10-K 1 fb-12312014x10k.htm 10-K FB-12.31.2014-10K


 
  UNITED STATES
SECURITIES AND EXCHANGE COMMISSION
Washington, D.C. 20549
__________________________
FORM 10-K
__________________________
(Mark One)
x
ANNUAL REPORT PURSUANT TO SECTION 13 OR 15(d) OF THE SECURITIES EXCHANGE ACT OF 1934
For the fiscal year ended December 31, 2014
or
¨
TRANSITION REPORT PURSUANT TO SECTION 13 OR 15(d) OF THE SECURITIES EXCHANGE ACT OF 1934
For the transition period from            to            
Commission File Number: 001-35551
__________________________
FACEBOOK, INC.
(Exact name of registrant as specified in its charter)
__________________________
 
Delaware
20-1665019
(State or other jurisdiction of incorporation or organization)
(I.R.S. Employer Identification Number)
1601 Willow Road, Menlo Park, California 94025
(Address of principal executive offices and Zip Code)
(650) 543-4800
(Registrant's telephone number, including area code)
__________________________
Securities registered pursuant to Section 12(b) of the Act:
Class A Common Stock, $0.000006 par value
The NASDAQ Stock Market LLC
(Title of each class)
(Name of each exchange on which registered)
Securities registered pursuant to Section 12(g) of the Act:
None
(Title of class)
Indicate by check mark if the registrant is a well-known seasoned issuer, as defined in Rule 405 of the Securities Act. Yes  x  No   ¨
Indicate by check mark if the registrant is not required to file reports pursuant to Section 13 or Section 15(d) of the Act. Yes ¨ No  x
Indicate by check mark whether the registrant (1) has filed all reports required to be filed by Section 13 or 15(d) of the Securities Exchange Act of 1934 (Exchange Act) during the preceding 12 months (or for such shorter period that the registrant was required to file such reports), and (2) has been subject to such filing requirements for the past 90 days.    Yes  x    No  ¨
Indicate by check mark whether the registrant has submitted electronically and posted on its corporate Website, if any, every Interactive Data File required to be submitted and posted pursuant to Rule 405 of Regulation S-T (§ 232.405 of this chapter) during the preceding 12 months (or for such shorter period that the registrant was required to submit and post such files).    Yes  x    No  ¨
Indicate by check mark if disclosure of delinquent filers pursuant to Item 405 of Regulation S-K (§ 229.405 of this chapter) is not contained herein, and will not be contained, to the best of registrant's knowledge, in definitive proxy or information statements incorporated by reference in Part III of this Form 10-K or any amendment to this Form 10-K. ¨
Indicate by check mark whether the registrant is a large accelerated filer, an accelerated filer, a non-accelerated filer, or a smaller reporting company. See definition of "large accelerated filer," "accelerated filer" and "smaller reporting company" in Rule 12b-2 of the Exchange Act. (Check one):
Large accelerated filer
x
Accelerated filer
¨
Non-accelerated filer
 ¨ (Do not check if a smaller reporting company)
Smaller reporting company
¨
Indicate by check mark whether the registrant is a shell company (as defined in Rule 12b-2 of the Exchange Act).    Yes  ¨    No   x

The aggregate market value of the voting and non-voting stock held by non-affiliates of the registrant as of June 30, 2014, the last business day of the registrant's most recently completed second fiscal quarter, was $143,589,386,032 based upon the closing price reported for such date on the NASDAQ Global Select Market.

On January 27, 2015, the registrant had 2,236,333,833 shares of Class A common stock and 562,677,981 shares of Class B common stock outstanding.

DOCUMENTS INCORPORATED BY REFERENCE
Portions of the registrant's Proxy Statement for the 2015 Annual Meeting of Stockholders are incorporated herein by reference in Part III of this Annual Report on Form 10-K to the extent stated herein. Such proxy statement will be filed with the Securities and Exchange Commission within 120 days of the registrant's fiscal year ended December 31, 2014.
 




FACEBOOK, INC.
FORM 10-K
TABLE OF CONTENTS

 
 
 
 
 
 
 
 
 
 
 
 
 







2



NOTE ABOUT FORWARD-LOOKING STATEMENTS
This Annual Report on Form 10-K contains forward-looking statements within the meaning of the Private Securities Litigation Reform Act of 1995. All statements contained in this Annual Report on Form 10-K other than statements of historical fact, including statements regarding our future results of operations and financial position, our business strategy and plans, and our objectives for future operations, are forward-looking statements. The words "believe," "may," "will," "estimate," "continue," "anticipate," "intend," "expect," and similar expressions are intended to identify forward-looking statements. We have based these forward-looking statements largely on our current expectations and projections about future events and trends that we believe may affect our financial condition, results of operations, business strategy, short-term and long-term business operations and objectives, and financial needs. These forward-looking statements are subject to a number of risks, uncertainties, and assumptions, including those described in Part I, Item 1A, "Risk Factors" in this Annual Report on Form 10-K. Moreover, we operate in a very competitive and rapidly changing environment. New risks emerge from time to time. It is not possible for our management to predict all risks, nor can we assess the impact of all factors on our business or the extent to which any factor, or combination of factors, may cause actual results to differ materially from those contained in any forward-looking statements we may make. In light of these risks, uncertainties and assumptions, the future events and trends discussed in this Annual Report on Form 10-K may not occur and actual results could differ materially and adversely from those anticipated or implied in the forward-looking statements.
We undertake no obligation to revise or publicly release the results of any revision to these forward-looking statements, except as required by law. Given these risks and uncertainties, readers are cautioned not to place undue reliance on such forward-looking statements.
Unless expressly indicated or the context requires otherwise, the terms "Facebook," "company," "we," "us," and "our" in this document refer to Facebook, Inc., a Delaware corporation, and, where appropriate, its wholly owned subsidiaries. The term "Facebook" may also refer to our products, regardless of the manner in which they are accessed. For references to accessing Facebook on the "web" or via a "website," such terms refer to accessing Facebook on desktop or personal computers. For references to accessing Facebook on "mobile," such term refers to accessing Facebook via a mobile application or via a mobile-optimized version of our website such as m.facebook.com, whether on a mobile phone or tablet.

3




LIMITATIONS OF KEY METRICS AND OTHER DATA
The numbers for our key metrics, which include our daily active users (DAUs), mobile DAUs, monthly active users (MAUs), mobile MAUs, and average revenue per user (ARPU), as well as certain other metrics such as mobile-only DAUs and mobile-only MAUs, are calculated using internal company data based on the activity of user accounts. While these numbers are based on what we believe to be reasonable estimates of our user base for the applicable period of measurement, there are inherent challenges in measuring usage of our products across large online and mobile populations around the world.
For example, there may be individuals who maintain one or more Facebook accounts in violation of our terms of service. We estimate, for example, that "duplicate" accounts (an account that a user maintains in addition to his or her principal account) may have represented less than 5% of our worldwide MAUs in 2014. We also seek to identify "false" accounts, which we divide into two categories: (1) user-misclassified accounts, where users have created personal profiles for a business, organization, or non-human entity such as a pet (such entities are permitted on Facebook using a Page rather than a personal profile under our terms of service); and (2) undesirable accounts, which represent user profiles that we determine are intended to be used for purposes that violate our terms of service, such as spamming. In 2014, for example, we estimate user-misclassified and undesirable accounts may have represented less than 2% of our worldwide MAUs. We believe the percentage of accounts that are duplicate or false is meaningfully lower in developed markets such as the United States or United Kingdom and higher in developing markets such as India and Turkey. However, these estimates are based on an internal review of a limited sample of accounts and we apply significant judgment in making this determination, such as identifying names that appear to be fake or other behavior that appears inauthentic to the reviewers. As such, our estimation of duplicate or false accounts may not accurately represent the actual number of such accounts. We are continually seeking to improve our ability to identify duplicate or false accounts and estimate the total number of such accounts, and such estimates may change due to improvements or changes in our methodology.
Our data limitations may affect our understanding of certain details of our business. For example, while user-provided data indicates a decline in usage among younger users, this age data is unreliable because a disproportionate number of our younger users register with an inaccurate age. Accordingly, our understanding of usage by age group may not be complete.
Some of our metrics have also been affected by applications on certain mobile devices that automatically contact our servers for regular updates with no user action involved, and this activity can cause our system to count the user associated with such a device as an active user on the day such contact occurs. The impact of this automatic activity on our metrics varies by geography because mobile usage varies in different regions of the world. In addition, our data regarding the geographic location of our users is estimated based on a number of factors, such as the user's IP address and self-disclosed location. These factors may not always accurately reflect the user's actual location. For example, a mobile-only user may appear to be accessing Facebook from the location of the proxy server that the user connects to rather than from the user's actual location. The methodologies used to measure user metrics may also be susceptible to algorithm or other technical errors. Our estimates for revenue by user location and revenue by user device are also affected by these factors. We regularly review our processes for calculating these metrics, and from time to time we may discover inaccuracies in our metrics or make adjustments to improve their accuracy, including adjustments that may result in the recalculation of our historical metrics. We believe that any such inaccuracies or adjustments are immaterial unless otherwise stated. In addition, our DAU and MAU estimates will differ from estimates published by third parties due to differences in methodology. For example, some third parties are not able to accurately measure mobile users or do not count mobile users for certain user groups or at all in their analyses.
The numbers of DAUs, mobile DAUs, MAUs, mobile MAUs, mobile-only DAUs and mobile-only MAUs discussed in this Annual Report on Form 10-K, as well as ARPU, do not include users of Instagram or WhatsApp unless they would otherwise qualify as such users, respectively, based on their other activities on Facebook. In addition, other user engagement metrics included herein do not include Instagram or WhatsApp unless otherwise specifically stated.

4



PART I

Item 1.Business
Overview
Our mission is to give people the power to share and make the world more open and connected.
Our business focuses on creating value for people, marketers, and developers.
How We Create Value for People Who Use Facebook
Our top priority is to build useful and engaging products that enable people to connect and share through mobile devices and personal computers. We also help people discover and learn about what is going on in the world around them, enable people to share their opinions, ideas, photos and videos, and other activities with audiences ranging from their closest friends to the public at large, and stay connected everywhere by accessing our products, including:
Facebook. The Facebook mobile app and website enable people to connect, share, discover, and communicate with each other on mobile devices and personal computers. Facebook is free and available throughout the world. We had 890 million daily active users (DAUs) on average in December 2014, an increase of 18% compared to December 2013. We had 745 million DAUs who accessed Facebook from a mobile device on average in December 2014, an increase of 34% compared to December 2013.
Instagram. Instagram is a mobile application that enables people to take photos or videos, customize them with filter effects, and share them with friends and followers in a photo feed or send them directly to friends.
Messenger. Messenger is a mobile-to-mobile messaging application available on Android, iOS and Windows Phone devices. Messenger works similarly to texting (SMS) or online chat to enable people to reach others instantly and also seamlessly integrates with Facebook messaging functionality on personal computers.
WhatsApp. WhatsApp Messenger is a cross-platform mobile messaging application that allows people to exchange messages on iOS, Android, BlackBerry, Windows Phone, and Nokia devices.
 \How We Create Value for Marketers
Facebook focuses on providing value for all kinds of marketers, including brand, direct response, small and medium-sized businesses, and developers. We help them achieve their business objectives, whether it is driving online sales, in-store sales, or awareness of their brand.

We generate the substantial majority of our revenue from selling advertising placements to marketers. Our ads let marketers reach people on Facebook based on a variety of factors including age, gender, location, and interests. Marketers purchase ads that can appear in multiple places including in News Feed on mobile devices and personal computers, and on the right-hand side of personal computers.

Our ad planning tools are designed to align with marketers' business goals. When marketers create an ad campaign on Facebook, they can specify their budget, marketing objectives and the types of people they want to reach. Facebook's ad serving technology then dynamically determines the best available ad to show each person based on those dimensions. Marketers can also use our platform's insights to measure and optimize both the in-store and online performance of their ad campaigns. These insights help marketers not only understand how their ads drove results but also help them make modifications to their ad campaigns to improve those results. In addition to ads on Facebook, marketers can buy ads on Instagram and on other websites and applications such as Audience Network, Atlas, and LiveRail.
How We Create Value for Developers
Facebook supports developers’ efforts to build, grow, and monetize their mobile and web applications. First, we provide a set of development tools and application programming interfaces (APIs) that enable developers to easily integrate with Facebook to create mobile and web applications across platforms and devices. Second, we help developers grow their mobile and web applications by providing them with tools, such as mobile application ads or social plugins, to increase the exposure, distribution and engagement of such applications. By using our tools for sharing, messaging, invites, requests, and mobile application ads, developers have a number of ways to drive application discovery and user engagement. Finally, we help developers monetize their web applications by providing an online Payments infrastructure that enables developers to receive payments from people who use Facebook in an easy-to-use, secure, and trusted environment, as well as from our Audience Network, where developers are able to monetize their mobile applications by showing ads from Facebook advertisers within their application.

5



We generate revenue from developers who use our Payments infrastructure to sell virtual and digital goods to people who use Facebook on personal computers. We also generate revenue from developers who choose to purchase ads from us, and we receive a portion of the revenue from developers who show ads from Facebook advertisers in their applications within our Audience Network.
 Competition
Our business is characterized by innovation, rapid change, and disruptive technologies. We face significant competition in every aspect of our business, including from companies that provide tools to facilitate the sharing of information, companies that enable marketers to display advertising, and companies that provide development platforms for application developers. We compete to attract, engage, and retain people, to attract and retain marketers, to attract and retain developers to build compelling mobile and web applications that integrate with Facebook, and to attract and retain highly talented individuals, especially software engineers, designers, and product managers.
We compete with the following: 
Companies that offer full-featured products that replicate the range of communications and related capabilities we provide. These offerings include, for example, Google+, which Google has integrated with certain of its products, including search and Android, as well as other, largely regional, social networks that have strong positions in particular countries.
Companies that develop applications, particularly mobile applications, that provide social or other communications functionality, such as messaging, photo- and video-sharing, and micro-blogging.
Companies that provide web- and mobile-based information and entertainment products and services that are designed to engage people and capture time spent online and on mobile devices.
Traditional, online, and mobile businesses that provide media for marketers to reach their audiences and/or develop tools and systems for managing and optimizing advertising campaigns.
As we introduce new products, as our existing products evolve, or as other companies introduce new products and services, we may become subject to additional competition. 
Technology
Our product development philosophy is centered on continuous innovation in creating and improving products that are social by design, which means that our products are designed to place people and their social interactions at the core of the product experience. As our user base grows, and the level of engagement from the people who use Facebook continues to increase, including on mobile devices, our computing needs continue to expand. We make significant investments in technology both to improve our existing products and services and to develop new ones for people who use Facebook, and for our marketers and developers.
Our research and development expenses were $2.67 billion, $1.42 billion, and $1.40 billion in 2014, 2013, and 2012, respectively. For information about our research and development expenses, see Part II, Item 7, "Management's Discussion and Analysis of Financial Condition and Results of Operations - Results of Operations - Research and development" of this Annual Report on Form 10-K.
Sales and Operations
The majority of our marketers use our self-service ad platform to establish accounts and to launch and manage their advertising campaigns. We also have a global sales force that is focused on attracting and retaining marketers and providing support to them throughout the stages of the advertising campaign cycle from pre-purchase decision-making to real-time optimizations to post-campaign analytics. We work directly with marketers, through traditional advertising agencies, and with an ecosystem of agencies that have a specialized focus on Facebook advertising. We currently operate more than 30 sales offices around the globe.
We have operations teams to provide support for people, marketers and developers in five regional centers located in Menlo Park, California; Austin, Texas; Dublin, Ireland; Hyderabad, India; and Singapore. We also invest in and rely on self-service tools to provide direct customer support to people, marketers, and developers.

We have data centers in the United States, including data center facilities that we own in Iowa, North Carolina, and Oregon and leased data center facilities in California and Virginia. We also own a data center facility in Lulea, Sweden.

Marketing

To date, the Facebook community has grown virally with people inviting their friends to connect with them, supported by internal efforts to stimulate awareness and interest. In addition we have invested and will continue to invest in marketing our products

6



and services to build our brand and user base around the world. We leverage the utility of our products and our social distribution channels as our most effective marketing tools. In addition, we undertake various user acquisition efforts and regularly host events and conferences to engage with marketers and developers.
Intellectual Property
To establish and protect our proprietary rights, we rely on a combination of patents, patent applications, trademarks, copyrights, trade secrets, including know-how, license agreements, confidentiality procedures, non-disclosure agreements with third parties, employee disclosure and invention assignment agreements, and other contractual rights. In addition, to further protect our proprietary rights, from time to time we have purchased patents and patent applications from third parties. We do not believe that our proprietary technology is dependent on any single patent or copyright or groups of related patents or copyrights. We believe the duration of our patents is adequate relative to the expected lives of our products.
Government Regulation
We are subject to a number of U.S. federal and state, and foreign laws and regulations that affect companies conducting business on the Internet. Many of these laws and regulations are still evolving and being tested in courts, and could be interpreted in ways that could harm our business. These may involve user privacy, rights of publicity, data protection, content, intellectual property, distribution, electronic contracts and other communications, competition, protection of minors, consumer protection, telecommunications, product liability, taxation, economic or other trade prohibitions or sanctions, securities law compliance, and online payment services. In particular, we are subject to federal, state, and foreign laws regarding privacy and protection of people's data. Foreign data protection, privacy, and other laws and regulations can be more restrictive than those in the United States. U.S. federal and state and foreign laws and regulations are constantly evolving and can be subject to significant change. In addition, the application, interpretation, and enforcement of these laws and regulations are often uncertain, particularly in the new and rapidly-evolving industry in which we operate, and may be interpreted and applied inconsistently from country to country and inconsistently with our current policies and practices. There are also a number of legislative proposals pending before the U.S. Congress, various state legislative bodies, and foreign governments concerning privacy and data protection which could affect us. For example, the European Commission is currently considering a data protection regulation that may include operational requirements for companies that receive personal data that are different than those currently in place in the European Union, and that may also include significant penalties for non-compliance.
In August 2012, the FTC approved a settlement agreement with us to resolve an investigation into various practices that, among other things, requires us to complete bi-annual independent privacy assessments and to establish and refine certain practices with respect to treatment of people's information and the privacy settings we offer. Violation of existing or future regulatory orders or consent decrees could subject us to substantial monetary fines and other penalties that could negatively affect our financial condition and results of operations.
Various laws and regulations in the United States and abroad, such as the U.S. Bank Secrecy Act, the Dodd-Frank Act, the USA PATRIOT Act, and the Credit CARD Act, impose certain anti-money laundering requirements on companies that are financial institutions or that provide financial products and services. Under these laws and regulations, financial institutions are broadly defined to include money services businesses such as money transmitters, check cashers, and sellers or issuers of stored value or prepaid access products. Requirements imposed on financial institutions under these laws include customer identification and verification programs, record retention policies and procedures, and transaction reporting. To increase flexibility in how our use of Payments may evolve and to mitigate regulatory uncertainty, we have received certain money transmitter licenses in the United States and are applying for, or expect to apply for, certain regulatory licenses in Europe, which will generally require us to demonstrate compliance with many domestic and foreign laws relating to money transmission, gift cards and other prepaid access instruments, electronic funds transfers, anti-money laundering, counter-terrorist financing, gambling, banking and lending, financial privacy and data security, and import and export restrictions.
Employees
As of December 31, 2014, we had 9,199 employees.
 Corporate Information
We were incorporated in Delaware in July 2004. We completed our initial public offering in May 2012 and our Class A common stock is listed on The NASDAQ Global Select Market under the symbol "FB." Our principal executive offices are located at 1601 Willow Road, Menlo Park, California 94025, and our telephone number is (650) 543-4800.
Facebook, the Facebook logo, FB, the Like button, Instagram, Oculus, WhatsApp, and our other registered or common law trademarks, service marks, or trade names appearing in this Annual Report on Form 10-K are the property of Facebook, Inc. or its

7



affiliates. Other trademarks, service marks, or trade names appearing in this Annual Report on Form 10-K are the property of their respective owners.
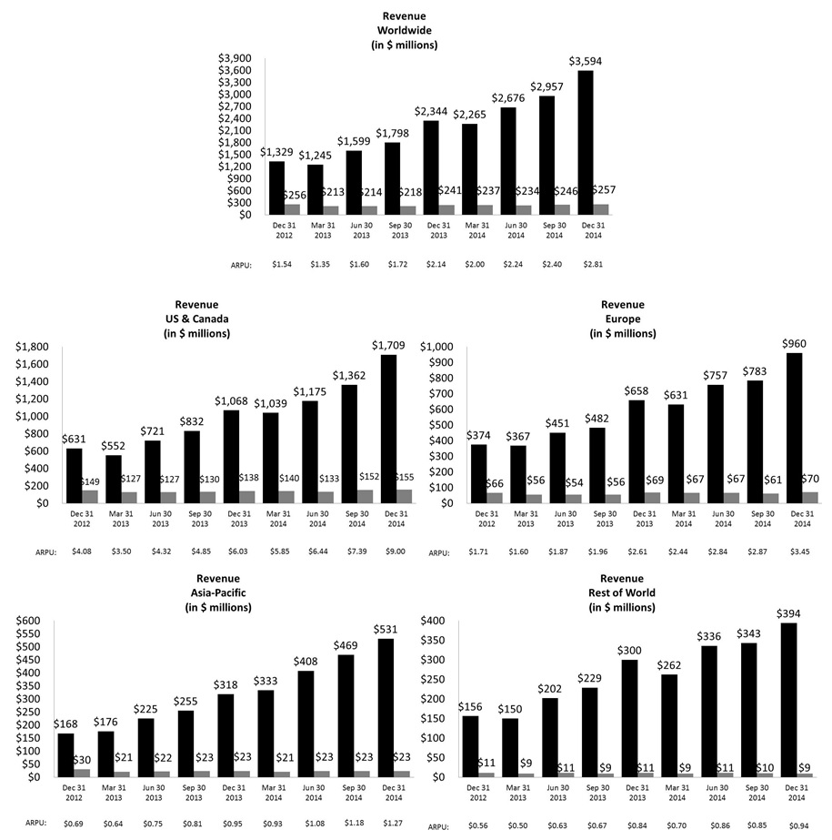
Information about Segment and Geographic Revenue
Information about segment and geographic revenue is set forth in Notes 1 and 14 of our Notes to Consolidated Financial Statements included in Part II, Item 8, "Financial Statements and Supplementary Data" of this Annual Report on Form 10-K.
Available Information
Our website address is www.facebook.com. Our Annual Report on Form 10-K, Quarterly Reports on Form 10-Q, Current Reports on Form 8-K, and amendments to reports filed pursuant to Sections 13(a) and 15(d) of the Securities Exchange Act of 1934, as amended (Exchange Act), are filed with the U.S. Securities and Exchange Commission (SEC). We are subject to the informational requirements of the Exchange Act and file or furnish reports, proxy statements, and other information with the SEC. Such reports and other information filed by the Company with the SEC are available free of charge on our website at investor.fb.com when such reports are available on the SEC's website. We use our investor.fb.com website and Mark Zuckerberg's Facebook Page (https://www.facebook.com/zuck) as means of disclosing material non-public information and for complying with our disclosure obligations under Regulation FD.
The public may read and copy any materials filed by Facebook with the SEC at the SEC's Public Reference Room at 100 F Street, NE, Room 1580, Washington, DC 20549. The public may obtain information on the operation of the Public Reference Room by calling the SEC at 1-800-SEC-0330. The SEC maintains an Internet site that contains reports, proxy and information statements, and other information regarding issuers that file electronically with the SEC at www.sec.gov.
The contents of the websites referred to above are not incorporated into this filing. Further, our references to the URLs for these websites are intended to be inactive textual references only.    
 


8



Item 1A.
Risk Factors
Certain factors may have a material adverse effect on our business, financial condition, and results of operations. You should consider carefully the risks and uncertainties described below, in addition to other information contained in this Annual Report on Form 10-K, including our consolidated financial statements and related notes. The risks and uncertainties described below are not the only ones we face. Additional risks and uncertainties that we are unaware of, or that we currently believe are not material, may also become important factors that adversely affect our business. If any of the following risks actually occurs, our business, financial condition, results of operations, and future prospects could be materially and adversely affected. In that event, the trading price of our Class A common stock could decline, and you could lose part or all of your investment.
Risks Related to Our Business and Industry
If we fail to retain existing users or add new users, or if our users decrease their level of engagement with our products, our revenue, financial results, and business may be significantly harmed.
The size of our user base and our users' level of engagement are critical to our success. Our financial performance has been and will continue to be significantly determined by our success in adding, retaining, and engaging active users. We anticipate that our active user growth rate will continue to decline over time as the size of our active user base increases, and as we achieve higher market penetration rates. If people do not perceive our products to be useful, reliable, and trustworthy, we may not be able to attract or retain users or otherwise maintain or increase the frequency and duration of their engagement. A number of other social networking companies that achieved early popularity have since seen their active user bases or levels of engagement decline, in some cases precipitously. There is no guarantee that we will not experience a similar erosion of our active user base or engagement levels. Our user engagement patterns have changed over time, and user engagement can be difficult to measure, particularly as users continue to engage increasingly via mobile devices and as we introduce new and different products and services. Any number of factors could potentially negatively affect user retention, growth, and engagement, including if:
users increasingly engage with other products or services;
we fail to introduce new products or services that users find engaging or if we introduce new products or services that are not favorably received;
users feel that their Facebook experience is diminished as a result of the decisions we make with respect to the frequency, prominence, and size of ads that we display, or the quality of the ads displayed;
users have difficulty installing, updating, or otherwise accessing our products on mobile devices as a result of actions by us or third parties that we rely on to distribute our products and deliver our services;
user behavior on any of our products changes, including decreases in the quality and frequency of content shared on our products and services;
we are unable to continue to develop products for mobile devices that users find engaging, that work with a variety of mobile operating systems and networks, and that achieve a high level of market acceptance;
there are decreases in user sentiment about the quality or usefulness of our products or concerns related to privacy and sharing, safety, security, or other factors;
we are unable to manage and prioritize information to ensure users are presented with content that is interesting, useful, and relevant to them;
users adopt new technologies where our products may be displaced in favor of other products or services, or may not be featured or otherwise available;
there are adverse changes in our products that are mandated by legislation, regulatory authorities, or litigation, including settlements or consent decrees;
technical or other problems prevent us from delivering our products in a rapid and reliable manner or otherwise affect the user experience, such as security breaches or failure to prevent or limit spam or similar content;
we adopt policies or procedures related to areas such as sharing or user data that are perceived negatively by our users or the general public;
we elect to focus our user growth and engagement efforts more on longer-term initiatives, or if initiatives designed to attract and retain users and engagement are unsuccessful or discontinued, whether as a result of actions by us, third

9



parties, or otherwise;
we fail to provide adequate customer service to users, marketers, or developers;
we, developers whose products are integrated with Facebook, or other companies in our industry are the subject of adverse media reports or other negative publicity; or
our current or future products, such as our development tools and application programming interfaces that enable developers to build, grow, and monetize mobile and web applications, reduce user activity on Facebook by making it easier for our users to interact and share on third-party mobile and web applications.
If we are unable to maintain or increase our user base and user engagement, our revenue and financial results may be adversely affected. Any decrease in user retention, growth, or engagement could render our products less attractive to users, marketers, and developers, which is likely to have a material and adverse impact on our revenue, business, financial condition, and results of operations. If our active user growth rate continues to slow, we will become increasingly dependent on our ability to maintain or increase levels of user engagement and monetization in order to drive revenue growth.
We generate a substantial majority of our revenue from advertising. The loss of marketers, or reduction in spending by marketers with Facebook, could seriously harm our business.
The substantial majority of our revenue is currently generated from third parties advertising on Facebook. For 2014, 2013, and 2012, advertising accounted for 92%, 89% and 84%, respectively, of our revenue. As is common in the industry, our marketers do not have long-term advertising commitments with us. Many of our marketers spend only a relatively small portion of their overall advertising budget with us. We expect our ability to grow advertising revenue will continue to be dependent on our ability to generate revenue from ads displayed on mobile devices. In addition, marketers may view some of our products as experimental and unproven. Marketers will not continue to do business with us, or they will reduce the prices they are willing to pay to advertise with us or the budgets they are willing to commit to us, if we do not deliver ads in an effective manner, or if they do not believe that their investment in advertising with us will generate a competitive return relative to other alternatives. Our advertising revenue could be adversely affected by a number of other factors, including:
decreases in user engagement, including time spent on Facebook;
our inability to continue to increase user access to and engagement with Facebook through our mobile products;
product changes or inventory management decisions we may make that change the size, frequency, or relative prominence of ads displayed on Facebook or of other unpaid content shared by marketers on Facebook;
our inability to maintain or increase marketer demand, the pricing of our ads, or both;
our inability to maintain or increase the quality of ads shown to users, particularly on mobile devices;
changes to third-party policies that limit our ability to deliver or target advertising on mobile devices;
the availability, accuracy, and utility of analytics and measurement solutions offered by us or third parties that demonstrate the value of our ads to marketers, or our ability to further improve such tools;
loss of advertising market share to our competitors, including if prices for purchasing ads on Facebook increase or if competitors offer lower priced or more integrated products;
adverse legal developments relating to advertising, including legislative and regulatory developments and developments in litigation;
decisions by marketers to reduce their advertising as a result of adverse media reports or other negative publicity involving us, content on Facebook, developers with Facebook-integrated mobile and web applications, or other companies in our industry;
our inability to improve our existing products or create new products that sustain or increase the value of our ads or marketers' ability to analyze and measure the value of our ads;
the degree to which users opt out of social ads or certain types of ad targeting;
the degree to which users cease or reduce the number of times they click on our ads;
changes in the way advertising on mobile devices or on personal computers is measured or priced;

