10-Q 1 fb-9302012x10q.htm 10-Q FB-9.30.2012-10Q
UNITED STATES
SECURITIES AND EXCHANGE COMMISSION
Washington, D.C. 20549
____________________________________________ 
FORM 10-Q
____________________________________________ 
(Mark One)
x QUARTERLY REPORT PURSUANT TO SECTION 13 OR 15(d) OF THE SECURITIES EXCHANGE ACT OF 1934
For the quarterly period ended September 30, 2012
or
o TRANSITION REPORT PURSUANT TO SECTION 13 OR 15(d) OF THE SECURITIES EXCHANGE ACT OF 1934
For the transition period from            to            .
Commission File Number: 001-35551
____________________________________________ 
FACEBOOK, INC.
(Exact name of registrant as specified in its charter)
____________________________________________ 
Delaware
20-1665019
(State or other jurisdiction of incorporation or organization)
(I.R.S. Employer Identification Number)
1601 Willow Road, Menlo Park, California 94025
(Address of principal executive offices and Zip Code)
(650) 308-7300
(Registrant’s telephone number, including area code)
 ____________________________________________
Indicate by check mark whether the registrant (1) has filed all reports required to be filed by Section 13 or 15(d) of the Securities Exchange Act of 1934 (Exchange Act) during the preceding 12 months (or for such shorter period that the registrant was required to file such reports), and (2) has been subject to such filing requirements for the past 90 days.    Yes  x    No  ¨ 
Indicate by check mark whether the registrant has submitted electronically and posted on its corporate Web site, if any, every Interactive Data File required to be submitted and posted pursuant to Rule 405 of Regulation S-T during the preceding 12 months (or for such shorter period that the registrant was required to submit and post such files).    Yes  x    No  ¨
Indicate by check mark whether the registrant is a large accelerated filer, an accelerated filer, a non-accelerated filer, or a smaller reporting company. See definition of “large accelerated filer,” “accelerated filer” and “smaller reporting company” in Rule 12b-2 of the Exchange Act. (Check one):
Large accelerated filer
 
¨
Accelerated filer
 
¨
 
 
 
 
 
Non-accelerated filer
 
x  (Do not check if a smaller reporting company)
Smaller reporting company
 
¨
Indicate by check mark whether the registrant is a shell company (as defined in Rule 12b-2 of the Exchange Act).    Yes  ¨    No x
Indicate the number of shares outstanding of each of the issuer’s classes of Common Stock, as of the latest practicable date.
Class
Number of Shares Outstanding
Class A Common Stock $0.000006 par value
1,099,471,393 shares outstanding as of October 22, 2012
Class B Common Stock $0.000006 par value
1,066,955,915 shares outstanding as of October 22, 2012



FACEBOOK, INC.
TABLE OF CONTENTS
 
 
 
Page No.
 
 
 
 
 
 
 
Item 1.
 
 
 
 
 
 
 
 
 
 
 
 
 
 
 
 
 
 
 
 
 
 
 
Item 2.
 
 
 
Item 3.
 
 
 
Item 4.
 
 
 
 
 
Item 1.
 
 
 
Item 1A.
 
 
 
Item 2.
 
 
 
Item 6.
 
 


2


NOTE ABOUT FORWARD-LOOKING STATEMENTS
This Quarterly Report on Form 10-Q contains forward-looking statements within the meaning of the Private Securities Litigation Reform Act of 1995. All statements contained in this Quarterly Report on Form 10-Q other than statements of historical fact, including statements regarding our future results of operations and financial position, our business strategy and plans, and our objectives for future operations, are forward-looking statements. The words “believe,” “may,” “will,” “estimate,” “continue,” “anticipate,” “intend,” “expect,” and similar expressions are intended to identify forward-looking statements. We have based these forward-looking statements largely on our current expectations and projections about future events and trends that we believe may affect our financial condition, results of operations, business strategy, short-term and long-term business operations and objectives, and financial needs. These forward-looking statements are subject to a number of risks, uncertainties and assumptions, including those described in Part II, Item 1A. “Risk Factors” in this Quarterly Report on Form 10-Q. Moreover, we operate in a very competitive and rapidly changing environment. New risks emerge from time to time. It is not possible for our management to predict all risks, nor can we assess the impact of all factors on our business or the extent to which any factor, or combination of factors, may cause actual results to differ materially from those contained in any forward-looking statements we may make. In light of these risks, uncertainties and assumptions, the future events and trends discussed in this Quarterly Report on Form 10-Q may not occur and actual results could differ materially and adversely from those anticipated or implied in the forward-looking statements.
We undertake no obligation to revise or publicly release the results of any revision to these forward-looking statements, except as required by law. Given these risks and uncertainties, readers are cautioned not to place undue reliance on such forward-looking statements.
Unless expressly indicated or the context requires otherwise, the terms “Facebook,” “company,” “we,” “us,” and “our” in this document refer to Facebook, Inc., a Delaware corporation, and, where appropriate, its wholly owned subsidiaries. The term “Facebook” may also refer to our products, regardless of the manner in which they are accessed.


3


PART I—FINANCIAL INFORMATION
Item 1.
Financial Statements
FACEBOOK, INC.
CONDENSED CONSOLIDATED BALANCE SHEETS
(In millions, except for number of shares and par value)
(Unaudited)
 
September 30,
2012
 
December 31,
2011
Assets
 
 
 
Current assets:
 
 
 
Cash and cash equivalents
$
2,478

 
$
1,512

Marketable securities
7,974

 
2,396

Accounts receivable, net of allowances for doubtful accounts of $18 and $17 as of September 30, 2012 and December 31, 2011, respectively
635

 
547

Income tax refundable
567

 

Prepaid expenses and other current assets
631

 
149

Total current assets
12,285

 
4,604

Property and equipment, net
2,289

 
1,475

Goodwill and intangible assets, net
1,423

 
162

Other assets
41

 
90

Total assets
$
16,038

 
$
6,331

Liabilities and stockholders’ equity
 
 
 
Current liabilities:
 
 
 
Accounts payable
$
59

 
$
63

Platform partners payable
155

 
171

Accrued expenses and other current liabilities
409

 
296

Deferred revenue and deposits
85

 
90

Current portion of capital lease obligations
372

 
279

Total current liabilities
1,080

 
899

Capital lease obligations, less current portion
530

 
398

Other liabilities
254

 
135

Total liabilities
1,864

 
1,432

Stockholders’ equity:
 
 
 
Convertible preferred stock, $0.000006 par value, issuable in series; no shares and 569 million shares authorized as of September 30, 2012 and December 31, 2011, respectively, no shares and 543 million shares issued and outstanding as of September 30, 2012 and December 31, 2011, respectively

 
615

Common stock, $0.000006 par value; 5,000 million and 4,141 million Class A shares authorized as of September 30, 2012 and December 31, 2011, respectively, 949 million and 117 million shares issued and outstanding as of September 30, 2012 and December 31, 2011, respectively, including 2 million and 1 million outstanding shares subject to repurchase as of September 30, 2012 and December 31, 2011, respectively; 4,141 million Class B shares authorized, 1,217 million and 1,213 million shares issued and outstanding as of September 30, 2012 and December 31, 2011, respectively, including 12 million and 2 million outstanding shares subject to repurchase as of September 30, 2012 and December 31, 2011, respectively

 

Additional paid-in capital
12,585

 
2,684

Accumulated other comprehensive loss
(6
)
 
(6
)
Retained earnings
1,595

 
1,606

Total stockholders’ equity
14,174

 
4,899

Total liabilities and stockholders’ equity
$
16,038

 
$
6,331

See Accompanying Notes to Condensed Consolidated Financial Statements.

4


FACEBOOK, INC.
CONDENSED CONSOLIDATED STATEMENTS OF OPERATIONS
(In millions, except per share amounts)
(Unaudited) 
 
Three Months Ended September 30,
 
Nine Months Ended September 30,
 
2012
 
2011
 
2012
 
2011
Revenue
$
1,262

 
$
954

 
$
3,504

 
$
2,580

Costs and expenses:
 
 
 
 
 
 
 
Cost of revenue
322

 
236

 
967

 
613

Research and development
244

 
108

 
1,102

 
264

Marketing and sales
168

 
114

 
703

 
272

General and administrative
151

 
82

 
717

 
222

Total costs and expenses
885

 
540

 
3,489

 
1,371

Income from operations
377

 
414

 
15

 
1,209

Interest and other income (expense), net:
 
 
 
 
 
 
 
Interest expense
(11
)
 
(10
)
 
(35
)
 
(26
)
Other income (expense), net
6

 
(25
)
 
9

 
(7
)
Income (loss) before provision for income taxes
372

 
379

 
(11
)
 
1,176

Provision for income taxes
431

 
152

 

 
478

Net (loss) income
$
(59
)
 
$
227

 
$
(11
)
 
$
698

Less: Net income attributable to participating securities

 
77

 

 
235

Net (loss) income attributable to Class A and Class B common stockholders
$
(59
)
 
$
150

 
$
(11
)
 
$
463

(Loss) earnings per share attributable to Class A and Class B common stockholders:
 
 
 
 
 
 
 
Basic
$
(0.02
)
 
$
0.11

 
$
(0.01
)
 
$
0.36

Diluted
$
(0.02
)
 
$
0.10

 
$
(0.01
)
 
$
0.32

Weighted average shares used to compute (loss) earnings per share attributable to Class A and Class B common stockholders:
 
 
 
 
 
 
 
Basic
2,420

 
1,316

 
1,884

 
1,283

Diluted
2,420

 
1,520

 
1,884

 
1,507

Share-based compensation expense included in costs and expenses:
 
 
 
 
 
 
 
Cost of revenue
$
8

 
$
3

 
$
79

 
$
6

Research and development
114

 
33

 
719

 
72

Marketing and sales
28

 
13

 
279

 
24

General and administrative
29

 
21

 
311

 
39

Total share-based compensation expense
$
179

 
$
70

 
$
1,388

 
$
141

See Accompanying Notes to Condensed Consolidated Financial Statements.


5


FACEBOOK, INC.
CONDENSED CONSOLIDATED STATEMENTS OF COMPREHENSIVE (LOSS) INCOME
(In millions)
(Unaudited) 
 
Three Months Ended September 30,
 
Nine Months Ended September 30,
 
2012
 
2011
 
2012
 
2011
Net (loss) income
$
(59
)
 
$
227

 
$
(11
)
 
$
698

Other comprehensive income (loss):
 
 
 
 
 
 
 
Foreign currency translation adjustment
21

 
(2
)
 
(1
)
 
(1
)
Change in unrealized gain on available-for-sale investments, net of tax
2

 

 
1

 

Comprehensive (loss) income
$
(36
)
 
$
225

 
$
(11
)
 
$
697

See Accompanying Notes to Condensed Consolidated Financial Statements.


6


FACEBOOK, INC.
CONDENSED CONSOLIDATED STATEMENTS OF CASH FLOWS
(In millions)
(Unaudited)
 
Nine Months Ended September 30,
 
2012
 
2011
Cash flows from operating activities
 
 
 
Net (loss) income
$
(11
)
 
$
698

Adjustments to reconcile net (loss) income to net cash provided by operating activities:
 
 
 
Depreciation and amortization
425

 
220

Loss on write-off of equipment
8

 
6

Share-based compensation
1,388

 
141

Deferred income taxes
(434
)
 
(29
)
Tax benefit from share-based award activity
854

 
405

Excess tax benefit from share-based award activity
(854
)
 
(405
)
Changes in assets and liabilities:
 
 
 
Accounts receivable
(90
)
 
(72
)
Income tax refundable
(567
)
 

Prepaid expenses and other current assets
24

 
(113
)
Other assets

 
(25
)
Accounts payable
20

 
36

Platform partners payable
(16
)
 
91

Accrued expenses and other current liabilities
162

 
(9
)
Deferred revenue and deposits
(5
)
 
44

Other liabilities
27

 
51

Net cash provided by operating activities
931

 
1,039

Cash flows from investing activities
 
 
 
Purchases of property and equipment
(1,037
)
 
(421
)
Purchases of marketable securities
(8,590
)
 
(2,742
)
Sales of marketable securities
571

 
95

Maturities of marketable securities
2,413

 
90

Investments in non-marketable equity securities
(3
)
 
(2
)
Acquisitions of businesses, net of cash acquired, and purchases of intangible and other assets
(911
)
 
(5
)
Change in restricted cash and deposits
(2
)
 
5

Net cash used in investing activities
(7,559
)
 
(2,980
)
Cash flows from financing activities
 
 
 
Net proceeds from issuance of common stock
6,760

 
998

Proceeds from exercise of stock options
9

 
27

Repayment of long term debt

 
(250
)
Proceeds from sale and lease-back transactions
205

 
15

Principal payments on capital lease obligations
(231
)
 
(128
)
Excess tax benefit from share-based award activity
854

 
405

Net cash provided by financing activities
7,597

 
1,067

Effect of exchange rate changes on cash and cash equivalents
(3
)
 
(5
)
Net increase (decrease) in cash and cash equivalents
966

 
(879
)
Cash and cash equivalents at beginning of period
1,512

 
1,785

Cash and cash equivalents at end of period
$
2,478

 
$
906

 
 
 
 
Supplemental cash flow data
 
 
 
Cash paid during the period for:
 
 
 
Interest
$
30

 
$
19

Income taxes
$
184

 
$
179

Non-cash investing and financing activities:
 
 
 
Net change in accounts payable and accrued expenses and other current liabilities related to property and equipment additions
$
(80
)
 
$
62

Property and equipment acquired under capital leases
$
251

 
$
393

Fair value of shares issued related to acquisitions of businesses and other assets
$
275

 
$
46

See Accompanying Notes to Condensed Consolidated Financial Statements.


