we adopt policies or procedures related to areas such as sharing or user data that are perceived negatively by our users or the general public;
we elect to focus our user growth and engagement efforts more on longer-term initiatives, or if initiatives designed to attract and retain users and engagement are unsuccessful or discontinued, whether as a result of actions by us,

38


third parties, or otherwise;
we fail to provide adequate customer service to users, marketers, or developers;
we, developers whose products are integrated with Facebook, or other companies in our industry are the subject of adverse media reports or other negative publicity; or
our current or future products, such as our development tools and application programming interfaces that enable developers to build, grow, and monetize mobile and web applications, reduce user activity on Facebook by making it easier for our users to interact and share on third-party mobile and web applications.
If we are unable to maintain or increase our user base and user engagement, our revenue and financial results may be adversely affected. Any decrease in user retention, growth, or engagement could render our products less attractive to users, marketers, and developers, which is likely to have a material and adverse impact on our revenue, business, financial condition, and results of operations. If our active user growth rate continues to slow, we will become increasingly dependent on our ability to maintain or increase levels of user engagement and monetization in order to drive revenue growth.
We generate substantially all of our revenue from advertising. The loss of marketers, or reduction in spending by marketers with Facebook, could seriously harm our business.
Substantially all of our revenue is currently generated from third parties advertising on Facebook. For the first six months of 2015 and 2014, advertising accounted for 94% and 91%, respectively, of our revenue. As is common in the industry, our marketers do not have long-term advertising commitments with us. Many of our marketers spend only a relatively small portion of their overall advertising budget with us. We expect our ability to grow advertising revenue will continue to be dependent on our ability to generate revenue from ads displayed on mobile devices. In addition, marketers may view some of our products as experimental and unproven. Marketers will not continue to do business with us, or they will reduce the prices they are willing to pay to advertise with us or the budgets they are willing to commit to us, if we do not deliver ads in an effective manner, or if they do not believe that their investment in advertising with us will generate a competitive return relative to other alternatives. Our advertising revenue could be adversely affected by a number of other factors, including:
decreases in user engagement, including time spent on Facebook;
our inability to continue to increase user access to and engagement with Facebook through our mobile products;
product changes or inventory management decisions we may make that change the size, frequency, or relative prominence of ads displayed on Facebook or of other unpaid content shared by marketers on Facebook;
our inability to maintain or increase marketer demand, the pricing of our ads, or both;
our inability to maintain or increase the quality of ads shown to users, particularly on mobile devices;
changes to third-party policies that limit our ability to deliver or target advertising on mobile devices;
the availability, accuracy, and utility of analytics and measurement solutions offered by us or third parties that demonstrate the value of our ads to marketers, or our ability to further improve such tools;
loss of advertising market share to our competitors, including if prices for purchasing ads on Facebook increase or if competitors offer lower priced or more integrated products;
adverse legal developments relating to advertising, including legislative and regulatory developments and developments in litigation;
decisions by marketers to reduce their advertising as a result of adverse media reports or other negative publicity involving us, content on Facebook, developers with Facebook-integrated mobile and web applications, or other companies in our industry;
our inability to improve our existing products or create new products that sustain or increase the value of our ads or marketers' ability to analyze and measure the value of our ads;
the degree to which users opt out of social ads or certain types of ad targeting;
the degree to which users cease or reduce the number of times they click on our ads;
changes in the way advertising on mobile devices or on personal computers is measured or priced;

39


the impact of technologies that block or obscure the display of our ads; and
the impact of macroeconomic conditions, whether in the advertising industry in general, or among specific types of marketers or within particular geographies.
The occurrence of any of these or other factors could result in a reduction in demand for our ads, which may reduce the prices we receive for our ads, or cause marketers to stop advertising with us altogether, either of which would negatively affect our revenue and financial results.
We generate a significant portion of our revenue from mobile advertising. Mobile advertising is evolving and growth in the use of Facebook through our mobile products as a substitute for use on personal computers may negatively affect our revenue and financial results.
Facebook had 1.31 billion mobile monthly active users (MAUs) in June 2015. We anticipate that growth in mobile users will continue to be the driver of our growth for the foreseeable future and that usage through personal computers will continue to decline worldwide. We generate over two-thirds of our revenue from mobile advertising, which comprised approximately 76% of our overall advertising revenue in the second quarter of 2015. While our mobile advertising revenue continues to grow, the mobile advertising market remains an evolving market. If users continue to access Facebook mobile products as a substitute for access through personal computers, and if we are unable to continue to grow mobile revenue or unable to continue to successfully monetize mobile users, or if we incur excessive expenses in these efforts, our financial performance and ability to grow revenue would be negatively affected.
Our user growth, engagement, and monetization on mobile devices depend upon effective operation with mobile operating systems, networks, and standards that we do not control.
There is no guarantee that popular mobile devices will continue to feature Facebook or our other products, or that mobile device users will continue to use our products rather than competing products. We are dependent on the interoperability of Facebook and our other products with popular mobile operating systems, networks, and standards that we do not control, such as the Android and iOS operating systems, and any changes in such systems, our relationships with mobile operating system partners, handset manufacturers, or mobile carriers, or in their terms of service or policies that degrade our products' functionality, reduce or eliminate our ability to distribute our products, give preferential treatment to competitive products, limit our ability to deliver, target, or measure the effectiveness of ads, or impose fees or other charges related to our delivery of ads could adversely affect Facebook usage and monetization on mobile devices. Additionally, in order to deliver high quality mobile products, it is important that our products work well with a range of mobile technologies, systems, networks, and standards that we do not control, and that we have good relationships with handset manufacturers and mobile carriers. We may not be successful in maintaining or developing relationships with key participants in the mobile industry or in developing products that operate effectively with these technologies, systems, networks, or standards. In the event that it is more difficult for our users to access and use Facebook or our other products on their mobile devices, or if our users choose not to access or use Facebook or our other products on their mobile devices or use mobile products that do not offer access to Facebook or our other products, our user growth and user engagement could be harmed. From time to time, we may also take actions regarding the distribution of our products or the operation of our business based on what we believe to be in our long-term best interests. Such actions may adversely affect our users and our relationships with the operators of mobile operating systems, handset manufacturers, mobile carriers, or other business partners, and there is no assurance that these actions will result in the anticipated long-term benefits. In the event that our users are adversely affected by these actions or if our relationships with such third parties deteriorate, our user growth, engagement, and monetization could be adversely affected and our business could be harmed.
Our business is highly competitive. Competition presents an ongoing threat to the success of our business.
We face significant competition in every aspect of our business, including from companies that provide tools to facilitate communication and the sharing of information, companies that enable marketers to display advertising and companies that provide development platforms for applications developers. We compete with companies that offer full-featured products that replicate the range of communications and related capabilities we provide. These offerings include, for example, Google+, which Google has integrated with certain of its products, including search and Android, as well as other, largely regional, social networks that have strong positions in particular countries. We also compete with companies that develop applications, particularly mobile applications, that provide social or other communications functionality, such as messaging, photo- and video-sharing, and micro-blogging, and companies that provide web- and mobile-based information and entertainment products and services that are designed to engage users and capture time spent online and on mobile devices. In addition, we face competition from traditional, online, and mobile businesses that provide media for marketers to reach their audiences and/or develop tools and systems for managing and optimizing advertising campaigns.
Some of our current and potential competitors may have significantly greater resources or better competitive positions in