10



the impact of new technologies that could block or obscure the display of our ads; and
the impact of macroeconomic conditions or conditions in the advertising industry, in general.
The occurrence of any of these or other factors could result in a reduction in demand for our ads, which may reduce the prices we receive for our ads, or cause marketers to stop advertising with us altogether, either of which would negatively affect our revenue and financial results.
We generate a significant portion of our revenue from mobile advertising. Mobile advertising is evolving and growth in the use of Facebook through our mobile products as a substitute for use on personal computers may negatively affect our revenue and financial results.
Facebook had 1.19 billion mobile monthly active users (MAUs) in December 2014. We anticipate that growth in mobile users will continue to be the driver of our growth for the foreseeable future and that usage through personal computers will continue to decline worldwide. We generate a significant portion of our revenue from mobile advertising, which comprised approximately 69% of our overall advertising revenue in the fourth quarter of 2014. While our mobile advertising revenue continues to grow, the mobile advertising market remains an evolving market. If users continue to access Facebook mobile products as a substitute for access through personal computers, and if we are unable to continue to grow mobile revenue or unable to continue to successfully monetize mobile users, or if we incur excessive expenses in these efforts, our financial performance and ability to grow revenue would be negatively affected.
Our user growth, engagement, and monetization on mobile devices depend upon effective operation with mobile operating systems, networks, and standards that we do not control.
There is no guarantee that popular mobile devices will continue to feature Facebook or our other products, or that mobile device users will continue to use our products rather than competing products. We are dependent on the interoperability of Facebook and our other products with popular mobile operating systems, networks, and standards that we do not control, such as the Android and iOS operating systems, and any changes in such systems, our relationships with mobile operating system partners, handset manufacturers, or mobile carriers, or in their terms of service or policies that degrade our products' functionality, reduce or eliminate our ability to distribute our products, give preferential treatment to competitive products, limit our ability to deliver, target, or measure the effectiveness of ads, or impose fees or other charges related to our delivery of ads could adversely affect Facebook usage and monetization on mobile devices. Additionally, in order to deliver high quality mobile products, it is important that our products work well with a range of mobile technologies, systems, networks, and standards that we do not control, and that we have good relationships with handset manufacturers and mobile carriers. We may not be successful in maintaining or developing relationships with key participants in the mobile industry or in developing products that operate effectively with these technologies, systems, networks, or standards. In the event that it is more difficult for our users to access and use Facebook or our other products on their mobile devices, or if our users choose not to access or use Facebook or our other products on their mobile devices or use mobile products that do not offer access to Facebook or our other products, our user growth and user engagement could be harmed. From time to time, we may also take actions regarding the distribution of our products or the operation of our business based on what we believe to be in our long-term best interests. Such actions may adversely affect our relationships with the operators of mobile operating systems, handset manufacturers, mobile carriers, or other business partners, and there is no assurance that these actions will result in the anticipated long-term benefits. In the event that our relationships with such third parties deteriorate, our user growth, engagement, and monetization could be adversely affected and our business could be harmed.
Our business is highly competitive. Competition presents an ongoing threat to the success of our business.
We face significant competition in every aspect of our business, including from companies that provide tools to facilitate the sharing of information, companies that enable marketers to display advertising and companies that provide development platforms for applications developers. We compete with companies that offer full-featured products that replicate the range of communications and related capabilities we provide. These offerings include, for example, Google+, which Google has integrated with certain of its products, including search and Android, as well as other, largely regional, social networks that have strong positions in particular countries. We also compete with companies that develop applications, particularly mobile applications, that provide social or other communications functionality, such as messaging, photo- and video-sharing, and micro-blogging, and companies that provide web- and mobile-based information and entertainment products and services that are designed to engage users and capture time spent online and on mobile devices. In addition, we face competition from traditional, online, and mobile businesses that provide media for marketers to reach their audiences and/or develop tools and systems for managing and optimizing advertising campaigns.
Some of our current and potential competitors may have significantly greater resources or better competitive positions in certain product segments, geographic regions or user demographics than we do. These factors may allow our competitors to respond more effectively than us to new or emerging technologies and changes in market conditions. We believe that some of our users, particularly our younger users, are aware of and actively engaging with other products and services similar to, or as a substitute for, Facebook

11



products and services, and we believe that some of our users have reduced their engagement with Facebook in favor of increased engagement with these other products and services. In the event that our users increasingly engage with other products and services, we may experience a decline in user engagement in key user demographics or more broadly, in which our business would likely be harmed.
Our competitors may develop products, features, or services that are similar to ours or that achieve greater acceptance, may undertake more far-reaching and successful product development efforts or marketing campaigns, or may adopt more aggressive pricing policies. In addition, developers whose mobile and web applications are integrated with Facebook may use information shared by our users through Facebook in order to develop products or features that compete with us. Certain competitors, including Google, could use strong or dominant positions in one or more markets to gain competitive advantage against us in areas where we operate, including: by integrating competing social networking platforms or features into products they control such as mobile device operating systems, search engines, or web browsers; by making acquisitions; by limiting or denying our access to advertising measurement or delivery systems; by limiting our ability to deliver, target, or measure the effectiveness of ads; by imposing fees or other charges related to our delivery of ads; or by making access to our products more difficult. As a result, our competitors may acquire and engage users or generate advertising or other revenue at the expense of our own efforts, which may negatively affect our business and financial results.
We believe that our ability to compete effectively depends upon many factors both within and beyond our control, including:
the popularity, usefulness, ease of use, performance, and reliability of our products compared to our competitors' products, particularly with respect to mobile products;
the size and composition of our user base;
the engagement of our users with our products and competing products;
the timing and market acceptance of products, including developments and enhancements to our or our competitors' products;
our ability to monetize our products;
the frequency, size, quality, and relative prominence of the ads displayed by us or our competitors;
customer service and support efforts;
marketing and selling efforts, including our ability to measure the effectiveness of our ads and to provide marketers with a compelling return on their investments;
our ability to establish and maintain developers' interest in building mobile and web applications that integrate with Facebook;
changes mandated by legislation, regulatory authorities, or litigation, including settlements and consent decrees, some of which may have a disproportionate effect on us;
acquisitions or consolidation within our industry, which may result in more formidable competitors;
our ability to attract, retain, and motivate talented employees, particularly software engineers, designers, and product managers;
our ability to cost-effectively manage and grow our operations; and
our reputation and brand strength relative to those of our competitors.
If we are not able to compete effectively, our user base and level of user engagement may decrease, we may become less attractive to developers and marketers, and our revenue and results of operations may be materially and adversely affected.


12



Action by governments to restrict access to Facebook or our other products in their countries could substantially harm our business and financial results.
It is possible that governments of one or more countries may seek to censor content available on Facebook or our other products in their country, restrict access to our products from their country entirely, or impose other restrictions that may affect the accessibility of our products in their country for an extended period of time or indefinitely. For example, access to Facebook has been or is currently restricted in whole or in part in China, Iran, and North Korea. In addition, government authorities in other countries may seek to restrict access to our products if they consider us to be in violation of their laws. In the event that content shown on Facebook or our other products is subject to censorship, access to our products is restricted, in whole or in part, in one or more countries, or other restrictions are imposed on our products, or our competitors are able to successfully penetrate geographic markets that we cannot access or where we face other restrictions, our ability to retain or increase our user base and user engagement may be adversely affected, we may not be able to maintain or grow our revenue as anticipated, and our financial results could be adversely affected.
Our new products and changes to existing products could fail to attract or retain users or generate revenue.
Our ability to retain, increase, and engage our user base and to increase our revenue depends heavily on our ability to create successful new products, both independently and in conjunction with developers or other third parties. We may introduce significant changes to our existing products, or acquire or introduce new and unproven products, including using technologies with which we have little or no prior development or operating experience. For example, in July 2014 we completed our acquisition of Oculus VR, Inc. (Oculus), a company developing virtual reality technology. We do not have prior experience with consumer hardware products or virtual reality technology, which may adversely affect our ability to successfully develop and market Oculus' products or technology. In addition, in October 2014, we acquired WhatsApp Inc. (WhatsApp), a cross-platform mobile messaging company. We currently monetize WhatsApp in only a very limited fashion, and we may not be successful in our efforts to generate meaningful revenue from WhatsApp over the long term. If these or other new or enhanced products fail to engage users, marketers, or developers, or if we are unsuccessful in our monetization efforts, we may fail to attract or retain users or to generate sufficient revenue, operating margin, or other value to justify our investments, and our business may be adversely affected.
We prioritize user growth and engagement and the user experience over short-term financial results.
We frequently make product decisions that may reduce our short-term revenue or profitability if we believe that the decisions are consistent with our mission and benefit the aggregate user experience and will thereby improve our financial performance over the long term. For example, from time to time we may change the size, frequency, or relative prominence of ads in order to improve ad quality and overall user experience. Similarly, from time to time we update our News Feed ranking algorithm to deliver the most relevant content to our users, which may adversely affect the distribution of content of marketers and developers and could reduce their incentive to invest in their development and marketing efforts on Facebook. We also may introduce changes to existing products, or introduce new stand-alone products, that direct users away from properties where we have a proven means of monetization. For example, we have taken action to redirect users who send messages from within the Facebook application to our stand-alone Messenger application, although we currently do not monetize the stand-alone Messenger application. In addition, we plan to focus on growing the user base for Instagram, WhatsApp, and potentially other stand-alone applications that may have limited or no near-term monetization, and it is possible that these efforts may reduce engagement with the core Facebook application. We also may take steps that result in limiting distribution of mobile products and services in the short term in order to attempt to ensure the availability of our products and services to users over the long term. These decisions may not produce the long-term benefits that we expect, in which case our user growth and engagement, our relationships with marketers and developers, and our business and results of operations could be harmed.

13



If we are not able to maintain and enhance our brands, or if events occur that damage our reputation and brands, our ability to expand our base of users, marketers, and developers may be impaired, and our business and financial results may be harmed.
We believe that our brands have significantly contributed to the success of our business. We also believe that maintaining and enhancing our brands is critical to expanding our base of users, marketers, and developers. Many of our new users are referred by existing users. Maintaining and enhancing our brands will depend largely on our ability to continue to provide useful, reliable, trustworthy, and innovative products, which we may not do successfully. We may introduce new products or terms of service or policies that users do not like, which may negatively affect our brands. Additionally, the actions of our developers may affect our brand if users do not have a positive experience using third-party mobile and web applications integrated with Facebook. We will also continue to experience media, legislative, or regulatory scrutiny of our decisions regarding user privacy and other issues, which may adversely affect our reputation and brands. We also may fail to provide adequate customer service, which could erode confidence in our brands. Our brands may also be negatively affected by the actions of users that are deemed to be hostile or inappropriate to other users, or by users acting under false or inauthentic identities, by perceived or actual efforts by governments to obtain access to user information for security-related purposes, or by the use of our products or services for illicit, objectionable, or illegal ends. Maintaining and enhancing our brands may require us to make substantial investments and these investments may not be successful. Certain of our past actions have eroded confidence in our brands, and if we fail to successfully promote and maintain our brands or if we incur excessive expenses in this effort, our business and financial results may be adversely affected.
Security breaches and improper access to or disclosure of our data or user data, or other hacking and phishing attacks on our systems, could harm our reputation and adversely affect our business.

Our industry is prone to cyber attacks, with third parties seeking unauthorized access to our data or users’ data. Any failure to prevent or mitigate security breaches and improper access to or disclosure of our data or user data could result in the loss or misuse of such data, which could harm our business and reputation and diminish our competitive position. In addition, computer malware, viruses, and hacking and phishing attacks by third parties have become more prevalent in our industry, have occurred on our systems in the past, and may occur on our systems in the future. As a result of our prominence, we believe that we are a particularly attractive target for such breaches and attacks. Such attacks may cause interruptions to the services we provide, degrade the user experience, or cause users to lose confidence in our products. Our efforts to protect our company data or the information we receive may also be unsuccessful due to software bugs or other technical malfunctions, employee error or malfeasance, government surveillance, or other factors. In addition, third parties may attempt to fraudulently induce employees or users to disclose information in order to gain access to our data or our users' data. Although we have developed systems and processes that are designed to protect our data and user data and to prevent data loss and other security breaches, we cannot assure you that such measures will provide absolute security.

In addition, some of our developers or other partners, such as those that help us measure the effectiveness of ads, may receive or store information provided by us or by our users through mobile or web applications integrated with Facebook. We provide limited information to such third parties based on the scope of services provided to us. However, if these third parties or developers fail to adopt or adhere to adequate data security practices, or in the event of a breach of their networks, our users' data may be improperly accessed, used, or disclosed.
Affected users or government authorities could initiate legal or regulatory actions against us in connection with any security breaches, which could cause us to incur significant expense and liability or result in orders or consent decrees forcing us to modify our business practices. Any of these events could have a material and adverse effect on our business, reputation, or financial results.
Unfavorable media coverage could negatively affect our business.
We receive a high degree of media coverage around the world. Unfavorable publicity regarding, for example, our privacy practices, terms of service, product changes, product quality, litigation or regulatory activity, government surveillance, the actions of our developers whose products are integrated with Facebook, the use of our products or services for illicit, objectionable, or illegal ends, the actions of our users, or the actions of other companies that provide similar services to us, could adversely affect our reputation. Such negative publicity also could have an adverse effect on the size, engagement, and loyalty of our user base and result in decreased revenue, which could adversely affect our business and financial results.
Our financial results will fluctuate from quarter to quarter and are difficult to predict.
Our quarterly financial results have fluctuated in the past and will fluctuate in the future. Additionally, we have a limited operating history with the current scale of our business, which makes it difficult to forecast our future results. As a result, you should not rely upon our past quarterly financial results as indicators of future performance. You should take into account the risks and uncertainties frequently encountered by companies in rapidly evolving markets. Our financial results in any given quarter can be influenced by numerous factors, many of which we are unable to predict or are outside of our control, including:
our ability to maintain and grow our user base and user engagement;

14



our ability to attract and retain marketers in a particular period;
fluctuations in spending by our marketers due to seasonality, such as historically strong spending in the fourth quarter of each year, or other factors;
the number and quality of ads shown to users;
the pricing of our ads and other products;
our ability to maintain or increase Payments and other fees revenue;
the diversification and growth of revenue sources beyond advertising and Payments;
the development and introduction of new products or services by us or our competitors;
increases in marketing, sales, and other operating expenses that we will incur to grow and expand our operations and to remain competitive;
our ability to maintain gross margins and operating margins;
costs related to the acquisitions of businesses, talent, technologies, or intellectual property, including potentially significant amortization costs and impairment loss and additional investments to further develop the acquired technologies;
our ability to obtain equipment and components for our data centers and other technical infrastructure in a timely and cost-effective manner;
system failures, which could prevent us from serving ads for any period of time, or breaches of security or privacy, and the costs associated with remediating any such failures or breaches;
inaccessibility of our products due to third-party actions;
share-based compensation expense, including acquisition-related expense;
adverse litigation judgments, settlements, or other litigation-related costs;
changes in the legislative or regulatory environment, including with respect to privacy, or enforcement by government regulators, including fines, orders, or consent decrees;
the overall tax rate for our business, which may be affected by a number of factors, including the financial results of our international subsidiaries and the timing, size, and integration of acquisitions we may make from time to time;
tax obligations that may arise from changes in laws or resolutions of tax examinations that materially differ from the amounts we have anticipated;
fluctuations in currency exchange rates and changes in the proportion of our revenue and expenses denominated in foreign currencies;
fluctuations in the market values of our portfolio investments and in interest rates;
changes in U.S. generally accepted accounting principles; and
changes in global business or macroeconomic conditions.
We expect our rates of growth to decline in the future.
We expect that our user growth and revenue growth rates will decline over time as the size of our active user base increases and as we achieve greater market penetration. For example, the growth rate of Facebook's MAUs declined from 25% from 2011 to 2012, to 16% from 2012 to 2013, to 13% from 2013 to 2014. Historically, our user growth has been a primary driver of growth in our revenue. In addition, we expect our revenue growth rate will generally decline over time as our revenue increases to higher levels. As our growth rates decline, investors' perceptions of our business may be adversely affected and the trading price of our Class A common stock could decline.

15



Our costs are continuing to grow, which could harm our business and profitability.
Operating our business is costly and we expect our expenses to continue to increase in the future as we broaden our user base, as users increase the number of connections and amount of data they share with us, as we develop and implement new products, and as we continue to hire additional employees to support our expanding operations. Historically, our costs have increased each year due to these factors and we expect to continue to incur increasing costs, in particular for servers, storage, power, data centers, security systems, and talent to support our anticipated future growth. We expect to continue to invest in these and other efforts to operate and expand our business around the world, including in countries and/or projects where we may not have a clear path to monetization, such as our commitment to the Internet.org initiative to increase global Internet access. Our costs will increase as a result of integrating and operating larger and more complex business acquisitions, including our recent acquisitions of Oculus and WhatsApp. In addition, we intend to increase marketing, sales, and other operating expenses in order to continue to grow and expand our operations and to remain competitive. Increases in our costs may adversely affect our business and profitability. Our expenses are expected to grow faster than our revenue in the near term and may be greater than we anticipate, and our investments may not be successful.
Our business is subject to complex and evolving U.S. and foreign laws and regulations regarding privacy, data protection, and other matters. Many of these laws and regulations are subject to change and uncertain interpretation, and could result in claims, changes to our business practices, monetary penalties, increased cost of operations, or declines in user growth or engagement, or otherwise harm our business.
We are subject to a variety of laws and regulations in the United States and abroad that involve matters central to our business, including privacy and data protection, rights of publicity, content, intellectual property, advertising, marketing, distribution, data security, data retention and deletion, personal information, electronic contracts and other communications, competition, protection of minors, consumer protection, telecommunications, product liability, taxation, economic or other trade prohibitions or sanctions, securities law compliance, and online payment services. The introduction of new products or expansion of our activities in certain jurisdictions may subject us to additional laws and regulations. In addition, foreign data protection, privacy, and other laws and regulations can be more restrictive than those in the United States. These U.S. federal and state and foreign laws and regulations, which can be enforced by private parties or government entities, are constantly evolving and can be subject to significant change. In addition, the application, interpretation, and enforcement of these laws and regulations are often uncertain, particularly in the new and rapidly evolving industry in which we operate, and may be interpreted and applied inconsistently from country to country and inconsistently with our current policies and practices. For example, the interpretation of some laws and regulations that govern the use of names and likenesses in connection with advertising and marketing activities is unsettled, and developments in this area could affect the manner in which we design our products and offer services. Similarly, any regulatory or legislative action affecting the manner in which we display content to our users could adversely affect user growth and engagement. A number of proposals are pending before federal, state, and foreign legislative and regulatory bodies that could significantly affect our business. For example, the European Commission is currently considering a data protection regulation that may include operational requirements for companies that receive personal data that are different than those currently in place in the European Union, and that may also include significant penalties for non-compliance. Similarly, there are a number of legislative proposals in the United States, at both the federal and state level, that could impose new obligations in areas affecting our business, such as privacy or liability for copyright infringement by third parties. In addition, some countries are considering or have passed legislation requiring local storage and processing of data or similar requirements that could increase the cost and complexity of delivering our services. These existing and proposed laws and regulations can be costly to comply with and can delay or impede the development of new products, result in negative publicity, increase our operating costs, require significant management time and attention, and subject us to inquiries or investigations, claims or other remedies, including fines or demands that we modify or cease existing business practices.
We have been subject to regulatory investigations and settlements and we expect to continue to be subject to such proceedings in the future, which could cause us to incur substantial costs or require us to change our business practices in a manner materially adverse to our business.
From time to time, we receive formal and informal inquiries from government authorities and regulators regarding our compliance with laws and other matters. We expect to continue to be the subject of investigations and audits in the future as we continue to grow and expand our operations. Violation of existing or future regulatory orders or consent decrees could subject us to substantial monetary fines and other penalties that could negatively affect our financial condition and results of operations. In addition, it is possible that future orders issued by, or inquiries or enforcement actions initiated by, government or regulatory authorities could cause us to incur substantial costs, expose us to unanticipated civil and criminal liability or penalties, or require us to change our business practices in a manner materially adverse to our business.

16



If we are unable to protect our intellectual property, the value of our brands and other intangible assets may be diminished, and our business may be adversely affected.
We rely and expect to continue to rely on a combination of confidentiality, assignment, and license agreements with our employees, consultants, and third parties with whom we have relationships, as well as trademark, copyright, patent, trade secret, and domain name protection laws, to protect our proprietary rights. In the United States and internationally, we have filed various applications for protection of certain aspects of our intellectual property, and we currently hold a number of issued patents in multiple jurisdictions and have acquired patents and patent applications from third parties. In addition, in the future we may acquire additional patents or patent portfolios, which could require significant cash expenditures. Third parties may knowingly or unknowingly infringe our proprietary rights, third parties may challenge proprietary rights held by us, and pending and future trademark and patent applications may not be approved. In addition, effective intellectual property protection may not be available in every country in which we operate or intend to operate our business. In any or all of these cases, we may be required to expend significant time and expense in order to prevent infringement or to enforce our rights. Although we have generally taken measures to protect our proprietary rights, there can be no assurance that others will not offer products or concepts that are substantially similar to ours and compete with our business. In addition, we regularly contribute software source code under open source licenses and have made other technology we developed available under other open licenses, and we include open source software in our products. For example, we have contributed certain specifications and designs related to our data center equipment to the Open Compute Project Foundation, a non-profit entity that shares and develops such information with the technology community, under the Open Web Foundation License. As a result of our open source contributions and the use of open source in our products, we may license or be required to license or disclose code and/or innovations that turn out to be material to our business and may also be exposed to increased litigation risk. If the protection of our proprietary rights is inadequate to prevent unauthorized use or appropriation by third parties, the value of our brands and other intangible assets may be diminished and competitors may be able to more effectively mimic our products, services, and methods of operations. Any of these events could have an adverse effect on our business and financial results.
We are currently, and expect to be in the future, party to patent lawsuits and other intellectual property rights claims that are expensive and time consuming, and, if resolved adversely, could have a significant impact on our business, financial condition, or results of operations.
Companies in the Internet, technology, and media industries own large numbers of patents, copyrights, trademarks, and trade secrets, and frequently enter into litigation based on allegations of infringement, misappropriation, or other violations of intellectual property or other rights. In addition, various "non-practicing entities" that own patents and other intellectual property rights often attempt to aggressively assert their rights in order to extract value from technology companies. Furthermore, from time to time we may introduce or acquire new products, including in areas where we historically have not competed, which could increase our exposure to patent and other intellectual property claims from competitors and non-practicing entities.
From time to time, we receive notice letters from patent holders alleging that certain of our products and services infringe their patent rights. We presently are involved in a number of intellectual property lawsuits, and as we face increasing competition and gain an increasingly high profile, we expect the number of patent and other intellectual property claims against us to grow. Defending patent and other intellectual property litigation is costly and can impose a significant burden on management and employees, and there can be no assurances that favorable final outcomes will be obtained in all cases. In addition, plaintiffs may seek, and we may become subject to, preliminary or provisional rulings in the course of any such litigation, including potential preliminary injunctions requiring us to cease some or all of our operations. We may decide to settle such lawsuits and disputes on terms that are unfavorable to us. Similarly, if any litigation to which we are a party is resolved adversely, we may be subject to an unfavorable judgment that may not be reversed upon appeal. The terms of such a settlement or judgment may require us to cease some or all of our operations or pay substantial amounts to the other party. In addition, we may have to seek a license to continue practices found to be in violation of a third party's rights, which may not be available on reasonable terms, or at all, and may significantly increase our operating costs and expenses. As a result, we may also be required to develop alternative non-infringing technology or practices or discontinue the practices. The development of alternative non-infringing technology or practices could require significant effort and expense or may not be feasible. Our business, financial condition, and results of operations could be adversely affected as a result of an unfavorable resolution of the disputes and litigation referred to above.
We are involved in numerous class action lawsuits and other litigation matters that are expensive and time consuming, and, if resolved adversely, could harm our business, financial condition, or results of operations.
In addition to intellectual property claims, we are also involved in numerous other lawsuits, including putative class action lawsuits, many of which claim statutory damages and/or seek significant changes to our business operations, and we anticipate that we will continue to be a target for numerous lawsuits in the future. Because Facebook has over a billion users, the plaintiffs in class action cases filed against us typically claim enormous monetary damages even if the alleged per-user harm is small or non-existent. In addition, following our acquisition of Oculus, we may be subject to additional class action lawsuits based on product performance or other claims related to the use of consumer hardware and software, as well as virtual reality technology and products, which are new

17



and unproven. Any negative outcome from any such lawsuits could result in payments of substantial monetary damages or fines, or undesirable changes to our products or business practices, and accordingly our business, financial condition, or results of operations could be materially and adversely affected. Although the results of such lawsuits and claims cannot be predicted with certainty, we do not believe that the final outcome of those matters relating to our products that we currently face will have a material adverse effect on our business, financial condition, or results of operations. In addition, we are currently the subject of stockholder class action suits in connection with our IPO. We believe these lawsuits are without merit and are vigorously defending these lawsuits.
There can be no assurances that a favorable final outcome will be obtained in all our cases, and defending any lawsuit is costly and can impose a significant burden on management and employees. Any litigation to which we are a party may result in an onerous or unfavorable judgment that may not be reversed upon appeal or in payments of substantial monetary damages or fines, or we may decide to settle lawsuits on similarly unfavorable terms, which could adversely affect our business, financial conditions, or results of operations.
We may incur liability as a result of information retrieved from or transmitted over the Internet or published using our products or as a result of claims related to our products.

We have faced, currently face, and will continue to face claims relating to information that is published or made available on our products. In particular, the nature of our business exposes us to claims related to defamation, intellectual property rights, rights of publicity and privacy, and personal injury torts. This risk is enhanced in certain jurisdictions outside the United States where our protection from liability for third-party actions may be unclear and where we may be less protected under local laws than we are in the United States. We could incur significant costs investigating and defending such claims and, if we are found liable, significant damages. If any of these events occur, our business and financial results could be adversely affected.
Our CEO has control over key decision making as a result of his control of a majority of our voting stock.
Mark Zuckerberg, our founder, Chairman, and CEO, is able to exercise voting rights with respect to a majority of the voting power of our outstanding capital stock and therefore has the ability to control the outcome of matters submitted to our stockholders for approval, including the election of directors and any merger, consolidation, or sale of all or substantially all of our assets. This concentrated control could delay, defer, or prevent a change of control, merger, consolidation, or sale of all or substantially all of our assets that our other stockholders support, or conversely this concentrated control could result in the consummation of such a transaction that our other stockholders do not support. This concentrated control could also discourage a potential investor from acquiring our Class A common stock due to the limited voting power of such stock relative to the Class B common stock and might harm the trading price of our Class A common stock. In addition, Mr. Zuckerberg has the ability to control the management and major strategic investments of our company as a result of his position as our CEO and his ability to control the election or replacement of our directors. In the event of his death, the shares of our capital stock that Mr. Zuckerberg owns will be transferred to the persons or entities that he designates. As a board member and officer, Mr. Zuckerberg owes a fiduciary duty to our stockholders and must act in good faith in a manner he reasonably believes to be in the best interests of our stockholders. As a stockholder, even a controlling stockholder, Mr. Zuckerberg is entitled to vote his shares, and shares over which he has voting control as a result of voting agreements, in his own interests, which may not always be in the interests of our stockholders generally.
We plan to continue to make acquisitions, which could harm our financial condition or results of operations and may adversely affect the price of our common stock.
As part of our business strategy, we have made and intend to continue to make acquisitions to add specialized employees and complementary companies, products, or technologies. We may not be able to find suitable acquisition candidates, and we may not be able to complete acquisitions on favorable terms, if at all. In some cases, the costs of such acquisitions may be substantial. For example, in 2014 we paid approximately $4.6 billion in cash and issued 178 million shares of our Class A common stock in connection with our acquisition of WhatsApp, and we paid approximately $400 million in cash and issued 23 million shares of our Class B common stock in connection with our acquisition of Oculus. We also issued a substantial number of RSUs to help retain the employees of these companies. There is no assurance that we will receive a favorable return on investment for these or other acquisitions.
In the future, we may pay substantial amounts of cash or incur debt to pay for acquisitions, which could adversely affect our liquidity. The incurrence of indebtedness would also result in increased fixed obligations, increased interest expense, and could also include covenants or other restrictions that would impede our ability to manage our operations. We may also issue equity securities to pay for acquisitions and we regularly grant RSUs to retain the employees of acquired companies, which could increase our expenses, adversely affect our financial results, and result in dilution to our stockholders. In addition, any acquisitions we announce could be viewed negatively by users, marketers, developers, or investors, which may adversely affect our business or the price of our common stock.

18



We may also discover liabilities or deficiencies associated with the companies or assets we acquire that were not identified in advance, which may result in significant unanticipated costs. The effectiveness of our due diligence review and our ability to evaluate the results of such due diligence are dependent upon the accuracy and completeness of statements and disclosures made or actions taken by the companies we acquire or their representatives, as well as the limited amount of time in which acquisitions are executed. In addition, we may fail to accurately forecast the financial impact of an acquisition transaction, including tax and accounting charges. Acquisitions may also result in our recording of significant additional expenses to our results of operations and recording of substantial finite-lived intangible assets on our balance sheet upon closing. Any of these factors may adversely affect our financial condition or results of operations.
We may not be able to successfully integrate our acquisitions, and we may incur significant costs to integrate and support the companies we acquire.
The integration of acquisitions requires significant time and resources, and we may not manage these processes successfully. Our ability to successfully integrate complex acquisitions is unproven, particularly with respect to companies that have significant operations or that develop products where we do not have prior experience. For example, Oculus and WhatsApp are larger and more complex than previous companies we have acquired. In particular, Oculus builds technology and products that are new to Facebook, and accordingly we did not have significant experience or structure in place to support this business prior to the acquisition. We plan to make substantial investments of resources to support these acquisitions, which will result in significant ongoing operating expenses and may divert resources and management attention from other areas of our business. We cannot assure you that these investments will be successful. If we fail to successfully integrate the companies we acquire, we may not realize the benefits expected from the transaction and our business may be harmed.
If our goodwill or finite-lived intangible assets become impaired, we may be required to record a significant charge to earnings. 

We review our finite-lived intangible assets for impairment when events or changes in circumstances indicate the carrying value may not be recoverable, such as a decline in stock price and market capitalization. We test goodwill for impairment at least annually. If such goodwill or finite-lived intangible assets are deemed to be impaired, an impairment loss equal to the amount by which the carrying amount exceeds the fair value of the assets would be recognized. We may be required to record a significant charge in our financial statements during the period in which any impairment of our goodwill or finite-lived intangible assets is determined, which would negatively affect our results of operations.