7


FACEBOOK, INC.
NOTES TO CONDENSED CONSOLIDATED FINANCIAL STATEMENTS
(Unaudited)
Note 1.
Summary of Significant Accounting Policies
Basis of Presentation
The accompanying unaudited condensed consolidated financial statements have been prepared in accordance with generally accepted accounting principles in the United States (GAAP) and applicable rules and regulations of the Securities and Exchange Commission (SEC) regarding interim financial reporting. Certain information and note disclosures normally included in the financial statements prepared in accordance with GAAP have been condensed or omitted pursuant to such rules and regulations. As such, the information included in this quarterly report on Form 10-Q should be read in conjunction with the consolidated financial statements and accompanying notes included in our prospectus filed with the SEC pursuant to Rule 424(b) under the Securities Act of 1933, as amended, on May 18, 2012 (Prospectus).
The condensed consolidated balance sheet as of December 31, 2011, included herein was derived from the audited financial statements as of that date, but does not include all disclosures including notes required by GAAP.
The condensed consolidated financial statements include the accounts of Facebook, Inc. and its wholly owned subsidiaries. All intercompany balances and transactions have been eliminated.
The accompanying unaudited condensed consolidated financial statements reflect all normal recurring adjustments necessary to present fairly the financial position, results of operations, and cash flows for the interim periods, but are not necessarily indicative of the results of operations to be anticipated for the full year ending December 31, 2012.
We have reclassified certain prior period expense amounts from marketing and sales to general and administrative within our condensed consolidated statements of operations to conform to our current period presentation. These reclassifications did not affect revenue, total costs and expenses, income from operations, or net (loss) income.
There have been no changes to our significant accounting policies described in the Prospectus that have had a material impact on our condensed consolidated financial statements and related notes.
Initial Public Offering and Share-based Compensation
In May 2012, we completed our initial public offering (IPO) in which we issued and sold 180 million shares of Class A common stock at a public offering price of $38.00 per share. We received net proceeds of $6.8 billion after deducting underwriting discounts and commissions of $75 million and other offering expenses of approximately $7 million. Upon the closing of the IPO, all shares of our then-outstanding convertible preferred stock automatically converted into an aggregate of 545 million shares of Class B common stock and an aggregate of 336 million shares of Class B common stock converted into Class A common stock.
Restricted stock units (RSUs) granted prior to January 1, 2011 (Pre-2011 RSUs) vest upon the satisfaction of both a service condition and a liquidity condition. The service condition for the majority of these awards is satisfied over four years. The liquidity condition is satisfied upon the occurrence of a qualifying event, defined as a change of control transaction or six months following the completion of our IPO, which occurred in May 2012. The vesting condition that will be satisfied six months following our IPO does not affect the expense attribution period for the RSUs for which the service condition has been met as of the date of our IPO. This six-month period is not a substantive service condition and, accordingly, beginning on the effectiveness of our IPO in May 2012, we recognized a cumulative share-based compensation expense for the portion of the RSUs that had met the service condition. In the three and nine months ended September 30, 2012, we recognized $28 million and $1,014 million, respectively, of share-based compensation expense related to our Pre-2011 RSUs. As of September 30, 2012, we had approximately $164 million of additional future period share-based compensation expense related to our Pre-2011 RSUs to be recognized over a weighted-average period of approximately two years.
RSUs granted on or after January 1, 2011 (Post-2011 RSUs) are not subject to a liquidity condition in order to vest, and compensation expense related to these grants is based on the grant date fair value of the RSUs and is recognized on a straight-line basis over the applicable service period. The majority of Post-2011 RSUs are earned over a service period of four to five years. In the three and nine months ended September 30, 2012, we recognized $138 million and $348 million, respectively, and in the three and nine months ended September 30, 2011, we recognized $59 million and $117 million, respectively, of share-based compensation expense related to the Post-2011 RSUs. As of September 30, 2012 we anticipate $1,871 million of future period expense related to such RSUs will be recognized over a weighted-average period of approximately three years.
As of September 30, 2012, there was $2,302 million of unrecognized share-based compensation expense, of which $2,035 million relates to RSUs, and $267 million relates to restricted shares and stock options. This unrecognized compensation expense

8


is expected to be recognized over a weighted-average period of approximately three years.

Under settlement procedures applicable to the Pre-2011 RSUs, we are permitted to deliver the underlying shares within 30 days before or after the date on which the liquidity condition is satisfied. We previously disclosed in our Current Report on Form 8-K filed with the SEC on September 4, 2012 that we will vest and settle outstanding Pre-2011 RSUs for which the service condition has been satisfied and that are held by employees who were employed by us through October 15, 2012 on October 25, 2012 and such shares will be eligible for sale in the public markets as of market open on October 29, 2012. We will vest and settle outstanding Pre-2011 RSUs held by our non-employee directors and former employees on November 14, 2012.
On the settlement dates, we plan to withhold and remit income taxes for RSU holders at applicable minimum statutory rates based on the closing price of our common stock on the trading day immediately preceding the applicable settlement date. We currently expect that the average of these withholding tax rates will be approximately 45%. If the price of our common stock on the trading day immediately preceding the applicable settlement date were equal to $21.66, the closing price of our Class A common stock on September 30, 2012, we estimate that this tax obligation would be approximately $2.6 billion in the aggregate. The amount of this obligation could be higher or lower, depending on the closing price of our shares on the trading day immediately preceding the applicable settlement date. To settle these RSUs, assuming an approximate 45% tax withholding rate, we estimate that we will net settle by delivering approximately 121 million shares of Class B common stock and withholding approximately 99 million shares of Class B common stock on October 25, 2012 and by delivering approximately 31 million shares of Class B common stock and withholding approximately 20 million shares of Class B common stock on November 14, 2012.
Use of Estimates
Conformity with GAAP requires the use of estimates and judgments that affect the reported amounts in the condensed consolidated financial statements and accompanying notes. These estimates form the basis for judgments we make about the carrying values of our assets and liabilities, which are not readily apparent from other sources. We base our estimates and judgments on historical information and on various other assumptions that we believe are reasonable under the circumstances. GAAP requires us to make estimates and judgments in several areas, including, but not limited to, those related to revenue recognition, collectability of accounts receivable, contingent liabilities, fair value of share-based awards, fair value of financial instruments, fair value of acquired intangible assets and goodwill, useful lives of intangible assets and property and equipment, and income taxes. These estimates are based on management’s knowledge about current events and expectations about actions we may undertake in the future. Actual results could differ materially from those estimates.
Note 2.
Acquisitions
In August 2012, we completed our acquisition of Instagram, Inc. (Instagram), a privately-held company which has built a mobile phone-based photo-sharing service that is expected to enhance our photos product offerings and to enable users to increase their levels of mobile engagement and photo sharing. We have accounted for this transaction as a business acquisition for a total purchase price of $521 million, consisting of the issuance of approximately 12 million vested shares of our Class B common stock to non-employee stockholders of Instagram and $300 million in cash. The value of the equity component of the purchase price was determined for accounting purposes based on the fair value of our common stock on the closing date. We also issued approximately 11 million unvested shares of our Class B common stock to employee stockholders of Instagram on the closing date, with an aggregate fair value of $194 million, which will be recognized as they vest over a three-year service period as share-based compensation expense.
During the nine months ended September 30, 2012, we also completed other business acquisitions for total consideration of $87 million. These acquisitions were not material to our condensed consolidated financial statements individually or in the aggregate. Pro forma results of operations related to our acquisition of Instagram or of other companies during the nine months ended September 30, 2012 have not been presented because they are not material to our condensed consolidated statements of operations, either individually or in the aggregate.


9


The fair value of assets acquired and liabilities assumed for all acquisitions completed during the nine months ended September 30, 2012 was based upon a preliminary valuation and our estimates and assumptions are subject to change within the measurement period. The primary areas of the purchase price that are not yet finalized are related to income taxes and residual goodwill. Measurement period adjustments that we determine to be material will be applied retrospectively to the period of acquisition in our condensed consolidated financial statements and, depending on the nature of the adjustments, other periods subsequent to the period of acquisition could also be affected.
The following table summarizes the allocation of estimated fair values of the assets acquired and liabilities assumed, including those items that are still preliminary allocations, and related useful lives, where applicable:

 
Instagram, Inc.
 
Other
 
(in millions)
Useful lives (in years)
 
(in millions)
Useful lives (in years)
Amortizable intangible assets:
 
 
 
 
 
Acquired technology
$
74

5
 
$
19

3 - 5
Tradename and other
63

2 - 7
 
8

2 - 3
Net liabilities assumed
(1
)
 
 
(4
)
 
Deferred tax liabilities
(50
)
 
 
(9
)
 
Net assets acquired
$
86

 
 
$
14

 
Goodwill
$
435

 
 
$
73

 
Total fair value considerations
$
521

 
 
$
87

 

Goodwill generated from all business acquisitions completed during the nine months ended September 30, 2012 is primarily attributable to expected synergies from future growth and potential monetization opportunities and is not deductible for tax purposes.
During the nine months ended September 30, 2012, we also acquired $633 million of patents and other intellectual property rights. We completed the largest of these intangible asset purchases in June 2012 under an agreement with Microsoft Corporation pursuant to which we were assigned Microsoft’s rights to acquire approximately 615 U.S. patents and patent applications and certain of their foreign counterparts, consisting of approximately 170 foreign patents and patent applications, that were subject to an agreement between AOL Inc. and Microsoft entered into on April 5, 2012. We paid $550 million in cash in exchange for these patents and patent applications. As part of this transaction, we established a deferred tax liability of $49 million to reflect the difference between the future tax basis and book basis in the acquired patents and patent applications, which also increased the capitalized patent cost by this amount. As part of this transaction, we obtained a license to the other AOL patents and patent applications being purchased by Microsoft and granted Microsoft a license to the AOL patents and patent applications that we acquired. The acquisitions of these patents, patent applications and other intellectual property rights were accounted for as asset acquisitions. Patents acquired during the nine months ended September 30, 2012 have estimated useful lives ranging from three to 17 years from the dates of acquisition.
Note 3.
(Loss) Earnings per Share
We compute (loss) earnings per share (EPS) of Class A and Class B common stock using the two-class method required for participating securities. Prior to the date of the IPO, we considered all series of our convertible preferred stock to be participating securities due to their non-cumulative dividend rights. Immediately after the completion of our IPO in May 2012, all outstanding shares of convertible preferred stock converted to Class B common stock. Additionally, we consider restricted stock awards to be participating securities, because holders of such shares have non-forfeitable dividend rights in the event of our declaration of a dividend for common shares.
Undistributed earnings allocated to these participating securities are subtracted from net income in determining net income attributable to common stockholders. Net losses are not allocated to these participating securities. Basic EPS is computed by dividing net (loss) income attributable to common stockholders by the weighted-average number of shares of our Class A and Class B common stock outstanding, adjusted for outstanding shares that are subject to repurchase.
For the calculation of diluted EPS, net income attributable to common stockholders for basic EPS is adjusted by the effect of dilutive securities, including awards under our equity compensation plans. In addition, the computation of the diluted EPS of Class A common stock assumes the conversion from Class B common stock, while the diluted EPS of Class B common stock does not assume the conversion of those shares. Diluted EPS attributable to common stockholders is computed by dividing the

10


resulting net income attributable to common stockholders by the weighted-average number of fully diluted common shares outstanding.
Dilutive securities in our diluted EPS calculation for the three and nine months ended September 30, 2011 do not include Pre-2011 RSUs. Vesting of these RSUs is dependent upon the satisfaction of both a service condition and a liquidity condition. The liquidity condition is satisfied upon the occurrence of a qualifying event, defined as a change of control transaction or six months following the completion of our IPO. Our IPO did not occur until May 2012. Therefore, prior to this date the holders of these RSUs had no rights in our undistributed earnings and accordingly, they are excluded from the effect of basic and dilutive securities. However, subsequent to the completion of our IPO in May 2012, these RSUs are included in our basic and diluted EPS calculation. Post-2011 RSUs are not subject to a liquidity condition in order to vest, and are thus included in the calculation of diluted EPS. For the three and nine months ended September 30, 2012 in which we reported a net loss, we did not allocate any loss to participating securities in the basic and diluted EPS computation. Additionally, we did not include employee stock options, unvested RSUs, and shares subject to repurchase in our calculation of diluted EPS, as the impact of these awards is anti-dilutive.
Basic and diluted EPS are the same for each class of common stock because they are entitled to the same liquidation and dividend rights.


11


The numerators and denominators of the basic and diluted EPS computations for our common stock are calculated as follows (in millions, except per share amounts): 
 
Three Months Ended September 30,
 
Nine Months Ended September 30,
 
2012
 
2011
 
2012
 
2011
 
Class A
 
Class B
 
Class A
 
Class B
 
Class A
 
Class B
 
Class A
 
Class B
Basic EPS:
 
 
 
 
 
 
 
 
 
 
 
 
 
 
 
Numerator
 
 
 
 
 
 
 
 
 
 
 
 
 
 
 
Net (loss) income
$
(19
)
 
$
(40
)
 
$
19

 
$
208

 
$
(3
)
 
$
(8
)
 
$
58

 
$
640

Less: Net income attributable to participating securities

 

 
7

 
70

 

 

 
20

 
215

Net (loss) income attributable to common stockholders
$
(19
)
 
$
(40
)
 
$
12

 
$
138

 
$
(3
)
 
$
(8
)
 
$
38

 
$
425

Denominator
 
 
 
 
 
 
 
 
 
 
 
 
 
 
 
Weighted average shares outstanding
794

 
1,632

 
113

 
1,208

 
431

 
1,457

 
107

 
1,181

Less: Shares subject to repurchase
1

 
5

 
1

 
4

 
1

 
3

 

 
5

Number of shares used for basic EPS computation
793

 
1,627

 
112

 
1,204

 
430

 
1,454

 
107

 
1,176

Basic EPS
$
(0.02
)
 
$
(0.02
)
 
$
0.11

 
$
0.11

 
$
(0.01
)
 
$
(0.01
)
 
$
0.36

 
$
0.36

Diluted EPS:
 
 
 
 
 
 
 
 
 
 
 
 
 
 
 
Numerator
 
 
 
 
 
 
 
 
 
 
 
 
 
 
 
Net (loss) income attributable to common stockholders
$
(19
)
 
$
(40
)
 
$
12

 
$
138

 
$
(3
)
 
$
(8
)
 
$
38

 
$
425

Reallocation of net income attributable to participating securities

 

 
6

 

 

 

 
22

 

Reallocation of net (loss) income as a result of conversion of Class B to Class A common stock
(40
)
 

 
138

 

 
(8
)
 

 
425

 

Reallocation of net income to Class B common stock

 

 

 
8

 

 

 

 
26

Net (loss) income attributable to common stockholders for diluted EPS
$
(59
)
 
$
(40
)
 
$
156

 
$
146

 
$
(11
)
 
$
(8
)
 
$
485

 
$
451

Denominator
 
 
 
 
 
 
 
 
 
 
 
 
 
 
 
Number of shares used for basic EPS computation
793

 
1,627

 
112

 
1,204

 
430

 
1,454

 
107

 
1,176

Conversion of Class B to Class A common stock
1,627

 

 
1,204

 

 
1,454

 

 
1,176

 

Weighted average effect of dilutive securities:
 
 
 
 
 
 
 
 
 
 
 
 
 
 
 
Employee stock options

 

 
188

 
188

 

 

 
212

 
212

RSUs

 

 
10

 
10

 

 

 
5

 
5

Shares subject to repurchase

 

 
4

 
4

 

 

 
4

 
4

Warrants

 

 
2

 
2

 

 

 
3

 
3

Number of shares used for diluted EPS computation
2,420

 
1,627

 
1,520

 
1,408

 
1,884

 
1,454

 
1,507

 
1,400

Diluted EPS
$
(0.02
)
 
$
(0.02
)
 
$
0.10

 
$
0.10

 
$
(0.01
)
 
$
(0.01
)
 
$
0.32

 
$
0.32


12


Note 4.
Property and Equipment
Property and equipment consisted of the following (in millions):
 
 
September 30,
2012
 
December 31,
2011
Network equipment
$
1,628

 
$
1,016

Land
35

 
34

Buildings
454

 
355

Leasehold improvements
163

 
120

Computer software, office equipment and other
88

 
73

Construction in progress
655

 
327

Total
3,023

 
1,925

Accumulated depreciation and amortization
(734
)
 
(450
)
Property and equipment, net
$
2,289

 
$
1,475

Construction in progress includes costs primarily related to the construction of data centers and equipment located in our new data centers in Oregon, North Carolina and Sweden.
Note 5.
Goodwill and Other Intangible Assets
Goodwill and other intangible assets, and related useful lives, where applicable, consisted of the following (in millions, except indicated otherwise):
 
 
Useful lives from date of acquisitions (in years)
September 30,
2012
 
December 31,
2011
Amortizable intangible assets:
 
 
 
 
Acquired patents
3 - 18
$
684

 
$
51

Acquired technology
2 - 10
131

 
38

Tradename and other
2 - 7
94

 
23

Accumulated amortization
 
(76
)
 
(32
)
Net acquired intangible assets
 
833

 
80

Goodwill
 
590

 
82

Goodwill and intangible assets
 
$
1,423

 
$
162

Amortization expense of intangible assets for the three and nine months ended September 30, 2012 was $31 million and $44 million, respectively, and for the three and nine months ended September 30, 2011 was $5 million and $15 million, respectively.
Estimated amortization expense for the unamortized acquired intangible assets as of September 30, 2012 for the next five years and thereafter is as follows (in millions):
 
The remainder of 2012
$
34

2013
126

2014
120

2015
112

2016
101

2017
85

Thereafter
255

 
$
833


13


Note 6.
Fair Value Measurements
Assets measured at fair value on a recurring basis are summarized below (in millions):
 