40


certain product segments, geographic regions or user demographics than we do. These factors may allow our competitors to respond more effectively than us to new or emerging technologies and changes in market conditions. We believe that some of our users, particularly our younger users, are aware of and actively engaging with other products and services similar to, or as a substitute for, Facebook products and services, and we believe that some of our users have reduced their engagement with Facebook in favor of increased engagement with these other products and services. In the event that our users increasingly engage with other products and services, we may experience a decline in user engagement in key user demographics or more broadly, in which case our business would likely be harmed.
Our competitors may develop products, features, or services that are similar to ours or that achieve greater acceptance, may undertake more far-reaching and successful product development efforts or marketing campaigns, or may adopt more aggressive pricing policies. In addition, developers whose mobile and web applications are integrated with Facebook may use information shared by our users through Facebook in order to develop products or features that compete with us. Certain competitors, including Google, could use strong or dominant positions in one or more markets to gain competitive advantage against us in areas where we operate, including: by integrating competing platforms, applications, or features into products they control such as mobile device operating systems, search engines, or web browsers; by making acquisitions; by limiting or denying our access to advertising measurement or delivery systems; by limiting our ability to deliver, target, or measure the effectiveness of ads; by imposing fees or other charges related to our delivery of ads; by making access to our products more difficult; or by making it more difficult to communicate with our users. As a result, our competitors may acquire and engage users or generate advertising or other revenue at the expense of our own efforts, which may negatively affect our business and financial results. In addition, from time to time, we may take actions in response to competitive threats, but we cannot assure you that these actions will be successful or that they will not negatively affect our business and financial results.
We believe that our ability to compete effectively depends upon many factors both within and beyond our control, including:
the popularity, usefulness, ease of use, performance, and reliability of our products compared to our competitors' products, particularly with respect to mobile products;
the size and composition of our user base;
the engagement of our users with our products and competing products;
the timing and market acceptance of products, including developments and enhancements to our or our competitors' products;
our ability to distribute our products to new and existing users;
our ability to monetize our products;
the frequency, size, quality, and relative prominence of the ads displayed by us or our competitors;
customer service and support efforts;
marketing and selling efforts, including our ability to measure the effectiveness of our ads and to provide marketers with a compelling return on their investments;
our ability to establish and maintain developers' interest in building mobile and web applications that integrate with Facebook and our other products;
changes mandated by legislation, regulatory authorities, or litigation, including settlements and consent decrees, some of which may have a disproportionate effect on us;
acquisitions or consolidation within our industry, which may result in more formidable competitors;
our ability to attract, retain, and motivate talented employees, particularly software engineers, designers, and product managers;
our ability to cost-effectively manage and grow our operations; and
our reputation and brand strength relative to those of our competitors.
If we are not able to compete effectively, our user base and level of user engagement may decrease, we may become less attractive to developers and marketers, and our revenue and results of operations may be materially and adversely affected.

41


Action by governments to restrict access to Facebook or our other products in their countries could substantially harm our business and financial results.
It is possible that governments of one or more countries may seek to censor content available on Facebook or our other products in their country, restrict access to our products from their country entirely, or impose other restrictions that may affect the accessibility of our products in their country for an extended period of time or indefinitely. For example, access to Facebook has been or is currently restricted in whole or in part in China, Iran, and North Korea. In addition, government authorities in other countries may seek to restrict access to our products if they consider us to be in violation of their laws. In the event that content shown on Facebook or our other products is subject to censorship, access to our products is restricted, in whole or in part, in one or more countries, or other restrictions are imposed on our products, or our competitors are able to successfully penetrate geographic markets that we cannot access or where we face other restrictions, our ability to retain or increase our user base and user engagement may be adversely affected, we may not be able to maintain or grow our revenue as anticipated, and our financial results could be adversely affected.
Our new products and changes to existing products could fail to attract or retain users or generate revenue.
Our ability to retain, increase, and engage our user base and to increase our revenue depends heavily on our ability to create successful new products, both independently and in conjunction with developers or other third parties. We may introduce significant changes to our existing products, or acquire or introduce new and unproven products, including using technologies with which we have little or no prior development or operating experience. For example, in July 2014 we completed our acquisition of Oculus VR, Inc. (Oculus), a company developing virtual reality technology. We do not have prior experience with consumer hardware products or virtual reality technology, which may adversely affect our ability to successfully develop and market Oculus' products or technology. In addition, in October 2014, we acquired WhatsApp Inc. (WhatsApp), a cross-platform mobile messaging company. We currently monetize WhatsApp in only a very limited fashion, and we may not be successful in our efforts to generate meaningful revenue from WhatsApp over the long term. If these or other new or enhanced products fail to engage users, marketers, or developers, or if we are unsuccessful in our monetization efforts, we may fail to attract or retain users or to generate sufficient revenue, operating margin, or other value to justify our investments, and our business may be adversely affected.
We prioritize user growth and engagement and the user experience over short-term financial results.
We frequently make product decisions that may reduce our short-term revenue or profitability if we believe that the decisions are consistent with our mission and benefit the aggregate user experience and will thereby improve our financial performance over the long term. For example, from time to time we may change the size, frequency, or relative prominence of ads in order to improve ad quality and overall user experience. Similarly, from time to time we update our News Feed ranking algorithm to deliver the most relevant content to our users, which may adversely affect the distribution of content of marketers and developers and could reduce their incentive to invest in their development and marketing efforts on Facebook. We also may introduce changes to existing products, or introduce new stand-alone products, that direct users away from properties where we have a proven means of monetization. For example, we have taken action to redirect users who send messages from within the Facebook application to our stand-alone Messenger application, although we currently do not monetize the stand-alone Messenger application. In addition, we plan to focus on growing the user base for Instagram, WhatsApp, and potentially other stand-alone applications that may have limited or no near-term monetization, and it is possible that these efforts may reduce engagement with the core Facebook application. We also may take steps that result in limiting distribution of mobile products and services in the short term in order to attempt to ensure the availability of our products and services to users over the long term. These decisions may not produce the long-term benefits that we expect, in which case our user growth and engagement, our relationships with marketers and developers, and our business and results of operations could be harmed.

42


If we are not able to maintain and enhance our brands, or if events occur that damage our reputation and brands, our ability to expand our base of users, marketers, and developers may be impaired, and our business and financial results may be harmed.
We believe that our brands have significantly contributed to the success of our business. We also believe that maintaining and enhancing our brands is critical to expanding our base of users, marketers, and developers. Many of our new users are referred by existing users. Maintaining and enhancing our brands will depend largely on our ability to continue to provide useful, reliable, trustworthy, and innovative products, which we may not do successfully. We may introduce new products or terms of service or policies that users do not like, which may negatively affect our brands. Additionally, the actions of our developers may affect our brand if users do not have a positive experience using third-party mobile and web applications integrated with Facebook. We will also continue to experience media, legislative, or regulatory scrutiny of our decisions regarding user privacy and other issues, which may adversely affect our reputation and brands. We also may fail to provide adequate customer service, which could erode confidence in our brands. Our brands may also be negatively affected by the actions of users that are deemed to be hostile or inappropriate to other users, or by users acting under false or inauthentic identities, by perceived or actual efforts by governments to obtain access to user information for security-related purposes, or by the use of our products or services for illicit, objectionable, or illegal ends. Maintaining and enhancing our brands may require us to make substantial investments and these investments may not be successful. Certain of our past actions have eroded confidence in our brands, and if we fail to successfully promote and maintain our brands or if we incur excessive expenses in this effort, our business and financial results may be adversely affected.
Security breaches and improper access to or disclosure of our data or user data, or other hacking and phishing attacks on our systems, could harm our reputation and adversely affect our business.
Our industry is prone to cyber attacks, with third parties seeking unauthorized access to our data or users’ data. Any failure to prevent or mitigate security breaches and improper access to or disclosure of our data or user data could result in the loss or misuse of such data, which could harm our business and reputation and diminish our competitive position. In addition, computer malware, viruses, and hacking and phishing attacks by third parties have become more prevalent in our industry, have occurred on our systems in the past, and may occur on our systems in the future. As a result of our prominence, we believe that we are a particularly attractive target for such breaches and attacks. Such attacks may cause interruptions to the services we provide, degrade the user experience, or cause users to lose confidence in our products. Our efforts to protect our company data or the information we receive may also be unsuccessful due to software bugs or other technical malfunctions, employee error or malfeasance, government surveillance, or other factors. In addition, third parties may attempt to fraudulently induce employees or users to disclose information in order to gain access to our data or our users' data. Although we have developed systems and processes that are designed to protect our data and user data and to prevent data loss and other security breaches, we cannot assure you that such measures will provide absolute security.
In addition, some of our developers or other partners, such as those that help us measure the effectiveness of ads, may receive or store information provided by us or by our users through mobile or web applications integrated with Facebook. We provide limited information to such third parties based on the scope of services provided to us. However, if these third parties or developers fail to adopt or adhere to adequate data security practices, or in the event of a breach of their networks, our users' data may be improperly accessed, used, or disclosed.
Affected users or government authorities could initiate legal or regulatory actions against us in connection with any security breaches, which could cause us to incur significant expense and liability or result in orders or consent decrees forcing us to modify our business practices. Any of these events could have a material and adverse effect on our business, reputation, or financial results.
Unfavorable media coverage could negatively affect our business.
We receive a high degree of media coverage around the world. Unfavorable publicity regarding, for example, our privacy practices, terms of service, product changes, product quality, litigation or regulatory activity, government surveillance, the actions of our developers whose products are integrated with Facebook, the use of our products or services for illicit, objectionable, or illegal ends, the actions of our users, or the actions of other companies that provide similar services to us, could adversely affect our reputation. Such negative publicity also could have an adverse effect on the size, engagement, and loyalty of our user base and result in decreased revenue, which could adversely affect our business and financial results.