Our business is dependent on our ability to maintain and scale our technical infrastructure, and any significant disruption in our service could damage our reputation, result in a potential loss of users and engagement, and adversely affect our financial results.

Our reputation and ability to attract, retain, and serve our users is dependent upon the reliable performance of our products and our underlying technical infrastructure. Our systems may not be adequately designed with the necessary reliability and redundancy to avoid performance delays or outages that could be harmful to our business. If our products are unavailable when users attempt to access them, or if they do not load as quickly as expected, users may not use our products as often in the future, or at all. As our user base and engagement continue to grow, and the amount and types of information shared on Facebook and our other products continue to grow and evolve, such as increased engagement with video, we will need an increasing amount of technical infrastructure, including network capacity and computing power, to continue to satisfy the needs of our users.It is possible that we may fail to effectively scale and grow our technical infrastructure to accommodate these increased demands. In addition, our business may be subject to interruptions, delays, or failures resulting from earthquakes, adverse weather conditions, other natural disasters, power loss, terrorism, or other catastrophic events. If such an event were to occur, users may be subject to service disruptions or outages and we may not be able to recover our technical infrastructure and user data in a timely manner to restart or provide our services, which may adversely affect our financial results.
A substantial portion of our network infrastructure is provided by third parties. Any disruption or failure in the services we receive from these providers could harm our ability to handle existing or increased traffic and could significantly harm our business. Any financial or other difficulties these providers face may adversely affect our business, and we exercise little control over these providers, which increases our vulnerability to problems with the services they provide.
We could experience unforeseen difficulties in building and operating key portions of our technical infrastructure.
We have designed and built our own data centers and key portions of our technical infrastructure through which we serve our products, and we plan to continue to significantly expand the size of our infrastructure primarily through data centers and other projects. The infrastructure expansion we are undertaking is complex, and unanticipated delays in the completion of these projects or availability of components may lead to increased project costs, operational inefficiencies, or interruptions in the delivery or degradation of the quality of our products. In addition, there may be issues related to this infrastructure that are not identified during the testing phases of design and implementation, which may only become evident after we have started to fully utilize the underlying equipment, that

19



could further degrade the user experience or increase our costs.
Our products and internal systems rely on software that is highly technical, and if it contains undetected errors, our business could be adversely affected.
Our products and internal systems rely on software, including software developed or maintained internally and/or by third parties, that is highly technical and complex. In addition, our products and internal systems depend on the ability of such software to store, retrieve, process, and manage immense amounts of data. The software on which we rely has contained, and may now or in the future contain, undetected errors, bugs, or vulnerabilities. Some errors may only be discovered after the code has been released for external or internal use. Errors or other design defects within the software on which we rely may result in a negative experience for users and marketers who use our products, delay product introductions or enhancements, result in measurement or billing errors, or compromise our ability to protect the data of our users and/or our intellectual property. Any errors, bugs, or defects discovered in the software on which we rely could result in damage to our reputation, loss of users, loss of revenue, or liability for damages, any of which could adversely affect our business and financial results.
Certain of our user metrics are subject to inherent challenges in measurement, and real or perceived inaccuracies in such metrics may harm our reputation and negatively affect our business.
The numbers for our key metrics, which include our DAUs, mobile DAUs, MAUs, mobile MAUs, and average revenue per user (ARPU), as well as certain other metrics such as mobile-only DAUs and mobile-only MAUs, are calculated using internal company data based on the activity of user accounts. While these numbers are based on what we believe to be reasonable estimates of our user base for the applicable period of measurement, there are inherent challenges in measuring usage of our products across large online and mobile populations around the world.
For example, there may be individuals who maintain one or more Facebook accounts in violation of our terms of service. We estimate, for example, that "duplicate" accounts (an account that a user maintains in addition to his or her principal account) may have represented less than 5% of our worldwide MAUs in 2014. We also seek to identify "false" accounts, which we divide into two categories: (1) user-misclassified accounts, where users have created personal profiles for a business, organization, or non-human entity such as a pet (such entities are permitted on Facebook using a Page rather than a personal profile under our terms of service); and (2) undesirable accounts, which represent user profiles that we determine are intended to be used for purposes that violate our terms of service, such as spamming. In 2014, for example, we estimate that such user-misclassified and undesirable accounts may have represented less than 2% our worldwide MAUs. We believe the percentage of accounts that are duplicate or false is meaningfully lower in developed markets such as the United States or United Kingdom and higher in developing markets such as India and Turkey. However, these estimates are based on an internal review of a limited sample of accounts and we apply significant judgment in making this determination, such as identifying names that appear to be fake or other behavior that appears inauthentic to the reviewers. As such, our estimation of duplicate or false accounts may not accurately represent the actual number of such accounts. We are continually seeking to improve our ability to identify duplicate or false accounts and estimate the total number of such accounts, and such estimates may change due to improvements or changes in our methodology.

Our data limitations may affect our understanding of certain details of our business. For example, while user-provided data indicates a decline in usage among younger users, this age data is unreliable because a disproportionate number of our younger users register with an inaccurate age. Accordingly, our understanding of usage by age group may not be complete.
Some of our metrics have also been affected by applications on certain mobile devices that automatically contact our servers for regular updates with no user action involved, and this activity can cause our system to count the user associated with such a device as an active user on the day such contact occurs. The impact of this automatic activity on our metrics varied by geography because mobile usage varies in different regions of the world. In addition, our data regarding the geographic location of our users is estimated based on a number of factors, such as the user's IP address and self-disclosed location. These factors may not always accurately reflect the user's actual location. For example, a mobile-only user may appear to be accessing Facebook from the location of the proxy server that the user connects to rather than from the user's actual location. The methodologies used to measure user metrics may also be susceptible to algorithm or other technical errors. Our estimates for revenue by user location and revenue by user device are also affected by these factors. We regularly review our processes for calculating these metrics, and from time to time we may discover inaccuracies in our metrics or make adjustments to improve their accuracy, including adjustments that may result in the recalculation of our historical metrics. We believe that any such inaccuracies or adjustments are immaterial unless otherwise stated. In addition, our DAU and MAU estimates will differ from estimates published by third parties due to differences in methodology. For example, some third parties are not able to accurately measure mobile users or do not count mobile users for certain user groups or at all in their analyses.
If marketers, developers, or investors do not perceive our user metrics to be accurate representations of our user base, or if we discover material inaccuracies in our user metrics, our reputation may be harmed and marketers and developers may be less willing

20



to allocate their budgets or resources to Facebook, which could negatively affect our business and financial results.
We cannot assure you that we will effectively manage our growth.
Our employee headcount and the scope and complexity of our business have increased significantly, with the number of employees increasing to 9,199 as of December 31, 2014 from 6,337 as of December 31, 2013, and we expect headcount growth to continue for the foreseeable future. The growth and expansion of our business and products create significant challenges for our management, operational, and financial resources, including managing multiple relations with users, marketers, developers, and other third parties. In the event of continued growth of our operations or in the number of our third-party relationships, our information technology systems or our internal controls and procedures may not be adequate to support our operations. In addition, some members of our management do not have significant experience managing a large global business operation, so our management may not be able to manage such growth effectively. To effectively manage our growth, we must continue to improve our operational, financial, and management processes and systems and to effectively expand, train, and manage our employee base. As our organization continues to grow, and we are required to implement more complex organizational management structures, we may find it increasingly difficult to maintain the benefits of our corporate culture, including our ability to quickly develop and launch new and innovative products. This could negatively affect our business performance.
The loss of one or more of our key personnel, or our failure to attract and retain other highly qualified personnel in the future, could harm our business.
We currently depend on the continued services and performance of our key personnel, including Mark Zuckerberg and Sheryl K. Sandberg. Although we have entered into employment agreements with Mr. Zuckerberg and Ms. Sandberg, the agreements have no specific duration and constitute at-will employment. In addition, many of our key technologies and systems are custom-made for our business by our personnel. The loss of key personnel, including members of management as well as key engineering, product development, marketing, and sales personnel, could disrupt our operations and have an adverse effect on our business.
As we continue to grow, we cannot guarantee we will continue to attract the personnel we need to maintain our competitive position. In particular, we intend to continue to hire a significant number of technical personnel in the foreseeable future, and we expect to face significant competition from other companies in hiring such personnel, particularly in the San Francisco Bay Area. As we mature, the incentives to attract, retain, and motivate employees provided by our equity awards or by future arrangements may not be as effective as in the past, and if we issue significant equity to attract additional employees, the ownership of our existing stockholders may be further diluted. Additionally, we have a number of current employees whose equity ownership in our company has provided them a substantial amount of personal wealth, which could affect their decisions about whether or not to continue to work for us. As a result of these factors, it may be difficult for us to continue to retain and motivate our employees. If we do not succeed in attracting, hiring, and integrating excellent personnel, or retaining and motivating existing personnel, we may be unable to grow effectively.
We may not be able to continue to successfully grow usage of and engagement with mobile and web applications that integrate with Facebook.
We have made and are continuing to make investments to enable developers to build, grow, and monetize mobile and web applications that integrate with Facebook. Such existing and prospective developers may not be successful in building, growing, or monetizing mobile and/or web applications that create and maintain user engagement. Additionally, developers may choose to build on other platforms, including mobile platforms controlled by third parties, rather than building products that integrate with Facebook. We are continuously seeking to balance the distribution objectives of our developers with our desire to provide an optimal user experience, and we may not be successful in achieving a balance that continues to attract and retain such developers. For example, from time to time, we have taken actions to reduce the volume of communications from these developers to users on Facebook with the objective of enhancing the user experience, and such actions have reduced distribution from, user engagement with, and our monetization opportunities from, Facebook-integrated mobile and web applications. In some instances, these actions, as well as other actions to enforce our policies applicable to developers, have adversely affected our relationships with such developers. If we are not successful in our efforts to continue to grow the number of developers that choose to build products that integrate with Facebook or if we are unable to continue to build and maintain good relations with such developers, our user growth and user engagement and our financial results may be adversely affected.

21



We generate all of our Payments revenue from developers that use Facebook on personal computers, and we expect that our Payments revenue will decline in the future as usage of Facebook on personal computers continues to decline.
We currently generate all of our Payments revenue from developers that use Facebook on personal computers. Specifically, applications built by developers of social games are currently responsible for substantially all of our revenue derived from Payments, and the majority of the revenue from these applications has historically been generated by a limited number of the most popular games. We have experienced and expect to continue to see the continued decline in usage of Facebook on personal computers for the foreseeable future, which we expect will result in a decline in Payments revenue. In addition, a relatively small percentage of our users have transacted with Facebook Payments. If the Facebook-integrated applications fail to grow or maintain their users and engagement, whether as a result of the continued decline in the usage of Facebook on personal computers or otherwise, if developers do not continue to introduce new applications that attract users and create engagement on Facebook, or if Facebook-integrated applications outside of social games do not gain popularity and generate significant revenue for us, our financial performance could be adversely affected.
Payment transactions on Facebook may subject us to additional regulatory requirements and other risks that could be costly and difficult to comply with or that could harm our business.
Our users can use Facebook to purchase virtual and digital goods from developers that offer applications on the Facebook website using our Payments infrastructure. We are subject to a variety of laws and regulations in the United States, Europe, and elsewhere, including those governing anti-money laundering and counter-terrorist financing, money transmission, gift cards and other prepaid access instruments, and import and export restrictions. Depending on how our Payments product evolves, we may also be subject to other laws and regulations including those governing electronic funds transfers, gambling, banking, and lending. In some jurisdictions, the application or interpretation of these laws and regulations is not clear. To increase flexibility in how our use of Payments may evolve and to mitigate regulatory uncertainty, we have received certain money transmitter licenses in the United States and are applying for certain regulatory licenses in Europe, which will generally require us to demonstrate compliance with many domestic and foreign laws in these areas. Our efforts to comply with these laws and regulations could be costly and result in diversion of management time and effort and may still not guarantee compliance. In the event that we are found to be in violation of any such legal or regulatory requirements, we may be subject to monetary fines or other penalties such as a cease and desist order, or we may be required to make product changes, any of which could have an adverse effect on our business and financial results.
In addition, we may be subject to a variety of additional risks as a result of Payments on Facebook, including:
increased costs and diversion of management time and effort and other resources to deal with bad transactions or customer disputes;
potential fraudulent or otherwise illegal activity by users, developers, employees, or third parties;
restrictions on the investment of consumer funds used to transact Payments; and
additional disclosure and reporting requirements.
We have significant international operations and plan to continue expanding our operations abroad where we have limited operating experience, and this may subject us to increased business and economic risks that could affect our financial results.
We have significant international operations and plan to continue the international expansion of our business operations and the translation of our products. We currently make Facebook available in more than 80 different languages, and we have offices or data centers in more than 25 different countries. We may enter new international markets where we have limited or no experience in marketing, selling, and deploying our products. Our products are generally available globally through the web and on mobile, but some or all of our products or functionality may not be available in certain markets due to legal and regulatory complexities. For example, Facebook is not generally available in China. If we fail to deploy or manage our operations in international markets successfully, our business may suffer. In addition, we are subject to a variety of risks inherent in doing business internationally, including:
political, social, or economic instability;
risks related to the legal and regulatory environment in foreign jurisdictions, including with respect to privacy, tax, law enforcement, content, intellectual property, and terrestrial infrastructure matters;
potential damage to our brand and reputation due to compliance with local laws, including potential censorship or requirements to provide user information to local authorities;
fluctuations in currency exchange rates and compliance with currency controls;

22



foreign exchange controls that might prevent us from repatriating cash earned in countries outside the United States;
higher levels of credit risk and payment fraud;
enhanced difficulties of integrating any foreign acquisitions;
burdens of complying with a variety of foreign laws;
reduced protection for intellectual property rights in some countries;
difficulties in staffing and managing global operations and the increased travel, infrastructure, and legal compliance costs associated with multiple international locations;
compliance with the U.S. Foreign Corrupt Practices Act, the U.K. Bribery Act, and similar laws in other jurisdictions; and
compliance with statutory equity requirements and management of tax consequences.
If we are unable to expand internationally and manage the complexity of our global operations successfully, our financial results could be adversely affected.
We may incur a substantial amount of indebtedness, which could adversely affect our financial condition.
In August 2013, we entered into a five-year senior unsecured revolving credit facility under which we may borrow up to $6.5 billion to fund working capital and general corporate purposes. As of December 31, 2014, no amounts were outstanding under this facility. If we draw down on this facility in the future, our interest expense and principal repayment requirements will increase significantly, which could have an adverse effect on our financial results.
We may require additional capital to support our business growth, and this capital may not be available on acceptable terms, if at all.
We may require additional capital to support our business growth or to respond to business opportunities, challenges or unforeseen circumstances. Our ability to obtain additional capital, if and when required, will depend on our business plans, investor demand, our operating performance, the condition of the capital markets, and other factors. If we raise additional funds through the issuance of equity, equity-linked or debt securities, those securities may have rights, preferences, or privileges senior to the rights of our Class A common stock, and our existing stockholders may experience dilution. If we are unable to obtain additional capital when required, or are unable to obtain additional capital on satisfactory terms, our ability to continue to support our business growth or to respond to business opportunities, challenges, or unforeseen circumstances could be adversely affected, and our business may be harmed.
If we default on our leasing and credit obligations, our operations may be interrupted and our business and financial results could be adversely affected.
We finance a significant portion of our expenditures through leasing arrangements, some of which are not required to be reflected on our balance sheet, and we may enter into additional similar arrangements in the future. In particular, we have used these types of arrangements to finance some of our equipment, offices, and data centers. In addition, we have a $6.5 billion revolving credit facility that we may draw upon to finance our operations or other corporate purposes. If we default on these leasing and credit obligations, our leasing partners and lenders may, among other things:
require repayment of any outstanding lease obligations or amounts drawn on our credit facility;
terminate our leasing arrangements and credit facilities;
terminate our access to the leased data centers and offices we utilize;
stop delivery of ordered equipment;
sell or require us to return our leased equipment; or
require us to pay significant damages.
If some or all of these events were to occur, our operations may be interrupted and our ability to fund our operations or obligations, as well as our business, financial results, and financial condition, could be adversely affected.

23



We may have exposure to greater than anticipated tax liabilities.
Our income tax obligations are based in part on our corporate operating structure and intercompany arrangements, including the manner in which we develop, value, and use our intellectual property and the valuations of our intercompany transactions. The tax laws applicable to our business, including the laws of the United States and other jurisdictions, are subject to interpretation and certain jurisdictions are aggressively interpreting their laws in new ways in an effort to raise additional tax revenue from companies such as Facebook. The taxing authorities of the jurisdictions in which we operate may challenge our methodologies for valuing developed technology or intercompany arrangements, which could increase our worldwide effective tax rate and harm our financial position and results of operations. We are subject to regular review and audit by U.S. federal and state and foreign tax authorities. Tax authorities may disagree with certain positions we have taken and any adverse outcome of such a review or audit could have a negative effect on our financial position and results of operations. In addition, the determination of our worldwide provision for income taxes and other tax liabilities requires significant judgment by management, and there are many transactions where the ultimate tax determination is uncertain. Although we believe that our estimates are reasonable, the ultimate tax outcome may differ from the amounts recorded in our financial statements and may materially affect our financial results in the period or periods for which such determination is made. In addition, our future income taxes could be adversely affected by earnings being lower than anticipated in jurisdictions that have lower statutory tax rates and higher than anticipated in jurisdictions that have higher statutory tax rates, by changes in the valuation of our deferred tax assets and liabilities, or by changes in tax laws, regulations, or accounting principles. For example, we have previously incurred losses in certain international subsidiaries that resulted in an effective tax rate that is significantly higher than the statutory tax rate in the United States and this could continue to happen in the future.
Changes in tax laws or tax rulings could materially affect our financial position and results of operations.
Changes in tax laws or tax rulings could materially affect our financial position and results of operations. For example, the current U.S. administration and key members of Congress have made public statements indicating that tax reform is a priority. Certain changes to U.S. tax laws, including limitations on the ability to defer U.S. taxation on earnings outside of the United States until those earnings are repatriated to the United States, could affect the tax treatment of our foreign earnings. In addition, many countries in the European Union, as well as a number of other countries and organizations such as the Organization for Economic Cooperation and Development, are actively considering changes to existing tax laws. Certain proposals could include recommendations that would significantly increase our tax obligations in many countries where we do business. Due to the large and expanding scale of our international business activities, any changes in the taxation of such activities may increase our worldwide effective tax rate and harm our financial position and results of operations.
Risks Related to Ownership of Our Class A Common Stock
The trading price of our Class A common stock has been and will likely continue to be volatile.
The trading price of our Class A common stock has been, and is likely to continue to be, volatile. Since shares of our Class A common stock were sold in our IPO in May 2012 at a price of $38.00 per share, our stock price has ranged from $17.55 to $82.17 through December 31, 2014. In addition to the factors discussed in this Annual Report on Form 10-K, the trading price of our Class A common stock may fluctuate significantly in response to numerous factors, many of which are beyond our control, including:
actual or anticipated fluctuations in our revenue and other operating results;
the financial projections we may provide to the public, any changes in these projections or our failure to meet these projections;
actions of securities analysts who initiate or maintain coverage of us, changes in financial estimates by any securities analysts who follow our company, or our failure to meet these estimates or the expectations of investors;
additional shares of our Class A common stock being sold into the market by us, our existing stockholders, or in connection with acquisitions, including shares sold by our employees to cover tax liabilities in connection with RSU vesting events, or the anticipation of such sales;
investor sentiment with respect to our competitors, our business partners, and our industry in general;
announcements by us or our competitors of significant products or features, technical innovations, acquisitions, strategic partnerships, joint ventures, or capital commitments;
announcements by us or estimates by third parties of actual or anticipated changes in the size of our user base, the level of user engagement, or the effectiveness of our ad products;
changes in operating performance and stock market valuations of technology companies in our industry, including our

24



developers and competitors;
price and volume fluctuations in the overall stock market, including as a result of trends in the economy as a whole;
the inclusion or deletion of our Class A common stock from any trading indices, such as the S&P 500 Index;
media coverage of our business and financial performance;
lawsuits threatened or filed against us;
developments in anticipated or new legislation and pending lawsuits or regulatory actions, including interim or final rulings by tax, judicial, or regulatory bodies; and
other events or factors, including those resulting from war or incidents of terrorism, or responses to these events.
In addition, the stock markets have experienced extreme price and volume fluctuations that have affected and continue to affect the market prices of equity securities of many technology companies. Stock prices of many technology companies have fluctuated in a manner unrelated or disproportionate to the operating performance of those companies. We are currently subject to securities litigation in connection with our IPO. We may experience more such litigation following future periods of volatility. Any securities litigation could subject us to substantial costs, divert resources and the attention of management from our business, and adversely affect our business.
We do not intend to pay dividends for the foreseeable future.
We have never declared or paid cash dividends on our capital stock. We currently intend to retain any future earnings to finance the operation and expansion of our business, and we do not expect to declare or pay any dividends in the foreseeable future. As a result, you may only receive a return on your investment in our Class A common stock if the trading price of our Class A common stock increases. In addition, our credit facility contains restrictions on our ability to pay dividends.
The dual class structure of our common stock and the voting agreements among certain stockholders have the effect of concentrating voting control with our CEO and certain other holders of our Class B common stock; this will limit or preclude your ability to influence corporate matters.
Our Class B common stock has ten votes per share, and our Class A common stock has one vote per share. Stockholders who hold shares of Class B common stock, including certain of our executive officers, employees, and directors and their affiliates, together hold a substantial majority of the voting power of our outstanding capital stock. Because of the ten-to-one voting ratio between our Class B and Class A common stock, the holders of our Class B common stock collectively control a majority of the combined voting power of our common stock and therefore are able to control all matters submitted to our stockholders for approval so long as the shares of Class B common stock represent at least 9.1% of all outstanding shares of our Class A and Class B common stock. This concentrated control will limit or preclude your ability to influence corporate matters for the foreseeable future.
Transfers by holders of Class B common stock will generally result in those shares converting to Class A common stock, subject to limited exceptions, such as certain transfers effected for estate planning or charitable purposes. The conversion of Class B common stock to Class A common stock will have the effect, over time, of increasing the relative voting power of those holders of Class B common stock who retain their shares in the long term. If, for example, Mr. Zuckerberg retains a significant portion of his holdings of Class B common stock for an extended period of time, he could, in the future, continue to control a majority of the combined voting power of our Class A common stock and Class B common stock.
We have elected to take advantage of the "controlled company" exemption to the corporate governance rules for NASDAQ-listed companies, which could make our Class A common stock less attractive to some investors or otherwise harm our stock price.
Because we qualify as a "controlled company" under the corporate governance rules for NASDAQ-listed companies, we are not required to have a majority of our board of directors be independent, nor are we required to have a compensation committee or an independent nominating function. In light of our status as a controlled company, our board of directors determined not to have an independent nominating function and chose to have the full board of directors be directly responsible for nominating members of our board, and in the future we could elect not to have a majority of our board of directors be independent or not to have a compensation committee. Accordingly, should the interests of our controlling stockholder differ from those of other stockholders, the other stockholders may not have the same protections afforded to stockholders of companies that are subject to all of the corporate governance rules for NASDAQ-listed companies. Our status as a controlled company could make our Class A common stock less attractive to some investors or otherwise harm our stock price.

25



Delaware law and provisions in our restated certificate of incorporation and bylaws could make a merger, tender offer, or proxy contest difficult, thereby depressing the trading price of our Class A common stock.
Our status as a Delaware corporation and the anti-takeover provisions of the Delaware General Corporation Law may discourage, delay, or prevent a change in control by prohibiting us from engaging in a business combination with an interested stockholder for a period of three years after the person becomes an interested stockholder, even if a change of control would be beneficial to our existing stockholders. In addition, our restated certificate of incorporation and bylaws contain provisions that may make the acquisition of our company more difficult, including the following:
until the first date on which the outstanding shares of our Class B common stock represent less than 35% of the combined voting power of our common stock, any transaction that would result in a change in control of our company requires the approval of a majority of our outstanding Class B common stock voting as a separate class;
we have a dual class common stock structure, which provides Mr. Zuckerberg with the ability to control the outcome of matters requiring stockholder approval, even if he owns significantly less than a majority of the shares of our outstanding Class A and Class B common stock;
when the outstanding shares of our Class B common stock represent less than a majority of the combined voting power of common stock, certain amendments to our restated certificate of incorporation or bylaws will require the approval of two-thirds of the combined vote of our then-outstanding shares of Class A and Class B common stock;
when the outstanding shares of our Class B common stock represent less than a majority of the combined voting power of our common stock, vacancies on our board of directors will be able to be filled only by our board of directors and not by stockholders;
when the outstanding shares of our Class B common stock represent less than a majority of the combined voting power of our common stock, our board of directors will be classified into three classes of directors with staggered three-year terms and directors will only be able to be removed from office for cause;
when the outstanding shares of our Class B common stock represent less than a majority of the combined voting power of our common stock, our stockholders will only be able to take action at a meeting of stockholders and not by written consent;
only our chairman, our chief executive officer, our president, or a majority of our board of directors are authorized to call a special meeting of stockholders;
advance notice procedures apply for stockholders to nominate candidates for election as directors or to bring matters before an annual meeting of stockholders;
our restated certificate of incorporation authorizes undesignated preferred stock, the terms of which may be established, and shares of which may be issued, without stockholder approval; and
certain litigation against us can only be brought in Delaware.

26



Item 1B.
Unresolved Staff Comments
None.
Item 2.
Properties 
As of December 31, 2014, we leased office and data center facilities around the world totaling approximately 3 million square feet, including one million square feet for our corporate headquarters in Menlo Park, California. We have data centers in the United States, including data center facilities that we own in Iowa, North Carolina, and Oregon and leased data center facilities in California and Virginia. We also own a data center facility in Lulea, Sweden. We believe that our facilities are adequate for our current needs. To support planned future growth, we are currently making significant investments to expand our corporate headquarters in Menlo Park, California.
Item 3.
Legal Proceedings
Paul D. Ceglia filed suit against us and Mark Zuckerberg on or about June 30, 2010, in the Supreme Court of the State of New York for the County of Allegheny, claiming substantial ownership of our company based on a purported contract between Mr. Ceglia and Mr. Zuckerberg allegedly entered into in April 2003. We removed the case to the U.S. District Court for the Western District of New York, where the case is now pending. In his first amended complaint, filed on April 11, 2011, Mr. Ceglia revised his claims to include an alleged partnership with Mr. Zuckerberg, he revised his claims for relief to seek a substantial share of Mr. Zuckerberg's ownership in us, and he included quotations from supposed emails that he claims to have exchanged with Mr. Zuckerberg in 2003 and 2004. On March 26, 2012, we filed a motion to dismiss Mr. Ceglia's complaint and a motion for judgment on the pleadings. On March 26, 2013, the magistrate judge overseeing the matter issued a report recommending that the court grant our motion to dismiss and that it deny as moot our motion for judgment on the pleadings. On March 25, 2014, the district judge adopted the magistrate judge’s report and recommendation and granted our motion to dismiss and denied our motion for judgment on the pleadings as moot. On April 24, 2014, Mr. Ceglia filed a notice of appeal. The appeal has been fully briefed. We continue to believe that Mr. Ceglia is perpetrating a fraud on the court and we intend to continue to defend the case vigorously.
Beginning on May 22, 2012, multiple putative class actions, derivative actions, and individual actions were filed in state and federal courts in the United States and in other jurisdictions against us, our directors, and/or certain of our officers alleging violation of securities laws or breach of fiduciary duties in connection with our initial public offering (IPO) and seeking unspecified damages. We believe these lawsuits are without merit, and we intend to continue to vigorously defend them. The vast majority of the cases in the United States, along with multiple cases filed against The NASDAQ OMX Group, Inc. and The Nasdaq Stock Market LLC (collectively referred to herein as NASDAQ) alleging technical and other trading-related errors by NASDAQ in connection with our IPO, were ordered centralized for coordinated or consolidated pre-trial proceedings in the U.S. District Court for the Southern District of New York. In a series of rulings in 2013 and 2014, the court denied our motion to dismiss the consolidated securities class action and granted our motions to dismiss the derivative actions against our directors and certain of our officers. The plaintiffs in four of these derivative actions have filed notices of appeal. On December 23, 2014, the plaintiffs in the consolidated securities class action filed their motion for class certification. In addition, the events surrounding our IPO became the subject of various state and federal government inquiries. In May 2014, the Securities and Exchange Commission (SEC) notified us that it had terminated its inquiry and that no enforcement action had been recommended by the SEC.
In addition, we are also currently parties to multiple other lawsuits related to our products, including other patent infringement lawsuits as well as class action lawsuits brought by users and marketers, and we may in the future be subject to additional lawsuits and disputes. We are also involved in other claims, government investigations, and proceedings arising from the ordinary course of our business.
Item 4.
Mine Safety Disclosures
Not applicable.


27



PART II
Item 5.
Market for Registrant's Common Equity, Related Stockholder Matters and Issuer Purchases of Equity Securities.
Market Information for Common Stock
Our Class A common stock has been listed on the NASDAQ Global Select Market under the symbol "FB" since May 18, 2012. Prior to that time, there was no public market for our stock. The following table sets forth for the indicated periods the high and low intra-day sales prices per share for our Class A common stock on the NASDAQ Global Select Market.
 
2014
 
2013
 
High
 
Low
 
High
 
Low
First Quarter
$
72.59

 
$
51.85

 
$
32.51

 
$
24.72

Second Quarter 
$
68.00

 
$
54.66

 
$
29.07

 
$
22.67

Third Quarter
$
79.71

 
$
62.21

 
$
51.60

 
$
24.15

Fourth Quarter
$
82.17

 
$
70.32

 
$
58.58

 
$
43.55

Our Class B common stock is not listed nor traded on any stock exchange.
Holders of Record
As of December 31, 2014, there were 5,182 stockholders of record of our Class A common stock, and the closing price of our Class A common stock was $78.02 per share as reported on the NASDAQ Global Select Market. Because many of our shares of Class A common stock are held by brokers and other institutions on behalf of stockholders, we are unable to estimate the total number of stockholders represented by these record holders. As of December 31, 2014, there were 61 stockholders of record of our Class B common stock.
Dividend Policy
We have never declared or paid any cash dividend on our common stock. We intend to retain any future earnings and do not expect to pay dividends in the foreseeable future. In addition, our credit facility contains restrictions on our ability to pay dividends.
Purchases of Equity Securities by the Issuer and Affiliated Purchasers

None.
Recent Sale of Unregistered Securities and Use of Proceeds
Recent Sale of Unregistered Securities

On October 6, 2014, we issued 177,760,669 shares of our Class A common stock as consideration to 49 individuals and 16 entities in connection with our acquisition of all the outstanding shares of a company. The sales of these securities were exempt from registration under the Securities Act of 1933, as amended (Securities Act) in reliance upon Section 4(a)(2) of the Securities Act.