 
 
 
Fair Value Measurement at
Reporting Date Using
Description
September 30, 2012
 
Quoted Prices
in Active
Markets for
Identical Assets
(Level 1)
 
Significant
Other
Observable
Inputs
(Level 2)
 
Significant
Unobservable
Inputs
(Level 3)
Cash equivalents:
 
 
 
 
 
 
 
Money market funds
$
730

 
$
730

 
$

 
$

U.S. government securities
234

 
234

 

 

U.S. government agency securities
208

 
208

 

 

Marketable securities:
 
 
 
 
 
 
 
U.S. government securities
5,644

 
5,644

 

 

U.S. government agency securities
2,330

 
2,330

 

 

Total cash equivalents and marketable securities
$
9,146

 
$
9,146

 
$

 
$


 
 
 
Fair Value Measurement at
Reporting Date Using
Description
December 31, 2011
 
Quoted Prices
in Active
Markets for
Identical Assets
(Level 1)
 
Significant
Other
Observable
Inputs
(Level 2)
 
Significant
Unobservable
Inputs
(Level 3)
Cash equivalents:
 
 
 
 
 
 
 
Money market funds
$
892

 
$
892

 
$

 
$

U.S. government securities
60

 
60

 

 

U.S. government agency securities
50

 
50

 

 

Marketable securities:
 
 
 
 
 
 
 
U.S. government securities
1,415

 
1,415

 

 

U.S. government agency securities
981

 
981

 

 

Total cash equivalents and marketable securities
$
3,398

 
$
3,398

 
$

 
$

Gross unrealized gains or losses for cash equivalents and marketable securities as of September 30, 2012 and December 31, 2011 were not material.
The following table classifies our marketable securities by contractual maturities as of September 30, 2012 (in millions):
 
 
Fair Value
Due in one year
$
5,658

Due in one to two years
2,316

 
$
7,974

Note 7.
Commitments and Contingencies
Leases
We have entered into various capital lease arrangements to obtain property and equipment for our operations. Additionally, on occasion we have purchased property and equipment for which we have subsequently obtained capital financing under sale-leaseback transactions. These agreements are typically for three years except for building leases which are for 15 years, with interest rates ranging from 1% to 13%. The leases are secured by the underlying leased buildings and equipment. We have also entered into various non-cancelable operating lease agreements for certain of our offices, equipment, land and data centers with original lease periods expiring between 2012 and 2027. We are committed to pay a portion of the related actual operating expenses

14


under certain of these lease agreements. Certain of these arrangements have free rent periods and/or escalating rent payment provisions, and we recognize rent expense under such arrangements on a straight-line basis.
Operating lease expense totaled $50 million and $151 million for the three and nine months ended September 30, 2012, and $52 million and $171 million for the three and nine months ended September 30, 2011.

Contingencies
Legal Matters

On March 12, 2012, Yahoo filed a lawsuit against us in the U.S. District Court for the Northern District of California, claiming that we infringe ten of Yahoo’s patents that Yahoo claimed relate to “advertising,” “social networking,” “privacy,” “customization,” and “messaging,” and on April 27, 2012 Yahoo added two patents to the lawsuit that Yahoo claims relate to “advertising.” Yahoo sought unspecified damages, a damage multiplier for alleged willful infringement, and an injunction. On April 3, 2012, we filed our answer with respect to this complaint and asserted counterclaims that Yahoo’s products infringe ten of our patents. On July 6, 2012, the parties entered into a settlement agreement resolving all claims made in the litigation. On July 9, 2012, the parties filed a stipulated dismissal of the litigation with the U.S. District Court for the Northern District of California and this litigation was dismissed on July 10, 2012. We have no payment obligations under this settlement agreement.

Beginning on May 22, 2012, multiple putative class actions, derivative actions, and individual actions were filed in state and federal courts in the United States and in other jurisdictions against us, our directors, and/or certain of our officers alleging violation of securities laws or breach of fiduciary duties in connection with our IPO and seeking unspecified damages. We believe these lawsuits are without merit, and we intend to continue to vigorously defend them. On October 4, 2012, on our motion, the vast majority of the cases in the United States, along with multiple cases filed against The NASDAQ OMX Group, Inc. and The Nasdaq Stock Market LLC (collectively referred to herein as NASDAQ) alleging technical and other trading-related errors by NASDAQ in connection with our IPO, were ordered centralized for coordinated or consolidated pre-trial proceedings in the United States District Court for the Southern District of New York. In addition, the events surrounding our IPO have become the subject of various government inquiries, and we are cooperating with those inquiries.
We are also party to various legal proceedings and claims which arise in the ordinary course of business.
In the opinion of management, there was not at least a reasonable possibility we may have incurred a material loss, or a material loss in excess of a recorded accrual, with respect to loss contingencies relating to the matters set forth above. However, the outcome of litigation is inherently uncertain. Therefore, although management considers the likelihood of such an outcome to be remote, if one or more of these legal matters were resolved against us in the same reporting period for amounts in excess of management’s expectations, our condensed consolidated financial statements of a particular reporting period could be materially adversely affected.
Credit Facilities
In February 2012, we entered into an agreement for an unsecured five-year revolving credit facility that allows us to borrow up to $5,000 million for general corporate purposes, with interest payable on the borrowed amounts set at London Interbank Offered Rate (LIBOR) plus 1.0%. Under the terms of the agreement, we are obligated to pay a commitment fee of 0.10% per annum on the daily undrawn balance. No amounts were drawn down under this credit facility as of September 30, 2012.
Concurrent with our entering into the revolving credit facility, we also entered into a bridge credit facility agreement that allows us to borrow up to $3,000 million to fund tax withholding and remittance obligations related to the settlement of RSUs in connection with our IPO, with interest payable on the borrowed amounts set at LIBOR plus 1.0% and an additional 0.25% payable on drawn balances outstanding from and after the 180th day of borrowing. Any amounts outstanding under this facility will be due one year after the date we draw on the facility but no later than June 30, 2014. Under the terms of the agreement, we are obligated to pay a commitment fee of 0.10% per annum on the daily undrawn balance from and after the 90th day following the date we entered into the bridge facility. In October 2012, we amended and restated our existing bridge credit facility (the Amended and Restated Term Loan) and converted it into a three-year unsecured term loan facility that allows us to borrow up to $1,500 million. See Note 11 Subsequent Event for information on the Amended and Restated Term Loan.
No amounts were drawn down under the bridge credit facility agreement as of September 30, 2012.

15


Note 8.
Stockholders’ Equity
Share-based Compensation Plans
We maintain three share-based employee compensation plans: the 2012 Equity Incentive Plan, the 2005 Stock Plan and the 2005 Officers’ Stock Plan (Stock Plans). In January 2012, our board of directors approved our 2012 Equity Incentive Plan (2012 Plan), and in April 2012 our stockholders adopted the 2012 Plan, effective on May 17, 2012, which serves as the successor to our 2005 Stock Plan and provides for the issuance of incentive and nonstatutory stock options, restricted stock awards, stock appreciation rights, RSUs, performance shares and stock bonuses to qualified employees, directors and consultants. No new awards will be issued under the 2005 Stock Plan as of the effective date of the 2012 Plan. Outstanding awards under the 2005 Stock Plan continue to be subject to the terms and conditions of the 2005 Stock Plan. Shares available for grant under the 2005 Stock Plan, which were reserved but not issued or subject to outstanding awards under the 2005 Stock Plan as of the effective date, were added to the reserves of the 2012 Plan.
We have initially reserved 25,000,000 shares of our Class A common stock for issuance under our 2012 Plan. The number of shares reserved for issuance under our 2012 Plan will increase automatically on the first day of January of each of 2013 through 2022 by a number of shares of Class A common stock equal to (i) the lesser of 2.5% of the total outstanding shares our common stock as of the immediately preceding December 31st or (ii) a number of shares determined by the board of directors. The maximum term for stock options granted under the 2012 Plan may not exceed ten years from the date of grant. Our 2012 Plan will terminate ten years from the date of approval unless it is terminated earlier by our compensation committee.
The 2005 Officers’ Stock Plan provides for the issuance of up to 120,000,000 shares of incentive and nonstatutory stock options to certain of our employees or officers. The 2005 Officers’ Stock Plan will terminate ten years after its adoption unless terminated earlier by our compensation committee. Stock options become vested and exercisable at such times and under such conditions as determined by our compensation committee on the date of grant. In November 2005, we issued a nonstatutory stock option to our CEO to purchase 120,000,000 shares of our Class B common stock under the 2005 Officers’ Stock Plan. As of September 30, 2012, the option had been partially exercised in respect of 60,000,000 shares with the remainder remaining outstanding and fully vested, and no options were available for future issuance under the 2005 Officers’ Stock Plan.
The following table summarizes the stock option and RSU award activity under the Stock Plans during the nine months ended September 30, 2012:
 
 
 
 
Shares Subject to Options Outstanding
 
Outstanding RSUs
 
Shares
Available
for Grant
 
Number of
Shares
 
Weighted
Average
Exercise
Price
 
Weighted-
Average
Remaining
Contractual
Term
 
Aggregate
Intrinsic
Value(1)
 
Outstanding
RSUs
 
Weighted
Average
Grant
Date Fair
Value
 
(in thousands)
 
(in thousands)
 
 
 
(in years)
 
(in millions)
 
(in thousands)
 
 
Balance as of December 31, 2011
52,318

 
258,539

 
$
0.47

 
4.38
 
$
7,360

 
378,772

 
$
6.83

RSUs granted
(33,865
)
 

 
 
 
 
 
 
 
33,865

 
34.69

Stock options exercised

 
(84,568
)
 
0.11

 
 
 
 
 

 
 
Stock options forfeited/cancelled
584

 
(584
)
 
0.62

 
 
 
 
 

 
 
RSUs forfeited and cancelled
9,089

 

 
 
 
 
 
 
 
(9,089
)
 
19.32

2012 Equity Incentive Plan shares authorized
25,000

 
 
 
 
 
 
 
 
 
 
 
 
Balance as of September 30, 2012
53,126

 
173,387

 
$
0.65

 
3.83
 
$
3,643

 
403,548

 
$
8.89

 
(1)
The aggregate intrinsic value is calculated as the difference between the exercise price of the underlying stock option awards and the assessed fair value of our common stock as of December 31, 2011 and the closing price of our common stock on September 30, 2012.

16


Note 9.
Income Taxes
Our tax provision for interim periods is determined using an estimate of our annual effective tax rate, adjusted for discrete items arising in that quarter. In each quarter we update our estimate of the annual effective tax rate, and if our estimated annual tax rate changes, we make a cumulative adjustment in that quarter. Our quarterly tax provision, and our quarterly estimate of our annual effective tax rate, are subject to significant volatility due to several factors, including our ability to accurately predict our income (loss) before provision for income taxes in multiple jurisdictions, including the portions of our share-based compensation that will not generate tax benefits, and the effects of acquisitions and the integration of those acquisitions. In addition, our effective tax rate can be more or less volatile based on the amount of income (loss) before provision for income taxes. For example, the impact of non-deductible share based compensation expenses on our effective tax rate is significantly greater when our income (loss) before provision for income taxes is lower.
Our effective tax rate has exceeded the U.S. statutory rate primarily because of the impact of non-deductible share-based compensation and losses arising outside the United States in jurisdictions where we do not receive a tax benefit. These losses were primarily due to the initial start-up costs incurred by our foreign subsidiaries to operate in certain foreign markets, including the costs incurred by those subsidiaries to license, develop, and use our intellectual property. Our effective tax rate in the future will depend on the portion of our profits earned within and outside the United States, which will also be affected by our methodologies for valuing our intellectual property and intercompany transactions.
Our effective tax rate in the three months ended September 30, 2012 exceeded our effective tax rate in the three months ended September 30, 2011 because the impact of non-deductible share-based compensation and the losses arising outside the United States in jurisdictions where we do not receive a tax benefit are proportionately larger relative to income (loss) before provision for income taxes in 2012 than in 2011. Our effective tax rate in the three months ended September 30, 2012 was also higher due to the expiration of the federal tax credit for research and development activities.
Our effective tax rate in the nine months ended September 30, 2012 was zero. This occurred because the discrete tax items that arose during the nine months ended September 30, 2012 offset the tax benefit as determined based on an estimate of our annual effective tax rate as applied to our loss before provision for income taxes for the nine months ended September 30, 2012. Our effective tax rate in the nine months ended September 30, 2012 was lower than our effective tax rate in the nine months ended September 30, 2011 due to this effect.
Our income tax refundable was $567 million as of September 30, 2012, which reflects the expected refund of estimated income tax payments made in 2012 and the expected refund from income tax loss carrybacks to 2010 and 2011. Our net deferred tax assets were $399 million as of September 30, 2012, which is an increase of $339 million from December 31, 2011. This increase is primarily due to the recognition of tax benefits related to share-based compensation, offset by deferred tax liabilities established as part of our purchase accounting related to our acquisitions in the nine months ended September 30, 2012.
We are subject to taxation in the United States and various other state and foreign jurisdictions. The material jurisdictions in which we are subject to potential examination include the United States and Ireland. We are under examination by the Internal Revenue Service (IRS) for our 2008 and 2009 tax years. We believe that adequate amounts have been reserved for any adjustments that may ultimately result from these examinations and we do not anticipate a significant impact to our gross unrecognized tax benefits within the next 12 months related to these years. Our 2010 and subsequent tax years remain subject to examination by the IRS and all tax years starting in 2008 remain subject to examination in Ireland. We remain subject to possible examinations or are undergoing audits in various other jurisdictions that are not material to our financial statements.
Although the timing of the resolution, settlement, and closure of any audits is highly uncertain, it is reasonably possible that the balance of gross unrecognized tax benefits could significantly change in the next 12 months. However, given the number of years remaining that are subject to examination, we are unable to estimate the full range of possible adjustments to the balance of gross unrecognized tax benefits.

17


Note 10.
Geographical Information
Revenue by geography is based on the billing address of the advertiser or Platform developer. The following tables set forth revenue and long-lived assets by geographic area (in millions):
 
Three Months Ended September 30,
 
Nine Months Ended September 30,
 
2012
 
2011
 
2012
 
2011
Revenue:
 
 
 
 
 
 
 
United States
$
665

 
$
543

 
$
1,789

 
$
1,485

Rest of the world (1)
597

 
411

 
1,715

 
1,095

Total revenue
$
1,262

 
$
954

 
$
3,504

 
$
2,580

 
(1)
No individual country exceeded 10% of our total revenue for any period presented

 
September 30,
2012
 
December 31,
2011
Long-lived assets:
 
 
 
United States
$
2,113

 
$
1,444

Rest of the world(1)
176

 
31

Total long-lived assets
$
2,289

 
$
1,475

 
(1)
No individual country exceeded 10% of our total long-lived assets for any period presented
Note 11.
Subsequent Events

In October 2012, we amended and restated our existing bridge credit facility, converting it into the Amended and Restated Term Loan, an unsecured term loan facility that allows us to borrow up to $1,500 million to fund tax withholding and remittance obligations related to the settlement of RSUs in connection with our IPO with interest payable on the borrowed amounts set at LIBOR plus 1.0%. We paid origination fees at closing of the Amended and Restated Term Loan, which fees are being amortized over the term of the facility. We are also obligated to pay an additional upfront fee of 0.15% of the aggregate amount of the borrowings requested on any applicable funding date, which would be amortized over the remaining term of the facility, as well as an annual commitment fee of 0.10% on the daily undrawn balance of the facility. We may make up to two borrowings under the Amended and Restated Term Loan prior to November 20, 2012. Any amounts outstanding under this facility will become due and payable upon the third anniversary date of the initial borrowing. As we previously disclosed in our Current Report on Form 8-K filed with the SEC on October 15, 2012, we currently expect to use borrowings under the Amended and Restated Term Loan to cover approximately half of the withholding tax liability that will arise when approximately 271 million RSUs vest and settle in October and November 2012, and that the average of the withholding tax rates will be approximately 45%.