43


Our financial results will fluctuate from quarter to quarter and are difficult to predict.
Our quarterly financial results have fluctuated in the past and will fluctuate in the future. Additionally, we have a limited operating history with the current scale of our business, which makes it difficult to forecast our future results. As a result, you should not rely upon our past quarterly financial results as indicators of future performance. You should take into account the risks and uncertainties frequently encountered by companies in rapidly evolving markets. Our financial results in any given quarter can be influenced by numerous factors, many of which we are unable to predict or are outside of our control, including:
our ability to maintain and grow our user base and user engagement;
our ability to attract and retain marketers in a particular period;
fluctuations in spending by our marketers due to seasonality, such as historically strong spending in the fourth quarter of each year, or other factors;
the number and quality of ads shown to users;
the pricing of our ads and other products;
our ability to maintain or increase Payments and other fees revenue;
the diversification and growth of revenue sources beyond advertising and Payments;
the development and introduction of new products or services by us or our competitors;
increases in marketing, sales, and other operating expenses that we will incur to grow and expand our operations and to remain competitive;
our ability to maintain gross margins and operating margins;
costs related to the acquisitions of businesses, talent, technologies, or intellectual property, including potentially significant amortization costs and impairment loss and additional investments to further develop the acquired technologies;
our ability to obtain equipment and components for our data centers and other technical infrastructure in a timely and cost-effective manner;
system failures, which could prevent us from serving ads for any period of time, or breaches of security or privacy, and the costs associated with remediating any such failures or breaches;
changes in the manner in which we distribute our products or inaccessibility of our products due to third-party actions;
share-based compensation expense, including acquisition-related expense;
adverse litigation judgments, settlements, or other litigation-related costs;
changes in the legislative or regulatory environment, including with respect to privacy, or enforcement by government regulators, including fines, orders, or consent decrees;
the overall tax rate for our business, which may be affected by a number of factors, including the financial results of our international subsidiaries and the timing, size, and integration of acquisitions we may make from time to time;
tax obligations that may arise from changes in laws or resolutions of tax examinations that materially differ from the amounts we have anticipated;
fluctuations in currency exchange rates and changes in the proportion of our revenue and expenses denominated in foreign currencies;
fluctuations in the market values of our portfolio investments and in interest rates;
changes in U.S. generally accepted accounting principles; and
changes in global business or macroeconomic conditions.

44


We expect our rates of growth to decline in the future.
We expect that our user growth and revenue growth rates will decline over time as the size of our active user base increases and as we achieve greater market penetration. For example, the growth rate of Facebook's MAUs declined from 25% from 2011 to 2012, to 16% from 2012 to 2013, to 13% from 2013 to 2014. Historically, our user growth has been a primary driver of growth in our revenue. In addition, we expect our revenue growth rate will generally decline over time as our revenue increases to higher levels. As our growth rates decline, investors' perceptions of our business may be adversely affected and the trading price of our Class A common stock could decline.
Our costs are continuing to grow, which could harm our business and profitability.
Operating our business is costly and we expect our expenses to continue to increase in the future as we broaden our user base, as users increase the number of connections and amount of data they share with us, as we develop and implement new products, and as we continue to hire additional employees to support our expanding operations. Historically, our costs have increased each year due to these factors and we expect to continue to incur increasing costs, in particular for servers, storage, power, data centers, security systems, and talent to support our anticipated future growth. We expect to continue to invest in these and other efforts to operate and expand our business around the world, including in countries and/or projects where we may not have a clear path to monetization, such as our commitment to the Internet.org initiative to increase global Internet access. Our costs will increase as a result of integrating and operating larger and more complex business acquisitions, including our recent acquisitions of Oculus and WhatsApp. In addition, we intend to increase marketing, sales, and other operating expenses in order to continue to grow and expand our operations and to remain competitive. Increases in our costs may adversely affect our business and profitability. Our expenses are expected to grow faster than our revenue in the near term and may be greater than we anticipate, and our investments may not be successful.
Our business is subject to complex and evolving U.S. and foreign laws and regulations regarding privacy, data protection, and other matters. Many of these laws and regulations are subject to change and uncertain interpretation, and could result in claims, changes to our business practices, monetary penalties, increased cost of operations, or declines in user growth or engagement, or otherwise harm our business.
We are subject to a variety of laws and regulations in the United States and abroad that involve matters central to our business, including privacy and data protection, rights of publicity, content, intellectual property, advertising, marketing, distribution, data security, data retention and deletion, personal information, electronic contracts and other communications, competition, protection of minors, consumer protection, telecommunications, product liability, taxation, economic or other trade prohibitions or sanctions, securities law compliance, and online payment services. The introduction of new products or expansion of our activities in certain jurisdictions may subject us to additional laws and regulations. In addition, foreign data protection, privacy, and other laws and regulations can be more restrictive than those in the United States.
These U.S. federal and state and foreign laws and regulations, which in some cases can be enforced by private parties or government entities, are constantly evolving and can be subject to significant change. As a result, the application, interpretation, and enforcement of these laws and regulations are often uncertain, particularly in the new and rapidly evolving industry in which we operate, and may be interpreted and applied inconsistently from country to country and inconsistently with our current policies and practices. For example, the interpretation of some laws and regulations that govern the use of names and likenesses in connection with advertising and marketing activities is unsettled, and developments in this area could affect the manner in which we design our products and offer services. Similarly, any regulatory or legislative action affecting the manner in which we display content to our users could adversely affect user growth and engagement.
Proposed legislation and regulations could also significantly affect our business. There currently are a number of proposals pending before federal, state, and foreign legislative and regulatory bodies, including a data protection regulation being considered by the European Commission that may include operational requirements for companies that receive or process personal data that are different than those currently in place in the European Union, and that may also include significant penalties for non-compliance. Similarly, there are a number of legislative proposals in the United States, at both the federal and state level, that could impose new obligations in areas affecting our business, such as liability for copyright infringement by third parties. In addition, some countries are considering or have passed legislation implementing data protection requirements or requiring local storage and processing of data or similar requirements that could increase the cost and complexity of delivering our services.
These existing and proposed laws and regulations, as well as any associated inquiries, investigations, or actions, can be costly to comply with and can delay or impede the development of new products, result in negative publicity, increase our operating costs, require significant management time and attention, and subject us to remedies that may harm our business, including fines or demands or orders that we modify or cease existing business practices.