28



Stock Performance Graph
This performance graph shall not be deemed "soliciting material" or to be "filed" with the SEC for purposes of Section 18 of the Securities Exchange Act of 1934, as amended (Exchange Act), or otherwise subject to the liabilities under that Section, and shall not be deemed to be incorporated by reference into any filing of Facebook, Inc. under the Securities Act or the Exchange Act.
The following graph shows a comparison from May 18, 2012 (the date our Class A common stock commenced trading on the NASDAQ Global Select Market) through December 31, 2014 of the cumulative total return for our Class A common stock, the Standard & Poor's 500 Stock Index (S&P 500 Index) and the Nasdaq Composite Index (NASDAQ Composite). The graph assumes that $100 was invested at the market close on May 18, 2012 in the Class A common stock of Facebook, Inc., the S&P 500 Index and the NASDAQ Composite and data for the S&P 500 Index and the NASDAQ Composite assumes reinvestments of gross dividends. The stock price performance of the following graph is not necessarily indicative of future stock price performance.
Securities Authorized for Issuance under Equity Compensation Plans
The information required by this item with respect to our equity compensation plans is incorporated by reference to our Proxy Statement for the 2015 Annual Meeting of Stockholders to be filed with the Securities and Exchange Commission within 120 days of the fiscal year ended December 31, 2014.


29



Item 6.
Selected Financial Data.
You should read the following selected consolidated financial data in conjunction with Part II, Item 7, "Management's Discussion and Analysis of Financial Condition and Results of Operations," and our consolidated financial statements and the related notes included in Part II, Item 8, "Financial Statements and Supplementary Data" of this Annual Report on Form 10-K.
The consolidated statements of income data for each of the years ended December 31, 2014, 2013, and 2012 and the consolidated balance sheets data as of December 31, 2014 and 2013 are derived from our audited consolidated financial statements included in Part II, Item 8, "Financial Statements and Supplementary Data" of this Annual Report on Form 10-K. The consolidated statements of income data for the years ended December 31, 2011 and 2010 and the consolidated balance sheets data as of December 31, 2012, 2011, and 2010 are derived from our audited consolidated financial statements that are not included in this Annual Report on Form 10-K. Our historical results are not necessarily indicative of our results in any future period.
 
Year Ended December 31,
 
2014
 
2013
 
2012
 
2011
 
2010
 
(in millions, except per share data)
Consolidated Statements of Income Data:
 
 
 
 
 
 
 
 
 
Revenue
$
12,466

 
$
7,872

 
$
5,089

 
$
3,711

 
$
1,974

Total costs and expenses(1)
7,472

 
5,068

 
4,551

 
1,955

 
942

Income from operations
4,994

 
2,804

 
538

 
1,756

 
1,032

Income before provision for income taxes
4,910

 
2,754

 
494

 
1,695

 
1,008

Net income
2,940

 
1,500

 
53

 
1,000

 
606

Net income attributable to Class A and Class B common stockholders
2,925

 
1,491

 
32

 
668

 
372

Earnings per share attributable to Class A and Class B common stockholders (2):
 
 
 
 
 
 
 
 
 
Basic
$
1.12

 
$
0.62

 
$
0.02

 
$
0.52

 
$
0.34

Diluted
$
1.10

 
$
0.60

 
$
0.01

 
$
0.46

 
$
0.28

(1)
Total costs and expenses include $1.84 billion, $906 million, $1.57 billion, $217 million, and $20 million of share-based compensation for the years ended December 31, 2014, 2013, 2012, 2011, and 2010, respectively.
(2)
See Note 3 of the notes to our consolidated financial statements for a description of our computation of basic and diluted earnings per share attributable to Class A and Class B common stockholders. 
 
As of December 31,
 
2014
 
2013
 
2012
 
2011
 
2010
 
(in millions)
Consolidated Balance Sheets Data:
 
 
 
 
 
 
 
 
 
Cash, cash equivalents, and marketable securities
$
11,199

 
$
11,449

 
$
9,626

 
$
3,908

 
$
1,785

Working capital
12,246

 
11,970

 
10,215

 
3,705

 
1,857

Property and equipment, net
3,967

 
2,882

 
2,391

 
1,475

 
574

Total assets
40,184

 
17,895

 
15,103

 
6,331

 
2,990

Capital lease obligations
233

 
476

 
856

 
677

 
223

Long-term debt

 

 
1,500

 

 
250

Total liabilities
4,088

 
2,425

 
3,348

 
1,432

 
828

Additional paid-in capital
30,225

 
12,297

 
10,094

 
2,684

 
947

Total stockholders' equity
36,096

 
15,470

 
11,755

 
4,899

 
2,162


30



 Free Cash Flow
In addition to other financial measures presented in accordance with U.S. generally accepted accounting principles (GAAP), we monitor free cash flow (FCF) as a non-GAAP measure to manage our business, make planning decisions, evaluate our performance, and allocate resources. We define FCF as net cash provided by operating activities reduced by purchases of property and equipment and property and equipment acquired under capital leases.
We believe that FCF is one of the key financial indicators of our business performance over the long term and provides useful information regarding how cash provided by operating activities compares to the property and equipment investments required to maintain and grow our business. We have chosen to subtract both purchases of property and equipment and property and equipment acquired under capital leases in our calculation of FCF because we believe that these two items collectively represent the amount of property and equipment we need to procure to support our business, regardless of whether we finance such property or equipment with a capital lease. The market for financing servers and other technical equipment is dynamic and we expect our use of capital leases could vary significantly from year to year.
We have chosen our definition for FCF because we believe that this methodology can provide useful supplemental information to help investors better understand underlying trends in our business. We use FCF in discussions with our senior management and board of directors.
FCF has limitations as an analytical tool, and you should not consider it in isolation or as a substitute for analysis of other GAAP financial measures, such as net cash provided by operating activities. Some of the limitations of FCF are:
FCF does not reflect our future contractual commitments; and
other companies in our industry present similarly titled measures differently than we do, limiting their usefulness as comparative measures.
Management compensates for the inherent limitations associated with using the FCF measure through disclosure of such limitations, presentation of our financial statements in accordance with GAAP, and reconciliation of FCF to the most directly comparable GAAP measure, net cash provided by operating activities, as presented below.
The following is a reconciliation of FCF to the most comparable GAAP measure, net cash provided by operating activities:
 
Year Ended December 31,
 
2014
 
2013
 
2012
 
2011
 
2010
 
(in millions)
Net cash provided by operating activities (1)
$
5,457

 
$
4,222

 
$
1,612

 
$
1,549

 
$
698

Purchases of property and equipment
(1,831
)
 
(1,362
)
 
(1,235
)
 
(606
)
 
(293
)
Property and equipment acquired under capital leases

 
(11
)
 
(340
)
 
(473
)
 
(217
)
Free cash flow
$
3,626

 
$
2,849

 
$
37

 
$
470

 
$
188

(1)
For the year ended December 31, 2012, net cash provided by operating activities was reduced by $451 million of income tax refundable from income tax loss carrybacks due to the recognition of tax benefits related to share-based compensation from restricted stock units granted prior to January 1, 2011. We received substantially all of this refund in 2013 which increased our net cash provided by operating activities and FCF for the year ended December 31, 2013.


31



Item 7.
Management's Discussion and Analysis of Financial Condition and Results of Operations
You should read the following discussion of our financial condition and results of operations in conjunction with our consolidated financial statements and the related notes included in Part II, Item 8, "Financial Statements and Supplementary Data" of this Annual Report on Form 10-K. In addition to our historical consolidated financial information, the following discussion contains forward-looking statements that reflect our plans, estimates, and beliefs. Our actual results could differ materially from those discussed in the forward-looking statements. Factors that could cause or contribute to these differences include those discussed below and elsewhere in this Annual Report on Form 10-K, particularly in Part I, Item 1A, "Risk Factors." For a discussion of limitations in the measurement of certain of our user metrics, see the section entitled "Limitations of Key Metrics and Other Data" in this Annual Report on Form 10-K.
Overview
We generate substantially all of our revenue from advertising and from fees associated with our Payments infrastructure that enables people who use Facebook to purchase virtual and digital goods from developers. For the year ended December 31, 2014, we recorded revenue of $12.47 billion, income from operations of $4.99 billion, and net income of $2.94 billion.


32



Trends in Our User Metrics
The numbers for our key metrics, our daily active users (DAUs), mobile DAUs, MAUs, mobile MAUs, and average revenue per user (ARPU), and certain other metrics such as mobile-only DAUs and mobile-only MAUs, do not include Instagram or WhatsApp users unless they would otherwise qualify as such users, respectively, based on their other activities on Facebook. In addition, other user engagement metrics do not include Instagram or WhatsApp unless otherwise specifically stated.
Trends in the number of users affect our revenue and financial results by influencing the number of ads we are able to show, the value of our ads to marketers, the volume of Payments transactions, as well as our expenses and capital expenditures.
Daily Active Users (DAUs). We define a daily active user as a registered Facebook user who logged in and visited Facebook through our website or a mobile device, used our Messenger app, or took an action to share content or activity with his or her Facebook friends or connections via a third-party website or application that is integrated with Facebook, on a given day. We view DAUs, and DAUs as a percentage of MAUs, as measures of user engagement.
Note: For purposes of reporting DAUs, MAUs, and ARPU by geographic region, Europe includes all users in Russia and Turkey and Rest of World includes all users in Africa, Latin America, and the Middle East.

33



Worldwide DAUs increased 18% to 890 million on average during December 2014 from 757 million during December 2013. We experienced growth in DAUs across major markets including India, Brazil, and the United States. Overall growth in DAUs was driven by increased mobile usage of Facebook, and the number of DAUs accessing Facebook on personal computers decreased in December 2014 compared to the same period in 2013. We believe that use of Facebook through personal computers will continue to decline in all regions.
Mobile DAUs. We define a mobile DAU as a user who accessed Facebook via a mobile application or via mobile versions of our website such as m.facebook.com, whether on a mobile phone or tablet, or used our Messenger app on a given day.
Worldwide mobile DAUs increased 34% to 745 million on average during December 2014 from 556 million during December 2013. In all regions, an increasing number of our DAUs accessed Facebook through mobile devices on average during December 2014 as compared to the same period during 2013, with users in Brazil, India, and the United States representing key sources of mobile DAU growth on average during December 2014. On average during the month ended December 31, 2014, there were 589 million DAUs who accessed Facebook solely through mobile applications or our mobile website, increasing 49% from 395 million mobile-only DAUs during the same period in 2013. The remaining mobile DAUs accessed Facebook from both mobile devices and personal computers. We anticipate that growth in mobile users will continue to be the driver of our user growth for the foreseeable future.

34



Monthly Active Users (MAUs). We define a monthly active user as a registered Facebook user who logged in and visited Facebook through our website or a mobile device, used our Messenger app, or took an action to share content or activity with his or her Facebook friends or connections via a third-party website or application that is integrated with Facebook, in the last 30 days as of the date of measurement. MAUs are a measure of the size of our global active user community.
As of December 31, 2014, we had 1.39 billion MAUs, an increase of 13% from December 31, 2013. Users in India, Brazil, and Indonesia represented key sources of growth in 2014. Overall growth in MAUs was driven by increased mobile usage of Facebook, and the number of MAUs accessing Facebook on personal computers decreased in December 2014 compared to the same period in 2013. We believe that use of Facebook through personal computers will continue to decline in all regions.
Mobile MAUs. We define a mobile MAU as a user who accessed Facebook via a mobile application or via mobile versions of our website such as m.facebook.com, whether on a mobile phone or tablet, or used our Messenger app during the period of measurement.

35



Worldwide mobile MAUs increased 26% to 1.19 billion as of December 31, 2014 from 945 million as of December 31, 2013. In all regions, an increasing number of our MAUs accessed Facebook through mobile devices in 2014 as compared to the same period in 2013, with users in India, Brazil, and the United States representing key sources of mobile MAU growth in 2014. There were 526 million mobile MAUs who accessed Facebook solely through mobile applications or our mobile website during the month ended December 31, 2014, increasing 78% from 296 million during the same period in 2013. The remaining 663 million mobile MAUs accessed Facebook from both mobile devices and personal computers during December 2014. We anticipate that growth in mobile users will continue to be the driver of our user growth for the foreseeable future.
 


36



Trends in Our Monetization by User Geography
We calculate our revenue by user geography based on our estimate of the geography in which ad impressions are delivered or virtual and digital goods are purchased. We define ARPU as our total revenue in a given geography during a given quarter, divided by the average of the number of MAUs in the geography at the beginning and end of the quarter. The geography of our users affects our revenue and financial results because we currently monetize users in different geographies at different average rates. Our revenue and ARPU in regions such as United States & Canada and Europe are relatively higher due to the size and maturity of those advertising markets as well as our greater sales presence and the number of payment methods that we make available to marketers and users. For example, ARPU for an average user in 2014 in United States & Canada was more than six times higher than for an average user in Asia-Pacific.
        
Note: Our revenue by user geography in the charts above is geographically apportioned based on our estimation of the geographic location of our users when they perform a revenue-generating activity. This allocation differs from our revenue by geography disclosure in our consolidated financial statements where revenue is geographically apportioned based on the location of the marketer or developer.

37



For 2014, worldwide ARPU was $9.45, an increase of 39% from 2013. Over this period, ARPU increased by approximately 53% in United States & Canada, 44% in Europe, 42% in Asia-Pacific, and 27% in Rest of World. User growth was more rapid in geographies with relatively lower ARPU, such as Asia-Pacific and Rest of World. We expect that user growth in the future will be primarily concentrated in those regions where ARPU is relatively lower, such as Asia-Pacific and Rest of World, such that worldwide ARPU may continue to increase at a slower rate relative to ARPU in any geographic region, or potentially decrease even if ARPU increases in each geographic region.
Critical Accounting Policies and Estimates
Our consolidated financial statements are prepared in accordance with U.S. generally accepted accounting principles (GAAP). The preparation of these consolidated financial statements requires us to make estimates and assumptions that affect the reported amounts of assets, liabilities, revenue, costs and expenses, and related disclosures. We evaluate our estimates and assumptions on an ongoing basis. Our estimates are based on historical experience and various other assumptions that we believe to be reasonable under the circumstances. Our actual results could differ from these estimates.
An accounting policy is deemed to be critical if it requires an accounting estimate to be made based on assumptions about matters that are highly uncertain at the time the estimate is made, if different estimates reasonably could have been used, or if changes in the estimate that are reasonably possible could materially impact the financial statements. We believe that the assumptions and estimates associated with revenue recognition for payments and other fees, income taxes, share-based compensation, loss contingencies, and business combinations and valuation of goodwill and other acquired intangible assets have the greatest potential impact on our consolidated financial statements. Therefore, we consider these to be our critical accounting policies and estimates. For further information on all of our significant accounting policies, see Note 1 of our accompanying Notes to Consolidated Financial Statements included in Part II, Item 8, "Financial Statements and Supplementary Data" of this Annual Report on Form 10-K.
Revenue Recognition for Payments and Other Fees
We enable Payments from people to purchase virtual and digital goods from developers. People can make payments on Facebook by using debit and credit cards, PayPal, mobile phone payments, gift cards, or other methods. We receive a fee from developers when a person engages in a payment transaction for the purchase of a virtual or digital good on the Facebook website. The price of the virtual or digital good is a price that is solely determined by the developer. We remit to the developer an amount that is based on the total amount of transaction less the processing fee that we charge the developer for the service performed. Our revenue is the net amount of the transaction representing our processing fee for the transaction. We record revenue on a net basis as we do not consider ourselves to be the principal in the sale of the virtual or digital good to the person. Under GAAP guidance related to reporting revenue gross as a principal versus net as an agent, the indicators used to determine whether an entity is a principal or an agent to a transaction are subject to judgment. We consider ourselves the agent to these transactions when we apply the indicators to our facts. Should material subsequent changes in the substance or nature of the transactions with developers result in us being considered the principal in such sales, we would reflect the virtual and digital goods sale as revenue and the amounts paid to the developers as an associated cost.
Income Taxes
We are subject to income taxes in the United States and numerous foreign jurisdictions. Significant judgment is required in determining our provision for income taxes and income tax assets and liabilities, including evaluating uncertainties in the application of accounting principles and complex tax laws.
We record a provision for income taxes for the anticipated tax consequences of the reported results of operations using the asset and liability method. Under this method, we recognize deferred tax assets and liabilities for the expected future tax consequences of temporary differences between the financial reporting and tax bases of assets and liabilities, as well as for operating loss and tax credit carryforwards. Deferred tax assets and liabilities are measured using the tax rates that are expected to apply to taxable income for the years in which those tax assets and liabilities are expected to be realized or settled. We record a valuation allowance to reduce our deferred tax assets to the net amount that we believe is more likely than not to be realized.
We recognize tax benefits from uncertain tax positions only if we believe that it is more likely than not that the tax position will be sustained on examination by the taxing authorities based on the technical merits of the position. Although we believe that we have adequately reserved for our uncertain tax positions, we can provide no assurance that the final tax outcome of these matters will not be materially different. We make adjustments to these reserves when facts and circumstances change, such as the closing of a tax audit or the refinement of an estimate. To the extent that the final tax outcome of these matters is different than the amounts recorded, such differences will affect the provision for income taxes in the period in which such determination is made and could have a material impact on our financial condition and operating results. The provision for income taxes includes the effects of any reserves that we believe are appropriate, as well as the related net interest and penalties.

38



Share-based Compensation
We account for share-based employee compensation plans under the fair value recognition and measurement provisions in accordance with applicable accounting standards, which require all share-based payments to employees, including grants of stock options and restricted stock units (RSUs), to be measured based on the grant date fair value of the awards, with the resulting expense generally recognized on a straight-line basis over the period during which the employee is required to perform service in exchange for the award. 
Share-based compensation expense is recorded net of estimated forfeitures in our consolidated statements of income and as such is recorded for only those share-based awards that we expect to vest. We estimate the forfeiture rate based on historical forfeitures of equity awards and adjust the rate to reflect changes in facts and circumstances, if any. We will revise our estimated forfeiture rate if actual forfeitures differ from our initial estimates.
We have historically issued unvested restricted shares to employee stockholders of certain acquired companies. As these awards are generally subject to continued post-acquisition employment, we have accounted for them as post-acquisition share-based compensation expense. We recognize compensation expense equal to the grant date fair value of the common stock on a straight-line basis over the period during which the employee is required to perform service in exchange for the award.
Loss Contingencies
We are involved in various lawsuits, claims, investigations, and proceedings that arise in the ordinary course of business. Certain of these matters include speculative claims for substantial or indeterminate amounts of damages. We record a liability when we believe that it is both probable that a loss has been incurred and the amount can be reasonably estimated. Significant judgment is required to determine both probability and the estimated amount. We review these provisions at least quarterly and adjust these provisions accordingly to reflect the impact of negotiations, settlements, rulings, advice of legal counsel, and updated information.
We believe that the amount or estimable range of reasonably possible loss, will not, either individually or in the aggregate, have a material adverse effect on our business, consolidated financial position, results of operations, or cash flows with respect to loss contingencies for legal and other contingencies as of December 31, 2014. However, the outcome of litigation is inherently uncertain. Therefore, if one or more of these legal matters were resolved against us for amounts in excess of management's expectations, our results of operations and financial condition, including in a particular reporting period, could be materially adversely affected.
Business Combinations and Valuation of Goodwill and Other Acquired Intangible Assets
We allocate the fair value of purchase consideration to the tangible assets acquired, liabilities assumed, and intangible assets acquired based on their estimated fair values. The excess of the fair value of purchase consideration over the fair values of these identifiable assets and liabilities is recorded as goodwill. Such valuations require management to make significant estimates and assumptions, especially with respect to intangible assets. Significant estimates in valuing certain intangible assets include, but are not limited to, future expected cash flows from acquired users, acquired technology, and trade names from a market participant perspective, useful lives, and discount rates. Management’s estimates of fair value are based upon assumptions believed to be reasonable, but which are inherently uncertain and unpredictable and, as a result, actual results may differ from estimates. During the measurement period, which is one year from the acquisition date, we may record adjustments to the assets acquired and liabilities assumed, with the corresponding offset to goodwill. Upon the conclusion of the measurement period, any subsequent adjustments are recorded to earnings.
We review goodwill for impairment at least annually or more frequently if events or changes in circumstances indicate that the carrying value of goodwill may not be recoverable. We have elected to first assess the qualitative factors to determine whether it is more likely than not that the fair value of our single reporting unit is less than its carrying amount as a basis for determining whether it is necessary to perform the two-step goodwill impairment under Accounting Standards Update (ASU) No. 2011-08, Goodwill and Other (Topic 350): Testing Goodwill for Impairment, issued by the Financial Accounting Standards Board (FASB). If we determine that it is more likely than not that its fair value is less than its carrying amount, then the two-step goodwill impairment test will be performed. The first step, identifying a potential impairment, compares the fair value of the reporting unit with its carrying amount. If the carrying amount exceeds its fair value, the second step will be performed; otherwise, no further step is required. The second step, measuring the impairment loss, compares the implied fair value of the goodwill with the carrying amount of the goodwill. Any excess of the goodwill carrying amount over the applied fair value is recognized as an impairment loss, and the carrying value of goodwill is written down to fair value. As of December 31, 2014, no impairment of goodwill has been identified.
Acquired finite-lived intangible assets are amortized over their estimated useful lives. We evaluate the recoverability of our intangible assets for possible impairment whenever events or circumstances indicate that the carrying amount of such assets may not be recoverable. Recoverability of these assets is measured by a comparison of the carrying amounts to the future undiscounted cash flows the assets are expected to generate. If such review indicates that the carrying amount of property and equipment and intangible assets is not recoverable, the carrying amount of such assets is reduced to fair value. We have not recorded any such impairment charge during the years presented.

39



In addition to the recoverability assessment, we routinely review the remaining estimated useful lives of our finite-lived intangible assets. If we reduce the estimated useful life assumption for any asset, the remaining unamortized balance would be amortized over the revised estimated useful life.

40



Components of Results of Operations
Revenue
We generate substantially all of our revenue from advertising and from fees associated with our Payments infrastructure that enables people to purchase virtual and digital goods from our developers.
Advertising. Our advertising revenue is generated by displaying ad products on Facebook properties, including our mobile applications, and third-party affiliated websites or mobile applications. Marketers pay for ad products either directly or through their relationships with advertising agencies, based on the number of clicks made by people, the number of actions taken by people, or the number of impressions delivered. We recognize revenue from the delivery of click-based ads in the period in which a person clicks on the content, and action-based ads in the period in which a person takes the action the marketer contracted for. We recognize revenue from the display of impression-based ads in the contracted period in which the impressions are delivered. Impressions are considered delivered when an ad is displayed to people. The number of ads we show is subject to methodological changes as we continue to evolve our ads business and the structure of our ads products. We calculate price per ad as total ad revenue divided by the number of ads delivered, representing the effective price paid per impression by a marketer regardless of their desired objective such as impression, click, or action.
Payments and other fees. We enable Payments from people to purchase virtual and digital goods from our developers. People can transact and make payments on the Facebook website by using debit and credit cards, PayPal, mobile phone payments, gift cards, or other methods. We receive a fee from developers when people make purchases in these applications using our Payments infrastructure. We recognize revenue net of amounts remitted to our developers. We have mandated the use of our Payments infrastructure for game applications on Facebook, and fees related to Payments are generated almost exclusively from games. Our other fees revenue, which has not been significant in recent periods, consists primarily of revenue from our ad serving and measurement products and the delivery of virtual reality platform devices.
Cost of Revenue and Operating Expenses
Cost of revenue. Our cost of revenue consists primarily of expenses associated with the delivery and distribution of our products. These include expenses related to the operation of our data centers such as facility and server equipment depreciation, facility and server equipment rent expense, energy and bandwidth costs, support and maintenance costs, and salaries, benefits, and share-based compensation for employees on our operations teams. Cost of revenue also includes credit card and other transaction fees related to processing customer transactions, amortization of intangible assets, and cost of virtual reality platform device inventory sold.
Research and development. Research and development expenses consist primarily of share-based compensation, salaries and benefits for employees on our engineering and technical teams who are responsible for building new products as well as improving existing products. We expense all of our research and development costs as they are incurred.
Marketing and sales. Our marketing and sales expenses consist primarily of salaries, benefits, and share-based compensation for our employees engaged in sales, sales support, marketing, business development, and customer service functions. Our marketing and sales expenses also include people-, marketer-, and developer-facing marketing and promotional expenditures as well as amortization of intangible assets.
General and administrative. Our general and administrative expenses consist primarily of salaries, benefits, and share-based compensation for our executives as well as our legal, finance, human resources, corporate communications and policy, and other administrative employees. In addition, general and administrative expenses include outside consulting fees, and legal and accounting services. General and administrative expenses also include legal settlements and amortization of intangible assets we have acquired.


41



Results of Operations
The following table sets forth our consolidated statements of income data:
 
Year Ended December 31,
 
2014
 
2013
 
2012
 
(in millions)
Consolidated Statements of Income Data:
 
 
 
 
 
Revenue
$
12,466

 
$
7,872

 
$
5,089

Costs and expenses:
 
 
 
 
 

Cost of revenue
2,153

 
1,875

 
1,364

Research and development
2,666

 
1,415

 
1,399

Marketing and sales
1,680

 
997

 
896

General and administrative
973

 
781

 
892

Total costs and expenses
7,472

 
5,068

 
4,551

Income from operations
4,994

 
2,804

 
538

Interest and other income/(expense), net
(84
)
 
(50
)
 
(44
)
Income before provision for income taxes
4,910

 
2,754

 
494

Provision for income taxes
1,970

 
1,254

 
441

Net income
$
2,940

 
$
1,500

 
$
53

Share-based compensation expense included in costs and expenses:
 
Year Ended December 31, 
 
2014
 
2013
 
2012
 
(in millions)
Cost of revenue
$
62

 
$
42

 
$
88

Research and development
1,328

 
604

 
843

Marketing and sales
249

 
133

 
306

General and administrative
198

 
127

 
335

Total share-based compensation expense
$
1,837

 
$
906

 
$
1,572

 
The following table sets forth our consolidated statements of income data (as a percentage of revenue):
 
Year Ended December 31,
 
2014
 
2013
 
2012
Consolidated Statements of Income Data:
 
 
 
 
 
Revenue
100
 %
 
100
 %
 
100
 %
Costs and expenses:
 
 
 
 
 
Cost of revenue
17

 
24

 
27

Research and development
21

 
18

 
27

Marketing and sales
13

 
13

 
18

General and administrative
8

 
10

 
18

Total costs and expenses
60

 
64

 
89

Income from operations
40

 
36

 
11

Interest and other income/(expense), net
(1
)
 
(1
)
 
(1
)
Income before provision for income taxes
39

 
35

 
10

Provision for income taxes
16

 
16

 
9

Net income
24
 %
 
19
 %
 
1
 %

42



Share-based compensation expense included in costs and expenses (as a percentage of revenue):
 
Year Ended December 31,
 
2014
 
2013
 
2012
Cost of revenue
%
 
1
%
 
2
%
Research and development
11

 
8

 
17

Marketing and sales
2

 
2

 
6

General and administrative
2

 
2

 
7

Total share-based compensation expense
15
%
 
12
%
 
31
%
 
Revenue
 
Year Ended December 31,
 
2014 vs 2013
% Change  
 
2013 vs 2012
% Change  
 
2014
 
2013
 
2012
 
 
 
 
 
(in millions)
 
 
 
 
Advertising
$
11,492

 
$
6,986

 
$
4,279

 
65
%
 
63
%
Payments and other fees
974

 
886

 
810

 
10
%
 
9
%
Total revenue
$
12,466

 
$
7,872

 
$
5,089

 
58
%
 
55
%
 
2014 Compared to 2013. Revenue in 2014 increased $4.59 billion, or 58% compared to 2013. The increase was due primarily to a 65% increase in advertising revenue during 2014 as compared to 2013.
The most important factor driving advertising revenue growth was an increase in revenue from ads in News Feed on both mobile devices and personal computers. News Feed ads are displayed more prominently, have significantly higher levels of engagement and a higher price per ad relative to our other ad placements. In 2014, we estimate that mobile advertising revenue represented approximately 65% of total advertising revenue, as compared with 45% in 2013. Other factors that influenced our advertising revenue growth in 2014 included (i) an increase in the number of marketers actively advertising on Facebook, which we believe increased demand for our ad inventory, (ii) other product changes to increase the value and performance of our ads, and (iii) an increase in user growth and engagement.
In 2014 compared to 2013, the average price per ad increased by 173% and the number of ads delivered decreased by 40%. The increase in average price per ad was driven by a product change related to certain non-News Feed ads during the third quarter of 2014, which decreased the number of ads displayed but increased the prominence of each ad. Average price per ad was also driven by a mix shift towards a greater percentage of our ads being shown in News Feed. The reduction in ads delivered was driven by factors including the product change described above as well as the shift in usage towards mobile devices where people are shown fewer ads as compared to personal computers.
Advertising revenue in the fourth quarter of 2014 increased 53% compared to the same period in 2013. The increase in advertising revenue in the fourth quarter of 2014 was driven by the same factors that drove 2014 annual advertising revenue growth, primarily an increase in revenue from ads in News Feed on both mobile devices and personal computers. For the fourth quarter of 2014, we estimate that mobile advertising revenue represented approximately 69% of total advertising revenue, as compared with 53% in the same period in 2013.
Advertising spending is traditionally seasonally strong in the fourth quarter of each year. We believe that this seasonality in advertising spending affects our quarterly results, which generally reflect significant growth in advertising revenue between the third and fourth quarters and a decline in advertising spending between the fourth and subsequent first quarters. For instance, our advertising revenue increased 22%, 30%, and 22% between the third and fourth quarters of 2014, 2013, and 2012, respectively, while advertising revenue for the first quarter of 2014 and 2013 declined 3% and 6% compared to the fourth quarters of 2013 and 2012, respectively.
Payments and other fees revenue in 2014 increased $88 million, or 10%, compared to 2013. The increase in Payments and other fees revenue is a result of increased revenue from our ad serving and measurement products and the delivery of virtual reality platform devices.
Payments and other fees revenue in the fourth quarter of 2014 was $257 million, as compared to $241 million in the same period of 2013. Payments and other fees revenue is currently based predominantly on Payments revenue from games played on

43



personal computers. We expect Facebook usage on personal computers will continue to decline in the future, which we expect to result in a decline of our Payments revenue.
2013 Compared to 2012. Revenue in 2013 increased $2.78 billion, or 55% compared to 2012. The increase was due primarily to a 63% increase in advertising revenue during 2013 as compared to 2012.
The most important factor driving advertising revenue growth was an increase in revenue from ads in News Feed on both mobile devices and personal computers. News Feed ads are displayed more prominently, have significantly higher levels of engagement and a higher price per ad relative to our other ad placements. In 2013, we estimate that mobile advertising revenue represented approximately 45% of total advertising revenue, as compared with 11% in 2012. Other factors that influenced our advertising revenue growth in 2013 included an increase in the number of marketers actively advertising on Facebook, which we believe increased demand for our ad inventory, and a 22% growth in average DAUs from December 2012 to December 2013.
In 2013 compared to 2012, we increased the number of ads shown by 20% and the average price per ad by 36%. The increase in average price per ad was driven primarily by the increased number of News Feed ads on both mobile devices and personal computers, offset partially by product changes including our decision to lower the market reserve price, i.e. the minimum price threshold accepted in our auction. The increase in the number of ads shown was driven by user growth and the reserve price change, partially offset by a shift towards more usage on mobile devices, where we show fewer ads than on personal computers.
Payments and other fees revenue in 2013 increased $76 million, or 9%, compared to 2012. The increase in Payments and other fees revenue is a result of increased Payments revenue from games played on Facebook on personal computers, and to a lesser extent, the inclusion of other fees revenue in 2013 from user Promoted Posts and our ad serving and measurement products.
In 2013, we generated approximately 46% of our revenue from marketers and developers based in the United States, compared to 51% in 2012. The change is due to a faster growth rate of international users and to the expansion of international sales offices and payment methods. The majority of our revenue outside of the United States came from customers located in Western Europe, Canada, Australia and Brazil.
No customer represented 10% or more of total revenue during the years ended December 31, 2014, 2013, and 2012.
Cost of revenue
 
 
Year Ended December 31,
 
 
 
 
 
2014
 
2013
 
2012
 
2014 vs 2013
% Change  
 
2013 vs 2012
% Change  
 
(dollars in millions)
 
 
 
 
Cost of revenue
$
2,153

 
$
1,875

 
$
1,364

 
15
%
 
37
%
Percentage of revenue
17
%
 
24
%
 
27
%
 
 
 
 
 
2014 Compared to 2013. Cost of revenue in 2014 increased $278 million, or 15%, compared to 2013. The increase was primarily due to operational expenses related to our data center and technical infrastructure and increased amortization of our intangible assets. These increases were partially offset by items related to data center lease abandonment: we reversed $34 million of lease abandonment expense in 2014 due to our decision to re-occupy and utilize a previously exited data center, compared to a recognition of $117 million of lease abandonment expense in 2013.
2013 Compared to 2012. Cost of revenue in 2013 increased $511 million, or 37%, compared to 2012. The increase was primarily due to operational expenses related to expanding our data center and technical infrastructure, including a $275 million increase in depreciation in 2013. In addition, we recognized $117 million of lease abandonment expense in 2013 primarily due to exiting certain leased data centers resulting from the migration of operations to our own data centers. The increase in cost of revenue in 2013 was partially offset by a $46 million decrease in share-based compensation expense compared to 2012.
In 2015, we anticipate that the cost of revenue will increase at a higher rate than it increased in 2014 as we expand our data center capacity and technical infrastructure to support user growth, increased user engagement, and the delivery of new products and services. Additionally, we also expect an increase in amortization of our intangible assets.