18


Item 2.
Management’s Discussion and Analysis of Financial Condition and Results of Operations
You should read the following discussion of our financial condition and results of operations in conjunction with the condensed consolidated financial statements and the notes thereto included elsewhere in this Quarterly Report on Form 10-Q and with our audited consolidated financial statements included in our prospectus filed pursuant to Rule 424(b) under the Securities Act of 1933, as amended, with the Securities and Exchange Commission on May 18, 2012 (Prospectus). In addition to historical condensed consolidated financial information, the following discussion contains forward-looking statements that reflect our plans, estimates, and beliefs. Our actual results could differ materially from those discussed in the forward-looking statements. Factors that could cause or contribute to these differences include those discussed below and elsewhere in this Quarterly Report on Form 10-Q, particularly in Part II, Item 1A. “Risk Factors.” For a discussion of limitations in the measurement of certain of our user metrics, see the section entitled “—Limitations of Key Metrics.”
Overview
Our mission is to make the world more open and connected. Facebook enables you to express yourself and connect with the world around you instantly and freely.
We build products that support our mission by creating utility for users, developers, and advertisers:
Users. We enable people who use Facebook to stay connected with their friends and family, to discover what is going on in the world around them, and to share and express what matters to them to the people they care about.
Developers. We enable developers to use the Facebook Platform to build applications (apps) and websites that integrate with Facebook to reach our global network of users and to build products that are more personalized, social, and engaging.
Advertisers. We enable advertisers to engage with more than one billion monthly active users (MAUs) on Facebook or subsets of our users based on information they have chosen to share with us such as their age, location, gender, or interests. We offer advertisers a unique combination of reach, relevance, social context, and engagement to enhance the value of their ads.
We generate substantially all of our revenue from advertising and from fees associated with our Payments infrastructure that enables users to purchase virtual and digital goods from our Platform developers. In the third quarter of 2012, we recorded revenue of $1,262 million, income from operations of $377 million and net loss of $59 million. In the first nine months of 2012, we recorded revenue of $3,504 million, income from operations of $15 million and net loss of $11 million. Total costs and expenses grew more than revenue, due to increased headcount and significant increases in share-based compensation and related payroll tax expenses for restricted stock units (RSUs) during the third quarter and the first nine months of 2012. During the third quarter and the first nine months of 2012, we recognized $148 million and $1,510 million, respectively, of share-based compensation and related payroll tax expenses. Of these amounts, $1,098 million was due to the recognition of share-based compensation and related payroll tax expenses related to RSUs granted prior to January 1, 2011 (Pre-2011 RSUs) triggered by the completion of our initial public offering (IPO) in May 2012. For the third quarter of 2012, we incurred a net loss despite generating income before provision for income taxes due to our effective tax rate exceeding 100%. Our effective tax rate has exceeded the U.S. statutory rate primarily due to the impact of non-deductible share-based compensation and losses arising outside the United States in jurisdictions where we do not receive a tax benefit.

19


Trends in Our User Metrics
Monthly Active Users (MAUs). We define a monthly active user as a registered Facebook user who logged in and visited Facebook through our website or a mobile device, or took an action to share content or activity with his or her Facebook friends or connections via a third-party website that is integrated with Facebook, in the last 30 days as of the date of measurement. MAUs are a measure of the size of our global active user community, which has grown substantially in the past several years.     
Note: For purposes of reporting MAUs, DAUs, and ARPU by geographic region, Europe includes all users in Russia and Turkey, Asia includes all users in Australia and New Zealand, and Rest of World includes Africa, Latin America, and the Middle East. In June 2012, we discovered an error in the algorithm we used to estimate the geographic location of our users that affected our attribution of certain user locations for the first quarter of 2012. While this issue did not affect our overall worldwide MAU number, it did affect our attribution of users to different geographic regions. The first quarter of 2012 user metrics reflect the reclassification to more correctly attribute users by geographic region.
As of September 30, 2012, we had 1.01 billion MAUs, an increase of 26% from September 30, 2011. Users in Brazil, India, and Japan represented key sources of growth in the third quarter of 2012 relative to the prior year. We had 61 million MAUs in Brazil as of September 30, 2012, an increase of 109% compared to the same period in 2011; we had 65 million MAUs in India as of September 30, 2012, an increase of 62% compared to the same period in 2011; and we had 18 million MAUs in Japan as of September 30, 2012, an increase of 218% compared to the same period in 2011. Additionally, we had 171 million MAUs in the United States as of September 30, 2012, an increase of 8% compared to the same period in 2011.

20



Daily Active Users (DAUs). We define a daily active user as a registered Facebook user who logged in and visited Facebook through our website or a mobile device, or took an action to share content or activity with his or her Facebook friends or connections via a third-party website that is integrated with Facebook, on a given day. We view DAUs, and DAUs as a percentage of MAUs, as measures of user engagement.
Note: For non-worldwide DAU user numbers presented for the periods marked March 31, 2012 and June 30, 2012, the figures represent an average of the first 25 days of the period and the last 27 days of the period, respectively, in order to avoid using data subject to the algorithm error described in the MAU section above. These average numbers do not meaningfully differ from the average numbers when calculated over a full month.
Worldwide DAUs increased 28% to 584 million on average during September 2012 from 457 million during September 2011. We experienced growth in DAUs across major markets including Brazil, India and Japan. Overall growth in DAUs was driven largely by increased mobile usage of Facebook. Relative to June 30, 2012, DAUs increased from 552 million to 584 million, primarily due to an increase in mobile users. During the third quarter of 2012, the number of DAUs using personal computers increased modestly compared to the second quarter of 2012, but in certain key markets such as the United States and Europe the number of DAUs using personal computers was essentially flat quarter-over-quarter after having decreased modestly during the second quarter of 2012.


21



Mobile MAUs. We define a mobile MAU as a user who accessed Facebook via a mobile app or via mobile-optimized versions of our website such as m.facebook.com, whether on a mobile phone or tablet such as the iPad, during the period of measurement.

Worldwide mobile MAUs increased by 61% from 376 million as of September 30, 2011 to 604 million as of September 30, 2012. In all regions, an increasing number of our MAUs are accessing Facebook through mobile devices, with users in India, Brazil and the United States representing key sources of mobile growth over this period. Approximately 126 million mobile MAUs accessed Facebook solely through mobile apps or our mobile website during the month ended September 30, 2012, increasing 24% from 102 million during the month ended June 30, 2012. The remaining 478 million mobile MAUs accessed Facebook from both personal computers and mobile devices during that month. While most of our mobile users also access Facebook through personal computers, we anticipate that the rate of growth in mobile usage will exceed the growth in usage through personal computers for the foreseeable future and that the usage through personal computers may be flat or continue to decline in certain markets, including key developed markets such as the United States, in part due to our focus on developing mobile products to encourage mobile usage of Facebook.
The number of MAUs, DAUs and mobile MAUs discussed above do not include Instagram users unless such users would otherwise qualify as MAUs, DAUs and mobile MAUs, respectively, based on activity that is shared back to Facebook.

22



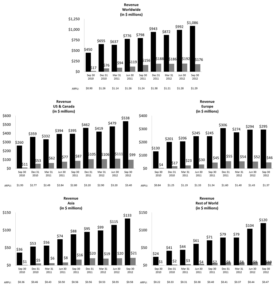
 Trends in Our Monetization by User Geography
We calculate our revenue by user geography based on our estimate of the geography in which ad impressions are delivered or virtual goods are purchased. We define average revenue per user (ARPU) as our total revenue in a given geography during a given period, divided by the average of the number of MAUs in the geography at the beginning and end of the period. Our revenue and ARPU in markets such as the United States, Canada, and Europe are relatively higher due to the size and maturity of those advertising markets as well as our greater sales presence and the number of payment methods that we make available to advertisers and users.
 
Note: Our revenue by user geography in the charts above is geographically apportioned based on our estimation of the geographic location of our users when they perform a revenue-generating activity. This allocation differs from our revenue by geography disclosure in our consolidated financial statements where revenue is geographically apportioned based on the location of the advertiser or developer. In June 2012, we discovered an error in the algorithm we used to estimate the geographic location of our users that affected our attribution of certain user locations for the first quarter of 2012. The first quarter of 2012 ARPU amount for the United States & Canada region reflects an adjustment based on the reclassification to more correctly attribute users by geographic region.



23


During the third quarter of 2012, worldwide ARPU was $1.29, an increase of 4% from the third quarter of 2011. Over this period, ARPU increased by approximately 20% in the United States and Canada and Rest of World, and by 4% and 2% in Asia and Europe, respectively. ARPU in Europe declined compared to the second quarter of 2012 due primarily to a decline in Payments and other fees revenue and Advertising revenue being flat due, we believe, to seasonality traditionally experienced in the third quarter. User growth was more rapid in geographies with relatively lower ARPU, such as Asia and Rest of World. We expect that user growth in the future will continue to be higher in those regions where ARPU is relatively lower, such as Asia and Rest of World, such that worldwide ARPU may continue to increase at a slower rate relative to ARPU in any geographic region, or potentially decrease even if ARPU increases in each geographic region.

Limitations of Key Metrics
The numbers of our MAUs and DAUs and ARPU are calculated using internal company data based on the activity of user accounts. While these numbers are based on what we believe to be reasonable estimates of our user base for the applicable period of measurement, there are inherent challenges in measuring usage of our products across large online and mobile populations around the world. For example, there may be individuals who maintain one or more Facebook accounts in violation of our terms of service, despite our efforts to detect and suppress such behavior. We estimate, for example, that “duplicate” accounts (an account that a user maintains in addition to his or her principal account) may have represented approximately 4.8% of our worldwide MAUs as of June 30, 2012. We also seek to identify “false” accounts, which we divide into two categories: (1) user-misclassified accounts, where users have created personal profiles for a business, organization, or non-human entity such as a pet (such entities are permitted on Facebook using a Page rather than a personal profile under our terms of service); and (2) undesirable accounts, which represent user profiles that we determine are intended to be used for purposes that violate our terms of service, such as spamming. As of June 30, 2012, for example, we estimate user-misclassified accounts may have represented approximately 2.4% of our worldwide MAUs and undesirable accounts may have represented approximately 1.5% of our worldwide MAUs. We believe the percentage of accounts that are duplicate or false is meaningfully lower in developed markets such as the United States or Australia and higher in developing markets such as Indonesia and Turkey. However, these estimates are based on an internal review of a limited sample of accounts and we apply significant judgment in making this determination, such as identifying names that appear to be fake or other behavior that appears inauthentic to the reviewers. As such, our estimation of duplicate or false accounts may not accurately represent the actual number of such accounts. We are continually seeking to improve our ability to identify duplicate or false accounts and estimate the total number of such accounts, and such estimates may be affected by improvements or changes in our methodology.
Our metrics are also affected by applications on certain mobile devices that automatically contact our servers for regular updates with no user action involved, and this activity can cause our system to count the user associated with such a device as an active user on the day such contact occurs. For example, we estimate that less than 5% of our estimated worldwide DAUs as of December 31, 2011 and 2010 resulted from this type of automatic mobile activity, and that this type of activity had a substantially smaller effect on our estimate of worldwide MAUs and mobile MAUs. The impact of this automatic activity on our metrics varies by geography because mobile usage varies in different regions of the world. In addition, our data regarding the geographic location of our users is estimated based on a number of factors, such as the user’s IP address and self-disclosed location. These factors may not always accurately reflect the user’s actual location. For example, a mobile-only user may appear to be accessing Facebook from the location of the proxy server that the user connects to rather than from the user’s actual location. The methodologies used to measure user metrics may also be susceptible to algorithm or other technical errors. For example, in early June 2012, we discovered an error in the algorithm we used to estimate the geographic location of our users that affected our attribution of certain user locations for the period ended March 31, 2012. While this issue did not affect our overall worldwide MAU number, it did affect our attribution of users to different geographic regions. We estimate that the number of MAUs as of March 31, 2012 for the United States and Canada region was overstated as a result of the error by approximately 3% and these overstatements were offset by understatements in other regions. In addition, our estimates for revenue by user location are also affected by these factors. We regularly review and may adjust our processes for calculating these metrics to improve their accuracy. In addition, our MAU and DAU estimates will differ from estimates published by third parties due to differences in methodology. For example, some third parties are not able to accurately measure mobile users or do not count mobile users for certain user groups or at all in their analyses.


24


Components of Results of Operations
Revenue
We generate substantially all of our revenue from advertising and from fees associated with our Payments infrastructure that enables users to purchase virtual and digital goods from our Platform developers.
Advertising. Our advertising revenue is generated by displaying ad products on the Facebook website or mobile app and third-party affiliated websites. Advertisers pay for ad products which include Sponsored Stories in News Feed, either directly or through their relationships with advertising agencies, based on the number of impressions delivered or the number of clicks made by our users. We recognize revenue from the delivery of click-based ads or Sponsored Stories in the period in which a user clicks on the content. We recognize revenue from the display of impression-based ads or Sponsored Stories in the contracted period in which the impressions are delivered. Impressions are considered delivered when an ad or Sponsored Story is displayed to users. An individual Sponsored Story in News Feed that is purchased on an impression basis may be displayed to users more than once during a day; however, in general, only the initial display of the Sponsored Story is considered an impression, regardless of how many times the ad is actually displayed within the News Feed.
Payments and other fees. We enable Payments from our users to our Platform developers. Our users can transact and make payments on the Facebook Platform by using credit cards, PayPal or other payment methods available on our website. We receive a fee from our Platform developers when users make purchases from our Platform developers using our Payments infrastructure. We recognize revenue net of amounts remitted to our Platform developers. We have mandated the use of our Payments infrastructure for game apps on Facebook, and fees related to Payments are generated almost exclusively from games. Cumulatively to date, games from Zynga have generated the majority of our payments and other fees revenue. However, Zynga's contribution to our payments and other fees revenue has decreased over time and this trend may continue. Our other fees revenue has been immaterial in recent periods.
Cost of Revenue and Operating Expenses
Cost of revenue. Our cost of revenue consists primarily of expenses associated with the delivery and distribution of our products. These include expenses related to the operation of our data centers such as facility and server equipment depreciation, facility and server equipment rent expense, energy and bandwidth costs, support and maintenance costs, and salaries, benefits, and share-based compensation for employees on our operations teams. Cost of revenue also includes credit card and other transaction fees related to processing customer transactions.
Research and development. Research and development expenses consist primarily of salaries, benefits, and share-based compensation for employees on our engineering and technical teams who are responsible for building new products as well as improving existing products. We expense all of our research and development costs as they are incurred.
Marketing and sales. Our marketing and sales expenses consist primarily of salaries, benefits, and share-based compensation for our employees engaged in sales, sales support, marketing, business development, and customer service functions. Our marketing and sales expenses also include user-, developer-, and advertiser-facing marketing and promotional expenditures.
General and administrative. Our general and administrative expenses consist primarily of salaries, benefits, and share-based compensation for our executives as well as our legal, finance, human resources, corporate communications and policy, and other administrative employees. In addition, general and administrative expenses include outside consulting fees, legal and accounting services, and facilities and other supporting overhead costs. General and administrative expenses also include legal settlements.
We have reclassified certain prior period expense amounts from marketing and sales to general and administrative within our condensed consolidated statements of operations to conform to our current period presentation. These reclassifications did not affect revenue, total costs and expenses, income from operations, or net (loss) income.