45


We have been subject to regulatory investigations and settlements and we expect to continue to be subject to such proceedings and other inquires in the future, which could cause us to incur substantial costs or require us to change our business practices in a manner materially adverse to our business.
From time to time, we receive formal and informal inquiries from government authorities and regulators regarding our compliance with laws and regulations, many of which are evolving and subject to interpretation. We are and expect to continue to be the subject of investigations, inquiries, actions, and audits in the United States, Europe, and around the world, particularly in the areas of consumer and data protection, as we continue to grow and expand our operations. For example, the Belgian data protection authority recently initiated an action seeking to assert jurisdiction over Facebook Ireland, Facebook Belgium, and Facebook Inc., a jurisdictional claim that we believe to be legally and factually groundless. Orders issued by, or inquiries or enforcement actions initiated by, government or regulatory authorities could cause us to incur substantial costs, expose us to unanticipated civil and criminal liability or penalties (including substantial monetary fines), or require us to change our business practices in a manner materially adverse to our business.
If we are unable to protect our intellectual property, the value of our brands and other intangible assets may be diminished, and our business may be adversely affected.
We rely and expect to continue to rely on a combination of confidentiality, assignment, and license agreements with our employees, consultants, and third parties with whom we have relationships, as well as trademark, copyright, patent, trade secret, and domain name protection laws, to protect our proprietary rights. In the United States and internationally, we have filed various applications for protection of certain aspects of our intellectual property, and we currently hold a number of issued patents in multiple jurisdictions and have acquired patents and patent applications from third parties. In addition, in the future we may acquire additional patents or patent portfolios, which could require significant cash expenditures. Third parties may knowingly or unknowingly infringe our proprietary rights, third parties may challenge proprietary rights held by us, and pending and future trademark and patent applications may not be approved. In addition, effective intellectual property protection may not be available in every country in which we operate or intend to operate our business. In any or all of these cases, we may be required to expend significant time and expense in order to prevent infringement or to enforce our rights. Although we have generally taken measures to protect our proprietary rights, there can be no assurance that others will not offer products or concepts that are substantially similar to ours and compete with our business. In addition, we regularly contribute software source code under open source licenses and have made other technology we developed available under other open licenses, and we include open source software in our products. For example, we have contributed certain specifications and designs related to our data center equipment to the Open Compute Project Foundation, a non-profit entity that shares and develops such information with the technology community, under the Open Web Foundation License. As a result of our open source contributions and the use of open source in our products, we may license or be required to license or disclose code and/or innovations that turn out to be material to our business and may also be exposed to increased litigation risk. If the protection of our proprietary rights is inadequate to prevent unauthorized use or appropriation by third parties, the value of our brands and other intangible assets may be diminished and competitors may be able to more effectively mimic our products, services, and methods of operations. Any of these events could have an adverse effect on our business and financial results.
We are currently, and expect to be in the future, party to patent lawsuits and other intellectual property rights claims that are expensive and time consuming, and, if resolved adversely, could have a significant impact on our business, financial condition, or results of operations.
Companies in the Internet, technology, and media industries own large numbers of patents, copyrights, trademarks, and trade secrets, and frequently enter into litigation based on allegations of infringement, misappropriation, or other violations of intellectual property or other rights. In addition, various "non-practicing entities" that own patents and other intellectual property rights often attempt to aggressively assert their rights in order to extract value from technology companies. Furthermore, from time to time we may introduce or acquire new products, including in areas where we historically have not competed, which could increase our exposure to patent and other intellectual property claims from competitors and non-practicing entities.
From time to time, we receive notice letters from patent holders alleging that certain of our products and services infringe their patent rights. We presently are involved in a number of intellectual property lawsuits, and as we face increasing competition and gain an increasingly high profile, we expect the number of patent and other intellectual property claims against us to grow. Defending patent and other intellectual property litigation is costly and can impose a significant burden on management and employees, and there can be no assurances that favorable final outcomes will be obtained in all cases. In addition, plaintiffs may seek, and we may become subject to, preliminary or provisional rulings in the course of any such litigation, including potential preliminary injunctions requiring us to cease some or all of our operations. We may decide to settle such lawsuits and disputes on terms that are unfavorable to us. Similarly, if any litigation to which we are a party is resolved adversely, we may be subject to an unfavorable judgment that may not be reversed upon appeal. The terms of such a settlement or judgment may require us to cease some or all of our operations or pay substantial amounts to the other party. In addition, we may have to seek a license to continue

46


practices found to be in violation of a third party's rights, which may not be available on reasonable terms, or at all, and may significantly increase our operating costs and expenses. As a result, we may also be required to develop alternative non-infringing technology or practices or discontinue the practices. The development of alternative non-infringing technology or practices could require significant effort and expense or may not be feasible. Our business, financial condition, and results of operations could be adversely affected as a result of an unfavorable resolution of the disputes and litigation referred to above.
We are involved in numerous class action lawsuits and other litigation matters that are expensive and time consuming, and, if resolved adversely, could harm our business, financial condition, or results of operations.
In addition to intellectual property claims, we are also involved in numerous other lawsuits, including putative class action lawsuits, many of which claim statutory damages and/or seek significant changes to our business operations, and we anticipate that we will continue to be a target for numerous lawsuits in the future. Because Facebook has over a billion users, the plaintiffs in class action cases filed against us typically claim enormous monetary damages even if the alleged per-user harm is small or non-existent. In addition, following our release of Oculus products, we may be subject to additional class action lawsuits based on product performance or other claims related to the use of consumer hardware and software, as well as virtual reality technology and products, which are new and unproven. Any negative outcome from any such lawsuits could result in payments of substantial monetary damages or fines, or undesirable changes to our products or business practices, and accordingly our business, financial condition, or results of operations could be materially and adversely affected. Although the results of such lawsuits and claims cannot be predicted with certainty, we do not believe that the final outcome of those matters relating to our products that we currently face will have a material adverse effect on our business, financial condition, or results of operations. In addition, we are currently the subject of stockholder class action suits in connection with our IPO. We believe these lawsuits are without merit and are vigorously defending these lawsuits.
There can be no assurances that a favorable final outcome will be obtained in all our cases, and defending any lawsuit is costly and can impose a significant burden on management and employees. Any litigation to which we are a party may result in an onerous or unfavorable judgment that may not be reversed upon appeal or in payments of substantial monetary damages or fines, or we may decide to settle lawsuits on similarly unfavorable terms, which could adversely affect our business, financial conditions, or results of operations.
We may incur liability as a result of information retrieved from or transmitted over the Internet or published using our products or as a result of claims related to our products.
We have faced, currently face, and will continue to face claims relating to information that is published or made available on our products. In particular, the nature of our business exposes us to claims related to defamation, intellectual property rights, rights of publicity and privacy, and personal injury torts. This risk is enhanced in certain jurisdictions outside the United States where our protection from liability for third-party actions may be unclear and where we may be less protected under local laws than we are in the United States. We could incur significant costs investigating and defending such claims and, if we are found liable, significant damages. If any of these events occur, our business and financial results could be adversely affected.
Our CEO has control over key decision making as a result of his control of a majority of our voting stock.
Mark Zuckerberg, our founder, Chairman, and CEO, is able to exercise voting rights with respect to a majority of the voting power of our outstanding capital stock and therefore has the ability to control the outcome of matters submitted to our stockholders for approval, including the election of directors and any merger, consolidation, or sale of all or substantially all of our assets. This concentrated control could delay, defer, or prevent a change of control, merger, consolidation, or sale of all or substantially all of our assets that our other stockholders support, or conversely this concentrated control could result in the consummation of such a transaction that our other stockholders do not support. This concentrated control could also discourage a potential investor from acquiring our Class A common stock due to the limited voting power of such stock relative to the Class B common stock and might harm the trading price of our Class A common stock. In addition, Mr. Zuckerberg has the ability to control the management and major strategic investments of our company as a result of his position as our CEO and his ability to control the election or replacement of our directors. In the event of his death, the shares of our capital stock that Mr. Zuckerberg owns will be transferred to the persons or entities that he designates. As a board member and officer, Mr. Zuckerberg owes a fiduciary duty to our stockholders and must act in good faith in a manner he reasonably believes to be in the best interests of our stockholders. As a stockholder, even a controlling stockholder, Mr. Zuckerberg is entitled to vote his shares, and shares over which he has voting control as governed by a voting agreement, in his own interests, which may not always be in the interests of our stockholders generally.