44



Research and development
 
Year Ended December 31,
 
 
 
 
 
2014
 
2013
 
2012
 
2014 vs 2013
% Change  
 
2013 vs 2012
% Change  
 
(dollars in millions)
 
 
 
 
Research and development
$
2,666

 
$
1,415

 
$
1,399

 
88
%
 
1
%
Percentage of revenue
21
%
 
18
%
 
27
%
 
 
 
 
 
2014 Compared to 2013. Research and development expenses in 2014 increased $1.25 billion, or 88%, compared to 2013. The increase was primarily due to an increase of $724 million in share-based compensation expense compared to 2013, and an increase in other payroll and benefits expense resulting from a 48% growth in employee headcount from December 31, 2013 to December 31, 2014 in engineering and other technical functions. Share-based compensation expense also increased due to the acquisitions we completed in 2014.
2013 Compared to 2012. Research and development expenses in 2013 increased $16 million, or 1%, compared to 2012. The increase was primarily due to an increase in payroll and benefits expense resulting from a 50% growth in employee headcount from December 31, 2012 to December 31, 2013 in engineering and other technical functions. This increase in 2013 was offset by a $239 million decrease in share-based compensation expense compared to 2012.
In 2015, we plan to continue hiring software engineers and other technical employees to support our research and development initiatives.
Marketing and sales
 
Year Ended December 31,
 
 
 
 
 
2014
 
2013
 
2012
 
2014 vs 2013
% Change  
 
2013 vs 2012
% Change  
 
(dollars in millions)
 
 
 
 
Marketing and sales
$
1,680

 
$
997

 
$
896

 
69
%
 
11
%
Percentage of revenue
13
%
 
13
%
 
18
%
 
 
 
 
 
2014 Compared to 2013. Marketing and sales expenses in 2014 increased $683 million, or 69%, compared to 2013. The increase was primarily due to an increase in payroll and benefits expenses resulting from a 44% increase in employee headcount from December 31, 2013 to December 31, 2014 to support global sales, business development and customer service. Our people-, marketer-, and developer-facing marketing expense also increased $150 million in 2014 compared to 2013. Additionally, share-based compensation expense also increased $116 million compared to 2013.
2013 Compared to 2012. Marketing and sales expenses in 2013 increased $101 million, or 11%, compared to 2012. The increase was primarily due to an increase in payroll and benefits expenses resulting from a 36% increase in employee headcount from December 31, 2012 to December 31, 2013 to support global sales, business development and customer service. Our people-, marketer-, and developer-facing marketing expense also contributed to the increase in 2013. These increases in 2013 were partially offset by a decrease in share-based compensation expense of $173 million compared to 2012.
In 2015, we plan to add sales and business development employees, and increase our investment in marketing to our people, marketers and developers.
General and administrative
 
Year Ended December 31,
 
 
 
 
 
2014
 
2013
 
2012
 
2014 vs 2013
% Change  
 
2013 vs 2012
% Change  
 
(dollars in millions)
 
 
 
 
General and administrative
$
973

 
$
781

 
$
892

 
25
%
 
(12
)%
Percentage of revenue
8
%
 
10
%
 
18
%
 
 
 
 
 

45



2014 Compared to 2013. General and administrative expenses in 2014 increased $192 million, or 25%, compared to 2013. The increase was primarily due to an increase in payroll and benefits expenses resulting from a 55% increase in employee headcount. Share-based compensation expense also increased $71 million compared to 2013. Additionally, professional services expense in 2014 also increased $58 million primarily due to higher consulting and other professional service fees.
2013 Compared to 2012. General and administrative expenses in 2013 decreased $111 million, or 12%, compared to 2012. The decrease was primarily due to a $208 million decrease in share-based compensation expense in 2013 compared to 2012. The decrease in 2013 was partially offset by increased payroll and benefits expense resulting from a 19% increase in employee headcount and increased amortization of acquired patents.
In 2015, we plan to increase general and administrative employee headcount to support overall company growth.
Interest and other income/(expense), net
 
Year Ended December 31,
 
 
 
 
 
2014
 
2013
 
2012
 
2014 vs 2013
% Change  
 
2013 vs 2012
% Change  
 
(in millions)
 
 
 
 
Interest income/(expense), net
$
4

 
$
(37
)
 
$
(37
)
 
111
 %
 
 %
Other income/(expense), net
(88
)
 
(13
)
 
(7
)
 
(577
)%
 
(86
)%
Interest and other income/(expense), net
$
(84
)
 
$
(50
)
 
$
(44
)
 
(68
)%
 
(14
)%
 
2014 Compared to 2013. Interest and other income/(expense), net in 2014 decreased $34 million, or 68%, compared to 2013. Other income/(expense), net decreased primarily due to $87 million in foreign exchange losses resulting from the periodic re-measurement of our foreign currency balances. The decrease in other income/(expense), net was partially offset by a decrease in interest expense due to the repayment of our long-term debt in August 2013 and lower capital lease payments.
2013 Compared to 2012. Interest and other income/(expense), net in 2013 decreased $6 million, or 14%, compared to 2012. Other income/(expense), net decreased primarily due to foreign exchange losses resulting from the periodic re-measurement of our foreign currency balances. In addition, interest expense increased by $5 million primarily due to interest on the $1.5 billion term loan that was drawn down in the fourth quarter of 2012 and fully repaid in August 2013, offset by an increase in interest income resulting from higher invested cash balances.
Provision for income taxes
 
Year Ended December 31,
 
 
 
 
 
2014
 
2013
 
2012
 
2014 vs 2013
% Change  
 
2013 vs 2012
% Change  
 
(dollars in millions)
 
 
 
 
Provision for income taxes
$
1,970

 
$
1,254

 
$
441

 
57
%
 
184
%
Effective tax rate
40
%
 
46
%
 
89
%
 
 
 
 
 
2014 Compared to 2013. Our provision for income taxes in 2014 increased $716 million, or 57%, compared to 2013, primarily due to an increase in income before provision for income taxes. Our effective tax rate differs from the statutory rate due to non-deductible share-based compensation, operations in jurisdictions with tax rates lower than the U.S., and tax research credits. Our effective tax rate decreased primarily due to a change in our geographic mix of pre-tax income.
2013 Compared to 2012. Our provision for income taxes in 2013 increased $813 million, or 184%, compared to 2012, primarily due to an increase in income before provision for income taxes. Our effective tax rate decreased primarily due to a lower amount of non-deductible share-based compensation. Our effective tax rate in 2013 was also lower due to the reinstatement in 2013 of the federal tax credit for research and development activities. We recognized the benefit from the reinstatement of the tax credit for 2012 and 2013 during the year ended December 31, 2013.

46



 Quarterly Results of Operations Data
The following tables set forth our unaudited quarterly consolidated statements of income data in dollars and as a percentage of total revenue for each of the eight quarters in the period ended December 31, 2014. We have prepared the quarterly consolidated statements of income data on a basis consistent with the audited consolidated financial statements included in Part II, Item 8, "Financial Statements and Supplementary Data" in this Annual Report on Form 10-K. In the opinion of management, the financial information reflects all adjustments, consisting only of normal recurring adjustments, which we consider necessary for a fair presentation of this data. This information should be read in conjunction with the audited consolidated financial statements and related notes included in Part II, Item 8, "Financial Statements and Supplementary Data" in this Annual Report on Form 10-K. The results of historical periods are not necessarily indicative of the results of operations for any future period.
 
Three Months Ended 
 
Dec 31,
2014
 
Sep 30,
2014
 
Jun 30,
2014
 
Mar 31,
2014
 
Dec 31,
2013
 
Sep 30,
2013
 
Jun 30,
2013
 
Mar 31,
2013
 
(in millions)
Consolidated Statements of Income Data:
 
 
 
 
 
 
 
 
 
 
 
 
 
 
 
Revenue:
 
 
 
 
 
 
 
 
 
 
 
 
 
 
 
Advertising
$
3,594

 
$
2,957

 
$
2,676

 
$
2,265

 
$
2,344

 
$
1,798

 
$
1,599

 
$
1,245

Payments and other fees
257

 
246

 
234

 
237

 
241

 
218

 
214

 
213

Total revenue
3,851

 
3,203

 
2,910

 
2,502

 
2,585

 
2,016

 
1,813

 
1,458

Costs and expenses:
 
 
 
 
 
 
 
 
 
 
 
 
 
 
 
Cost of revenue
653

 
565

 
473

 
462

 
491

 
507

 
465

 
413

Research and development
1,111

 
608

 
492

 
455

 
408

 
369

 
344

 
293

Marketing and sales
624

 
374

 
358

 
323

 
292

 
233

 
269

 
203

General and administrative
330

 
259

 
197

 
187

 
261

 
171

 
173

 
176

Total costs and expenses (1)
2,718

 
1,806

 
1,520

 
1,427

 
1,452

 
1,280

 
1,251

 
1,085

Income from operations
1,133

 
1,397

 
1,390

 
1,075

 
1,133

 
736

 
562

 
373

Interest and other income/(expense), net
(19
)
 
(61
)
 
(4
)
 

 
(3
)
 
(10
)
 
(17
)
 
(20
)
Income before provision for income taxes
1,114

 
1,336

 
1,386

 
1,075

 
1,130

 
726

 
545

 
353

Provision for income taxes
413

 
530

 
595

 
433

 
607

 
301

 
212

 
134

Net income
$
701

 
$
806

 
$
791

 
$
642

 
$
523

 
$
425

 
$
333

 
$
219

Less: Net income attributable to participating securities
5

 
4

 
3

 
3

 
3

 
3

 
2

 
2

Net income attributable to Class A and Class B common stockholders
$
696

 
$
802

 
$
788

 
$
639

 
$
520

 
$
422

 
$
331

 
$
217

Earnings per share attributable to Class A and Class B common stockholders:
 
 
 
 
 
 
 
 
 
 
 
 
 
 
 
Basic
$
0.25

 
$
0.31

 
$
0.31

 
$
0.25

 
$
0.21

 
$
0.17

 
$
0.14

 
$
0.09

Diluted
$
0.25

 
$
0.30

 
$
0.30

 
$
0.25

 
$
0.20

 
$
0.17

 
$
0.13

 
$
0.09









47



Share-based compensation expense included in costs and expenses: 
 
Three Months Ended 
 
Dec 31,
2014
 
Sep 30,
2014
 
Jun 30,
2014
 
Mar 31,
2014
 
Dec 31,
2013
 
Sep 30,
2013
 
Jun 30,
2013
 
Mar 31,
2013
 
(in millions)
Cost of revenue
$
18

 
$
16

 
$
16

 
$
12

 
$
11

 
$
12

 
$
11

 
$
8

Research and development
685

 
243

 
219

 
181

 
172

 
164

 
151

 
117

Marketing and sales
103

 
53

 
50

 
43

 
42

 
34

 
33

 
24

General and administrative
90

 
41

 
29

 
38

 
48

 
29

 
29

 
21

Total share-based compensation expense
$
896

 
$
353

 
$
314

 
$
274

 
$
273

 
$
239

 
$
224

 
$
170

_________________________ 
(1) Total costs and expenses increased in the fourth quarter of 2014 compared to the third quarter of 2014, primarily due to increases in share-based compensation expense and amortization of intangible assets related to our acquisitions.
 
Three Months Ended 
 
Dec 31,
2014
 
Sep 30,
2014
 
Jun 30,
2014
 
Mar 31,
2014
 
Dec 31,
2013
 
Sep 30,
2013
 
Jun 30,
2013
 
Mar 31,
2013
 
(as a percentage of total revenue)
Consolidated Statements of Income Data:
 
 
 
 
 
 
 
 
 
 
 
 
 
 
 
Revenue:
 
 
 
 
 
 
 
 
 
 
 
 
 
 
 
Advertising
93
%
 
92
 %
 
92
%
 
91
%
 
91
%
 
89
%
 
88
 %
 
85
 %
Payments and other fees
7

 
8

 
8

 
9

 
9

 
11

 
12

 
15

Total revenue
100
%
 
100
 %
 
100
%
 
100
%
 
100
%
 
100
%
 
100
 %
 
100
 %
Costs and expenses:
 
 
 
 
 
 
 
 
 
 
 
 
 
 
 
Cost of revenue
17

 
18

 
16

 
18

 
19

 
25

 
26

 
28

Research and development
29

 
19

 
17

 
18

 
16

 
18

 
19

 
20

Marketing and sales
16

 
12

 
12

 
13

 
11

 
12

 
15

 
14

General and administrative
9

 
8

 
7

 
7

 
10

 
8

 
10

 
12

Total costs and expenses
71

 
56

 
52

 
57

 
56

 
63

 
69

 
74

Income from operations
29

 
44

 
48

 
43

 
44

 
37

 
31

 
26

Interest and other income/(expense), net

 
(2
)
 

 

 

 

 
(1
)
 
(1
)
Income before provision for income taxes
29

 
42

 
48

 
43

 
44

 
36

 
30

 
24

Provision for income taxes
11

 
17

 
20

 
17

 
23

 
15

 
12

 
9

Net income
18
%
 
25
 %
 
27
%
 
26
%
 
20
%
 
21
%
 
18
 %
 
15
 %
Less: Net income attributable to participating securities

 

 

 

 

 

 

 

Net income attributable to Class A and Class B common stockholders
18
%
 
25
 %
 
27
%
 
26
%
 
20
%
 
21
%
 
18
 %
 
15
 %

48



Share-based compensation expense included in costs and expenses:
 
 
Three Months Ended 
 
Dec 31,
2014
 
Sep 30,
2014
 
Jun 30,
2014
 
Mar 31,
2014
 
Dec 31,
2013
 
Sep 30,
2013
 
Jun 30,
2013
 
Mar 31,
2013
 
(as a percentage of total revenue)
Cost of revenue
%
 
%
 
1
%
 
%
 
%
 
1
%
 
1
%
 
1
%
Research and development
18

 
8

 
8

 
7

 
7

 
8

 
8

 
8

Marketing and sales
3

 
2

 
2

 
2

 
2

 
2

 
2

 
2

General and administrative
2

 
1

 
1

 
2

 
2

 
1

 
2

 
1

Total share-based compensation expense
23
%
 
11
%
 
11
%
 
11
%
 
11
%
 
12
%
 
12
%
 
12
%

Liquidity and Capital Resources
 
Year Ended December 31,
 
2014
 
2013
 
2012
 
(in millions)
Consolidated Statements of Cash Flows Data:
 
 
 
 
 
Net cash provided by operating activities
$
5,457

 
$
4,222

 
$
1,612

Net cash used in investing activities
(5,913
)
 
(2,624
)
 
(7,024
)
Net cash provided by (used in) financing activities
1,571

 
(667
)
 
6,283

Purchases of property and equipment
(1,831
)
 
(1,362
)
 
(1,235
)
Depreciation and amortization
1,243

 
1,011

 
649

Share-based compensation
1,786

 
906

 
1,572

Our principal sources of liquidity are our cash and cash equivalents, marketable securities, and cash generated from operations. Cash and cash equivalents and marketable securities consist primarily of cash on deposit with banks, investments in money market funds, and investments in U.S. government securities, U.S. government agency securities, and corporate debt securities. Cash and cash equivalents and marketable securities were $11.20 billion as of December 31, 2014, a decrease of $250 million from December 31, 2013, primarily due to $4.98 billion for acquisitions of businesses and $2.50 billion for other cash outflows mainly related to purchases of property and equipment. These decreases were partially offset by $5.46 billion of cash generated from operations and $1.87 billion in excess tax benefit from share-based award activity.
In October 2014, the tax withholdings related to the WhatsApp vested merger consideration were funded by net share settlement. The amount remitted to the tax authorities for the employees' tax obligation to the tax authorities was reflected as a financing activity within our consolidated statements of cash flows.
In January 2014, we began requiring that employees sell a portion of the shares that they receive upon the vesting of RSUs in order to cover any required withholding taxes ("sell-to-cover"), rather than our previous approach of net share settlement. This sell-to-cover approach reduces our cash outflows compared to the net share settlement approach.
In August 2013, we entered into a five-year senior unsecured revolving credit facility (2013 Revolving Credit Facility) that allows us to borrow up to $6.5 billion to fund working capital and general corporate purposes with interest payable on the borrowed amounts set at LIBOR plus 1.0%, as well as an annual commitment fee of 0.10% on the daily undrawn balance of the facility. We paid origination fees at closing of the 2013 Revolving Credit Facility, which fees are being amortized over the term of the facility. Any amounts outstanding under this facility will be due and payable on August 15, 2018. As of December 31, 2014, no amounts had been drawn down and we were in compliance with the covenants under this credit facility.
As of December 31, 2014, $1.57 billion of the $11.20 billion in cash and cash equivalents and marketable securities was held by our foreign subsidiaries. Substantially all of these funds are in jurisdictions for which we are indefinitely reinvesting the earnings of the local subsidiary. These subsidiaries have historically incurred losses; as such, repatriating the funds will likely incur no residual tax liability. We have provided residual taxes in jurisdictions where we do not intend to indefinitely reinvest the earnings of the local subsidiary, however the amount of taxes provided has been insignificant.

49



We currently anticipate that our available funds, credit facilities, and cash flow from operations will be sufficient to meet our operational cash needs for the foreseeable future.
Cash Provided by Operating Activities
Cash flow from operating activities during 2014 primarily consisted of net income, adjusted for certain non-cash items, including share-based compensation expense of $1.79 billion and total depreciation and amortization of $1.24 billion. The cash flow from operating activities during 2014 compared to 2013 increased mainly due to an increase in net income of $1.44 billion, as adjusted for certain non-cash items described above, partially offset by a decrease in income tax refunds of $415 million.
Cash flow from operating activities during 2013 primarily consisted of net income, adjusted for certain non-cash items, including depreciation and amortization of $1.01 billion and share-based compensation expense of $906 million, and an increase in other liabilities related to uncertain tax positions. The cash flow from operating activities during 2013 compared to 2012 increased mainly due to an increase in net income of $1.45 billion and uncertain tax position of $786 million. In addition, we received income tax refunds of $421 million in 2013.
Cash flow from operating activities during 2012 primarily consisted of adjustments to net income for certain non-cash items such as share-based compensation expense of $1.57 billion and depreciation and amortization of $649 million, partially offset by income tax refundable of $451 million. The cash flow from operating activities during 2012 compared to 2011 increased modestly as the increases in adjustments for non-cash items as described above were offset by a reduction in net income of $947 million and an increase in income tax refundable.
Cash Used in Investing Activities
Cash used in investing activities during 2014 primarily resulted from $4.98 billion for the acquisition of businesses and $1.83 billion for capital expenditures related to network infrastructure and the construction of data centers and office buildings, partially offset by $1.24 billion for the net sales and maturities of marketable securities. The increase in cash used in investing activities during 2014 compared to 2013 was mainly due to increases in acquisitions of businesses and capital expenditures, partially offset by net sales of marketable securities.
Cash used in investing activities during 2013 primarily resulted from $1.36 billion for capital expenditures related to the purchase of servers, network infrastructure, and the construction of data centers, as well as $882 million for the net purchase of marketable securities and $368 million for the acquisition of businesses and other assets, such as patents. The decrease in cash used in investing activities during 2013 compared to 2012 was mainly due to decreases in the purchase of marketable securities and the acquisition of businesses and other assets.
Cash used in investing activities during 2012 primarily resulted from $4.87 billion for the net purchase of marketable securities, $1.24 billion for capital expenditures related to the purchase of servers, network infrastructure, and the construction of data centers, as well as $911 million for the acquisition of businesses and other assets, such as patents. The increase in cash used in investing activities during 2012 compared to 2011 was mainly due to increases in the purchase of marketable securities, the acquisition of businesses and other assets, and capital expenditures.
We anticipate making capital expenditures in 2015 of approximately $2.8 billion to $3.2 billion.
Cash Provided by (Used in) Financing Activities
Cash provided by financing activities during 2014 was $1.57 billion, which primarily resulted from $1.87 billion of excess tax benefit from share-based award activity, partially offset by $243 million of payments related to our capital lease transactions, and $73 million of tax payments related to net share settlement resulting mainly from the vested merger consideration of an acquisition.
Cash used in financing activities during 2013 was $667 million, which primarily resulted from $1.50 billion for repayment of debt and $889 million of tax payments related to the net share settlement, partially offset by $1.48 billion in net proceeds from the completion of our follow-on equity offering in December 2013.
Cash provided by financing activities during 2012 was $6.28 billion, which primarily resulted from $6.76 billion in net proceeds from the completion of our initial public offering, $1.50 billion draw down from our unsecured term loan facility and $1.03 billion of excess tax benefits from share-based award activity, partially offset by $2.86 billion of taxes paid related to the net share settlement.
Off-Balance Sheet Arrangements
We did not have any off-balance sheet arrangements as of December 31, 2014.

50



Contractual Obligations
Our principal commitments consist of obligations under operating and capital leases for equipment, office, and data center facilities. The following table summarizes our commitments to settle contractual obligations in cash as of December 31, 2014.
 
 
 
Payment Due by Period 
 
Total
 
Less than
1 Year
 
1-3
Years
 
3-5
Years 
 
More than
5 Years 
Operating lease obligations
$
1,101

 
$
155

 
$
319

 
$
268

 
$
359

Capital lease obligations
303

 
124

 
35

 
32

 
112

Other contractual commitments(1)
1,031

 
644

 
84

 
64

 
239

Total contractual obligations
$
2,435

 
$
923

 
$
438

 
$
364

 
$
710

_____________________
(1)
Other contractual commitments primarily relate to network infrastructure for our data center operations and, to a lesser extent, construction commitments related to our data center sites.
In addition, our other liabilities include $1.19 billion related to uncertain tax positions as of December 31, 2014. Due to uncertainties in the timing of the completion of tax audits, the timing of the resolution of these positions is uncertain and we are unable to make a reasonably reliable estimate of the timing of payments in individual years beyond 12 months. As a result, this amount is not included in the above contractual obligations table.
Contingencies
We are involved in claims, lawsuits, government investigations, and proceedings. We record a provision for a liability when we believe that it is both probable that a liability has been incurred, and the amount can be reasonably estimated. Significant judgment is required to determine both probability and the estimated amount. Such legal proceedings are inherently unpredictable and subject to significant uncertainties, some of which are beyond our control. Should any of these estimates and assumptions change or prove to be incorrect, it could have a material impact on our results of operations, financial position, and cash flows.
See Note 10 in the accompanying notes to our consolidated financial statements included in Part II, Item 8, "Financial Statements and Supplementary Data" and Part I, Item 3, "Legal Proceedings" of this Annual Report on Form 10-K for additional information regarding contingencies.
Recently Issued and Adopted Accounting Pronouncement 
In May 2014, the Financial Accounting Standards Board issued guidance related to revenue from contracts with customers. Under this guidance, revenue is recognized when promised goods or services are transferred to customers in an amount that reflects the consideration that is expected to be received for those goods or services. The updated standard will replace most existing revenue recognition guidance under GAAP when it becomes effective and permits the use of either the retrospective or cumulative effect transition method. Early adoption is not permitted. The updated standard will be effective for us in the first quarter of 2017. We have not yet selected a transition method and we are currently evaluating the effect that the updated standard will have on our consolidated financial statements and related disclosures.


51



Item 7A.
Quantitative and Qualitative Disclosures About Market Risk
We are exposed to market risks, including changes to foreign currency exchange rates, interest rates, and inflation.
Foreign Currency Exchange Risk
We have foreign currency risks related to our revenue and operating expenses denominated in currencies other than the U.S. dollar, primarily the Euro. In general, we are a net receiver of currencies other than the U.S. dollar. Accordingly, changes in exchange rates, and in particular a strengthening of the U.S. dollar, will negatively affect our revenue and other operating results as expressed in U.S. dollars.
We have experienced and will continue to experience fluctuations in our net income as a result of transaction gains or losses related to revaluing certain current asset and current liability balances that are denominated in currencies other than the functional currency of the entities in which they are recorded. At this time we have not entered into, but in the future we may enter into, derivatives or other financial instruments in an attempt to hedge our foreign currency exchange risk. It is difficult to predict the effect hedging activities would have on our results of operations. We recognized foreign currency losses of $87 million, $14 million, and $9 million in 2014, 2013, and 2012, respectively.
Interest Rate Sensitivity
Our exposure to changes in interest rates relates primarily to interest earned and market value on our cash and cash equivalents and marketable securities.
Our cash and cash equivalents and marketable securities consist of cash, certificates of deposit, time deposits, money market funds, U.S. government securities, U.S. government agency securities, and corporate debt securities. Our investment policy and strategy are focused on preservation of capital and supporting our liquidity requirements. Changes in U.S. interest rates affect the interest earned on our cash and cash equivalents and marketable securities and the market value of those securities. A hypothetical 100 basis point increase in interest rates would result in a decrease of approximately $63 million and $73 million in the market value of our available-for-sale debt securities as of December 31, 2014 and December 31, 2013, respectively. Any realized gains or losses resulting from such interest rate changes would only occur if we sold the investments prior to maturity.


52



Item 8.
Financial Statements and Supplementary Data

FACEBOOK, INC.
 
INDEX TO CONSOLIDATED FINANCIAL STATEMENTS

 
The supplementary financial information required by this Item 8, is included in Part II, Item 7 under the caption "Quarterly Results of Operations Data," which is incorporated herein by reference.