25


Results of Operations
The following table summarizes our historical condensed consolidated statements of operations data (in millions):
 
 
Three Months Ended September 30,
 
Nine Months Ended September 30,
 
2012
 
2011
 
2012
 
2011
Revenue
$
1,262

 
$
954

 
$
3,504

 
$
2,580

Costs and expenses:
 
 
 
 
 
 
 
Cost of revenue
322

 
236

 
967

 
613

Research and development
244

 
108

 
1,102

 
264

Marketing and sales
168

 
114

 
703

 
272

General and administrative
151

 
82

 
717

 
222

Total costs and expenses
885

 
540

 
3,489

 
1,371

Income from operations
377

 
414

 
15

 
1,209

Net (loss) income
$
(59
)
 
$
227

 
$
(11
)
 
$
698

Share-based compensation expense included in costs and expenses:
 
 
 
 
 
 
 
Cost of revenue
8

 
3

 
79

 
6

Research and development
114

 
33

 
719

 
72

Marketing and sales
28

 
13

 
279

 
24

General and administrative
29

 
21

 
311

 
39

Total share-based compensation expense
$
179

 
$
70

 
$
1,388

 
$
141


The following table summarizes our historical condensed consolidated statements of operations data as a percentage of revenue for the periods shown:
 
 
Three Months Ended September 30,
 
Nine Months Ended September 30,
 
2012
 
2011
 
2012
 
2011
Revenue
100
 %
 
100
%
 
100
%
 
100
%
Costs and expenses:
 
 
 
 
 
 
 
Cost of revenue
26
 %
 
25
%
 
28
%
 
24
%
Research and development
19
 %
 
11
%
 
31
%
 
10
%
Marketing and sales
13
 %
 
12
%
 
20
%
 
11
%
General and administrative
12
 %
 
9
%
 
20
%
 
9
%
Total costs and expenses
70
 %
 
57
%
 
100
%
 
53
%
Income from operations
30
 %
 
43
%
 
%
 
47
%
Net (loss) income
(5
)%
 
24
%
 
%
 
27
%
Share-based compensation expense included in costs and expenses (as a percentage of revenue):
 
Cost of revenue
1
%
 
%
 
2
%
 
%
Research and development
9

 
3

 
21

 
3

Marketing and sales
2

 
1

 
8

 
1

General and administrative
2

 
2

 
9

 
2

Total share-based compensation expense
14
%
 
7
%
 
40
%
 
5
%



26


Three and Nine Months Ended September 30, 2012 and 2011
Revenue
 
 
Three Months Ended September 30,
 
 
 
Nine Months Ended September 30,
 
 
 
2012
 
2011
 
%
change
 
2012
 
2011
 
%
change
 
(in millions, except for percentages)
Revenue:
 
 
 
 
 
 
 
 
 
 
 
Advertising
$
1,086

 
$
798

 
36
%
 
$
2,950

 
$
2,211

 
33
%
Payments and other fees
176

 
156

 
13
%
 
554

 
369

 
50
%
Total revenue
$
1,262

 
$
954

 
32
%
 
$
3,504

 
$
2,580

 
36
%
Revenue in the third quarter and the first nine months of 2012 increased $308 million, or 32%, and $924 million, or 36%, respectively, as compared to the same periods in 2011. The increase was due primarily to a 36% and 33% increase in advertising revenue during the third quarter and the first nine months of 2012, respectively, as compared to the same periods in 2011. In the third quarter and the first nine months of 2012, mobile advertising revenue as a percentage of adverting revenue was 14% and 6%, respectively. As mobile advertising was not offered prior to the first quarter of 2012, comparisons to prior year are not meaningful. Advertising revenue grew primarily due to a 27% increase in the number of ads delivered during both the third quarter and the first nine months of 2012 and to a lesser extent, due to a 7% and 5% increase in the average price per ad in those same periods.
The increase in ads delivered was driven primarily by user growth. MAUs grew 26% from September 30, 2011 to September 30, 2012 and average DAUs grew 28% from September 2011 to September 2012. Various product changes and changes in user engagement generally offset in their impact on the average number of ads per user. For example, the shift to greater mobile use generally reduced ads per user, while the introduction of Sponsored Stories in News Feed increased the number of ads per user. The rate of change in number of ads delivered also differs by geography, driven by factors such as mobile penetration. For example, Europe and Rest of World increased at a faster rate than the United States and Asia.
Growth in the average price per ad for the third quarter and the first nine months of 2012 compared to the same periods in 2011 was driven primarily by an increase in price per ad in the United States, which benefited from growth in Sponsored Stories in News Feed across desktop and mobile devices during the second and third quarters of 2012. Sponsored Stories in News Feed have a significantly higher average price per ad due to factors which include the prominent position of the Sponsored Stories. The increase in price per ad in the United States was partially offset by an increased percentage of our worldwide ads being delivered in the Asia and Rest of World geographies where the average price per ad, while growing on a year-over-year basis, is relatively lower. The average price per ad was also affected by a decline in the average price per ad in Europe in the third quarter and the first nine months of 2012 compared to the same periods in 2011 due to the impact of foreign exchange rate changes and, in part, we believe, to continuing weak economic conditions in that region affecting advertiser demand.
Payments and other fees revenue in the third quarter and the first nine months of 2012 increased to $176 million, or 13%, and $554 million, or 50%, respectively, as compared to the same periods in 2011. Payments revenue declined compared to the second quarter of 2012, we believe due primarily to users migrating from better monetizing simulation game-types towards lower monetizing arcade and puzzle game-types, as well as a shift in gaming activity to mobile devices which do not use our Payments product. Facebook Payments became mandatory for all game developers accepting payments on the Facebook Platform with limited exceptions on July 1, 2011. Accordingly, comparisons of Payments and other fees revenue to periods before this date may not be meaningful. Our Payments terms and conditions provide for a 30-day claim period subsequent to a Payments transaction during which the customer may dispute the virtual or digital goods transaction. To date, we have deferred recognition of Payments revenue until the expiration of this period as we were unable to make reasonable and reliable estimates of future refunds or chargebacks arising during this claim period, due to lack of historical transactional information. In the fourth quarter of 2012, we will have 24 months of historical transactional information which we currently anticipate will enable us to estimate future refunds and chargebacks. Accordingly, in the fourth quarter of 2012 we expect to record all Payments revenues at the time of the purchase of the related virtual or digital goods, net of estimated refunds or chargebacks. We anticipate that this change will result in a one-time increase in Payments revenue in the fourth quarter.
Seven percent and nine percent of our total revenue for the third quarter and the first nine months of 2012, respectively, and 12% of our total revenue for both the third quarter and the first nine months of 2011, came from a single customer, Zynga. Revenue from Zynga consisted of payments processing fees related to their sale of virtual goods and from direct advertising purchased by Zynga.

27


Cost of revenue
 
 
Three Months Ended September 30,
 
 
 
Nine Months Ended September 30,
 
 
 
2012
 
2011
 
%
change
 
2012
 
2011
 
%
change
 
(in millions, except for percentages)
Cost of revenue
$
322

 
$
236

 
36
%
 
$
967

 
$
613

 
58
%
Percentage of revenue
26
%
 
25
%
 
 
 
28
%
 
24
%
 
 
Cost of revenue in the third quarter of 2012 increased $86 million, or 36%, compared to the same period in 2011 and increased by $354 million, or 58%, in the first nine months of 2012 compared to the same period in 2011. The increases were primarily due to expenses related to expanding our data center operations, including $51 million and $172 million increases in depreciation in the third quarter and the first nine months of 2012, respectively. Share-based compensation expense increased by $73 million in the first nine months of 2012 compared to the same period in 2011 mainly due to recognition of expense related to Pre-2011 RSUs triggered by the completion of our IPO in May 2012 and, to a lesser extent, RSUs granted on or after January 1, 2011 (Post-2011 RSUs). Increases in payroll and benefits expenses resulting from a 53% increase in employee headcount also contributed to increases in cost of revenue during the periods presented. These expenses supported our user growth, the increased usage of our products by users, developers, and advertisers, and the launch of new products.
Research and development
 
 
Three Months Ended September 30,
 
 
 
Nine Months Ended September 30,
 
 
 
2012
 
2011
 
%
change

 
2012
 
2011
 
%
change

 
(in millions, except for percentages)
Research and development
$
244

 
$
108

 
126
%
 
$
1,102

 
$
264

 
317
%
Percentage of revenue
19
%
 
11
%
 
 
 
31
%
 
10
%
 
 
Research and development expenses in the third quarter and the first nine months of 2012 increased $136 million and $838 million, respectively, compared to the same periods in 2011. The increases were primarily due to increased share-based compensation expense of $81 million and $647 million in the third quarter and the first nine months of 2012, respectively, resulting primarily from recognition of expense related to Post-2011 RSUs for the third quarter of 2012 and Pre-2011 RSUs for the first nine months of 2012. Payroll and benefits expense also increased due to a 77% growth in employee headcount in engineering, design, product management, and other technical functions. This investment supported our efforts to improve existing products and build new products for users, developers, and advertisers.
Marketing and sales
 
 
Three Months Ended September 30,
 
 
 
Nine Months Ended September 30,
 
 
 
2012
 
2011
 
%
change
 
2012
 
2011
 
%
change
 
(in millions, except for percentages)
Marketing and sales
$
168

 
$
114

 
47%
 
$
703

 
$
272

 
158%
Percentage of revenue
13
%
 
12
%
 
 
 
20
%
 
11
%
 
 
Marketing and sales expenses in the third quarter and the first nine months of 2012 increased $54 million and $431 million, respectively, compared to the same periods in 2011. The increase in the third quarter of 2012 compared to the same period in 2011 was primarily due to an increase in payroll and benefits expenses resulting from a 21% increase in employee headcount to support global sales, business development, and customer service, including a $15 million increase in share-based compensation expense. The increase in the first nine months of 2012 compared to the same period in 2011 was primarily due to $255 million increase in share-based compensation expense resulting from recognition of expense related to Pre-2011 RSUs triggered by the completion of our IPO in May 2012 and, to a lesser extent, Post-2011 RSUs. An increase in our user-, developer-, and advertiser-facing marketing expense also affected both periods presented.

28


General and administrative
 
 
Three Months Ended September 30,
 
 
 
Nine Months Ended September 30,
 
 
 
2012
 
2011
 
%
change
 
2012
 
2011
 
%
change
 
(in millions, except for percentages)
General and administrative
$
151

 
$
82

 
84
%
 
$
717

 
$
222

 
223
%
Percentage of revenue
12
%
 
9
%
 
 
 
20
%
 
9
%
 
 
General and administrative expenses in the third quarter and the first nine months of 2012 increased $69 million and $495 million, respectively, compared to the same periods in 2011. The increase in the third quarter of 2012 compared to the same period in 2011 was primarily due to growth in legal fees, amortization of acquired patents and other professional services fees. The increase in the first nine months of 2012 was primarily due to increased share-based compensation expense of $272 million in the first nine months of 2012 resulting from recognition of expense related to Pre-2011 RSUs and, to a lesser extent, Post-2011 RSUs. Payroll and benefits expenses also increased for both periods presented due to a 49% increase in employee headcount in corporate communications and policy, human resources, legal, finance, and other functions.
Interest and other income (expense), net
 
 
Three Months Ended September 30,
 
 
 
Nine Months Ended September 30,
 
 
 
2012
 
2011
 
%
change
 
2012
 
2011
 
%
change
 
(in millions, except for percentages)
Interest expense
$
(11
)
 
$
(10
)
 
10
 %
 
$
(35
)
 
$
(26
)
 
35
 %
Other income (expense), net
6

 
(25
)
 
124
 %
 
9

 
(7
)
 
229
 %
Total interest and other income (expense), net
$
(5
)
 
$
(35
)
 
(86
)%
 
$
(26
)
 
$
(33
)
 
(21
)%
Interest expense increased by $1 million and $9 million in the third quarter and the first nine months of 2012, respectively, compared to the same periods in 2011 primarily due to an increased volume of property and equipment financed by capital leases. Changes in other income (expense), net for the third quarter and the first nine months of 2012 compared to the same periods in 2011 were mostly due to lower foreign exchange losses in 2012 resulting from the periodic re-measurement of our foreign currency balances and to a lesser extent, an increase in interest income driven by larger invested cash balances.
Income Tax Provision
 
 
Three Months Ended September 30,
 
 
 
Nine Months Ended September 30,
 
 
 
2012
 
2011
 
%
change
 
2012
 
2011
 
%
change
 
(in millions, except for percentages)
Provision for income taxes
$
431

 
$
152

 
184
%
 
$

 
$
478

 
(100
)%
Effective tax rate
116
%
 
40
%
 
 
 
%
 
41
%
 
 

Our provision for income taxes in the third quarter of 2012 increased by $279 million compared to the same period in 2011. The increase was primarily due to the impact of non-deductible share-based compensation and the geographic mix of our income. Our provision for income taxes in the first nine months of 2012 decreased by $478 million compared to the same period in 2011 primarily due to the loss before provision for income taxes.
Our effective tax rate in the third quarter of 2012 increased compared to the same period in 2011 primarily due to the impact of certain non-deductible share-based compensation expense that was recognized during the period and additional losses arising outside the United States in jurisdictions where we do not receive a tax benefit, and the expiration of the federal tax credit for research and development activities. The impact of these items on our effective tax rate is significantly greater when our income before provision for income taxes is lower.

29


Our effective tax rate in the first nine months of 2012 was zero because the discrete tax items that arose during the first nine months of 2012 offset the income tax benefit that was based on applying our estimated annual effective tax rate to our loss before provision for income taxes. Our effective tax rate in the first nine months of 2012 was lower than our effective tax rate in the same period of 2011 due to this effect.
Our effective tax rate in the fourth quarter and full year of 2012 could exceed 100% depending on the amount and geographic mix of our income before provision for income taxes. If our effective tax rate exceeds 100%, we would have a net loss even though our income before provision for income taxes was positive for any period in which that occurs. If the federal tax credit for research and development activities is reinstated during the fourth quarter, our effective tax rate for the fourth quarter and full year of 2012 will be lower.
Our effective tax rate has exceeded the U.S. statutory rate primarily because of the impact of non-deductible share-based compensation and losses arising outside the United States in jurisdictions where we do not receive a tax benefit. These losses were primarily due to the initial start-up costs incurred by our foreign subsidiaries to operate in certain foreign markets, including the costs incurred by those subsidiaries to license, develop, and use our intellectual property. Our effective tax rate in the future will depend on the portion of our profits earned within and outside the United States, which will also be affected by our methodologies for valuing our intellectual property and intercompany transactions.
Liquidity and Capital Resources
Our principal sources of liquidity are our cash and cash equivalents, marketable securities, and cash generated from operations. Cash and cash equivalents and marketable securities consist primarily of cash on deposit with banks and investments in money market funds and U.S. government and U.S. government agency securities. Cash and cash equivalents and marketable securities totaled $10.5 billion as of September 30, 2012, an increase of $6.5 billion from December 31, 2011. The most significant cash flow activities consisted of $6.8 billion of net proceeds from our IPO which was completed in May 2012, $931 million of cash generated from operations and $854 million in excess tax benefit from share-based award activity, offset by $1.0 billion used for capital expenditures and $911 million used for acquisition of businesses and other assets. We currently anticipate that our available funds, credit facilities, and cash flow from operations will be sufficient to meet our operational cash needs for the foreseeable future.
Pre-2011 RSUs vest upon the satisfaction of both a service condition and a liquidity condition. The liquidity condition will be satisfied in November 2012. Under settlement procedures applicable to these awards, we are permitted to deliver the underlying shares within 30 days before or after the date on which the liquidity condition is satisfied. We previously disclosed in our Current Report on Form 8-K filed with the Securities and Exchange Commission on September 4, 2012 that we will vest and settle outstanding Pre-2011 RSUs for which the service condition has been satisfied and that are held by employees who were employed by us through October 15, 2012 on October 25, 2012 and such shares will be eligible for sale in the public markets as of market open on October 29, 2012. We will vest and settle outstanding Pre-2011 RSUs held by our non-employee directors and former employees on November 14, 2012.
On the settlement dates, we plan to withhold and remit income taxes for certain RSU holders at applicable minimum statutory rates based on the closing price of our common stock on the trading day immediately preceding the applicable settlement date. We currently expect that the average of these withholding tax rates will be approximately 45%. If the price of our common stock on the trading day immediately preceding the applicable settlement date were equal to $21.66, the closing price of our Class A common stock on September 30, 2012, we estimate that this tax obligation would be approximately $2.6 billion in the aggregate. The amount of this obligation could be higher or lower, depending on the closing price of our shares on the trading day immediately preceding the applicable settlement date. To settle these RSUs, assuming an approximate 45% tax withholding rate, we anticipate that we will net settle the awards on October 25, 2012 by delivering an aggregate of approximately 121 million shares of Class B common stock to RSU holders and withholding an aggregate of approximately 99 million shares of Class B common stock, based on RSUs outstanding as of September 30, 2012 for which the service condition will be satisfied as of October 15, 2012. In addition, we will also net settle on November 14, 2012 by delivering an aggregate of approximately 31 million shares of Class B common stock not held by then-current employees as of October 15, 2012 and withholding an aggregate of approximately 20 million shares of Class B common stock. In connection with these net settlements, we will withhold and remit the tax liabilities on behalf of the RSU holders in cash to the applicable tax authorities.
In February 2012, we entered into an agreement for an unsecured five-year revolving credit facility that allows us to borrow up to $5 billion for general corporate purposes, with interest payable on the borrowed amounts set at London Interbank Offered Rate (LIBOR) plus 1.0%. Under the terms of the new agreement, we are obligated to pay a commitment fee of 0.10% per annum on the daily undrawn balance.
Concurrent with our entering into the new revolving credit facility, we also entered into a bridge credit facility that allowed us to borrow up to $3 billion to fund tax withholding and remittance obligations related to the settlement of RSUs in connection

30


with our IPO. No amounts were drawn down under these credit and bridge credit facility agreements as of September 30, 2012.