47


We plan to continue to make acquisitions, which could harm our financial condition or results of operations and may adversely affect the price of our common stock.
As part of our business strategy, we have made and intend to continue to make acquisitions to add specialized employees and complementary companies, products, or technologies. We may not be able to find suitable acquisition candidates, and we may not be able to complete acquisitions on favorable terms, if at all. In some cases, the costs of such acquisitions may be substantial. For example, in 2014 we paid approximately $4.6 billion in cash and issued 178 million shares of our Class A common stock in connection with our acquisition of WhatsApp, and we paid approximately $400 million in cash and issued 23 million shares of our Class B common stock in connection with our acquisition of Oculus. We also issued a substantial number of RSUs to help retain the employees of these companies. There is no assurance that we will receive a favorable return on investment for these or other acquisitions.
In the future, we may pay substantial amounts of cash or incur debt to pay for acquisitions, which could adversely affect our liquidity. The incurrence of indebtedness would also result in increased fixed obligations, increased interest expense, and could also include covenants or other restrictions that would impede our ability to manage our operations. We may also issue equity securities to pay for acquisitions and we regularly grant RSUs to retain the employees of acquired companies, which could increase our expenses, adversely affect our financial results, and result in dilution to our stockholders. In addition, any acquisitions we announce could be viewed negatively by users, marketers, developers, or investors, which may adversely affect our business or the price of our common stock.
We may also discover liabilities or deficiencies associated with the companies or assets we acquire that were not identified in advance, which may result in significant unanticipated costs. The effectiveness of our due diligence review and our ability to evaluate the results of such due diligence are dependent upon the accuracy and completeness of statements and disclosures made or actions taken by the companies we acquire or their representatives, as well as the limited amount of time in which acquisitions are executed. In addition, we may fail to accurately forecast the financial impact of an acquisition transaction, including tax and accounting charges. Acquisitions may also result in our recording of significant additional expenses to our results of operations and recording of substantial finite-lived intangible assets on our balance sheet upon closing. Any of these factors may adversely affect our financial condition or results of operations.
We may not be able to successfully integrate our acquisitions, and we may incur significant costs to integrate and support the companies we acquire.
The integration of acquisitions requires significant time and resources, and we may not manage these processes successfully. Our ability to successfully integrate complex acquisitions is unproven, particularly with respect to companies that have significant operations or that develop products where we do not have prior experience. For example, Oculus and WhatsApp are larger and more complex than previous companies we have acquired. In particular, Oculus builds technology and products that are new to Facebook, and accordingly we did not have significant experience or structure in place to support this business prior to the acquisition. We plan to make substantial investments of resources to support these acquisitions, which will result in significant ongoing operating expenses and may divert resources and management attention from other areas of our business. We cannot assure you that these investments will be successful. If we fail to successfully integrate the companies we acquire, we may not realize the benefits expected from the transaction and our business may be harmed.
If our goodwill or finite-lived intangible assets become impaired, we may be required to record a significant charge to earnings. 
We review our finite-lived intangible assets for impairment when events or changes in circumstances indicate the carrying value may not be recoverable, such as a decline in stock price and market capitalization. We test goodwill for impairment at least annually. If such goodwill or finite-lived intangible assets are deemed to be impaired, an impairment loss equal to the amount by which the carrying amount exceeds the fair value of the assets would be recognized. We may be required to record a significant charge in our financial statements during the period in which any impairment of our goodwill or finite-lived intangible assets is determined, which would negatively affect our results of operations.

48


Our business is dependent on our ability to maintain and scale our technical infrastructure, and any significant disruption in our service could damage our reputation, result in a potential loss of users and engagement, and adversely affect our financial results.
Our reputation and ability to attract, retain, and serve our users is dependent upon the reliable performance of our products and our underlying technical infrastructure. Our systems may not be adequately designed with the necessary reliability and redundancy to avoid performance delays or outages that could be harmful to our business. If our products are unavailable when users attempt to access them, or if they do not load as quickly as expected, users may not use our products as often in the future, or at all. As our user base and engagement continue to grow, and the amount and types of information shared on Facebook and our other products continue to grow and evolve, such as increased engagement with video, we will need an increasing amount of technical infrastructure, including network capacity and computing power, to continue to satisfy the needs of our users. It is possible that we may fail to effectively scale and grow our technical infrastructure to accommodate these increased demands. In addition, our business may be subject to interruptions, delays, or failures resulting from earthquakes, adverse weather conditions, other natural disasters, power loss, terrorism, or other catastrophic events. If such an event were to occur, users may be subject to service disruptions or outages and we may not be able to recover our technical infrastructure and user data in a timely manner to restart or provide our services, which may adversely affect our financial results.
A substantial portion of our network infrastructure is provided by third parties. Any disruption or failure in the services we receive from these providers could harm our ability to handle existing or increased traffic and could significantly harm our business. Any financial or other difficulties these providers face may adversely affect our business, and we exercise little control over these providers, which increases our vulnerability to problems with the services they provide.
We could experience unforeseen difficulties in building and operating key portions of our technical infrastructure.
We have designed and built our own data centers and key portions of our technical infrastructure through which we serve our products, and we plan to continue to significantly expand the size of our infrastructure primarily through data centers and other projects. The infrastructure expansion we are undertaking is complex, and unanticipated delays in the completion of these projects or availability of components may lead to increased project costs, operational inefficiencies, or interruptions in the delivery or degradation of the quality of our products. In addition, there may be issues related to this infrastructure that are not identified during the testing phases of design and implementation, which may only become evident after we have started to fully utilize the underlying equipment, that could further degrade the user experience or increase our costs.
Our products and internal systems rely on software that is highly technical, and if it contains undetected errors or vulnerabilities, our business could be adversely affected.
Our products and internal systems rely on software, including software developed or maintained internally and/or by third parties, that is highly technical and complex. In addition, our products and internal systems depend on the ability of such software to store, retrieve, process, and manage immense amounts of data. The software on which we rely has contained, and may now or in the future contain, undetected errors, bugs, or vulnerabilities. Some errors may only be discovered after the code has been released for external or internal use. Errors, vulnerabilities, or other design defects within the software on which we rely may result in a negative experience for users and marketers who use our products, delay product introductions or enhancements, result in measurement or billing errors, compromise our ability to protect the data of our users and/or our intellectual property or lead to reductions in our ability to provide some or all of our services. For example, social games on Facebook rely on Adobe Flash, which games are currently responsible for substantially all of our Payments revenue. In July 2015, certain vulnerabilities discovered in Flash led to temporary interruption of support for Flash by popular web browsers. If similar interruptions occur in the future and disrupt our ability to provide social games to some or all of our users, our ability to generate Payments revenue would be harmed. Any errors, bugs, vulnerabilities, or defects discovered in the software on which we rely, and any associated degradations or interruptions of service, could result in damage to our reputation, loss of users, loss of revenue, or liability for damages, any of which could adversely affect our business and financial results.
Certain of our user metrics are subject to inherent challenges in measurement, and real or perceived inaccuracies in such metrics may harm our reputation and negatively affect our business.
The numbers for our key metrics, which include our DAUs, mobile DAUs, MAUs, mobile MAUs, and average revenue per user (ARPU), as well as certain other metrics such as mobile-only DAUs and mobile-only MAUs, are calculated using internal company data based on the activity of user accounts. While these numbers are based on what we believe to be reasonable estimates of our user base for the applicable period of measurement, there are inherent challenges in measuring usage of our products across large online and mobile populations around the world.
For example, there may be individuals who maintain one or more Facebook accounts in violation of our terms of service. We estimate, for example, that "duplicate" accounts (an account that a user maintains in addition to his or her principal account)