Report of Independent Registered Public Accounting Firm
The Board of Directors and Stockholders of Facebook, Inc.
We have audited the accompanying consolidated balance sheets of Facebook, Inc. as of December 31, 2014 and 2013, and the related consolidated statements of income, comprehensive income, stockholders' equity and cash flows for each of the three years in the period ended December 31, 2014. These financial statements are the responsibility of the Company's management. Our responsibility is to express an opinion on these financial statements based on our audits.
We conducted our audits in accordance with the standards of the Public Company Accounting Oversight Board (United States). Those standards require that we plan and perform the audit to obtain reasonable assurance about whether the financial statements are free of material misstatement. An audit includes examining, on a test basis, evidence supporting the amounts and disclosures in the financial statements. An audit also includes assessing the accounting principles used and significant estimates made by management, as well as evaluating the overall financial statement presentation. We believe that our audits provide a reasonable basis for our opinion.
In our opinion, the financial statements referred to above present fairly, in all material respects, the consolidated financial position of Facebook, Inc. at December 31, 2014 and 2013, and the consolidated results of its operations and its cash flows for each of the three years in the period ended December 31, 2014, in conformity with U.S. generally accepted accounting principles.
We also have audited, in accordance with the standards of the Public Company Accounting Oversight Board (United States), Facebook, Inc.'s internal control over financial reporting as of December 31, 2014, based on criteria established in Internal Control – Integrated Framework issued by the Committee of Sponsoring Organizations of the Treadway Commission (2013 framework) and our report dated January 29, 2015 expressed an unqualified opinion thereon.
 
/s/ Ernst & Young LLP
 San Francisco, California
January 29, 2015

54




Report of Independent Registered Public Accounting Firm
The Board of Directors and Stockholders of Facebook, Inc.

We have audited Facebook, Inc.’s internal control over financial reporting as of December 31, 2014, based on criteria established in Internal Control – Integrated Framework issued by the Committee of Sponsoring Organizations of the Treadway Commission (2013 framework) (“the COSO criteria”). Facebook, Inc.’s management is responsible for maintaining effective internal control over financial reporting, and for its assessment of the effectiveness of internal control over financial reporting included in the accompanying Management’s Annual Report on Internal Control Over Financial Reporting. Our responsibility is to express an opinion on the Company’s internal control over financial reporting based on our audit.

We conducted our audit in accordance with the standards of the Public Company Accounting Oversight Board (United States). Those standards require that we plan and perform the audit to obtain reasonable assurance about whether effective internal control over financial reporting was maintained in all material respects. Our audit included obtaining an understanding of internal control over financial reporting, assessing the risk that a material weakness exists, testing and evaluating the design and operating effectiveness of internal control based on the assessed risk, and performing such other procedures as we considered necessary in the circumstances. We believe that our audit provides a reasonable basis for our opinion.

A company’s internal control over financial reporting is a process designed to provide reasonable assurance regarding the reliability of financial reporting and the preparation of financial statements for external purposes in accordance with generally accepted accounting principles. A company’s internal control over financial reporting includes those policies and procedures that (1) pertain to the maintenance of records that, in reasonable detail, accurately and fairly reflect the transactions and dispositions of the assets of the company; (2) provide reasonable assurance that transactions are recorded as necessary to permit preparation of financial statements in accordance with generally accepted accounting principles, and that receipts and expenditures of the company are being made only in accordance with authorizations of management and directors of the company; and (3) provide reasonable assurance regarding prevention or timely detection of unauthorized acquisition, use, or disposition of the company’s assets that could have a material effect on the financial statements.

Because of its inherent limitations, internal control over financial reporting may not prevent or detect misstatements. Also, projections of any evaluation of effectiveness to future periods are subject to the risk that controls may become inadequate because of changes in conditions, or that the degree of compliance with the policies or procedures may deteriorate.

In our opinion, Facebook, Inc. maintained, in all material respects, effective internal control over financial reporting as of December 31, 2014, based on the COSO criteria.

We also have audited, in accordance with the standards of the Public Company Accounting Oversight Board (United States), the 2014 consolidated financial statements of Facebook, Inc. and our report dated January 29, 2015 expressed an unqualified opinion thereon.

/s/ Ernst & Young LLP
 San Francisco, California
January 29, 2015


55



FACEBOOK, INC.
CONSOLIDATED BALANCE SHEETS
(In millions, except for number of shares and par value)
 
December 31,
 
2014
 
2013
Assets
 
 
 
Current assets:
 
 
 
Cash and cash equivalents
$
4,315

 
$
3,323

Marketable securities
6,884

 
8,126

Accounts receivable, net of allowances for doubtful accounts of $39 and $38 as of December 31, 2014 and December 31, 2013, respectively
1,678

 
1,109

Prepaid expenses and other current assets
793

 
512

Total current assets
13,670

 
13,070

Property and equipment, net
3,967

 
2,882

Intangible assets, net
3,929

 
883

Goodwill
17,981

 
839

Other assets
637

 
221

Total assets
$
40,184

 
$
17,895

 
 
 
 
Liabilities and stockholders' equity
 

 
 

Current liabilities:
 

 
 

Accounts payable
$
176

 
$
87

Partners payable
202

 
181

Accrued expenses and other current liabilities
866

 
555

Deferred revenue and deposits
66

 
38

Current portion of capital lease obligations
114

 
239

Total current liabilities
1,424

 
1,100

Capital lease obligations, less current portion
119

 
237

Other liabilities
2,545

 
1,088

Total liabilities
4,088

 
2,425

Commitments and contingencies


 


Stockholders' equity:
 

 
 

Common stock, $0.000006 par value; 5,000 million Class A shares authorized, 2,234 million and 1,970 million shares issued and outstanding, including 13 million and 6 million outstanding shares subject to repurchase, as of December 31, 2014 and December 31, 2013, respectively; 4,141 million Class B shares authorized, 563 million and 577 million shares issued and outstanding, including 6 million outstanding shares subject to repurchase, as of December 31, 2014 and December 31, 2013, respectively

 

Additional paid-in capital
30,225

 
12,297

Accumulated other comprehensive (loss) income
(228
)
 
14

Retained earnings
6,099

 
3,159

Total stockholders' equity
36,096

 
15,470

Total liabilities and stockholders' equity
$
40,184

 
$
17,895

See Accompanying Notes to Consolidated Financial Statements.

56



FACEBOOK, INC.
CONSOLIDATED STATEMENTS OF INCOME
(In millions, except per share amounts)
 
 
Year Ended December 31, 
 
2014
 
2013
 
2012
Revenue
$
12,466

 
$
7,872

 
$
5,089

Costs and expenses:
 
 
 

 
 

Cost of revenue
2,153

 
1,875

 
1,364

Research and development
2,666

 
1,415

 
1,399

Marketing and sales
1,680

 
997

 
896

General and administrative
973

 
781

 
892

Total costs and expenses
7,472

 
5,068

 
4,551

Income from operations
4,994

 
2,804

 
538

Interest and other income/(expense), net
(84
)
 
(50
)
 
(44
)
Income before provision for income taxes
4,910

 
2,754

 
494

Provision for income taxes
1,970

 
1,254

 
441

Net income
$
2,940

 
$
1,500

 
$
53

Less: Net income attributable to participating securities
15

 
9

 
21

Net income attributable to Class A and Class B common stockholders
$
2,925

 
$
1,491

 
$
32

Earnings per share attributable to Class A and Class B common stockholders:
 

 
 

 
 

Basic
$
1.12

 
$
0.62

 
$
0.02

Diluted
$
1.10

 
$
0.60

 
$
0.01

Weighted average shares used to compute earnings per share attributable to Class A and Class B common stockholders:
 
 
 
 
 
Basic
2,614

 
2,420

 
2,006

Diluted
2,664

 
2,517

 
2,166

Share-based compensation expense included in costs and expenses:
 

 
 

 
 

Cost of revenue
$
62

 
$
42

 
$
88

Research and development
1,328

 
604

 
843

Marketing and sales
249

 
133

 
306

General and administrative
198

 
127

 
335

Total share-based compensation expense
$
1,837

 
$
906

 
$
1,572

 See Accompanying Notes to Consolidated Financial Statements.

57



FACEBOOK, INC.
CONSOLIDATED STATEMENTS OF COMPREHENSIVE INCOME
(In millions)
 
 
Year Ended December 31, 
 
2014
 
2013
 
2012
Net income
$
2,940

 
$
1,500

 
$
53

Other comprehensive income (loss):
 
 
 
 
 
Change in foreign currency translation adjustment
(239
)
 
11

 
9

Change in unrealized gain/loss on available-for-sale investments, net of tax
(3
)
 
(1
)
 
1

Change in unrealized gain/loss on derivative, net of tax

 
2

 
(2
)
Comprehensive income
$
2,698

 
$
1,512

 
$
61

See Accompanying Notes to Consolidated Financial Statements.

58



FACEBOOK, INC.
CONSOLIDATED STATEMENTS OF STOCKHOLDERS' EQUITY
(In millions)
 
Convertible
Preferred Stock
 
Class A and
Class B
Common Stock  
 
Additional
Paid-In
Capital
 
Accumulated
Other
Comprehensive
(Loss) Income
 
Retained
Earnings
 
Total
Stockholders'
Equity
 
Shares
 
Amount 
 
Shares
 
Par Value 
 
Balances at December 31, 2011
543

 
$
615

 
1,330

 
$

 
$
2,684

 
$
(6
)
 
$
1,606

 
$
4,899

Issuance of common stock, net of issuance costs

 

 
180

 

 
6,760

 

 

 
6,760

Issuance of common stock for cash upon exercise of stock options

 

 
135

 

 
17

 

 

 
17

Issuance of common stock to nonemployees for past services

 

 

 

 
1

 

 

 
1

Issuance of common stock related to acquisitions

 

 
26

 

 
274

 

 

 
274

Issuance of common stock for settlement of restricted stock units (RSUs)

 

 
279

 

 

 

 

 

Shares withheld related to net share settlement

 

 
(123
)
 

 
(2,862
)
 

 

 
(2,862
)
Conversion of Series A, B, C, D & E preferred stock to common stock
(543
)
 
(615
)
 
545

 

 
615

 

 

 

Share-based compensation, related to employee share-based awards

 

 

 

 
1,572

 

 

 
1,572

Tax benefit from share-based award activity

 

 

 

 
1,033

 

 

 
1,033

Other comprehensive income

 

 

 

 

 
8

 

 
8

Net income

 

 

 

 

 

 
53

 
53

Balances at December 31, 2012

 

 
2,372

 

 
10,094

 
2

 
1,659

 
11,755

Issuance of common stock, net of issuance costs

 

 
27

 

 
1,478

 

 

 
1,478

Issuance of common stock for cash upon exercise of stock options

 

 
101

 

 
26

 

 

 
26

Issuance of common stock to nonemployees for past services

 

 

 

 
3

 

 

 
3

Issuance of common stock related to acquisitions

 

 
9

 

 
77

 

 

 
77

Issuance of common stock for settlement of RSUs

 

 
65

 

 

 

 

 

Shares withheld related to net share settlement

 

 
(27
)
 

 
(889
)
 

 

 
(889
)
Share-based compensation, related to employee share-based awards

 

 

 

 
906

 

 

 
906

Tax benefit from share-based award activity

 

 

 

 
602

 

 

 
602

Other comprehensive income

 

 

 

 

 
12

 

 
12

Net income

 

 

 

 

 

 
1,500

 
1,500

Balances at December 31, 2013

 

 
2,547

 

 
12,297

 
14

 
3,159

 
15,470

Issuance of common stock for cash upon exercise of stock options

 

 
9

 

 
18

 

 

 
18

Issuance of common stock related to acquisitions

 

 
201

 

 
14,344

 

 

 
14,344

Issuance of common stock for settlement of RSUs

 

 
41

 

 

 

 

 

Shares withheld related to net share settlement

 

 
(1
)
 

 
(73
)
 

 

 
(73
)
Share-based compensation, related to employee share-based awards

 

 

 

 
1,786

 

 

 
1,786

Tax benefit from share-based award activity

 

 

 

 
1,853

 

 

 
1,853

Other comprehensive loss

 

 

 

 

 
(242
)
 

 
(242
)
Net income

 

 

 

 

 

 
2,940

 
2,940

Balances at December 31, 2014

 
$

 
2,797

 
$

 
$
30,225

 
$
(228
)
 
$
6,099

 
$
36,096


See Accompanying Notes to Consolidated Financial Statements.

59



FACEBOOK, INC.
CONSOLIDATED STATEMENTS OF CASH FLOWS
(In millions)
 
Year Ended December 31, 
 
2014
 
2013
 
2012
Cash flows from operating activities
 
 
 
 
 
Net income
$
2,940

 
$
1,500

 
$
53

Adjustments to reconcile net income to net cash provided by operating activities:
 
 
 
 
 
Depreciation and amortization
1,243

 
1,011

 
649

Lease abandonment
(31
)
 
117

 
8

Share-based compensation
1,786

 
906

 
1,572

Deferred income taxes
(210
)
 
(37
)
 
(186
)
Tax benefit from share-based award activity
1,853

 
602

 
1,033

Excess tax benefit from share-based award activity
(1,869
)
 
(609
)
 
(1,033
)
Other
7

 
56

 
15

Changes in assets and liabilities:
 
 
 
 
 
Accounts receivable
(610
)
 
(378
)
 
(170
)
Prepaid expenses and other current assets
(123
)
 
355

 
(465
)
Other assets
(216
)
 
(142
)
 
2

Accounts payable
31

 
26

 
1

Partners payable
(28
)
 
12

 
(2
)
Accrued expenses and other current liabilities
328

 
(38
)
 
152

Deferred revenue and deposits
10

 
8

 
(60
)
Other liabilities
346

 
833

 
43

Net cash provided by operating activities
5,457

 
4,222


1,612

Cash flows from investing activities
 
 
 
 
 
Purchases of property and equipment
(1,831
)
 
(1,362
)
 
(1,235
)
Purchases of marketable securities
(9,104
)
 
(7,433
)
 
(10,307
)
Sales of marketable securities
8,438

 
2,988

 
2,100

Maturities of marketable securities
1,909

 
3,563

 
3,333

Acquisitions of businesses, net of cash acquired, and purchases of intangible assets
(4,975
)
 
(368
)
 
(911
)
Change in restricted cash and deposits
(348
)
 
(11
)
 
(2
)
Other investing activities, net
(2
)
 
(1
)
 
(2
)
Net cash used in investing activities
(5,913
)
 
(2,624
)
 
(7,024
)
Cash flows from financing activities
 
 
 
 
 
Net proceeds from issuance of common stock

 
1,478

 
6,760

Taxes paid related to net share settlement
(73
)
 
(889
)
 
(2,862
)
Proceeds from exercise of stock options
18

 
26

 
17

Proceeds from long-term debt, net of issuance cost

 

 
1,496

Repayment of long-term debt

 
(1,500
)
 

Proceeds from sale and lease-back transactions

 

 
205

Principal payments on capital lease obligations
(243
)
 
(391
)
 
(366
)
Excess tax benefit from share-based award activity
1,869

 
609

 
1,033

Net cash provided by (used in) financing activities
1,571

 
(667
)
 
6,283

Effect of exchange rate changes on cash and cash equivalents
(123
)
 
8

 
1

Net increase in cash and cash equivalents
992

 
939

 
872

Cash and cash equivalents at beginning of period
3,323

 
2,384

 
1,512

Cash and cash equivalents at end of period
$
4,315

 
$
3,323

 
$
2,384

See Accompanying Notes to Consolidated Financial Statements.





60



FACEBOOK, INC.
CONSOLIDATED STATEMENTS OF CASH FLOWS
(In millions)
 
Year Ended December 31, 
 
2014
 
2013
 
2012
Supplemental cash flow data
 
 
 
 
 
Cash paid during the period for:
 
 
 
 
 
Interest
$
14

 
$
38

 
$
38

Income taxes
$
184

 
$
82

 
$
184

Cash received during the period for:
 
 
 
 
 
Income taxes
$
6

 
$
421

 
$
131

Non-cash investing and financing activities:
 
 
 
 
 
Net change in accounts payable and accrued expenses and other current liabilities related to property and equipment additions
$
91

 
$
53

 
$
(40
)
Property and equipment acquired under capital leases
$

 
$
11

 
$
340

Fair value of shares issued related to acquisitions of businesses
$
14,344

 
$
77

 
$
274


See Accompanying Notes to Consolidated Financial Statements.


61



FACEBOOK, INC.
NOTES TO CONSOLIDATED FINANCIAL STATEMENTS
 
Note 1.
Summary of Significant Accounting Policies
Organization and Description of Business
Facebook was incorporated in Delaware in July 2004. Our mission is to give people the power to share and make the world more open and connected. We build products that support our mission by creating value for people, marketers, and developers. We generate substantially all of our revenue from advertising and from fees associated with our Payments infrastructure that enables users to purchase virtual and digital goods from developers.
Basis of Presentation
We prepared the consolidated financial statements in accordance with U.S. generally accepted accounting principles (GAAP). The consolidated financial statements include the accounts of Facebook, Inc. and its wholly owned subsidiaries. All intercompany balances and transactions have been eliminated.
Use of Estimates
Conformity with GAAP requires the use of estimates and judgments that affect the reported amounts in the consolidated financial statements and accompanying notes. These estimates form the basis for judgments we make about the carrying values of our assets and liabilities, which are not readily apparent from other sources. We base our estimates and judgments on historical information and on various other assumptions that we believe are reasonable under the circumstances. GAAP requires us to make estimates and judgments in several areas, including, but not limited to, those related to revenue recognition, collectability of accounts receivable, contingent liabilities, fair value of financial instruments, fair value of acquired intangible assets and goodwill, useful lives of intangible assets and property and equipment, and income taxes. These estimates are based on management's knowledge about current events and expectations about actions we may undertake in the future. Actual results could differ materially from those estimates.
Revenue Recognition
We generate substantially all of our revenue from advertising and payment processing fees. We recognize revenue once all of the following criteria have been met:
persuasive evidence of an arrangement exists;
delivery of our obligations to our customer has occurred;
the price is fixed or determinable; and
collectability of the related receivable is reasonably assured.
Revenue for the years ended December 31, 2014, 2013, and 2012 consists of the following (in millions):
 
Year Ended December 31,
 
2014
 
2013
 
2012
Advertising
$
11,492

 
$
6,986

 
$
4,279

Payments and other fees
974

 
886

 
810

Total revenue
$
12,466

 
$
7,872

 
$
5,089

 
Advertising
Advertising revenue is generated by displaying ad products on the Facebook properties, including our mobile applications, and third-party affiliated websites or mobile applications. The arrangements are evidenced by either online acceptance of terms and conditions or contracts that stipulate the types of advertising to be delivered, the timing and the pricing. Marketers pay for ad products either directly or through their relationships with advertising agencies, based on the number of clicks made by our users, the number of actions taken by our users, or the number of impressions delivered. The typical term of an advertising arrangement is approximately 30 days with billing generally occurring after the delivery of the advertisement.
We recognize revenue from the delivery of click-based ads in the period in which a user clicks on the content, and action-based ads in the period in which a user takes the action the marketer contracted for. We recognize revenue from the display of impression-

62



based ads in the contracted period in which the impressions are delivered. Impressions are considered delivered when an ad is displayed to users.
Payments and Other Fees
We enable Payments from people to purchase virtual and digital goods from our developers. People can transact and make payments on the Facebook website by using debit cards and credit cards, PayPal, mobile phone payments, gift cards, or other methods.
When a person engages in a payment transaction for the purchase of a virtual or digital good from a developer, we remit to the developer an amount that is based on the total amount of the transaction less the processing fee that we charge the developer. The price of the purchase is an amount that is solely determined by the developer. Our revenue is the net amount of the transaction, representing our processing fee for the service performed. We record revenue on a net basis as we do not consider ourselves to be the principal in the sale of the virtual or digital good to the person. Additionally, we record all Payments revenue at the time of the purchase of the related virtual goods, net of estimated refunds or chargebacks
Other fees, which includes our ad serving and measurement products and the delivery of virtual reality platform devices, were not material in all periods presented in our financial statements.
Revenue is recognized net of applicable sales and other taxes.
Cost of Revenue
Our cost of revenue consists primarily of expenses associated with the delivery and distribution of our products. These include expenses related to the operation of our data centers such as facility and server equipment depreciation, facility and server equipment rent expense, energy and bandwidth costs, support and maintenance costs, and salaries, benefits, and share-based compensation for employees on our operations teams. Cost of revenue also includes credit card and other transaction fees related to processing customer transactions, amortization of intangible assets, and cost of virtual reality platform device inventory sold.
Share-based Compensation
We account for share-based employee compensation plans under the fair value recognition and measurement provisions of GAAP. Those provisions require all share-based payments to employees, including grants of stock options and restricted stock units (RSUs), to be measured based on the grant date fair value of the awards, with the resulting expense generally recognized on a straight-line basis in our consolidated statements of income over the period during which the employee is required to perform service in exchange for the award. The majority of our awards are earned over a service period of four to five years.
Share-based compensation expense is recorded net of estimated forfeitures in our consolidated statements of income and as such, only those share-based awards that we expect to vest are recorded. We estimate the forfeiture rate based on historical forfeitures of equity awards and adjust the rate to reflect changes in facts and circumstances, if any. We will revise our estimated forfeiture rate if actual forfeitures differ from our initial estimates. 
We have historically issued unvested restricted shares to employee stockholders of certain acquired companies. As these awards are generally subject to continued post-acquisition employment, we have accounted for them as post-acquisition share-based compensation expense. We recognize compensation expense equal to the grant date fair value of the common stock on a straight-line basis over the period during which the employee is required to perform service in exchange for the award.
During the years ended December 31, 2014, 2013, and 2012, we realized tax benefits from share-based award activity of $1.85 billion, $602 million, and $1.03 billion, respectively. These amounts reflect the extent that the total reduction to our income tax liability from share-based award activity was greater than the amount of the deferred tax assets that we had previously recorded in anticipation of these benefits. These amounts are the aggregate of the individual transactions in which the reduction to our income tax liability was greater than the deferred tax assets that we recorded, reduced by any individual transactions in which the reduction to our income tax liability was less than the deferred tax assets that were recorded. These net amounts were recorded as an adjustment to stockholders' equity in each period, as an increase to cash flows from operating activities, and were not recognized in our consolidated statements of income.
In addition, we reported excess tax benefits that decreased our cash flows from operating activities and increased our cash flows from financing activities for the years ended December 31, 2014, 2013, and 2012, by $1.87 billion, $609 million, and $1.03 billion, respectively. The amounts of these excess tax benefits reflect the total of the individual transactions in which the reduction to our income tax liability was greater than the deferred tax assets that were recorded, but were not reduced by any of the individual transactions in which the reduction to our income tax liability was less than the deferred tax assets that were recorded.

63



Income Taxes
We recognize income taxes under the asset and liability method. We recognize deferred income tax assets and liabilities for the expected future consequences of temporary differences between the financial reporting and tax bases of assets and liabilities. These differences are measured using the enacted statutory tax rates that are expected to apply to taxable income for the years in which differences are expected to reverse. We recognize the effect on deferred income taxes of a change in tax rates in income in the period that includes the enactment date.
We record a valuation allowance to reduce our deferred tax assets to the net amount that we believe is more likely than not to be realized. We consider all available evidence, both positive and negative, including historical levels of income, expectations and risks associated with estimates of future taxable income and ongoing tax planning strategies in assessing the need for a valuation allowance.
We recognize tax benefits from uncertain tax positions only if we believe that it is more likely than not that the tax position will be sustained on examination by the taxing authorities based on the technical merits of the position. We make adjustments to these reserves when facts and circumstances change, such as the closing of a tax audit or the refinement of an estimate. The provision for income taxes includes the effects of any reserves that are considered appropriate, as well as the related net interest and penalties.
Advertising Expense
Advertising costs are expensed when incurred and are included in marketing and sales expenses in the accompanying consolidated statements of income. We incurred advertising expenses of $135 million, $117 million, and $67 million for the years ended December 31, 2014, 2013, and 2012, respectively.
Cash and Cash Equivalents, and Marketable Securities
Cash and cash equivalents primarily consist of cash on deposit with banks and investments in money market funds with maturities of 90 days or less from the date of purchase.
We hold investments in marketable securities, consisting of U.S. government securities, U.S. government agency securities, and corporate debt securities. We classify our marketable securities as available-for-sale investments in our current assets because they represent investments of cash available for current operations. Our available-for-sale investments are carried at estimated fair value with any unrealized gains and losses, net of taxes, included in accumulated other comprehensive (loss) income in stockholders' equity. Unrealized losses are charged against interest and other income/(expense), net when a decline in fair value is determined to be other-than-temporary. We have not recorded any such impairment charge in the periods presented. We determine realized gains or losses on sale of marketable securities on a specific identification method, and record such gains or losses as interest and other income/(expense), net.
We classify certain restricted cash balances within prepaid expenses and other current assets and other assets on the accompanying consolidated balance sheets based upon the term of the remaining restrictions.
Fair Value of Financial Instruments
We apply fair value accounting for all financial assets and liabilities and non-financial assets and liabilities that are recognized or disclosed at fair value in the financial statements on a recurring basis. We define fair value as the price that would be received from selling an asset or paid to transfer a liability in an orderly transaction between market participants at the measurement date. When determining the fair value measurements for assets and liabilities, which are required to be recorded at fair value, we consider the principal or most advantageous market in which we would transact and the market-based risk measurements or assumptions that market participants would use in pricing the asset or liability, such as risks inherent in valuation techniques, transfer restrictions and credit risk. Fair value is estimated by applying the following hierarchy, which prioritizes the inputs used to measure fair value into three levels and bases the categorization within the hierarchy upon the lowest level of input that is available and significant to the fair value measurement:
Level 1-Quoted prices in active markets for identical assets or liabilities.
Level 2-Observable inputs other than quoted prices in active markets for identical assets and liabilities, quoted prices for identical or similar assets or liabilities in inactive markets, or other inputs that are observable or can be corroborated by observable market data for substantially the full term of the assets or liabilities.
Level 3-Inputs that are generally unobservable and typically reflect management's estimate of assumptions that market participants would use in pricing the asset or liability.
Our valuation techniques used to measure the fair value of money market funds and marketable debt securities were derived from quoted market prices or alternative pricing sources and models utilizing market observable inputs. Our valuation technique used to measure the fair value of our contingent consideration liability was based on the present value of probability-weighted future cash flows related to the contingent earn-out criteria and the fair value of our common stock on each reporting date.