In October 2012, we amended and restated our existing bridge credit facility, converting it to an unsecured term loan facility (the Amended and Restated Term Loan) that allows us to borrow up to $1.5 billion to fund tax withholding and remittance obligations related to the settlement of RSUs in connection with our IPO, with interest payable on the borrowed amounts set at LIBOR plus 1.0%. We paid origination fees at closing of the Amended and Restated Term Loan, which fees are being amortized over the term of the facility. We are also obligated to pay an additional upfront fee of 0.15% of the aggregate amount of the borrowings requested on any applicable funding date, which would be amortized over the remaining term of the facility, as well as an annual commitment fee of 0.10% on the daily undrawn balance of the facility. We may make up to two borrowings under the Amended and Restated Term Loan prior to November 20, 2012. Any amounts outstanding under this facility will become due and payable upon the third anniversary date of the initial borrowing. As we previously disclosed in our Current Report on Form 8-K filed with the SEC on October 15, 2012, we currently expect to use borrowings under the Amended and Restated Term Loan to cover approximately half of the withholding tax liability that will arise when approximately 271 million RSUs vest and settle in October and November 2012, and that the average of the withholding tax rates will be approximately 45%.

As of September 30, 2012, $570 million of the $10.5 billion in cash and cash equivalents and marketable securities was held by our foreign subsidiaries. We have provided for the additional taxes that would be due if we repatriated these funds for use in our operations in the United States.
Cash Provided by Operating Activities
Cash flow from operating activities during the first nine months of 2012 primarily consisted of adjustments to net income for certain non-cash items such as share-based compensation expense of $1.4 billion and total depreciation and amortization, partially offset by income tax refundable and deferred income taxes. The decrease in cash flow from operating activities during the first nine months of 2012 compared to the same period in 2011 was mainly due to $11 million of net loss incurred in 2012 compared to $698 million of net income generated in 2011, decreased deferred income taxes and increased income tax refundable, partially offset by increases in adjustments for non-cash items as described above.
Cash Used in Investing Activities
Cash used in investing activities during the first nine months of 2012 primarily resulted from $5.6 billion for the net purchase of marketable securities, $1.0 billion for capital expenditures related to the purchase of servers, networking equipment, storage infrastructure, and the construction of data centers as well as $911 million for acquisitions of businesses and other assets, such as patents. The increase in cash used in investing activities during the first nine months of 2012 compared to the same period in 2011 was mainly due to increases in the purchase of marketable securities, acquisitions of businesses and other assets and capital expenditures.
We anticipate making capital expenditures in 2012 of approximately $1.6 billion to $1.7 billion, a portion of which we will finance through leasing arrangements.
Cash Provided by Financing Activities
In May 2012, we received $6.8 billion in proceeds from our IPO, net of offering costs. Our financing activities have primarily consisted of equity issuances, lease financing, and debt financing. Net cash provided by financing activities was $7.6 billion and $1.1 billion, for the first nine months of 2012 and 2011, respectively, and included excess tax benefits from stock award activities of $854 million and $405 million for the same periods, respectively. In the first nine months of 2011, it also included $250 million of debt repayment. We had no outstanding debt during the same period in 2012.
Off-Balance Sheet Arrangements
We did not have any off-balance sheet arrangements as of September 30, 2012.
Contractual Obligations
There were no material changes in our commitments under contractual obligations, as disclosed in our Prospectus.
Contingencies
We are involved in claims, lawsuits, government investigations, and proceedings. We record a provision for a liability when we believe both that it is probable that a liability has been incurred, and that the amount can be reasonably estimated. Significant

31


judgment is required to determine both probability and the estimated amount. Such legal proceedings are inherently unpredictable and subject to significant uncertainties, some of which are beyond our control. Should any of these estimates and assumptions change or prove to be incorrect, it could have a material impact on our results of operations, financial position, and cash flows.
See Note 7 in the notes to the condensed consolidated financial statements included in Part I, Item 1 and “Legal Proceedings” contained in Part II, Item 1 of this Quarterly Report on Form 10-Q for additional information regarding contingencies.
Recently Issued and Adopted Accounting Pronouncements
Comprehensive Income
In May 2011, the Financial Accounting Standards Board issued guidance that changed the requirement for presenting “Comprehensive Income” in the consolidated financial statements. The update requires an entity to present the components of other comprehensive income either in a single continuous statement of comprehensive income or in two separate but consecutive statements. The update is effective for fiscal years, and interim periods within those years, beginning after December 15, 2011 and should be applied retrospectively. We adopted this new guidance on January 1, 2012.
Critical Accounting Policies and Estimates
Our condensed consolidated financial statements are prepared in accordance with U.S. generally accepted accounting principles (GAAP). The preparation of these condensed consolidated financial statements requires us to make estimates and assumptions that affect the reported amounts of assets, liabilities, revenue, costs and expenses, and related disclosures. These estimates form the basis for judgments we make about the carrying values of our assets and liabilities, which are not readily apparent from other sources. We base our estimates and judgments on historical experience and on various other assumptions that we believe are reasonable under the circumstances. On an ongoing basis, we evaluate our estimates and assumptions. Our actual results may differ from these estimates under different assumptions or conditions.
We believe that the assumptions and estimates associated with revenue recognition for payments and other fees, income taxes and share-based compensation have the greatest potential impact on our condensed consolidated financial statements. Therefore, we consider these to be our critical accounting policies and estimates.
There have been no material changes to our critical accounting policies and estimates as compared to the critical accounting policies and estimates described in our Prospectus.

32


Item 3.
Quantitative and Qualitative Disclosures About Market Risk
We are exposed to market risk, including changes to interest rates, foreign currency exchange rates and inflation.
Foreign Currency Exchange Risk
International revenue as a percentage of revenue was 47% and 43% for the third quarter of 2012 and 2011, respectively, and 49% and 42% for the first nine months of 2012 and 2011, respectively. We have foreign currency risks related to our revenue and operating expenses denominated in currencies other than the U.S. dollar, primarily the Euro. In general, we are a net receiver of currencies other than the U.S. dollar. Accordingly, changes in exchange rates, and in particular a strengthening of the U.S. dollar, will negatively affect our revenue and other operating results as expressed in U.S. dollars.
We have experienced and will continue to experience fluctuations in our net (loss) income as a result of transaction gains or losses related to revaluing certain current asset and current liability balances that are denominated in currencies other than the functional currency of the entities in which they are recorded. We recognized foreign currency losses of $1 million, $27 million, $4 million and $13 million in the third quarter of 2012 and 2011 and the first nine months of 2012 and 2011, respectively. At this time we do not, but in the future we may enter into derivatives or other financial instruments in an attempt to hedge our foreign currency exchange risk. It is difficult to predict the impact hedging activities would have on our results of operations.
Interest Rate Sensitivity
Our cash and cash equivalents and marketable securities consist of cash, certificates of deposit, time deposits, money market funds and U.S. government treasury and agency debt securities. Our investment policy and strategy are focused on preservation of capital and supporting our liquidity requirements.
Changes in U.S. interest rates affect the interest earned on our cash and cash equivalents and marketable securities and the market value of those securities. A hypothetical 100 basis point increase in interest rates would result in a decrease of approximately $57 million and $15 million in the market value of our available-for-sale debt securities as of September 30, 2012 and December 31, 2011, respectively. Any realized gains or losses resulting from such interest rate changes would only occur if we sold the investments prior to maturity.
Item 4.
Controls and Procedures
Evaluation of Disclosure Controls and Procedures
Our management, with the participation of our CEO and CFO, has evaluated the effectiveness of our disclosure controls and procedures (as defined in Rules 13a- 15(e) and 15d- 15(e) under the Securities Exchange Act of 1934, as amended (Exchange Act)), as of the end of the period covered by this Quarterly Report on Form 10-Q. Based on such evaluation, our CEO and CFO have concluded that as of such date, our disclosure controls and procedures were effective.
Changes in Internal Control
There were no changes in our internal control over financial reporting identified in management’s evaluation pursuant to Rules 13a-15(d) or 15d-15(d) of the Exchange Act during the period covered by this Quarterly Report on Form 10-Q that materially affected, or are reasonably likely to materially affect, our internal control over financial reporting.
Limitations on Effectiveness of Controls and Procedures
In designing and evaluating the disclosure controls and procedures, management recognizes that any controls and procedures, no matter how well designed and operated, can provide only reasonable assurance of achieving the desired control objectives. In addition, the design of disclosure controls and procedures must reflect the fact that there are resource constraints and that management is required to apply judgment in evaluating the benefits of possible controls and procedures relative to their costs.

33


PART II—OTHER INFORMATION
Item 1.
Legal Proceedings
Paul D. Ceglia filed suit against us and Mark Zuckerberg on or about June 30, 2010, in the Supreme Court of the State of New York for the County of Allegheny, claiming substantial ownership of our company based on a purported contract between Mr. Ceglia and Mr. Zuckerberg allegedly entered into in April 2003. We removed the case to the U.S. District Court for the Western District of New York, where the case is now pending. In his first amended complaint, filed on April 11, 2011, Mr. Ceglia revised his claims to include an alleged partnership with Mr. Zuckerberg, he revised his claims for relief to seek a substantial share of Mr. Zuckerberg’s ownership in us, and he included quotations from supposed emails that he claims to have exchanged with Mr. Zuckerberg in 2003 and 2004. On June 2, 2011, we filed a motion for expedited discovery based on evidence we submitted to the court showing that the alleged contract and emails upon which Mr. Ceglia bases his complaint are fraudulent. On July 1, 2011, the court granted our motion and ordered Mr. Ceglia to produce, among other things, all hard copy and electronic versions of the purported contract and emails. On January 10, 2012, the court granted our request for sanctions against Mr. Ceglia for his delay in compliance with that order. On March 26, 2012, we filed a motion to dismiss Mr. Ceglia’s complaint and a motion for judgment on the pleadings. We continue to believe that Mr. Ceglia is attempting to perpetrate a fraud on the court and we intend to continue to defend the case vigorously.
Beginning on May 22, 2012, multiple putative class actions, derivative actions, and individual actions were filed in state and federal courts in the United States and in other jurisdictions against us, our directors, and/or certain of our officers alleging violation of securities laws or breach of fiduciary duties in connection with our IPO and seeking unspecified damages. We believe these lawsuits are without merit, and we intend to continue to vigorously defend them. On October 4, 2012, on our motion, the vast majority of the cases in the United States, along with multiple cases filed against The NASDAQ OMX Group, Inc. and The Nasdaq Stock Market LLC (collectively referred to herein as NASDAQ) alleging technical and other trading-related errors by NASDAQ in connection with our IPO, were ordered centralized for coordinated or consolidated pre-trial proceedings in the United States District Court for the Southern District of New York. In addition, the events surrounding our IPO have become the subject of various government inquiries, and we are cooperating with those inquiries. Any such inquiries could subject us to substantial costs, divert resources and the attention of management from our business, and adversely affect our business.
We are also currently parties to multiple other lawsuits related to our products, including patent infringement lawsuits brought by both other companies and non-practicing entities as well as class action lawsuits brought by users and advertisers, and we may in the future be subject to additional lawsuits and disputes. We are also involved in other claims, government investigations, and proceedings arising from the ordinary course of our business. Although the results of these other lawsuits, claims, government investigations, and proceedings in which we are involved cannot be predicted with certainty, we do not believe that the final outcome of these other matters will have a material adverse effect on our business, financial condition, or results of operations.