49


may have represented less than 5% of our worldwide MAUs in 2014. We also seek to identify "false" accounts, which we divide into two categories: (1) user-misclassified accounts, where users have created personal profiles for a business, organization, or non-human entity such as a pet (such entities are permitted on Facebook using a Page rather than a personal profile under our terms of service); and (2) undesirable accounts, which represent user profiles that we determine are intended to be used for purposes that violate our terms of service, such as spamming. In 2014, for example, we estimate that such user-misclassified and undesirable accounts may have represented less than 2% our worldwide MAUs. We believe the percentage of accounts that are duplicate or false is meaningfully lower in developed markets such as the United States or United Kingdom and higher in developing markets such as India and Turkey. However, these estimates are based on an internal review of a limited sample of accounts and we apply significant judgment in making this determination, such as identifying names that appear to be fake or other behavior that appears inauthentic to the reviewers. As such, our estimation of duplicate or false accounts may not accurately represent the actual number of such accounts. We are continually seeking to improve our ability to identify duplicate or false accounts and estimate the total number of such accounts, and such estimates may change due to improvements or changes in our methodology.
Our data limitations may affect our understanding of certain details of our business. For example, while user-provided data indicates a decline in usage among younger users, this age data is unreliable because a disproportionate number of our younger users register with an inaccurate age. Accordingly, our understanding of usage by age group may not be complete.
Some of our metrics have also been affected by applications on certain mobile devices that automatically contact our servers for regular updates with no user action involved, and this activity can cause our system to count the user associated with such a device as an active user on the day such contact occurs. The impact of this automatic activity on our metrics varied by geography because mobile usage varies in different regions of the world. In addition, our data regarding the geographic location of our users is estimated based on a number of factors, such as the user's IP address and self-disclosed location. These factors may not always accurately reflect the user's actual location. For example, a mobile-only user may appear to be accessing Facebook from the location of the proxy server that the user connects to rather than from the user's actual location. The methodologies used to measure user metrics may also be susceptible to algorithm or other technical errors. Our estimates for revenue by user location and revenue by user device are also affected by these factors. We regularly review our processes for calculating these metrics, and from time to time we may discover inaccuracies in our metrics or make adjustments to improve their accuracy, including adjustments that may result in the recalculation of our historical metrics. We believe that any such inaccuracies or adjustments are immaterial unless otherwise stated. In addition, our DAU and MAU estimates will differ from estimates published by third parties due to differences in methodology. For example, some third parties are not able to accurately measure mobile users or do not count mobile users for certain user groups or at all in their analyses.
If marketers, developers, or investors do not perceive our user metrics to be accurate representations of our user base, or if we discover material inaccuracies in our user metrics, our reputation may be harmed and marketers and developers may be less willing to allocate their budgets or resources to Facebook, which could negatively affect our business and financial results.
We cannot assure you that we will effectively manage our growth.
Our employee headcount and the scope and complexity of our business have increased significantly, with the number of employees increasing to 10,955 as of June 30, 2015 from 7,185 as of June 30, 2014, and we expect headcount growth to continue for the foreseeable future. The growth and expansion of our business and products create significant challenges for our management, operational, and financial resources, including managing multiple relations with users, marketers, developers, and other third parties. In the event of continued growth of our operations or in the number of our third-party relationships, our information technology systems or our internal controls and procedures may not be adequate to support our operations. In addition, some members of our management do not have significant experience managing a large global business operation, so our management may not be able to manage such growth effectively. To effectively manage our growth, we must continue to improve our operational, financial, and management processes and systems and to effectively expand, train, and manage our employee base. As our organization continues to grow, and we are required to implement more complex organizational management structures, we may find it increasingly difficult to maintain the benefits of our corporate culture, including our ability to quickly develop and launch new and innovative products. This could negatively affect our business performance.
The loss of one or more of our key personnel, or our failure to attract and retain other highly qualified personnel in the future, could harm our business.
We currently depend on the continued services and performance of our key personnel, including Mark Zuckerberg and Sheryl K. Sandberg. Although we have entered into employment agreements with Mr. Zuckerberg and Ms. Sandberg, the agreements have no specific duration and constitute at-will employment. In addition, many of our key technologies and systems are custom-made for our business by our personnel. The loss of key personnel, including members of management as well as key engineering, product development, marketing, and sales personnel, could disrupt our operations and have an adverse effect on our business.

50


As we continue to grow, we cannot guarantee we will continue to attract the personnel we need to maintain our competitive position. In particular, we intend to continue to hire a significant number of technical personnel in the foreseeable future, and we expect to face significant competition from other companies in hiring such personnel, particularly in the San Francisco Bay Area, where our headquarters are located and where the cost of living is high. As we mature, the incentives to attract, retain, and motivate employees provided by our equity awards or by future arrangements may not be as effective as in the past, and if we issue significant equity to attract additional employees, the ownership of our existing stockholders may be further diluted. Additionally, we have a number of current employees whose equity ownership in our company has provided them a substantial amount of personal wealth, which could affect their decisions about whether or not to continue to work for us. As a result of these factors, it may be difficult for us to continue to retain and motivate our employees. If we do not succeed in attracting, hiring, and integrating excellent personnel, or retaining and motivating existing personnel, we may be unable to grow effectively.
We may not be able to continue to successfully grow usage of and engagement with mobile and web applications that integrate with Facebook and our other products.
We have made and are continuing to make investments to enable developers to build, grow, and monetize mobile and web applications that integrate with Facebook and our other products. Such existing and prospective developers may not be successful in building, growing, or monetizing mobile and/or web applications that create and maintain user engagement. Additionally, developers may choose to build on other platforms, including mobile platforms controlled by third parties, rather than building products that integrate with Facebook and our other products. We are continuously seeking to balance the distribution objectives of our developers with our desire to provide an optimal user experience, and we may not be successful in achieving a balance that continues to attract and retain such developers. For example, from time to time, we have taken actions to reduce the volume of communications from these developers to users on Facebook and our other products with the objective of enhancing the user experience, and such actions have reduced distribution from, user engagement with, and our monetization opportunities from, Facebook-integrated mobile and web applications. In some instances, these actions, as well as other actions to enforce our policies applicable to developers, have adversely affected our relationships with such developers. If we are not successful in our efforts to continue to grow the number of developers that choose to build products that integrate with Facebook and our other products or if we are unable to continue to build and maintain good relations with such developers, our user growth and user engagement and our financial results may be adversely affected.
We generate all of our Payments revenue from developers that use Facebook on personal computers, and we expect that our Payments revenue will continue to decline in the future as usage of Facebook on personal computers continues to decline.
We currently generate all of our Payments revenue from developers that use Facebook on personal computers. Specifically, applications built by developers of social games are currently responsible for substantially all of our revenue derived from Payments, and the majority of the revenue from these applications has historically been generated by a limited number of the most popular games. We have experienced and expect to see the continued decline in usage of Facebook on personal computers for the foreseeable future, which we expect will result in a continuing decline in Payments revenue. In addition, a relatively small percentage of our users have transacted with Facebook Payments. If the Facebook-integrated applications fail to grow or maintain their users and engagement, whether as a result of the continued decline in the usage of Facebook on personal computers or otherwise, if developers do not continue to introduce new applications that attract users and create engagement on Facebook, or if Facebook-integrated applications outside of social games do not gain popularity and generate significant revenue for us, our financial performance could be adversely affected.
Payment transactions on Facebook may subject us to additional regulatory requirements and other risks that could be costly and difficult to comply with or that could harm our business.
Our users can use Facebook to purchase virtual and digital goods from developers that offer applications on the Facebook website using our Payments infrastructure. Our users can also use Messenger to send money to other users and use Facebook to make donations to certain charitable organizations. We are subject to a variety of laws and regulations in the United States, Europe, and elsewhere, including those governing anti-money laundering and counter-terrorist financing, money transmission, gift cards and other prepaid access instruments, electronic funds transfer, charitable fundraising, and import and export restrictions. Depending on how our Payments product evolves, we may also be subject to other laws and regulations including those governing gambling, banking, and lending. In some jurisdictions, the application or interpretation of these laws and regulations is not clear. To increase flexibility in how our use of Payments may evolve and to mitigate regulatory uncertainty, we have received certain money transmitter licenses in the United States and are applying for certain regulatory licenses in Europe, which will generally require us to demonstrate compliance with many domestic and foreign laws in these areas. Our efforts to comply with these laws and regulations could be costly and result in diversion of management time and effort and may still not guarantee compliance. In the event that we are found to be in violation of any such legal or regulatory requirements, we may be subject to monetary fines or other penalties such as a cease and desist order, or we may be required to make product changes, any of which could have an adverse effect on our business and financial results.