64



Accounts Receivable and Allowance for Doubtful Accounts
Accounts receivable are recorded and carried at the original invoiced amount less an allowance for any potential uncollectible amounts. We make estimates for the allowance for doubtful accounts based upon our assessment of various factors, including historical experience, the age of the accounts receivable balances, credit quality of our customers, current economic conditions, and other factors that may affect customers' ability to pay.
Property and Equipment
Property and equipment, which includes amounts recorded under capital leases, are stated at cost less accumulated depreciation. Depreciation is computed using the straight-line method over the estimated useful lives of the assets or the remaining lease term, in the case of a capital lease, whichever is shorter.
The estimated useful lives of property and equipment are described below:
Property and Equipment 
 
Useful Life 
Network equipment
 
Three to five years
Buildings
 
Four to 20 years
Computer software, office equipment and other
 
Three to five years
Leased equipment and leasehold improvements
 
Lesser of estimated useful life or remaining lease term
 
Land and assets held within construction in progress are not depreciated. Construction in progress is related to the construction or development of property and equipment that have not yet been placed in service for their intended use.
The cost of maintenance and repairs is expensed as incurred. When assets are retired or otherwise disposed of, the cost and related accumulated depreciation are removed from their respective accounts, and any gain or loss on such sale or disposal is reflected in income from operations.
Lease Obligations
We lease office space, data centers, and equipment under non-cancelable capital and operating leases with various expiration dates through 2030. Certain of the operating lease agreements contain rent holidays, rent escalation provisions, and purchase options. Rent holidays and rent escalation provisions are considered in determining the straight-line rent expense to be recorded over the lease term. The lease term begins on the date of initial possession of the leased property for purposes of recognizing lease expense on a straight-line basis over the term of the lease. We do not assume renewals in our determination of the lease term unless the renewals are deemed to be reasonably assured at lease inception.
Loss Contingencies 
We are involved in various lawsuits, claims, investigations, and proceedings that arise in the ordinary course of business. We record a liability when we believe that it is both probable that a loss has been incurred and the amount can be reasonably estimated. Significant judgment is required to determine both probability and the estimated amount. We review these provisions at least quarterly and adjust these provisions accordingly to reflect the impact of negotiations, settlements, rulings, advice of legal counsel, and updated information.
Business Combinations
We allocate the fair value of purchase consideration to the tangible assets acquired, liabilities assumed and intangible assets acquired based on their estimated fair values. The excess of the fair value of purchase consideration over the fair values of these identifiable assets and liabilities is recorded as goodwill. Such valuations require management to make significant estimates and assumptions, especially with respect to intangible assets. Significant estimates in valuing certain intangible assets include, but are not limited to, future expected cash flows from acquired users, acquired technology, and trade names from a market participant perspective, useful lives and discount rates. Management’s estimates of fair value are based upon assumptions believed to be reasonable, but which are inherently uncertain and unpredictable and, as a result, actual results may differ from estimates. During the measurement period, which is one year from the acquisition date, we may record adjustments to the assets acquired and liabilities assumed, with the corresponding offset to goodwill. Upon the conclusion of the measurement period, any subsequent adjustments are recorded to earnings.
Long-Lived Assets, Including Goodwill and Other Acquired Intangible Assets
We evaluate the recoverability of property and equipment and finite-lived intangible assets for possible impairment whenever events or circumstances indicate that the carrying amount of such assets may not be recoverable. Recoverability of these assets is measured by a comparison of the carrying amounts to the future undiscounted cash flows the assets are expected to generate. If such review indicates

65



that the carrying amount of property and equipment and intangible assets is not recoverable, the carrying amount of such assets is reduced to fair value. We have not recorded any significant impairment charge during the years presented.
We review goodwill for impairment at least annually or more frequently if events or changes in circumstances indicate that the carrying value of goodwill may not be recoverable. We have elected to first assess the qualitative factors to determine whether it is more likely than not that the fair value of our single reporting unit is less than its carrying amount as a basis for determining whether it is necessary to perform the two-step goodwill impairment under Accounting Standards Update (ASU) No. 2011-08, Goodwill and Other (Topic 350): Testing Goodwill for Impairment, issued by the Financial Accounting Standards Board (FASB). If we determine that it is more likely than not that its fair value is less than its carrying amount, then the two-step goodwill impairment test is performed. The first step, identifying a potential impairment, compares the fair value of the reporting unit with its carrying amount. If the carrying amount exceeds its fair value, the second step would need to be performed; otherwise, no further step is required. The second step, measuring the impairment loss, compares the implied fair value of the goodwill with the carrying amount of the goodwill. Any excess of the goodwill carrying amount over the applied fair value is recognized as an impairment loss, and the carrying value of goodwill is written down to fair value. As of December 31, 2014, no impairment of goodwill has been identified.
Acquired finite-lived intangible assets are amortized on a straight-line basis over the estimated useful lives of the assets. The estimated remaining useful lives for intangible assets range from less than one year to 15 years. Acquired indefinite-lived intangible assets related to our in-process research and development (IPR&D) are capitalized and subject to impairment testing until completion or abandonment of the projects. Upon successful completion of each project, we will make a separate determination of useful life of the acquired indefinite-lived intangible assets and the related amortization will be recorded as an expense over the estimated useful life of the specific projects.
In addition to the recoverability assessment, we routinely review the remaining estimated useful lives of property and equipment and finite-lived intangible assets. If we reduce the estimated useful life assumption for any asset, the remaining unamortized balance would be amortized or depreciated over the revised estimated useful life.
Deferred Revenue and Deposits
Deferred revenue consists of billings in advance of revenue recognition. Deposits relate to unused balances held on behalf of our users. Once this balance is utilized by a user, approximately 70% of this amount would then be payable to the developer and the balance would be recognized as revenue.
Deferred revenue and deposits consists of the following (in millions):
 
December 31,
 
2014
 
2013
Deferred revenue
$
38

 
$
13

Deposits
28

 
25

Total deferred revenue and deposits
$
66

 
$
38

 
Foreign Currency
Generally the functional currency of our international subsidiaries is the local currency. We translate the financial statements of these subsidiaries to U.S. dollars using month-end rates of exchange for assets and liabilities, and average rates of exchange for revenue, costs, and expenses. Translation gains and losses are recorded in accumulated other comprehensive (loss) income as a component of stockholders' equity. As of December 31, 2014 and 2013, we had a cumulative translation loss of $227 million and a cumulative translation gain of $12 million, respectively. Net losses resulting from foreign exchange transactions were $87 million, $14 million, and $9 million for the years ended December 31, 2014, 2013, and 2012, respectively. These losses were recorded as interest and other income/(expense), net on our consolidated statements of income.
Credit Risk and Concentration
Financial instruments owned by the company that are potentially subject to concentrations of credit risk consist primarily of cash, cash equivalents, restricted cash, marketable securities, and accounts receivable. Cash equivalents consist of short-term money market funds, which are managed by reputable financial institutions. Marketable securities consist of investments in U.S. government securities, U.S. government agency securities, and corporate debt securities. Our investment policy limits investment instruments to U.S. government securities, U.S. government agency securities, and corporate debt securities with the main objective of preserving capital and maintaining liquidity.
Accounts receivable are typically unsecured and are derived from revenue earned from customers across different industries and countries. We generated 45%, 46%, and 51% of our revenue for the years ended December 31, 2014, 2013, and 2012, respectively, from

66



marketers and developers based in the United States, with the majority of revenue outside of the United States coming from customers located in western Europe, Brazil, Canada, and Australia.
We perform ongoing credit evaluations of our customers, and generally do not require collateral. We maintain an allowance for estimated credit losses. During the years ended December 31, 2014, 2013, and 2012, our bad debt expenses were $19 million, $21 million, and $9 million, respectively. In the event that accounts receivable collection cycles deteriorate, our operating results and financial position could be adversely affected.
No customer represented 10% or more of total revenue during the years ended December 31, 2014, 2013, and 2012.
 Segments
Our chief operating decision-maker is our Chief Executive Officer who makes resource allocation decisions and assesses performance based on financial information presented on a consolidated basis. There are no segment managers who are held accountable by the chief operating decision-maker, or anyone else, for operations, operating results, and planning for levels or components below the consolidated unit level. Accordingly, we have determined that we have a single reportable segment and operating unit structure.
Recently Issued and Adopted Accounting Pronouncement
 In May 2014, the Financial Accounting Standards Board issued guidance related to revenue from contracts with customers. Under this guidance, revenue is recognized when promised goods or services are transferred to customers in an amount that reflects the consideration that is expected to be received for those goods or services. The updated standard will replace most existing revenue recognition guidance under GAAP when it becomes effective and permits the use of either the retrospective or cumulative effect transition method. Early adoption is not permitted. The updated standard will be effective for us in the first quarter of 2017. We have not yet selected a transition method and we are currently evaluating the effect that the updated standard will have on our consolidated financial statements and related disclosures.
Note 2.
Acquisitions

WhatsApp

In October 2014, we completed our acquisition of WhatsApp Inc. (WhatsApp), a privately-held cross-platform mobile messaging company that is expected to provide us with strategic advantages in the mobile ecosystem and expand our mobile messaging offerings. Pursuant to the merger agreement, we issued approximately 178 million shares of our Class A common stock and paid $4.59 billion in cash. We also granted 46 million RSUs to WhatsApp employees which are recognized as share-based compensation expense over the employees' required service periods.
    
Upon acquisition, WhatsApp became our wholly-owned subsidiary. The acquisition was accounted for as a business combination. This method requires, among other things, that assets acquired and liabilities assumed in a business combination be recognized at their fair values as of the acquisition date.

The following table summarizes the components of the preliminary purchase consideration transferred based on the closing price of $77.56 per share of our common stock as of the acquisition date (in millions):
Cash
$
4,589

Common stock
13,787

Less: post-acquisition share-based compensation and other compensation expense
(1,067
)
Less: cash and promissory notes acquired on acquisition date
(116
)
Purchase consideration
$
17,193

Of the $1.07 billion of share-based compensation and other compensation expense excluded from the purchase consideration above, $188 million was accounted for as share-based compensation expense, of which approximately $50 million was settled in cash, at closing, as a result of the vesting provisions of WhatsApp employee awards on the acquisition date. The remaining $879 million (approximately 8.5 million shares of Class A common stock and $219 million in cash) is subject to continuous employment and will be recognized as share-based compensation and other compensation expense over the required service period of up to three years.
The following unaudited pro forma information presents the combined results of operations as if the acquisition had been completed on January 1, 2013, the beginning of the comparable prior annual reporting period. The unaudited pro forma results include: (i) amortization associated with preliminary estimates for the acquired intangible assets; (ii) recognition of the post-acquisition share-based compensation

67



and other compensation expense; (iii) share-based compensation expense related to the 46 million RSUs granted to WhatsApp employees; and (iv) the associated tax impact on these unaudited pro forma adjustments.
The unaudited pro forma results do not reflect any cost saving synergies from operating efficiencies or the effect of the incremental costs incurred in integrating the two companies. Accordingly, these unaudited pro forma results are presented for informational purpose only and are not necessarily indicative of what the actual results of operations of the combined company would have been if the acquisition had occurred at the beginning of the period presented, nor are they indicative of future results of operations (in millions):
 
Year Ended December 31,
 
2014
 
2013
Revenue
$
12,487

 
$
7,882

Net income
$
1,757

 
$
65

The unaudited pro forma combined net income for the year ended December 31, 2013 includes a non-recurring pro forma adjustment of $188 million of share-based compensation expense recognized at closing as a result of the vesting provisions of WhatsApp employee awards on the acquisition date.
The tax withholdings related to the WhatsApp vested merger consideration were funded by net share settlement. The amount remitted to the tax authorities for the employees' tax obligation to the tax authorities was reflected as a financing activity within our consolidated statements of cash flows.
Oculus
In July 2014, we completed our acquisition of Oculus VR, Inc. (Oculus), a privately-held company developing virtual reality technology that is expected to expand our platform. Pursuant to the merger agreement, we issued 23 million shares of our Class B common stock and paid $400 million in cash. Furthermore, up to an additional three million shares of our Class B common stock and $60 million in cash will be payable contingent upon the completion of certain milestones. We determined the acquisition-date fair value of the contingent consideration liability, based on the likelihood of payment related to the contingent earn-out clauses, as part of the consideration transferred. For contingent consideration to be settled in common stock, we use the fair value of the shares as of the acquisition date, which is remeasured on each reporting date until settlement. See Note 5 “Fair Value Measurements" for subsequent measurements of this contingent liability. The earn-out portion that would be payable to employee equityholders is subject to continuous employment through the applicable payment dates and as such has been excluded from purchase consideration transferred and accounted for as share-based compensation and other compensation expense.
We have accounted for this acquisition as a business combination. This method requires, among other things, that assets acquired and liabilities assumed in a business combination be recognized at their fair values as of the acquisition date and that in-process research and development (IPR&D) be recorded at fair value on the balance sheet regardless of the likelihood of success of the related product or technology.
The following table summarizes the components of the preliminary purchase consideration transferred based on the closing price of our common stock as of the acquisition date (in millions):
Cash
$
400

Common stock
1,601

Less: post-acquisition share-based compensation and other compensation expense
(297
)
Less: cash acquired on acquisition date
(20
)
Total purchase consideration, excluding contingent consideration
$
1,684

Contingent consideration
169

Purchase consideration
$
1,853

Of the $297 million of share-based compensation and other compensation expense excluded from the purchase consideration above, approximately $13 million was recognized as share-based compensation at closing as a result of the vesting provisions of employee replacement awards on the acquisition date. The remaining $284 million is subject to continuous employment and will be recognized as share-based compensation and other compensation expense over the required service period of four years.

68



Other acquisitions
During the year ended December 31, 2014, we also completed several other business acquisitions for total consideration of $485 million. These acquisitions were not material to our consolidated financial statements either individually or in the aggregate.
We have included the financial results of WhatsApp, Oculus and the other business acquisitions, which are not material, in our consolidated financial statements from their respective dates of acquisition. Pro forma results of operations related to our acquisitions, other than WhatsApp, during the year ended December 31, 2014 have not been presented because they are not material to our consolidated statements of income, either individually or in the aggregate.
The fair value of assets acquired and liabilities assumed from our acquisition of WhatsApp and Oculus was based on a preliminary valuation and our estimates and assumptions are subject to change within the measurement period. The primary areas of the purchase price that are not yet finalized are related to income taxes and residual goodwill. Measurement period adjustments that we determine to be material will be applied retrospectively to the period of acquisition in our consolidated financial statements and, depending on the nature of the adjustments, other periods subsequent to the period of acquisition could also be affected.
The following table summarizes the allocation of estimated fair values of the net assets acquired during the year ended December 31, 2014, including the related estimated useful lives, where applicable:
 
WhatsApp
 
Oculus
 
Other
 
(in millions)
 
Useful lives (in years)
 
(in millions)
 
Useful lives (in years)
 
(in millions)
 
Useful lives (in years)
Finite-lived intangible assets:
 
 
 
 
 
 
 
 
 
 
 
Acquired users
$
2,026

 
7
 
$

 
 
 
$

 
 
Trade names
448

 
5
 
113

 
7
 
26

 
5
Acquired technology
288

 
5
 
235

 
5
 
68

 
3 - 5
Other
21

 
2
 
19

 
2
 
61

 
5
IPR&D

 
 
 
60

 
 
 

 
 
(Liabilities assumed) assets acquired
(33
)
 
 
 

 
 
 
103

 
 
Deferred tax liabilities
(899
)
 
 
 
(107
)
 
 
 
(48
)
 
 
Net assets acquired
$
1,851

 
 
 
$
320

 
 
 
$
210

 
 
Goodwill
15,342

 
 
 
1,533

 
 
 
275

 
 
Total fair value consideration
$
17,193

 
 
 
$
1,853

 
 
 
$
485

 
 

IPR&D intangible assets represent the value assigned to acquired research and development projects that, as of the acquisition date had not established technological feasibility and had no alternative future use. The IPR&D intangible assets are capitalized and accounted for as indefinite-lived intangible assets and are subject to impairment testing until completion or abandonment of the projects. Upon successful completion of each project and launch of the product, we will make a separate determination of useful life of the IPR&D intangible assets and the related amortization will be recorded as an expense over the estimated useful life of the specific projects.

Goodwill generated from the WhatsApp acquisition is primarily attributable to expected synergies from future growth, from potential monetization opportunities, from strategic advantages provided in the mobile ecosystem, and from expansion of our mobile messaging offerings. Goodwill generated from all other business acquisitions completed during the year ended December 31, 2014 is primarily attributable to expected synergies from future growth, from potential monetization opportunities and, also for Oculus, as a potential to expand our platform. All goodwill generated during this period is not deductible for tax purposes.
Note 3.
Earnings per Share
We compute earnings per share (EPS) of Class A and Class B common stock using the two-class method required for participating securities. We consider restricted stock awards to be participating securities because holders of such shares have non-forfeitable dividend rights in the event of our declaration of a dividend for common shares.
Undistributed earnings allocated to participating securities are subtracted from net income in determining net income attributable to common stockholders. Basic EPS is computed by dividing net income attributable to common stockholders by the weighted-average number of shares of our Class A and Class B common stock outstanding, adjusted for outstanding shares that are subject to repurchase.
For the calculation of diluted EPS, net income attributable to common stockholders for basic EPS is adjusted by the effect of dilutive securities, including awards under our equity compensation plans. In addition, the computation of the diluted EPS of Class A common stock assumes the conversion of our Class B common stock to Class A common stock, while the diluted EPS of Class B common stock does not assume the conversion of those shares to Class A common stock. Diluted EPS attributable to common stockholders is

69



computed by dividing the resulting net income attributable to common stockholders by the weighted-average number of fully diluted common shares outstanding.
Basic and dilutive securities in our basic and diluted EPS calculation for the year ended December 31, 2014 do not include contingent earn-out shares resulting from our acquisition of Oculus. Issuance of these earn-out shares is dependent upon the completion of certain milestones. These milestones were not met as of December 31, 2014 and accordingly, these shares are excluded from the effect of basic and dilutive securities.
We have also excluded 14 million, 1 million, and 15 million RSUs for the years ended December 31, 2014, 2013, and 2012, respectively, because the impact would be anti-dilutive.
Basic and diluted EPS are the same for each class of common stock because they are entitled to the same liquidation and dividend rights.
The numerators and denominators of the basic and diluted EPS computations for our common stock are calculated as follows (in millions, except per share amounts):
 
Year Ended December 31,
 
2014
 
2013
 
2012
 
Class
A
 
Class
B
 
Class
A
 
Class
B
 
Class
A
 
Class
B 
Basic EPS:
 
 
 
 
 
 
 
 
 
 
 
Numerator
 
 
 
 
 
 
 
 
 
 
 
Net income
$
2,308

 
$
632

 
$
1,114

 
$
386

 
$
18

 
$
35

Less: Net income attributable to participating securities
12

 
3

 
7

 
2

 
7

 
14

Net income attributable to common stockholders
$
2,296

 
$
629

 
$
1,107

 
$
384

 
$
11

 
$
21

Denominator
 
 
 
 
 
 
 
 
 
 
 
Weighted average shares outstanding
2,059

 
568

 
1,803

 
631

 
668

 
1,344

Less: Shares subject to repurchase
6

 
7

 
5

 
9

 
1

 
5

Number of shares used for basic EPS computation
2,053

 
561

 
1,798

 
622

 
667

 
1,339

Basic EPS
$
1.12

 
$
1.12

 
$
0.62

 
$
0.62

 
$
0.02

 
$
0.02

Diluted EPS:
 
 
 
 
 
 
 
 
 
 
 
Numerator
 
 
 
 
 
 
 
 
 
 
 
Net income attributable to common stockholders
$
2,296

 
$
629

 
$
1,107

 
$
384

 
$
11

 
$
21

Reallocation of net income attributable to participating securities
15

 

 
9

 

 

 

Reallocation of net income as a result of conversion of Class B to Class A common stock
629

 

 
384

 

 
21

 

Reallocation of net income to Class B common stock

 
23

 

 
39

 

 
1

Net income attributable to common stockholders for diluted EPS
$
2,940

 
$
652

 
$
1,500

 
$
423

 
$
32

 
$
22

Denominator
 
 
 
 
 
 
 
 
 
 
 
Number of shares used for basic EPS computation
2,053

 
561

 
1,798

 
622

 
667

 
1,339

Conversion of Class B to Class A common stock
561

 

 
622

 

 
1,339

 

Weighted average effect of dilutive securities:
 
 
 
 
 
 
 
 
 
 
 
Employee stock options
13

 
13

 
65

 
65

 
134

 
134

RSUs
30

 
13

 
25

 
15

 
23

 
23

Shares subject to repurchase
7

 
4

 
7

 
7

 
3

 
3

Number of shares used for diluted EPS computation
2,664

 
591

 
2,517

 
709

 
2,166

 
1,499

Diluted EPS
$
1.10

 
$
1.10

 
$
0.60

 
$
0.60

 
$
0.01

 
$
0.01


70



Note 4.
Cash and Cash Equivalents, and Marketable Securities
The following table sets forth the cash, cash equivalents, and marketable securities (in millions):
 
December 31,
 
2014
 
2013
Cash and cash equivalents:
 
 
 
Cash
$
2,162

 
$
1,044

Money market funds
2,153

 
2,279

Total cash and cash equivalents
4,315

 
3,323

Marketable securities:
 
 
 
U.S. government securities
2,830

 
5,687

U.S. government agency securities
2,710

 
2,439

Corporate debt securities
1,344

 

Total marketable securities
6,884

 
8,126

Total cash, cash equivalents and marketable securities
$
11,199

 
$
11,449

The gross unrealized gains or losses on our marketable securities as of December 31, 2014 and 2013 were not significant. In addition, there were no securities in a continuous loss position for 12 months or longer as of December 31, 2014 and 2013.
The following table classifies our marketable securities by contractual maturities (in millions):
 
December 31,
 
2014
 
2013
Due in one year
$
3,422

 
$
4,704

Due in one to two years
3,462

 
3,422

Total
$
6,884

 
$
8,126

Note 5.
Fair Value Measurement
The following table summarizes, for assets or liabilities measured at fair value, the respective fair value and the classification by level of input within the fair value hierarchy (in millions):
 
 
 
 
Fair Value Measurement at
Reporting Date Using
Description 
 
December 31,
2014
 
Quoted
Prices in
Active
Markets for
Identical
Assets
(Level 1)
 
Significant
Other
Observable
Inputs
(Level 2)
 
Significant
Unobservable
Inputs
(Level 3)
Cash equivalents:
 
 
 
 
 
 
 
 
Money market funds
 
$
2,153

 
$
2,153

 
$

 
$

Marketable securities:
 
 
 
 
 
 
 
 
U.S. government securities
 
2,830

 
2,830

 

 

U.S. government agency securities
 
2,710

 
2,710

 

 

Corporate debt securities
 
1,344

 

 
1,344

 

Total cash equivalents and marketable securities
 
$
9,037

 
$
7,693

 
$
1,344

 
$

 
 
 
 
 
 
 
 
 
Other liabilities:
 
 
 
 
 
 
 
 
Contingent consideration liability
 
$
191

 
$

 
$

 
$
191


71



 
 
 
 
Fair Value Measurement at
Reporting Date Using
Description
 
December 31,
2013
 
Quoted
Prices in
Active
Markets for
Identical
Assets
(Level 1)
 
Significant
Other
Observable
Inputs
(Level 2)
 
Significant
Unobservable
Inputs
(Level 3 
Cash equivalents:
 
 
 
 
 
 
 
 
Money market funds
 
$
2,279

 
$
2,279

 
$

 
$

Marketable securities:
 

 
 
 
 
 
 
U.S. government securities
 
5,687

 
5,687

 

 

U.S. government agency securities
 
2,439

 
2,439

 

 

Total cash equivalents and marketable securities
 
$
10,405

 
$
10,405

 
$

 
$

We classify our cash equivalents and marketable securities within Level 1 or Level 2 because we use quoted market prices or alternative pricing sources and models utilizing market observable inputs to determine their fair value.
We classify our contingent consideration liability in connection with our acquisition of Oculus within Level 3 as factors used to develop the estimated fair value are unobservable inputs that are not supported by market activity. We estimate the fair value of our contingent consideration liability based on the present value of probability-weighted future cash flows related to the contingent earn-out criteria and the fair value of our common stock on each reporting date. Our fair value estimate of this liability was $169 million at the date of acquisition and changes in the fair value of the contingent consideration liability subsequent to the acquisition date, such as changes in the probability assessment and the fair value of our common stock, are recognized in earnings in the period when the change in the estimated fair value occurs. During the year ended December 31, 2014, we recognized a $22 million change in the fair value of our contingent consideration liability in research and development expense in our consolidated statements of income primarily due to the change in the fair value of our common stock.
Note 6.
Property and Equipment
Property and equipment consists of the following (in millions):
 
December 31,
 
2014
 
2013
Land
$
153

 
$
45

Buildings
1,420

 
1,071

Leasehold improvements
304

 
203

Network equipment
3,020

 
2,351

Computer software, office equipment and other
149

 
95

Construction in progress
738

 
377

Total
5,784

 
4,142

Less: Accumulated depreciation
(1,817
)
 
(1,260
)
Property and equipment, net
$
3,967

 
$
2,882

 
Depreciation expense on property and equipment was $923 million, $857 million, and $566 million during 2014, 2013, and 2012, respectively.
Property and equipment at December 31, 2014 and 2013 includes $700 million and $976 million, respectively, acquired under capital lease agreements of which the majority is included in network equipment. Accumulated depreciation of property and equipment acquired under these capital leases was $425 million and $527 million at December 31, 2014 and 2013, respectively.
Construction in progress includes costs primarily related to the expansion of our corporate headquarters in Menlo Park, California, construction of data centers, and network equipment infrastructure to support our data centers around the world. No interest was capitalized during the year ended December 31, 2014. Interest capitalized during the years ended December 31, 2013 and 2012 was not material.

72



Note 7.
Goodwill and Intangible Assets
The changes in carrying amount of goodwill for the years ended December 31, 2014 and 2013 are as follows (in millions):
Balance as of December 31, 2012
$
587

Goodwill acquired
252

Balance as of December 31, 2013
$
839

Goodwill acquired
17,150

Effect of currency translation adjustment
(8
)
Balance as of December 31, 2014
$
17,981

Intangible assets consist of the following (in millions):
 
 
 
December 31, 2014
 
December 31, 2013
 
Useful lives from date of acquisitions (in years)
 
Gross Carrying Amount
 
Accumulated Amortization
 
Net Carrying Amount
 
Gross Carrying Amount
 
Accumulated Amortization
 
Net Carrying Amount
Finite-lived intangible assets:
 
 
 
 
 
 
 
 
 
 
 
 
 
Acquired users
3 - 7
 
$
2,056

 
$
(85
)
 
$
1,971

 
$
30

 
$
(6
)
 
$
24

Acquired technology
2 - 10
 
813

 
(144
)
 
669

 
227

 
(65
)
 
162

Acquired patents
2 - 18
 
773

 
(239
)
 
534

 
773

 
(142
)
 
631

Trade names
2 - 7
 
632

 
(46
)
 
586

 
45

 
(8
)
 
37

Other
2 - 10
 
164

 
(55
)
 
109

 
63

 
(34
)
 
29

Total finite-lived intangible assets
 
 
$
4,438

 
$
(569
)
 
$
3,869

 
$
1,138

 
$
(255
)
 
$
883

 
 
 
 
 
 
 
 
 
 
 
 
 
 
Indefinite-lived intangible assets:
 
 
 
 
 
 
 
 
 
 
 
 
 
IPR&D
 
 
$
60

 
$

 
$
60

 
$

 
$

 
$

 
 
 
 
 
 
 
 
 
 
 
 
 
 
Total intangible assets
 
 
$
4,498

 
$
(569
)
 
$
3,929

 
$
1,138

 
$
(255
)
 
$
883

 
Amortization expense of intangible assets for the years ended December 31, 2014, 2013, and 2012 was $319 million, $145 million, and $78 million, respectively.
As of December 31, 2014, expected amortization expense for the unamortized acquired intangible assets for the next five years and thereafter is as follows (in millions):
2015
$
710

2016
691

2017
648

2018
600

2019
518

Thereafter
702

Total
$
3,869


73



Note 8.
Liabilities
The components of accrued expenses and other current liabilities are as follows (in millions):
 
December 31,
 
2014
 
2013
Accrued compensation and benefits
$
322

 
$
196

Accrued property and equipment
164

 
87

Other current liabilities
380

 
272

Accrued expenses and other current liabilities
$
866

 
$
555

The components of other liabilities are as follows (in millions):
 
December 31,
 
2014
 
2013
Income tax payable
$
1,190

 
$
886

Deferred tax liabilities
987

 
47

Other liabilities
368

 
155

Other liabilities
$
2,545

 
$
1,088

Note 9.
Long-term Debt
In August 2013, we entered into a five-year senior unsecured revolving credit facility (2013 Revolving Credit Facility) that allows us to borrow up to $6.5 billion to fund working capital and general corporate purposes with interest payable on the borrowed amounts set at LIBOR plus 1.0%, as well as an annual commitment fee of 0.10% on the daily undrawn balance of the facility. We paid origination fees at closing of the 2013 Revolving Credit Facility, which fees are being amortized over the term of the facility. Any amounts outstanding under this facility will be due and payable on August 15, 2018. As of December 31, 2014, no amounts had been drawn down and we were in compliance with the covenants under this facility.
Note 10.
Commitments and Contingencies
Commitments
Leases
We entered into various capital lease arrangements to obtain property and equipment for our operations. Additionally, on occasion we have purchased property and equipment for which we have subsequently obtained capital financing under sale-leaseback transactions. These agreements are typically for three years, except for a building lease which are for 15 years, with interest rates ranging from 1% to 13%. The leases are secured by the underlying leased buildings, leasehold improvements, and equipment. We have also entered into various non-cancelable operating lease agreements for certain of our offices, equipment, land and data centers with original lease periods expiring between 2015 and 2030. We are committed to pay a portion of the related actual operating expenses under certain of these lease agreements. Certain of these arrangements have free rent periods or escalating rent payment provisions, and we recognize rent expense under such arrangements on a straight-line basis.

74



The following is a schedule, by years, of the future minimum lease payments required under non-cancelable capital and operating leases as of December 31, 2014 (in millions):
 
Capital
Leases
 
Operating
Leases
2015
$
124

 
$
155

2016
20

 
161

2017
15

 
158

2018
16

 
143

2019
16

 
125

Thereafter
112

 
359

Total minimum lease payments
$
303

 
$
1,101

Less: amount representing interest and taxes
(70
)
 
 
Less: current portion of the present value of minimum lease payments
(114
)
 
 
Capital lease obligations, net of current portion
$
119

 
 
Operating lease expenses totaled $125 million, $130 million, and $196 million for the years ended December 31, 2014, 2013 and 2012, respectively.
Other contractual commitments
We also have $1.03 billion of non-cancelable contractual commitments as of December 31, 2014, primarily related to network infrastructure for our data center operations and, to a lesser extent, construction of our data center sites. The majority of these commitments are due within five years.
Contingencies
Legal Matters
Beginning on May 22, 2012, multiple putative class actions, derivative actions, and individual actions were filed in state and federal courts in the United States and in other jurisdictions against us, our directors, and/or certain of our officers alleging violation of securities laws or breach of fiduciary duties in connection with our initial public offering (IPO) and seeking unspecified damages. We believe these lawsuits are without merit, and we intend to continue to vigorously defend them. The vast majority of the cases in the United States, along with multiple cases filed against The NASDAQ OMX Group, Inc. and The Nasdaq Stock Market LLC (collectively referred to herein as NASDAQ) alleging technical and other trading-related errors by NASDAQ in connection with our IPO, were ordered centralized for coordinated or consolidated pre-trial proceedings in the U.S. District Court for the Southern District of New York. In a series of rulings in 2013 and 2014, the court denied our motion to dismiss the consolidated securities class action and granted our motions to dismiss the derivative actions against our directors and certain of our officers. The plaintiffs in four of these derivative actions have filed notices of appeal. On December 23, 2014, the plaintiffs in the consolidated securities class action filed their motion for class certification. In addition, the events surrounding our IPO became the subject of various state and federal government inquiries. In May 2014, the Securities and Exchange Commission (SEC) notified us that it had terminated its inquiry and that no enforcement action had been recommended by the SEC.
We are also party to various legal proceedings and claims that arise in the ordinary course of business. With respect to our outstanding legal matters, we believe that the amount or estimable range of reasonably possible loss will not, either individually or in the aggregate, have a material adverse effect on our business, consolidated financial position, results of operations, or cash flows. However, the outcome of litigation is inherently uncertain. Therefore, if one or more of these legal matters were resolved against us for amounts in excess of management's expectations, our results of operations and financial condition, including in a particular reporting period, could be materially adversely affected.
Indemnifications
In the normal course of business, to facilitate transactions of services and products, we have agreed to indemnify certain parties with respect to certain matters. We have agreed to hold certain parties harmless against losses arising from a breach of representations or covenants, or out of intellectual property infringement or other claims made by third parties. These agreements may limit the time within which an indemnification claim can be made and the amount of the claim. In addition, we have entered into indemnification agreements with our officers, directors, and certain employees, and our certificate of incorporation and bylaws contain similar indemnification obligations.