34


Item 1A.
Risk Factors
Certain factors may have a material adverse effect on our business, financial condition and results of operations. You should consider carefully the risks and uncertainties described below, in addition to other information contained in this Quarterly Report on Form 10-Q, including our condensed consolidated financial statements and related notes. The risks and uncertainties described below are not the only ones we face. Additional risks and uncertainties that we are unaware of, or that we currently believe are not material, may also become important factors that adversely affect our business. If any of the following risks actually occurs, our business, financial condition, results of operations, and future prospects could be materially and adversely affected. In that event, the trading price of our Class A common stock could decline, and you could lose part or all of your investment.
Risks Related to Our Business and Industry
If we fail to retain existing users or add new users, or if our users decrease their level of engagement with Facebook, our revenue, financial results, and business may be significantly harmed.
The size of our user base and our users’ level of engagement are critical to our success. We had 1.01 billion monthly active users (MAUs) as of September 30, 2012. Our financial performance has been and will continue to be significantly determined by our success in adding, retaining, and engaging active users. We anticipate that our active user growth rate will decline over time as the size of our active user base increases, and as we achieve higher market penetration rates. To the extent our active user growth rate slows, our business performance will become increasingly dependent on our ability to increase levels of user engagement and monetization in current and new markets. If people do not perceive our products to be useful, reliable, and trustworthy, we may not be able to attract or retain users or otherwise maintain or increase the frequency and duration of their engagement. A number of other social networking companies that achieved early popularity have since seen their active user bases or levels of engagement decline, in some cases precipitously. There is no guarantee that we will not experience a similar erosion of our active user base or engagement levels. A decrease in user retention, growth, or engagement could render Facebook less attractive to developers and advertisers, which may have a material and adverse impact on our revenue, business, financial condition, and results of operations. Any number of factors could potentially negatively affect user retention, growth, and engagement, including if:
users increasingly engage with competing products;
we fail to introduce new and improved products or if we introduce new products or services that are not favorably received;
we are unable to successfully balance our efforts to provide a compelling user experience with the decisions we make with respect to the frequency, prominence, and size of ads and other commercial content that we display;
we are unable to continue to develop products for mobile devices that users find engaging, that work with a variety of mobile operating systems and networks, and that achieve a high level of market acceptance;
there are changes in user sentiment about the quality or usefulness of our products or concerns related to privacy and sharing, safety, security, or other factors;
we are unable to manage and prioritize information to ensure users are presented with content that is interesting, useful, and relevant to them;
there are adverse changes in our products that are mandated by legislation, regulatory authorities, or litigation, including settlements or consent decrees;
technical or other problems prevent us from delivering our products in a rapid and reliable manner or otherwise affect the user experience;
we adopt policies or procedures related to areas such as sharing or user data that are perceived negatively by our users or the general public;
we fail to provide adequate customer service to users, developers, or advertisers;
we, our Platform developers, or other companies in our industry are the subject of adverse media reports or other negative publicity; or
our current or future products, such as the Facebook Platform, reduce user activity on Facebook by making it easier for our users to interact and share on third-party websites.
If we are unable to maintain and increase our user base and user engagement, our revenue, financial results, and future growth potential may be adversely affected.
We generate a substantial majority of our revenue from advertising. The loss of advertisers, or reduction in spending by advertisers with Facebook, could seriously harm our business.
The substantial majority of our revenue is currently generated from third parties advertising on Facebook. In the first nine

35


months of 2012 and 2011 and the full 2011, 2010, and 2009 years, advertising accounted for 84%, 86%, 85%, 95% and 98%, respectively, of our revenue. As is common in the industry, our advertisers typically do not have long-term advertising commitments with us. Many of our advertisers spend only a relatively small portion of their overall advertising budget with us. In addition, advertisers may view some of our products, such as Sponsored Stories and ads with social context, as experimental and unproven. Advertisers will not continue to do business with us, or they will reduce the prices they are willing to pay to advertise with us, if we do not deliver ads and other commercial content in an effective manner, or if they do not believe that their investment in advertising with us will generate a competitive return relative to other alternatives. Our advertising revenue could be adversely affected by a number of other factors, including:
decreases in user engagement, including time spent on Facebook;
increased user access to and engagement with Facebook through our mobile products, where we have generated only a small portion of our revenue, particularly to the extent that mobile engagement is substituted for engagement with Facebook on personal computers where we currently have demonstrated greater ability to scale monetization by displaying ads and other commercial content;
product changes or inventory management decisions we may make that reduce the size, frequency, or relative prominence of ads and other commercial content displayed on Facebook;
our inability to increase the pricing and quality of ads and other commercial content shown to users, particularly on mobile devices;
our inability to improve our analytics and measurement solutions that demonstrate the value of our ads and other commercial content;
decisions by advertisers to use our free products, such as Facebook Pages, instead of advertising on Facebook;
loss of advertising market share to our competitors;
adverse legal developments relating to advertising, including legislative and regulatory developments and developments in litigation;
adverse media reports or other negative publicity involving us, our Platform developers, or other companies in our industry;
our inability to create new products that sustain or increase the value of our ads and other commercial content;
the degree to which users opt out of social ads or otherwise limit the potential audience of commercial content;
changes in the way online advertising is priced;
the impact of new technologies that could block or obscure the display of our ads and other commercial content; and
the impact of macroeconomic conditions and conditions in the advertising industry in general.
The occurrence of any of these or other factors could result in a reduction in demand for our ads and other commercial content, which may reduce the prices we receive for our ads and other commercial content, or cause advertisers to stop advertising with us altogether, either of which would negatively affect our revenue and financial results.
Growth in use of Facebook through our mobile products, where our ability to continue to increase mobile revenues is unproven, as a substitute for use on personal computers may negatively affect our revenue and financial results.
We had 604 million MAUs who used Facebook mobile products in September 2012. While most of our mobile users also access Facebook through personal computers, we anticipate that the rate of growth in mobile usage will exceed the growth in usage through personal computers for the foreseeable future and that the usage through personal computers may continue to decline in certain markets, in part due to our focus on developing mobile products to encourage mobile usage of Facebook. For example, while the number of daily active users (DAUs) using personal computers increased modestly during the third quarter of 2012 compared to the second quarter of 2012, in certain key markets such as the United States and Europe the number of DAUs using personal computers was essentially flat quarter-over-quarter after having decreased modestly during the second quarter of 2012. We believe increased usage of Facebook on mobile devices has contributed to the recent trend of our DAUs increasing more rapidly than the increase in the number of ads delivered. We only recently began to include Sponsored Stories in users’ mobile News Feeds. Accordingly, in the first nine months of 2012, we generated only a small portion of our revenue from the use of Facebook mobile products, and our ability to continue to increase mobile revenues is unproven. If users increasingly access Facebook mobile products as a substitute for access through personal computers, and if we are unable to continue to grow mobile revenues, or if we incur excessive expenses in this effort, our financial performance and ability to grow revenue would be negatively affected.
Facebook user growth and engagement on mobile devices depend upon effective operation with mobile operating systems, networks, and standards that we do not control.

36


There is no guarantee that popular mobile devices will continue to feature Facebook, or that mobile device users will continue to use Facebook rather than competing products. We are dependent on the interoperability of Facebook with popular mobile operating systems that we do not control, such as Android and iOS, and any changes in such systems that degrade our products’ functionality or give preferential treatment to competitive products could adversely affect Facebook usage on mobile devices. Additionally, in order to deliver high quality mobile products, it is important that our products work well with a range of mobile technologies, systems, networks, and standards that we do not control. We may not be successful in developing relationships with key participants in the mobile industry or in developing products that operate effectively with these technologies, systems, networks, or standards. In the event that it is more difficult for our users to access and use Facebook on their mobile devices, or if our users choose not to access or use Facebook on their mobile devices or use mobile products that do not offer access to Facebook, our user growth and user engagement could be harmed.
We may not be successful in our efforts to grow usage of and engagement with the Facebook Platform.
We have made and are continuing to make major investments to enable developers to build applications (apps) and websites that integrate with the Facebook Platform. Existing and prospective Platform developers may not be successful in building apps or websites that create and maintain user engagement. Additionally, developers may choose to build on other platforms, including mobile platforms controlled by third parties, rather than building on the Facebook Platform. We are continuously seeking to balance the distribution objectives of our Platform developers with our desire to provide an optimal user experience, and we may not be successful in achieving a balance that continues to attract and retain Platform developers. From time to time, we have taken actions to reduce the volume of communications from Platform developers to users on Facebook with the objective of enhancing the user experience, and such actions have reduced distribution from, user engagement with, and our monetization opportunities from, Facebook-integrated apps and websites. In some instances, these actions have adversely affected our relationships with Platform developers. If we are not successful in our efforts to grow our Platform or if we are unable to build and maintain good relations with Platform developers, our user growth and user engagement and our financial results may be adversely affected.
We may not be successful in our efforts to further monetize the Facebook Platform.
We currently monetize the Facebook Platform in several ways, including ads on pages generated by apps on Facebook, direct advertising on Facebook purchased by Platform developers to drive traffic to their apps and websites, and fees from our Platform developers’ use of our Payments infrastructure to sell virtual and digital goods to users. Apps built by developers of social games are currently responsible for substantially all of our revenue derived from Payments. Our Payments revenue in the third quarter of 2012 declined compared to the second quarter of 2012, and Payments revenue may continue to decrease or stay flat in future periods. In addition, a relatively small percentage of our users have transacted with Facebook Payments. For example, in the nine months ended September 30, 2012, approximately 20 million users purchased virtual goods using Facebook Payments. If the Platform apps that currently generate revenue fail to grow or maintain their users and engagement, if Platform developers do not continue to introduce new apps that attract users and create engagement, if Platform developers reduce their advertising on Facebook, if we fail to maintain good relationships with Platform developers or attract new developers, or if Platform apps outside of social games do not gain popularity and generate significant revenue, our financial performance and ability to grow revenue could be adversely affected.
Additionally, we are actively supporting Platform developers’ efforts to develop their own mobile apps and websites that integrate with Facebook. Unlike apps that run within the Facebook website which enable us to show ads and offer Payments, we generally do not directly monetize from Platform developers’ integrating their own mobile apps and websites with Facebook. Therefore, our Platform developers efforts to prioritize Facebook integrations with their own mobile apps or websites may reduce or slow the growth of our user activity that generates advertising and Payments opportunities, which could negatively affect our revenue. Although we believe that there are significant long-term benefits to Facebook resulting from increased engagement on Facebook-integrated websites and mobile apps, these benefits may not offset the possible loss of revenue, in which case our business could be harmed.
Our business is highly competitive. Competition presents an ongoing threat to the success of our business.
We face significant competition in almost every aspect of our business, including from companies such as Google, Microsoft, and Twitter, which offer a variety of Internet products, services, content, and online advertising offerings, as well as from mobile companies and smaller Internet companies that offer products and services that may compete with specific Facebook features. We also face competition from traditional and online media businesses for advertising budgets. We compete broadly with Google’s social networking offerings, including Google+, and also with other, largely regional, social networks that have strong positions in particular countries, including Cyworld in Korea, Mixi in Japan, Orkut (owned by Google) in Brazil and India, and vKontakte in Russia. We would also face competition from companies in China such as Renren, Sina, and Tencent in the event that we are able to access the market in China in the future. As we introduce new products, as our existing products evolve, or as other companies introduce new products and services, such as mobile messaging and chat services, we may become subject to additional

37


competition.
Some of our current and potential competitors have significantly greater resources and better competitive positions in certain markets than we do. These factors may allow our competitors to respond more effectively than us to new or emerging technologies and changes in market requirements. Our competitors may develop products, features, or services that are similar to ours or that achieve greater market acceptance, may undertake more far-reaching and successful product development efforts or marketing campaigns, or may adopt more aggressive pricing policies. In addition, Platform partners may use information shared by our users through the Facebook Platform in order to develop products or features that compete with us. Certain competitors, including Google, could use strong or dominant positions in one or more markets to gain competitive advantage against us in areas where we operate including: by integrating competing social networking platforms or features into products they control such as search engines, web browsers, or mobile device operating systems; by making acquisitions; or by making access to Facebook more difficult. As a result, our competitors may acquire and engage users at the expense of the growth or engagement of our user base, which may negatively affect our business and financial results.
We believe that our ability to compete effectively depends upon many factors both within and beyond our control, including:
the usefulness, ease of use, performance, and reliability of our products compared to our competitors;
the size and composition of our user base;
the engagement of our users with our products;
the timing and market acceptance of products, including developments and enhancements to our or our competitors’ products;
our ability to monetize our products, including our ability to successfully monetize mobile usage;
the frequency, size, and relative prominence of the ads and other commercial content displayed by us or our competitors;
customer service and support efforts;
marketing and selling efforts;
our ability to establish and maintain developers’ interest in building on the Facebook Platform;
changes mandated by legislation, regulatory authorities, or litigation, including settlements and consent decrees, some of which may have a disproportionate effect on us;
acquisitions or consolidation within our industry, which may result in more formidable competitors;
our ability to attract, retain, and motivate talented employees, particularly software engineers;
our ability to cost-effectively manage and grow our operations; and
our reputation and brand strength relative to our competitors.
If we are not able to compete effectively, our user base and level of user engagement may decrease, which could make us less attractive to developers and advertisers and materially and adversely affect our revenue and results of operations.
Action by governments to restrict access to Facebook in their countries could substantially harm our business and financial results.
It is possible that governments of one or more countries may seek to censor content available on Facebook in their country, restrict access to Facebook from their country entirely, or impose other restrictions that may affect the accessibility of Facebook in their country for an extended period of time or indefinitely. For example, access to Facebook has been or is currently restricted in whole or in part in China, Iran, North Korea, and Syria. In addition, governments in other countries may seek to restrict access to Facebook if they consider us to be in violation of their laws. In the event that access to Facebook is restricted, in whole or in part, in one or more countries or our competitors are able to successfully penetrate geographic markets that we cannot access, our ability to retain or increase our user base and user engagement may be adversely affected, we may not be able to maintain or grow our revenue as anticipated, and our financial results could be adversely affected.
Our new products and changes to existing products could fail to attract or retain users or generate revenue.
Our ability to retain, increase, and engage our user base and to increase our revenue will depend heavily on our ability to create successful new products, both independently and in conjunction with Platform developers or other third parties. We may introduce significant changes to our existing products or develop and introduce new and unproven products, including using technologies with which we have little or no prior development or operating experience. If new or enhanced products fail to engage users, developers, or advertisers, we may fail to attract or retain users or to generate sufficient revenue, operating margin, or other value to justify our investments, and our business may be adversely affected. In the future, we may invest in new products and initiatives to generate revenue, but there is no guarantee these approaches will be successful. If we are not successful with new

38


approaches to monetization, we may not be able to maintain or grow our revenue as anticipated or recover any associated development costs, and our financial results could be adversely affected.
Our culture emphasizes rapid innovation and prioritizes user engagement over short-term financial results.
We have a culture that encourages employees to quickly develop and launch new and innovative products. As our business grows and becomes more complex, our cultural emphasis on moving quickly may result in unintended outcomes or decisions that are poorly received by users, developers, or advertisers. Our culture also prioritizes our user engagement over short-term financial results, and we frequently make product decisions that may reduce our short-term revenue or profitability if we believe that the decisions are consistent with our mission and benefit the aggregate user experience and will thereby improve our financial performance over the long term. These decisions may not produce the long-term benefits that we expect, in which case our user growth and engagement, our relationships with developers and advertisers, and our business and results of operations could be harmed.
If we are not able to maintain and enhance our brand, or if events occur that damage our reputation and brand, our ability to expand our base of users, developers, and advertisers may be impaired, and our business and financial results may be harmed.
We believe that the Facebook brand has significantly contributed to the success of our business. We also believe that maintaining and enhancing our brand is critical to expanding our base of users, developers, and advertisers. Many of our new users are referred by existing users, and therefore we strive to ensure that our users remain favorably inclined towards Facebook. Maintaining and enhancing our brand will depend largely on our ability to continue to provide useful, reliable, trustworthy, and innovative products, which we may not do successfully. We may introduce new products or terms of service that users do not like, which may negatively affect our brand. Additionally, the actions of our Platform developers may affect our brand if users do not have a positive experience using third-party apps and websites integrated with Facebook. We have in the past experienced, and we expect that in the future we will continue to experience, media, legislative, or regulatory scrutiny of our decisions regarding user privacy or other issues, which may adversely affect our reputation and brand. We also may fail to provide adequate customer service, which could erode confidence in our brand. Our brand may also be negatively affected by the actions of users that are deemed to be hostile or inappropriate to other users, or by users acting under false or inauthentic identities. Maintaining and enhancing our brand may require us to make substantial investments and these investments may not be successful. If we fail to successfully promote and maintain the Facebook brand or if we incur excessive expenses in this effort, our business and financial results may be adversely affected.
Improper access to or disclosure of our users’ information, or violation of our terms of service or policies, could harm our reputation and adversely affect our business.
Our efforts to protect the information that our users have chosen to share using Facebook may be unsuccessful due to the actions of third parties, software bugs or other technical malfunctions, employee error or malfeasance, or other factors. In addition, third parties may attempt to fraudulently induce employees or users to disclose information in order to gain access to our data or our users’ data. If any of these events occur, our users’ information could be accessed or disclosed improperly. Our Data Use Policy governs the use of information that users have chosen to share using Facebook and how that information may be used by us and third parties. Some Platform developers may store information provided by our users through apps on the Facebook Platform or websites integrated with Facebook. If these third parties or Platform developers fail to adopt or adhere to adequate data security practices or fail to comply with our terms and policies, or in the event of a breach of their networks, our users’ data may be improperly accessed or disclosed.
Any incidents involving unauthorized access to or improper use of the information of our users or incidents involving violation of our terms of service or policies, including our Data Use Policy, could damage our reputation and our brand and diminish our competitive position. In addition, the affected users or government authorities could initiate legal or regulatory action against us in connection with such incidents, which could cause us to incur significant expense and liability or result in orders or consent decrees forcing us to modify our business practices. Any of these events could have a material and adverse effect on our business, reputation, or financial results.
Unfavorable media coverage could negatively affect our business.
We receive a high degree of media coverage around the world. Unfavorable publicity regarding, for example, our privacy practices, product changes, product quality, litigation or regulatory activity, or the actions of our Platform developers or our users, could adversely affect our reputation. Such negative publicity also could have an adverse effect on the size, engagement, and loyalty of our user base and result in decreased revenue, which could adversely affect our business and financial results.