51


In addition, we may be subject to a variety of additional risks as a result of Payments on Facebook, including:
increased costs and diversion of management time and effort and other resources to deal with bad transactions or customer disputes;
potential fraudulent or otherwise illegal activity by users, developers, employees, or third parties;
restrictions on the investment of consumer funds used to transact Payments; and
additional disclosure and reporting requirements.
We have significant international operations and plan to continue expanding our operations abroad where we have limited operating experience, and this may subject us to increased business and economic risks that could affect our financial results.
We have significant international operations and plan to continue the international expansion of our business operations and the translation of our products. We currently make Facebook available in more than 80 different languages, and we have offices or data centers in more than 25 different countries. We may enter new international markets where we have limited or no experience in marketing, selling, and deploying our products. Our products are generally available globally through the web and on mobile, but some or all of our products or functionality may not be available in certain markets due to legal and regulatory complexities. For example, Facebook is not generally available in China. If we fail to deploy or manage our operations in international markets successfully, our business may suffer. In addition, we are subject to a variety of risks inherent in doing business internationally, including:
political, social, or economic instability;
risks related to the legal and regulatory environment in foreign jurisdictions, including with respect to privacy, tax, law enforcement, content, intellectual property, and terrestrial infrastructure matters;
potential damage to our brand and reputation due to compliance with local laws, including potential censorship or requirements to provide user information to local authorities;
fluctuations in currency exchange rates and compliance with currency controls;
foreign exchange controls that might prevent us from repatriating cash earned in countries outside the United States;
higher levels of credit risk and payment fraud;
enhanced difficulties of integrating any foreign acquisitions;
burdens of complying with a variety of foreign laws;
reduced protection for intellectual property rights in some countries;
difficulties in staffing and managing global operations and the increased travel, infrastructure, and legal compliance costs associated with multiple international locations;
compliance with the U.S. Foreign Corrupt Practices Act, the U.K. Bribery Act, and similar laws in other jurisdictions; and
compliance with statutory equity requirements and management of tax consequences.
If we are unable to expand internationally and manage the complexity of our global operations successfully, our financial results could be adversely affected.
We may incur a substantial amount of indebtedness, which could adversely affect our financial condition.
In August 2013, we entered into a five-year senior unsecured revolving credit facility under which we may borrow up to $6.5 billion to fund working capital and general corporate purposes. As of June 30, 2015, no amounts were outstanding under this facility. If we draw down on this facility in the future, our interest expense and principal repayment requirements will increase significantly, which could have an adverse effect on our financial results.
We may require additional capital to support our business growth, and this capital may not be available on acceptable terms, if at all.

52


We may require additional capital to support our business growth or to respond to business opportunities, challenges or unforeseen circumstances. Our ability to obtain additional capital, if and when required, will depend on our business plans, investor demand, our operating performance, the condition of the capital markets, and other factors. If we raise additional funds through the issuance of equity, equity-linked or debt securities, those securities may have rights, preferences, or privileges senior to the rights of our Class A common stock, and our existing stockholders may experience dilution. If we are unable to obtain additional capital when required, or are unable to obtain additional capital on satisfactory terms, our ability to continue to support our business growth or to respond to business opportunities, challenges, or unforeseen circumstances could be adversely affected, and our business may be harmed.
We may have exposure to greater than anticipated tax liabilities.
Our income tax obligations are based in part on our corporate operating structure and intercompany arrangements, including the manner in which we develop, value, and use our intellectual property and the valuations of our intercompany transactions. The tax laws applicable to our business, including the laws of the United States and other jurisdictions, are subject to interpretation and certain jurisdictions are aggressively interpreting their laws in new ways in an effort to raise additional tax revenue from companies such as Facebook. The taxing authorities of the jurisdictions in which we operate may challenge our methodologies for valuing developed technology or intercompany arrangements, which could increase our worldwide effective tax rate and harm our financial position and results of operations. We are subject to regular review and audit by U.S. federal and state and foreign tax authorities. Tax authorities may disagree with certain positions we have taken and any adverse outcome of such a review or audit could have a negative effect on our financial position and results of operations. In addition, the determination of our worldwide provision for income taxes and other tax liabilities requires significant judgment by management, and there are many transactions where the ultimate tax determination is uncertain. Although we believe that our estimates are reasonable, the ultimate tax outcome may differ from the amounts recorded in our financial statements and may materially affect our financial results in the period or periods for which such determination is made. In addition, our future income taxes could be adversely affected by earnings being lower than anticipated in jurisdictions that have lower statutory tax rates and higher than anticipated in jurisdictions that have higher statutory tax rates, by changes in the valuation of our deferred tax assets and liabilities, or by changes in tax laws, regulations, or accounting principles. For example, we have previously incurred losses in certain international subsidiaries that resulted in an effective tax rate that is significantly higher than the statutory tax rate in the United States and this could continue to happen in the future.
Changes in tax laws or tax rulings could materially affect our financial position and results of operations.
Changes in tax laws or tax rulings could materially affect our financial position and results of operations. For example, the current U.S. administration and key members of Congress have made public statements indicating that tax reform is a priority. Certain changes to U.S. tax laws, including limitations on the ability to defer U.S. taxation on earnings outside of the United States until those earnings are repatriated to the United States, could affect the tax treatment of our foreign earnings. In addition, many countries in the European Union, as well as a number of other countries and organizations such as the Organization for Economic Cooperation and Development, are actively considering changes to existing tax laws or have enacted new laws. Certain proposals or newly enacted laws include provisions that could significantly increase our tax obligations in many countries where we do business. Due to the large and expanding scale of our international business activities, any changes in the taxation of such activities may increase our worldwide effective tax rate and harm our financial position and results of operations.
Risks Related to Ownership of Our Class A Common Stock
The trading price of our Class A common stock has been and will likely continue to be volatile.
The trading price of our Class A common stock has been, and is likely to continue to be, volatile. Since shares of our Class A common stock were sold in our IPO in May 2012 at a price of $38.00 per share, our stock price has ranged from $17.55 to $89.40 through June 30, 2015. In addition to the factors discussed in this Quarterly Report on Form 10-Q, the trading price of our Class A common stock may fluctuate significantly in response to numerous factors, many of which are beyond our control, including:
actual or anticipated fluctuations in our revenue and other operating results;
the financial projections we may provide to the public, any changes in these projections or our failure to meet these projections;
actions of securities analysts who initiate or maintain coverage of us, changes in financial estimates by any securities analysts who follow our company, or our failure to meet these estimates or the expectations of investors;
additional shares of our Class A common stock being sold into the market by us, our existing stockholders, or in connection with acquisitions, including shares sold by our employees to cover tax liabilities in connection with RSU

53


vesting events, or the anticipation of such sales;
investor sentiment with respect to our competitors, our business partners, and our industry in general;
announcements by us or our competitors of significant products or features, technical innovations, acquisitions, strategic partnerships, joint ventures, or capital commitments;
announcements by us or estimates by third parties of actual or anticipated changes in the size of our user base, the level of user engagement, or the effectiveness of our ad products;
changes in operating performance and stock market valuations of technology companies in our industry, including our developers and competitors;
price and volume fluctuations in the overall stock market, including as a result of trends in the economy as a whole;
the inclusion or deletion of our Class A common stock from any trading indices, such as the S&P 500 Index;
media coverage of our business and financial performance;
lawsuits threatened or filed against us;
developments in anticipated or new legislation and pending lawsuits or regulatory actions, including interim or final rulings by tax, judicial, or regulatory bodies; and
other events or factors, including those resulting from war or incidents of terrorism, or responses to these events.
In addition, the stock markets have experienced extreme price and volume fluctuations that have affected and continue to affect the market prices of equity securities of many technology companies. Stock prices of many technology companies have fluctuated in a manner unrelated or disproportionate to the operating performance of those companies. We are currently subject to securities litigation in connection with our IPO. We may experience more such litigation following future periods of volatility. Any securities litigation could subject us to substantial costs, divert resources and the attention of management from our business, and adversely affect our business.
We do not intend to pay dividends for the foreseeable future.
We have never declared or paid cash dividends on our capital stock. We currently intend to retain any future earnings to finance the operation and expansion of our business, and we do not expect to declare or pay any dividends in the foreseeable future. As a result, you may only receive a return on your investment in our Class A common stock if the trading price of our Class A common stock increases. In addition, our credit facility contains restrictions on our ability to pay dividends.
The dual class structure of our common stock and a voting agreement between certain stockholders have the effect of concentrating voting control with our CEO and certain other holders of our Class B common stock; this will limit or preclude your ability to influence corporate matters.
Our Class B common stock has ten votes per share, and our Class A common stock has one vote per share. Stockholders who hold shares of Class B common stock, including certain of our executive officers, employees, and directors and their affiliates, together hold a substantial majority of the voting power of our outstanding capital stock. Because of the ten-to-one voting ratio between our Class B and Class A common stock, the holders of our Class B common stock collectively control a majority of the combined voting power of our common stock and therefore are able to control all matters submitted to our stockholders for approval so long as the shares of Class B common stock represent at least 9.1% of all outstanding shares of our Class A and Class B common stock. This concentrated control will limit or preclude your ability to influence corporate matters for the foreseeable future.
Transfers by holders of Class B common stock will generally result in those shares converting to Class A common stock, subject to limited exceptions, such as certain transfers effected for estate planning or charitable purposes. The conversion of Class B common stock to Class A common stock will have the effect, over time, of increasing the relative voting power of those holders of Class B common stock who retain their shares in the long term. If, for example, Mr. Zuckerberg retains a significant portion of his holdings of Class B common stock for an extended period of time, he could, in the future, continue to control a majority of the combined voting power of our Class A common stock and Class B common stock.