75



It is not possible to determine the maximum potential amount under these indemnification agreements due to the limited history of prior indemnification claims and the unique facts and circumstances involved in each particular agreement. Historically, payments made by us under these agreements have not had a material impact on our consolidated financial position, results of operations or cash flows. In our opinion, as of December 31, 2014, there was not at least a reasonable possibility we had incurred a material loss with respect to indemnification of such parties. We have not recorded any liability for costs related to indemnification through December 31, 2014.
Note 11.
Stockholders' Equity
Initial Public Offering
In May 2012, we completed our IPO in which we issued and sold 180,000,000 shares of Class A common stock at a public offering price of $38.00 per share and the selling stockholders sold 241,233,615 shares of Class A common stock. We did not receive any proceeds from the sale of shares by the selling stockholders. The total net proceeds received from the IPO were $6.76 billion after deducting underwriting discounts and commissions of $75 million and other offering expenses of approximately $7 million.
Follow-on Offering
In December 2013, we completed a follow-on offering in which we issued and sold 27,004,761 shares of Class A common stock at a public offering price of $55.05 per share and the selling stockholders sold 42,995,239 shares of Class A common stock. We did not receive any proceeds from the sale of shares by the selling stockholders. The total net proceeds received from the follow-on offering were $1.48 billion after deducting underwriting discounts and commissions of $7 million and other offering expenses of approximately $1 million.
Common Stock
Our certificate of incorporation authorizes the issuance of Class A common stock and Class B common stock. As of December 31, 2014, we are authorized to issue 5,000,000,000 shares of Class A common stock and 4,141,000,000 shares of Class B common stock, each with a par value of $0.000006 per share. Holders of our Class A common stock and Class B common stock are entitled to dividends when, as and if, declared by our board of directors, subject to the rights of the holders of all classes of stock outstanding having priority rights to dividends. As of December 31, 2014, we did not declare any dividends and our credit facility contains restrictions on our ability to pay dividends. The holder of each share of Class A common stock is entitled to one vote, while the holder of each share of Class B common stock is entitled to ten votes. Shares of our Class B common stock are convertible into an equivalent number of shares of our Class A common stock and generally convert into shares of our Class A common stock upon transfer. Class A common stock and Class B common stock are referred to as common stock throughout the notes to these financial statements, unless otherwise noted.
As of December 31, 2014, there were 2,234,113,007 shares and 562,792,201 shares of Class A common stock and Class B common stock, respectively, issued and outstanding.
Share-based Compensation Plans
We maintain two share-based employee compensation plans: the 2012 Plan and the 2005 Stock Plan (collectively, Stock Plans). Our 2012 Plan serves as the successor to our 2005 Stock Plan and provides for the issuance of incentive and nonstatutory stock options, restricted stock awards, stock appreciation rights, RSUs, performance shares and stock bonuses to qualified employees, directors and consultants. Outstanding awards under the 2005 Stock Plan continue to be subject to the terms and conditions of the 2005 Stock Plan.
We initially reserved 25,000,000 shares of our Class A common stock for issuance under our 2012 Plan. The number of shares reserved for issuance under our 2012 Plan will increase automatically on the first day of January of each of 2013 through 2022 by a number of shares of Class A common stock equal to the lesser of (i) 2.5% of the total outstanding shares of our common stock as of the immediately preceding December 31st or (ii) a number of shares determined by the board of directors. Our board of directors elected not to increase the number of shares reserved for issuance in 2014 and 2013. In addition, shares available for grant under the 2005 Stock Plan, which were reserved but not issued or subject to outstanding awards under the 2005 Stock Plan as of the effective date of our IPO, were added to the reserves of the 2012 Plan and shares that are withheld in connection with the net settlement of RSUs are also added to the reserves of the 2012 Plan. In January 2014, we began requiring that employees sell a portion of the shares that they receive upon the vesting of RSUs in order to cover any required withholding taxes, rather than our previous approach of net share settlement. The maximum term for stock options granted under the 2012 Plan may not exceed ten years from the date of grant. Our 2012 Plan will terminate ten years from the date of approval unless it is terminated earlier by our compensation committee.
In connection with our acquisition of WhatsApp in October 2014, we granted inducement awards covering an aggregate of 37,475,271 RSUs to the WhatsApp founders. These awards are excluded from the Stock Plans and are subject to the terms, restrictions, and conditions of a separate non-plan RSU award agreement. In addition, these awards are earned over a service period of four years.

76



In February 2014, we terminated our 2005 Officers' Stock Plan as the only outstanding option issued under this plan had been exercised in full.
The following table summarizes stock option award activities under the Stock Plans for the year ended December 31, 2014:
 
Shares Subject to Options Outstanding
 
Number of
Shares
 
Weighted
Average
Exercise
Price
 
Weighted
Average
Remaining
Contractual
Term
 
Aggregate
Intrinsic
Value(1)
 
(in thousands)
 
 
 
(in years)
 
(in millions)
Balance as of December 31, 2013
22,102

 
$
3.56

 
 
 
 
Stock options exercised
(9,118
)
 
1.82

 
 
 
 
Balance as of December 31, 2014
12,984

 
$
4.78

 
3.79
 
$
951

Stock options vested and expected to vest as of December 31, 2014
12,980

 
$
4.78

 
3.79
 
$
951

Stock options exercisable as of December 31, 2014
9,850

 
$
2.49

 
3.20
 
$
744

 
(1)
The aggregate intrinsic value is calculated as the difference between the exercise price of the underlying stock option awards and the closing price of our Class A common stock of $78.02 on December 31, 2014.
There were no options granted, forfeited, or canceled for the years ended December 31, 2014. The aggregate intrinsic value of the options exercised in the years ended December 31, 2014, 2013, and 2012 was $624 million, $4.58 billion, and $4.23 billion, respectively. The total grant date fair value of stock options vested during the years ended December 31, 2014, 2013, and 2012 was $7 million, $7 million, and $5 million, respectively.
The following table summarizes additional information regarding outstanding and exercisable options under the Stock Plans at December 31, 2014:
 
 
Options Outstanding 
 
Options Exercisable 
Exercise
Price (Range) 
 
Number of
Shares
 
Weighted
Average
Remaining
Contractual
Term
 
Weighted
Average
Exercise
Price 
 
Number of
Shares 
 
Weighted
Average
Exercise
Price 
 
 
(in thousands)
 
(in years)
 
 
 
(in thousands)
 
 
$0.06
 
191
 
0.99
 
$
0.06

 
191

 
$
0.06

0.10 - 0.18
 
1,784
 
1.44
 
0.10

 
1,784

 
0.10

0.29 - 0.33
 
3,509
 
2.29
 
0.30

 
3,509

 
0.30

1.85
 
1,605
 
4.03
 
1.85

 
1,605

 
1.85

2.95
 
1,195
 
4.63
 
2.95

 
1,195

 
2.95

10.39
 
3,500
 
5.56
 
10.39

 
1,458

 
10.39

15.00
 
1,200
 
5.80
 
15.00

 
108

 
15.00

 
 
12,984
 
3.79
 
$
4.78

 
9,850

 
$
2.49


77



The following table summarizes the activities for our unvested RSUs for the year ended December 31, 2014:
 
Unvested RSUs
 
Number of Shares
 
Weighted Average Grant Date Fair Value
 
(in thousands)
 
 
Unvested at December 31, 2013
103,971

 
$
27.30

Granted
84,606

 
74.03

Vested
(41,233
)
 
25.76

Forfeited
(9,289
)
 
34.80

Unvested at December 31, 2014
138,055

 
$
55.89


The fair value as of the respective vesting dates of RSUs during the years ended December 31, 2014, 2013, and 2012 was $2.77 billion, $1.55 billion, and $1.99 billion, respectively.
The majority of our RSUs that were settled during the year ended December 31, 2014 were settled on a gross basis. We require that employees sell a portion of the shares that they receive upon the vesting of RSUs in order to cover any required minimum withholding taxes. However, during the year ended December 31, 2013 and 2012, the majority of RSUs were net share settled. Under net settlement procedures, upon each settlement date, RSUs were withheld to cover the required withholding tax, which is based on the value of the RSU on the settlement date as determined by the closing price of our common stock on the trading day immediately preceding the applicable settlement date. The remaining amounts are delivered to the recipient as shares of our common stock. The amount remitted to the tax authorities for the employees' tax obligation to the tax authorities was reflected as a financing activity within our consolidated statements of cash flows. These shares withheld by us as a result of the net settlement of RSUs are no longer considered issued and outstanding, thereby reducing our shares outstanding used to calculate earnings per share. These shares were returned to the reserves and are available for future issuance under the 2012 Plan.
As of December 31, 2014, there was $7.96 billion of unrecognized share-based compensation expense, of which $6.96 billion is related to RSUs, and $999 million is related to restricted shares, shares with performance conditions related to our contingent consideration liability, and stock options. This unrecognized compensation expense is expected to be recognized over a weighted-average period of approximately three years.
Note 12.
Interest and other income/(expense), net
The following table presents the detail of interest and other income/(expense), net, for the periods presented (in millions):
 
Year Ended December 31,
 
2014
 
2013
 
2012
Interest expense
$
(23
)
 
$
(56
)
 
$
(51
)
Interest income
27

 
19

 
14

Foreign currency exchange losses, net
(87
)
 
(14
)
 
(9
)
Other
(1
)
 
1

 
2

Interest and other income/(expense), net
$
(84
)
 
$
(50
)
 
$
(44
)


78



Note 13.
Income Taxes
The components of income before provision for income taxes for the years ended December 31, 2014, 2013, and 2012 are as follows (in millions):
 
Year Ended December 31, 
 
2014
 
2013
 
2012
Domestic
$
4,918

 
$
3,197

 
$
1,062

Foreign
(8
)
 
(443
)
 
(568
)
Income before provision for income taxes
$
4,910

 
$
2,754

 
$
494

The provision for income taxes consisted of the following (in millions):
 
Year Ended December 31, 
 
2014
 
2013
 
2012
Current:
 
 
 
 
 
Federal
$
1,999

 
$
1,154

 
$
559

State
130

 
69

 
45

Foreign
96

 
68

 
22

Total current tax expense
2,225

 
1,291

 
626

Deferred:
 
 
 
 
 
Federal
(240
)
 
(28
)
 
(172
)
State
(14
)
 
(7
)
 
(6
)
Foreign
(1
)
 
(2
)
 
(7
)
Total deferred tax benefit
(255
)
 
(37
)
 
(185
)
Provision for income taxes
$
1,970

 
$
1,254

 
$
441

 
A reconciliation of the U.S. federal statutory income tax rate of 35.0% to our effective tax rate is as follows (in percentages):
 
Year Ended December 31, 
 
2014
 
2013
 
2012
U.S. federal statutory income tax rate
35.0
 %
 
35.0
 %
 
35.0
%
State income taxes, net of federal benefit
1.4

 
1.6

 
6.2

Research tax credits
(1.1
)
 
(4.7
)
 

Share-based compensation
6.5

 
5.2

 
19.2

Effect of non-U.S. operations
(3.6
)
 
6.8

 
26.9

Other
1.9

 
1.6

 
2.0

Effective tax rate
40.1
 %
 
45.5
 %
 
89.3
%
 
Excess tax benefits associated with stock option exercises and other equity awards are credited to stockholders' equity. The income tax benefits resulting from stock awards that were credited to stockholders' equity were $1.85 billion, $602 million and $1.03 billion for the years ended December 31, 2014, 2013, and 2012, respectively.

79



Our deferred tax assets (liabilities) are as follows (in millions):
 
December 31, 
 
2014
 
2013
Deferred tax assets:
 
 
 
Net operating loss carryforward
$
130

 
$
6

Tax credit carryforward
190

 
164

Share-based compensation
225

 
120

Accrued expenses and other liabilities
136

 
141

Other
21

 
5

Total deferred tax assets
702

 
436

Less: valuation allowance
(101
)
 
(82
)
Deferred tax assets, net of valuation allowance
601

 
354

 
 
 
 
Deferred tax liabilities:
 
 
 
Depreciation and amortization
(101
)
 
(68
)
Purchased intangible assets
(1,190
)
 
(90
)
Deferred foreign taxes

 
(43
)
Total deferred tax liabilities
(1,291
)
 
(201
)
Net deferred tax (liabilities) assets
$
(690
)
 
$
153

The valuation allowance was approximately $101 million and $82 million as of December 31, 2014 and 2013, respectively, related to state tax credits that we do not believe will ultimately be realized.
As of December 31, 2014, the U.S. federal and state net operating loss carryforwards were approximately $4.53 billion and $4.46 billion, which will begin to expire in 2028 and 2021, respectively, if not utilized. If realized, the impact of the net operating loss carryforwards will be recognized as a benefit of approximately $1.47 billion through additional paid in capital. We have federal and state tax credit carryforwards of $800 million and $753 million, respectively, which will begin to expire in 2032.
Utilization of our net operating loss and tax credit carryforwards may be subject to substantial annual limitations due to the ownership change limitations provided by the Internal Revenue Code and similar state provisions. Such annual limitations could result in the expiration of the net operating loss and tax credit carryforwards before their utilization. The events that may cause ownership changes include, but are not limited to, a cumulative stock ownership change of greater than 50% over a three-year period.
Our net foreign pretax losses include jurisdictions with both pretax earnings and pretax losses. Our consolidated financial statements provide taxes for all related tax liabilities that would arise upon repatriation of earnings in the foreign jurisdictions where we do not intend to indefinitely reinvest those earnings outside the United States, and the amount of taxes provided for has been insignificant.
The following table reflects changes in the gross unrecognized tax benefits (in millions):
 
Year Ended December 31, 
 
2014
 
2013
 
2012
Gross unrecognized tax benefits-beginning of period
$
1,316

 
$
164

 
$
63

Increases related to prior year tax positions
24

 
425

 
13

Decreases related to prior year tax positions

 
(13
)
 
(16
)
Increases related to current year tax positions
346

 
740

 
104

Decreases related to settlements of prior year tax positions
(4
)
 

 

Gross unrecognized tax benefits-end of period
$
1,682

 
$
1,316

 
$
164

During all years presented, we recognized interest and penalties related to unrecognized tax benefits within the provision for income taxes on the consolidated statements of income. The amount of interest and penalties accrued as of December 31, 2014 and 2013 was not material.
If the balance of gross unrecognized tax benefits of $1.68 billion as of December 31, 2014 was realized in a future period, this would result in a tax benefit of $1.16 billion within our provision of income taxes at such time.

80



We are subject to taxation in the United States and various other state and foreign jurisdictions. The material jurisdictions in which we are subject to potential examination include the United States and Ireland. We are under examination by the Internal Revenue Service (IRS) for our 2008 through 2010 tax years. We believe that adequate amounts have been reserved for any adjustments that may ultimately result from these examinations and we do not anticipate a significant impact to our gross unrecognized tax benefits within the next 12 months related to these years. Our 2011 through 2014 tax years remain subject to examination by the IRS and all tax years starting in 2008 remain subject to examination in Ireland.
Although the timing of the resolution, settlement, and closure of any audits is highly uncertain, it is reasonably possible that the balance of gross unrecognized tax benefits could significantly change in the next 12 months. However, given the number of years remaining that are subject to examination, we are unable to estimate the full range of possible adjustments to the balance of gross unrecognized tax benefits.
Note 14.
Geographical Information
Revenue by geography is based on the billing address of the advertiser or developer. The following table sets forth revenue and property and equipment, net by geographic area (in millions):
 
Year Ended December 31, 
 
2014
 
2013
 
2012
Revenue:
 
 
 
 
 
United States
$
5,649

 
$
3,613

 
$
2,578

Rest of the world(1)
6,817

 
4,259

 
2,511

Total revenue
$
12,466

 
$
7,872

 
$
5,089

 
(1)
No individual country, other than disclosed above, exceeded 10% of our total revenue for any period presented
 
 
December 31,
 
2014
 
2013
Property and equipment, net:
 
 
 
United States
$
3,256

 
$
2,368

Sweden
514

 
415

Rest of the world
197

 
99

Total property and equipment, net
$
3,967

 
$
2,882




81



Item 9.
Changes in and Disagreements with Accountants on Accounting and Financial Disclosure
None.
Item 9A.
Controls and Procedures
Evaluation of Disclosure Controls and Procedures
Our management, with the participation of our chief executive officer (CEO) and chief financial officer (CFO), has evaluated the effectiveness of our disclosure controls and procedures (as defined in Rules 13a- 15(e) and 15d- 15(e) under the Securities Exchange Act of 1934, as amended (Exchange Act)), as of the end of the period covered by this Annual Report on Form 10-K. Based on such evaluation, our CEO and CFO have concluded that as of December 31, 2014, our disclosure controls and procedures are designed at a reasonable assurance level and are effective to provide reasonable assurance that information we are required to disclose in reports that we file or submit under the Exchange Act is recorded, processed, summarized, and reported within the time periods specified in the rules and forms of the Securities and Exchange Commission (SEC), and that such information is accumulated and communicated to our management, including our CEO and CFO, as appropriate, to allow timely decisions regarding required disclosure.
Management's Report on Internal Control over Financial Reporting
Our management is responsible for establishing and maintaining adequate internal control over financial reporting (as defined in Rule 13a-15(f) under the Exchange Act). Management conducted an assessment of the effectiveness of our internal control over financial reporting based on the criteria set forth in Internal Control - Integrated Framework issued by the Committee of Sponsoring Organizations of the Treadway Commission (2013 framework). Based on the assessment, management has concluded that its internal control over financial reporting was effective as of December 31, 2014 to provide reasonable assurance regarding the reliability of financial reporting and the preparation of financial statements in accordance with U.S. GAAP. Our independent registered public accounting firm, Ernst & Young LLP, has issued an audit report with respect to our internal control over financial reporting, which appears in Part II, Item 8 of this Annual Report on Form 10-K.
Changes in Internal Control
There were no changes in our internal control over financial reporting identified in management's evaluation pursuant to Rules 13a-15(d) or 15d-15(d) of the Exchange Act during the fourth quarter of 2014 that materially affected, or are reasonably likely to materially affect, our internal control over financial reporting.
Limitations on Effectiveness of Controls and Procedures and Internal Control over Financial Reporting
In designing and evaluating the disclosure controls and procedures and internal control over financial reporting, management recognizes that any controls and procedures, no matter how well designed and operated, can provide only reasonable assurance of achieving the desired control objectives. In addition, the design of disclosure controls and procedures and internal control over financial reporting must reflect the fact that there are resource constraints and that management is required to apply judgment in evaluating the benefits of possible controls and procedures relative to their costs.
Item 9B.
Other Information
None.

82



PART III
Item 10.
Directors, Executive Officers and Corporate Governance
The information required by this item is incorporated by reference to our Proxy Statement for the 2015 Annual Meeting of Stockholders to be filed with the Securities and Exchange Commission (SEC) within 120 days of the fiscal year ended December 31, 2014.
Our board of directors has adopted a Code of Conduct applicable to all officers, directors and employees, which is available on our website (investor.fb.com) under "Corporate Governance." We intend to satisfy the disclosure requirement under Item 5.05 of Form 8-K regarding amendment to, or waiver from, a provision of our Code of Conduct and by posting such information on the website address and location specified above.     
Item 11.
Executive Compensation
The information required by this item is incorporated by reference to our Proxy Statement for the 2015 Annual Meeting of Stockholders to be filed with the SEC within 120 days of the fiscal year ended December 31, 2014.
Item 12.
Security Ownership of Certain Beneficial Owners and Management and Related Stockholder Matters
The information required by this item is incorporated by reference to our Proxy Statement for the 2015 Annual Meeting of Stockholders to be filed with the SEC within 120 days of the fiscal year ended December 31, 2014.
Item 13.
Certain Relationships and Related Transactions, and Director Independence
The information required by this item is incorporated by reference to our Proxy Statement for the 2015 Annual Meeting of Stockholders to be filed with the SEC within 120 days of the fiscal year ended December 31, 2014.
Item 14.
Principal Accounting Fees and Services
The information required by this item is incorporated by reference to our Proxy Statement for the 2015 Annual Meeting of Stockholders to be filed with the SEC within 120 days of the fiscal year ended December 31, 2014.

83



PART IV
Item 15.
Exhibits, Financial Statement Schedules
We have filed the following documents as part of this Form 10-K:
2. Financial Statement Schedules
All schedules have been omitted because they are not required, not applicable, not present in amounts sufficient to require submission of the schedule, or the required information is otherwise included.
3. Exhibits
See the Exhibit Index immediately following the signature page of this Annual Report on Form 10-K.

84



SIGNATURES
Pursuant to the requirements of Section 13 or 15(d) of the Securities Exchange Act of 1934, the Registrant has duly caused this Annual Report on Form 10-K to be signed on its behalf by the undersigned, thereunto duly authorized, in the City of Menlo Park, State of California, on this 29th day of January 2015.
 
 
 
 
FACEBOOK, INC.
 
 
 
 
Date:
January 29, 2015
 
/S/ David M. Wehner 
 
 
 
David M. Wehner
 
 
 
Chief Financial Officer
 
 
 
 
 
POWER OF ATTORNEY
KNOW ALL PERSONS BY THESE PRESENTS, that each person whose signature appears below constitutes and appoints David M. Wehner and Colin S. Stretch, and each of them, as his or her true and lawful attorneys-in-fact and agents, with full power of substitution and resubstitution, for him or her and in his or her name, place and stead, in any and all capacities, to sign any and all amendments to this Annual Report on Form 10-K, and to file the same, with all exhibits thereto, and other documents in connection therewith, with the Securities and Exchange Commission, granting unto said attorneys-in-fact and agents, and each of them, full power and authority to do and perform each and every act and thing requisite and necessary to be done in connection therewith, as fully to all intents and purposes as he or she might or could do in person, hereby ratifying and confirming that all said attorneys-in-fact and agents, or any of them or their or his or her substitute or substitutes, may lawfully do or cause to be done by virtue hereof.
Pursuant to the requirements of the Securities Exchange Act of 1934, this Annual Report on Form 10-K has been signed by the following persons on behalf of the Registrant and in the capacities and on the dates indicated:

85



 
 
Signature
 
Title
 
Date
 
/s/ Mark Zuckerberg
 
Chairman and Chief Executive Officer
(Principal Executive Officer)
 
January 29, 2015
 
Mark Zuckerberg
 
 
 
 
 
 
 
 
 
 
/s/ David M. Wehner
 
Chief Financial Officer
(Principal Financial Officer)
 
January 29, 2015
 
David M. Wehner
 
 
 
 
 
 
 
 
 
 
/S/ Jas Athwal
 
Chief Accounting Officer
(Principal Accounting Officer)
 
January 29, 2015
 
Jas Athwal
 
 
 
 
 
 
 
 
 
 
/s/ Marc L. Andreessen
 
Director
 
January 26, 2015
 
Marc L. Andreessen
 
 
 
 
 
 
 
 
 
 
 
/s/ Erskine B. Bowles
 
Director
 
January 28, 2015
 
Erskine B. Bowles
 
 
 
 
 
 
 
 
 
 
 
/s/ Susan D. Desmond-Hellmann
 
Director
 
January 29, 2015
 
Susan D. Desmond-Hellmann
 
 
 
 
 
 
 
 
 
 
 
/s/ Donald E. Graham
 
Director
 
January 29, 2015
 
Donald E. Graham
 
 
 
 
 
 
 
 
 
 
 
/s/ Reed Hastings
 
Director
 
January 29, 2015
 
Reed Hastings
 
 
 
 
 
 
 
 
 
 
 
/s/ Jan Koum
 
Director
 
January 29, 2015
 
Jan Koum
 
 
 
 
 
 
 
 
 
 
 
/s/ Sheryl K. Sandberg
 
Director
 
January 26, 2015
 
Sheryl K. Sandberg
 
 
 
 
 
 
 
 
 
 
 
/s/ Peter A. Thiel
 
Director
 
January 28, 2015
 
Peter A. Thiel
 
 
 
 
 
 
 
 
 
 

86




EXHIBIT INDEX

Exhibit
 
 
 
Incorporated by Reference
 
Filed
Herewith
Number
 
Exhibit Description
 
Form
 
File No.
 
Exhibit
 
Filing Date
 
 
 
 
 
 
 
 
2.1
 
Agreement and Plan of Merger and Reorganization, dated February 19, 2014, among the Registrant, Rhodium Acquisition Sub II, Inc., Rhodium Merger Sub, Inc., WhatsApp Inc., and Fortis Advisors LLC.

 
10-Q
 
011-35551
 
2.1
 
April 25, 2014
 
 
2.2
 
Amended and Restated Agreement and Plan of Merger, dated April 21, 2014, among the Registrant, Inception Acquisition Sub, Inc., Inception Acquisition Sub II, LLC, Oculus VR, Inc., and Shareholder Representative Services LLC.

 
10-Q
 
011-35551
 
2.2
 
April 25, 2014
 
 
3.1
 
Restated Certificate of Incorporation.
 
10-Q
 
001-35551
 
3.1
 
July 31, 2012
 
 
3.2
 
Amended and Restated Bylaws.
 
10-Q
 
001-35551
 
3.2
 
July 31, 2012
 
 
4.1
 
Form of Class A Common Stock Certificate.
 
S-1
 
333-179287
 
4.1
 
February 8, 2012
 
 
4.2
 
Form of Class B Common Stock Certificate.
 
S-8
 
333-181566
 
4.4
 
May 21, 2012
 
 
4.3
 
Sixth Amended and Restated Investors' Rights Agreement, dated December 27, 2010, by and among Registrant and certain security holders of Registrant.
 
S-1
 
333-179287
 
4.2
 
February 8, 2012
 
 
4.4
 
Amendment No. 1 to Sixth Amended and Restated Investors' Rights Agreement, dated May 1, 2012, by and among Registrant and certain security holders of Registrant.
 
S-1
 
333-179287
 
4.2A
 
May 3, 2012
 
 
4.5
 
Form of "Type 1" Holder Voting Agreement, between Registrant, Mark Zuckerberg, and certain parties thereto.
 
S-1
 
333-179287
 
4.3
 
February 8, 2012
 
 
4.6
 
Registration Rights Agreement, dated October 6, 2014, among the Registrant and the parties thereto.
 
S-3
 
333-199678
 
4.9
 
October 29, 2014
 
 
10.1+
 
Form of Indemnification Agreement.
 
S-1
 
333-179287
 
10.1
 
February 8, 2012
 
 
10.2(A)+
 
2005 Stock Plan, as amended.
 
10-K
 
001-35551
 
10.2(A)
 
February 1, 2013
 
 
10.2(B)+
 
2005 Stock Plan forms of award agreements.
 
S-1
 
333-179287
 
10.2
 
February 8, 2012
 
 
10.3(A)+
 
2012 Equity Incentive Plan, as amended.
 
10-K
 
001-35551
 
10.4(A)
 
February 1, 2013
 
 
10.3(B)+
 
2012 Equity Incentive Plan forms of award agreements.
 
10-Q
 
001-35551
 
10.2
 
July 31, 2012
 
 
10.3(C)+
 
2012 Equity Incentive Plan forms of award agreements (Additional Forms).
 
 
 
 
 
 
 
 
 
X
10.4+
 
Form of Non-Plan Restricted Stock Unit Award Notice and Award Agreement
 
S-8
 
333-199172
 
99.1
 
October 6, 2014
 
 
10.5+
 
2014 Bonus Plan.
 
 
 
 
 
 
 
 
 
X
10.6+
 
Amended and Restated Offer Letter, dated January 27, 2012, between Registrant and Mark Zuckerberg.
 
S-1
 
333-179287
 
10.6
 
February 8, 2012
 
 

87



10.7+
 
Amended and Restated Employment Agreement, dated January 27, 2012, between Registrant and Sheryl K. Sandberg.

 
S-1
 
333-179287
 
10.7
 
February 8, 2012
 
 
10.8+
 
Amended and Restated Offer Letter, dated May 2, 2014, between Registrant and Christopher Cox.
 
 
 
 
 
 
 
 
 
X
10.9+
 
Amended and Restated Offer Letter, dated January 27, 2012, between Registrant and Mike Schroepfer.

 
S-1
 
333-179287
 
10.9
 
February 8, 2012
 
 
10.10+
 
Offer Letter, dated August 25, 2014, between Registrant and David M. Wehner.

 
 
 
 
 
 
 
 
 
X
10.11+
 
Offer Letter, dated October 6, 2014, between Registrant and Jan Koum.
 
10-Q
 
001-35551
 
10.1
 
October 30, 2014
 
 
10.12+
 
Amended and Restated Offer Letter, dated January 27, 2012, between Registrant and David A. Ebersman.
 
S-1
 
333-179287
 
10.8
 
February 8, 2012
 
 
10.13†
 
Lease, dated February 7, 2011, between Registrant and Wilson Menlo Park Campus, LLC.

 
S-1
 
333-179287
 
10.11
 
February 8, 2012
 
 
10.14
 
Credit Agreement, dated August 15, 2013, between Registrant, the Lenders party thereto, and JPMorgan Chase Bank, N.A., as Administrative Agent.
 
8-K
 
001-35551
 
10.1
 
August 15, 2013
 
 
21.1
 
List of subsidiaries.
 
 
 
 
 
 
 
 
 
X
23.1
 
Consent of Independent Registered Public Accounting Firm.

 
 
 
 
 
 
 
 
 
X
31.1
 
Certification of Mark Zuckerberg, Chief Executive Officer, pursuant to Rule 13a-14(a)/15d-14(a), as adopted pursuant to Section 302 of the Sarbanes-Oxley Act of 2002.
 
 
 
 
 
 
 
 
 
X
31.2
 
Certification of David M. Wehner, Chief Financial Officer, pursuant to Rule 13a-14(a)/15d-14(a), as adopted pursuant to Section 302 of the Sarbanes-Oxley Act of 2002.
 
 
 
 
 
 
 
 
 
X
32.1#
 
Certification of Mark Zuckerberg, Chief Executive Officer, pursuant to 18 U.S.C. Section 1350, as adopted pursuant to Section 906 of the Sarbanes-Oxley Act of 2002.
 
 
 
 
 
 
 
 
 
X
32.2#
 
Certification of David M. Wehner, Chief Financial Officer, pursuant to 18 U.S.C. Section 1350, as adopted pursuant to Section 906 of the Sarbanes-Oxley Act of 2002.
 
 
 
 
 
 
 
 
 
X
101.INS
 
XBRL Instance Document.
 
 
 
 
 
 
 
 
 
X
101.SCH
 
XBRL Taxonomy Extension Schema Document.
 
 
 
 
 
 
 
 
 
X
101.CAL
 
XBRL Taxonomy Extension Calculation Linkbase Document.
 
 
 
 
 
 
 
 
 
X
101.DEF
 
XBRL Taxonomy Extension Definition Linkbase Document.
 
 
 
 
 
 
 
 
 
X
101.LAB
 
XBRL Taxonomy Extension Labels Linkbase Document.
 
 
 
 
 
 
 
 
 
X
101.PRE
 
XBRL Taxonomy Extension Presentation Linkbase Document.
 
 
 
 
 
 
 
 
 
X

+ Indicates a management contract or compensatory plan.    
† Portions of exhibit have been granted confidential treatment by the SEC.
# This certification is deemed not filed for purposes of section 18 of the Securities Exchange Act of 1934, as amended (Exchange
Act), or otherwise subject to the liability of that section, nor shall it be deemed incorporated by reference into any filing under
the Securities Act of 1933, as amended or the Exchange Act.


88






89