54


We have elected to take advantage of the "controlled company" exemption to the corporate governance rules for NASDAQ-listed companies, which could make our Class A common stock less attractive to some investors or otherwise harm our stock price.
Because we qualify as a "controlled company" under the corporate governance rules for NASDAQ-listed companies, we are not required to have a majority of our board of directors be independent, nor are we required to have a compensation committee or an independent nominating function. In light of our status as a controlled company, our board of directors determined not to have an independent nominating function and chose to have the full board of directors be directly responsible for nominating members of our board, and in the future we could elect not to have a majority of our board of directors be independent or not to have a compensation committee. Accordingly, should the interests of our controlling stockholder differ from those of other stockholders, the other stockholders may not have the same protections afforded to stockholders of companies that are subject to all of the corporate governance rules for NASDAQ-listed companies. Our status as a controlled company could make our Class A common stock less attractive to some investors or otherwise harm our stock price.
Delaware law and provisions in our restated certificate of incorporation and bylaws could make a merger, tender offer, or proxy contest difficult, thereby depressing the trading price of our Class A common stock.
Our status as a Delaware corporation and the anti-takeover provisions of the Delaware General Corporation Law may discourage, delay, or prevent a change in control by prohibiting us from engaging in a business combination with an interested stockholder for a period of three years after the person becomes an interested stockholder, even if a change of control would be beneficial to our existing stockholders. In addition, our restated certificate of incorporation and bylaws contain provisions that may make the acquisition of our company more difficult, including the following:
until the first date on which the outstanding shares of our Class B common stock represent less than 35% of the combined voting power of our common stock, any transaction that would result in a change in control of our company requires the approval of a majority of our outstanding Class B common stock voting as a separate class;
we have a dual class common stock structure, which provides Mr. Zuckerberg with the ability to control the outcome of matters requiring stockholder approval, even if he owns significantly less than a majority of the shares of our outstanding Class A and Class B common stock;
when the outstanding shares of our Class B common stock represent less than a majority of the combined voting power of common stock, certain amendments to our restated certificate of incorporation or bylaws will require the approval of two-thirds of the combined vote of our then-outstanding shares of Class A and Class B common stock;
when the outstanding shares of our Class B common stock represent less than a majority of the combined voting power of our common stock, vacancies on our board of directors will be able to be filled only by our board of directors and not by stockholders;
when the outstanding shares of our Class B common stock represent less than a majority of the combined voting power of our common stock, our board of directors will be classified into three classes of directors with staggered three-year terms and directors will only be able to be removed from office for cause;
when the outstanding shares of our Class B common stock represent less than a majority of the combined voting power of our common stock, our stockholders will only be able to take action at a meeting of stockholders and not by written consent;
only our chairman, our chief executive officer, our president, or a majority of our board of directors are authorized to call a special meeting of stockholders;
advance notice procedures apply for stockholders to nominate candidates for election as directors or to bring matters before an annual meeting of stockholders;
our restated certificate of incorporation authorizes undesignated preferred stock, the terms of which may be established, and shares of which may be issued, without stockholder approval; and
certain litigation against us can only be brought in Delaware.

55


Item 2.
Unregistered Sales of Equity Securities and Use of Proceeds.
a) Sales of Unregistered Securities
None.
c) Issuer Purchases of Equity Securities
The table below provides information with respect to repurchases of unvested shares of our Class A common stock.
Period
Total Number of Shares Purchased (1)
Weighted Average Price Paid per Share
Total Number of Shares Purchased as Part of Publicly Announced Plans or Programs
Maximum Number of Shares that May Yet Be Purchased Under the Plans or Programs
April 1 – April 30, 2015




May 1 – May 31, 2015




June 1 – June 30, 2015
310,526

$
0.002833




(1) Unvested shares are subject to a right of repurchase by us in the event the recipient of such unvested acquisition shares is no longer employed by us. All shares in the above table were shares repurchased as a result of us exercising this right and not pursuant to a publicly announced plan or program.


56


Item 6.
Exhibits

Exhibit
 
 
 
Incorporated by Reference
 
Filed
Herewith
Number
 
Exhibit Description
 
Form
 
File No.
 
Exhibit
 
Filing Date
 
 
 
 
 
 
 
 
31.1
  
Certification of Mark Zuckerberg, Chief Executive Officer, pursuant to Rule 13a-14(a)/15d-14(a), as adopted pursuant to Section 302 of the Sarbanes-Oxley Act of 2002.
  
 
  
 
  
 
  
 
  
X
 
 
 
 
 
 
 
31.2
  
Certification of David M. Wehner, Chief Financial Officer, pursuant to Rule 13a-14(a)/15d-14(a), as adopted pursuant to Section 302 of the Sarbanes-Oxley Act of 2002.
  
 
  
 
  
 
  
 
  
X
 
 
 
 
 
 
 
32.1#
  
Certification of Mark Zuckerberg, Chief Executive Officer, pursuant to 18 U.S.C. Section 1350, as adopted pursuant to Section 906 of the Sarbanes-Oxley Act of 2002.
  
 
  
 
  
 
  
 
  
X
 
 
 
 
 
 
 
32.2#
  
Certification of David M. Wehner, Chief Financial Officer, pursuant to 18 U.S.C. Section 1350, as adopted pursuant to Section 906 of the Sarbanes-Oxley Act of 2002.
  
 
  
 
  
 
  
 
  
X
 
 
 
 
 
 
 
101.INS
  
XBRL Instance Document.
  
 
  
 
  
 
  
 
  
X
 
 
 
 
 
 
 
101.SCH
  
XBRL Taxonomy Extension Schema Document.
  
 
  
 
  
 
  
 
  
X
 
 
 
 
 
 
 
101.CAL
  
XBRL Taxonomy Extension Calculation Linkbase Document.
  
 
  
 
  
 
  
 
  
X
 
 
 
 
 
 
 
101.DEF
  
XBRL Taxonomy Extension Definition Linkbase Document.
  
 
  
 
  
 
  
 
  
X
 
 
 
 
 
 
 
101.LAB
  
XBRL Taxonomy Extension Labels Linkbase Document.
  
 
  
 
  
 
  
 
  
X
 
 
 
 
 
 
 
101.PRE
  
XBRL Taxonomy Extension Presentation Linkbase Document.
  
 
  
 
  
 
  
 
  
X


# This certification is deemed not filed for purposes of Section 18 of the Securities Exchange Act of 1934, as amended (Exchange Act), or otherwise subject to the liability of that section, nor shall it be deemed incorporated by reference into any filing under the Securities Act of 1933, as amended (Securities Act), or the Exchange Act.

57


SIGNATURES
Pursuant to the requirements of the Securities Exchange Act of 1934, the Registrant has duly caused this Quarterly Report on Form 10-Q to be signed on its behalf by the undersigned, thereunto duly authorized, in the City of Menlo Park, State of California, on this 30th day of July 2015. 
 
 
FACEBOOK, INC.
 
 
Date: July 30, 2015
 
/s/ DAVID M. WEHNER
 
 
David M. Wehner
Chief Financial Officer
(Principal Financial Officer)
 
 
Date: July 30, 2015
 
/s/ JAS ATHWAL
 
 
Jas Athwal
Chief Accounting Officer
(Principal Accounting Officer)


58