39


Our financial results will fluctuate from quarter to quarter, which makes them difficult to predict.
Our quarterly financial results have fluctuated in the past and will fluctuate in the future. Additionally, we have a limited operating history with the current scale of our business, which makes it difficult to forecast our future results. As a result, you should not rely upon our past quarterly financial results as indicators of future performance. You should take into account the risks and uncertainties frequently encountered by companies in rapidly evolving markets. Our financial results in any given quarter can be influenced by numerous factors, many of which we are unable to predict or are outside of our control, including:
our ability to maintain and grow our user base and user engagement;
our ability to attract and retain advertisers in a particular period;
fluctuations in spending by our advertisers due to seasonality, such as historically strong spending in the fourth quarter of each year, or other factors;
the number of ads shown to users;
the pricing of our ads and other products;
the rate of growth in mobile usage compared to usage through personal computers, and our ability to monetize through our mobile products;
our ability to maintain or increase payments and other fees revenue;
the diversification and growth of revenue sources beyond current advertising and Payments;
the development and introduction of new products or services by us or our competitors;
increases in marketing, sales, and other operating expenses that we may incur to grow and expand our operations and to remain competitive;
our ability to maintain gross margins and operating margins;
our ability to obtain equipment and components for our data centers and other technical infrastructure in a timely and cost-effective manner;
system failures or breaches of security or privacy;
inaccessibility of Facebook due to third-party actions;
share-based compensation expense;
adverse litigation judgments, settlements, or other litigation-related costs;
changes in the legislative or regulatory environment, including with respect to privacy, or enforcement by government regulators, including fines, orders, or consent decrees;
fluctuations in currency exchange rates and changes in the proportion of our revenue and expenses denominated in foreign currencies;
fluctuations in the market values of our portfolio investments and in interest rates;
changes in U.S. generally accepted accounting principles; and
changes in business or macroeconomic conditions.
In the first nine months of 2012 and the full 2011 year, we estimate that up to 13% and 19% of our revenue, respectively, was derived from Payments processing fees from Zynga, direct advertising from Zynga, revenue from third parties for ads shown on pages generated by Zynga apps, and Facebook ads and Sponsored Stories displayed on Zynga.com. If Zynga does not maintain its level of engagement with our users or if we are unable to successfully maintain our relationship with Zynga, our financial results could be harmed.
In the first nine months of 2012 and the full 2011 year, Zynga directly accounted for approximately 9% and 12%, respectively, of our revenue, which was comprised of revenue derived from Payments processing fees related to Zynga’s sales of virtual goods and from direct advertising purchased by Zynga. Additionally, Zynga’s apps generate pages on which we display ads from other advertisers; for the first nine months of 2012 and the full 2011 year, we estimate that an additional approximately 4% and 7%, respectively, of our revenue was generated from the display of these ads. The percentage of our total revenue generated from Zynga in the third quarter of 2012 continued to decline compared to prior periods in 2012, and this trend of Zynga's revenue contribution declining as a percentage of our total revenue may continue. In addition, while we began displaying ads and Sponsored Stories on Zynga.com in the second quarter of 2012, we do not currently generate meaningful revenue from these ads. We may also fail to maintain good relations with Zynga or Zynga may decide to reduce or cease its investments in games on the Facebook Platform. In addition, if we are no longer able to display ads and Sponsored Stories on Zynga.com or if the use of Zynga games on our Platform continues to decline for other reasons, our financial results may be adversely affected.

40


We expect our rates of growth will decline in the future.
We believe that our rates of user and revenue growth will decline over time. For example, our revenue grew 36% from the first nine months of 2011 to the same period in 2012, 88% from full 2010 year to full 2011 year and 154% from full 2009 year to full 2010 year. Historically, our user growth has been a primary driver of growth in our revenue. We expect that our user growth and revenue growth rates will decline over time as the size of our active user base increases and as we achieve higher market penetration rates. As our growth rates decline, investors’ perceptions of our business may be adversely affected and the trading price of our Class A common stock could decline.
Our business is subject to complex and evolving U.S. and foreign laws and regulations regarding privacy, data protection, and other matters. Many of these laws and regulations are subject to change and uncertain interpretation, and could result in claims, changes to our business practices, monetary penalties, increased cost of operations, or declines in user growth or engagement, or otherwise harm our business.
We are subject to a variety of laws and regulations in the United States and abroad that involve matters central to our business, including user privacy, rights of publicity, data protection, content, intellectual property, distribution, electronic contracts and other communications, competition, protection of minors, consumer protection, taxation, securities law compliance, and online payment services. The introduction of new products may subject us to additional laws and regulations. For example, depending on how our new Gifts product evolves, we may be subject to laws and regulations governing returns, taxability of purchases, purchase of restricted products such as alcohol, product liability, and international import and export restrictions. In addition, foreign data protection, privacy, and other laws and regulations are often more restrictive than those in the United States. These U.S. federal and state and foreign laws and regulations, which can be enforced by private parties or government entities, are constantly evolving and can be subject to significant change. In addition, the application and interpretation of these laws and regulations are often uncertain, particularly in the new and rapidly evolving industry in which we operate. For example, the interpretation of some laws and regulations that govern the use of names and likenesses in connection with advertising and marketing activities is unsettled and developments in this area could affect the manner in which we design our products, as well as our terms of use. A number of proposals are pending before federal, state, and foreign legislative and regulatory bodies that could significantly affect our business. For example, a revision to the 1995 European Union Data Protection Directive is currently being considered by European legislative bodies that may include more stringent operational requirements for data processors and significant penalties for non-compliance. Similarly, there have been a number of recent legislative proposals in the United States, at both the federal and state level, that would impose new obligations in areas such as privacy and liability for copyright infringement by third parties. These existing and proposed laws and regulations can be costly to comply with and can delay or impede the development of new products, result in negative publicity, increase our operating costs, require significant management time and attention, and subject us to inquiries or investigations, claims or other remedies, including fines or demands that we modify or cease existing business practices.
We have been subject to regulatory investigations and settlements and we expect to continue to be subject to such proceedings in the future, which could cause us to incur substantial costs or require us to change our business practices in a manner materially adverse to our business.
From time to time, we receive inquiries from regulators regarding our compliance with laws and other matters. For example, in 2011, we reached agreement with the Federal Trade Commission (FTC) to resolve an investigation into various practices by entering into a 20-year settlement agreement that, among other things, requires us to establish and refine certain practices with respect to treatment of user data and privacy settings and also requires that we complete bi-annual independent privacy audits. The FTC formally approved the settlement agreement in August 2012. As another example, in 2011 the Irish Data Protection Commissioner (DPC) conducted an audit of the data, security, and privacy practices and policies of Facebook Ireland, which is the data controller for Facebook users outside the United States and Canada, and released a report of its conclusions in December 2011. The DPC conducted a second audit in July 2012 and released a report of its conclusions in September 2012. The FTC and DPC have investigated and audited aspects of our products and practices, and we expect to continue to be the subject of regulatory investigations and audits in the future by these and other regulators throughout the world.
It is possible that a regulatory inquiry might result in changes to our policies or practices. Violation of existing or future regulatory orders or consent decrees could subject us to substantial monetary fines and other penalties that could negatively affect our financial condition and results of operations. In addition, it is possible that future orders issued by, or enforcement actions initiated by, regulatory authorities could cause us to incur substantial costs or require us to change our business practices in a manner materially adverse to our business.
If we are unable to protect our intellectual property, the value of our brand and other intangible assets may be diminished, and our business may be adversely affected.
We rely and expect to continue to rely on a combination of confidentiality and license agreements with our employees, consultants, and third parties with whom we have relationships, as well as trademark, copyright, patent, trade secret, and domain

41


name protection laws, to protect our proprietary rights. In the United States and internationally, we have filed various applications for protection of certain aspects of our intellectual property, and we currently hold a number of issued patents in multiple jurisdictions and have acquired patents and patent applications from third parties. In addition, in the future we may acquire additional patents or patent portfolios, which could require significant cash expenditures. Third parties may knowingly or unknowingly infringe our proprietary rights, third parties may challenge proprietary rights held by us, and pending and future trademark and patent applications may not be approved. In addition, effective intellectual property protection may not be available in every country in which we operate or intend to operate our business. In any or all of these cases, we may be required to expend significant time and expense in order to prevent infringement or to enforce our rights. Although we have taken measures to protect our proprietary rights, there can be no assurance that others will not offer products or concepts that are substantially similar to ours and compete with our business. In addition, we regularly contribute software source code under open source licenses and have made other technology we developed available under other open licenses, and we include open source software in our products. For example, we have contributed certain specifications and designs related to our data center equipment to the Open Compute Project Foundation, a non-profit entity that shares and develops such information with the technology community, under the Open Web Foundation License. As a result of our open source contributions and the use of open source in our products, we may license or be required to license innovations that turn out to be material to our business and may also be exposed to increased litigation risk. If the protection of our proprietary rights is inadequate to prevent unauthorized use or appropriation by third parties, the value of our brand and other intangible assets may be diminished and competitors may be able to more effectively mimic our service and methods of operations. Any of these events could have an adverse effect on our business and financial results.
We are currently, and expect to be in the future, party to patent lawsuits and other intellectual property rights claims that are expensive and time consuming, and, if resolved adversely, could have a significant impact on our business, financial condition, or results of operations.
Companies in the Internet, technology, and media industries own large numbers of patents, copyrights, trademarks, and trade secrets, and frequently enter into litigation based on allegations of infringement, misappropriation, or other violations of intellectual property or other rights. In addition, various “non-practicing entities” that own patents and other intellectual property rights often attempt to aggressively assert their rights in order to extract value from technology companies. Furthermore, from time to time we may introduce new products, including in areas where we currently do not compete, which could increase our exposure to patent and other intellectual property claims from competitors and non-practicing entities.
From time to time, we receive notice letters from patent holders alleging that certain of our products and services infringe their patent rights. We presently are involved in a number of lawsuits, and as we face increasing competition and gain an increasingly high profile, we expect the number of patent and other intellectual property claims against us to grow. Defending patent and other intellectual property litigation is costly and can impose a significant burden on management and employees, and there can be no assurances that favorable final outcomes will be obtained in all cases. In addition, plaintiffs may seek, and we may become subject to, preliminary or provisional rulings in the course of any such litigation, including potential preliminary injunctions requiring us to cease some or all of our operations. We may decide to settle such lawsuits and disputes on terms that are unfavorable to us. Similarly, if any litigation to which we are a party is resolved adversely, we may be subject to an unfavorable judgment that may not be reversed upon appeal. The terms of such a settlement or judgment may require us to cease some or all of our operations or pay substantial amounts to the other party. In addition, we may have to seek a license to continue practices found to be in violation of a third party’s rights, which may not be available on reasonable terms, or at all, and may significantly increase our operating costs and expenses. As a result, we may also be required to develop alternative non-infringing technology or practices or discontinue the practices. The development of alternative non-infringing technology or practices could require significant effort and expense or may not be feasible. Our business, financial condition, or results of operations could be adversely affected as a result of an unfavorable resolution of the disputes and litigation referred to above.
We are involved in numerous class action lawsuits and other litigation matters that are expensive and time consuming, and, if resolved adversely, could harm our business, financial condition, or results of operations.
In addition to intellectual property claims, we are also involved in numerous other lawsuits, including putative class action lawsuits brought by users and advertisers, many of which claim statutory damages, and we anticipate that we will continue to be a target for numerous lawsuits in the future. Because we have over a billion users, the plaintiffs in class action cases filed against us typically claim enormous monetary damages even if the alleged per-user harm is small or non-existent. Any negative outcome from such lawsuits could result in payments of substantial monetary damages or fines, or changes to our products or business practices, and accordingly our business, financial condition, or results of operations could be materially and adversely affected. Although the results of such lawsuits and claims cannot be predicted with certainty, we do not believe that the final outcome of those matters relating to our products that we currently face will have a material adverse effect on our business, financial condition, or results of operations. In addition, following our initial public offering (IPO), we became the subject of stockholder class action suits. We believe these lawsuits are without merit and are vigorously defending these lawsuits.

42


There can be no assurances that a favorable final outcome will be obtained in all our cases, and defending any lawsuit is costly and can impose a significant burden on management and employees. Any litigation to which we are a party may result in an onerous or unfavorable judgment that may not be reversed upon appeal or in payments of substantial monetary damages or fines, or we may decide to settle lawsuits on similarly unfavorable terms, which could adversely affect our business, financial conditions, or results of operations.
Our CEO has control over key decision making as a result of his control of a majority of our voting stock.
As a result of voting agreements with certain stockholders, together with the shares he holds, Mark Zuckerberg, our founder, Chairman, and CEO, is able to exercise voting rights with respect to a majority of the voting power of our outstanding capital stock as of September 30, 2012. Mr. Zuckerberg therefore has the ability to control the outcome of matters submitted to our stockholders for approval, including the election of directors and any merger, consolidation, or sale of all or substantially all of our assets. This concentrated control could delay, defer, or prevent a change of control, merger, consolidation, or sale of all or substantially all of our assets that our other stockholders support, or conversely this concentrated control could result in the consummation of such a transaction that our other stockholders do not support. This concentrated control could also discourage a potential investor from acquiring our Class A common stock due to the limited voting power of such stock relative to the Class B common stock and might harm the trading price of our Class A common stock. In addition, Mr. Zuckerberg has the ability to control the management and major strategic investments of our company as a result of his position as our CEO and his ability to control the election or replacement of our directors. In the event of his death, the shares of our capital stock that Mr. Zuckerberg owns will be transferred to the persons or entities that he designates. As a board member and officer, Mr. Zuckerberg owes a fiduciary duty to our stockholders and must act in good faith in a manner he reasonably believes to be in the best interests of our stockholders. As a stockholder, even a controlling stockholder, Mr. Zuckerberg is entitled to vote his shares, and shares over which he has voting control as a result of voting agreements, in his own interests, which may not always be in the interests of our stockholders generally.
We will expend substantial funds in connection with the tax liabilities that arise upon the initial settlement of RSUs and the manner in which we fund that expenditure may have an adverse effect on our financial condition.
We previously disclosed in our Current Report on Form 8-K filed with the Securities and Exchange Commission (SEC) on September 4, 2012 that we will vest and settle outstanding RSUs granted prior to January 1, 2011 (Pre-2011 RSUs) for which the service condition has been satisfied, and that are held by employees who were employed by us through October 15, 2012, on October 25, 2012. Other Pre-2011 RSUs held by our non-employee directors and former employees will vest and settle on November 14, 2012.
On the settlement dates, we plan to withhold and remit income taxes at applicable minimum statutory rates based on the closing price of our common stock on the trading day immediately preceding the applicable settlement date. We currently expect that the average of these withholding tax rates will be approximately 45%. If the price of our common stock on the trading day immediately preceding the applicable settlement date were equal to $21.66, the closing price of our Class A common stock on September 30, 2012, we estimate that this tax obligation would be approximately $2.6 billion in the aggregate. The amount of this obligation could be higher or lower, depending on the closing price of our shares on the trading day immediately preceding the applicable settlement date. To settle these RSUs, assuming an approximate 45% tax withholding rate, we anticipate that we will net settle the awards on October 25, 2012 by delivering an aggregate of approximately 121 million shares of Class B common stock to RSU holders and withholding an aggregate of approximately 99 million shares of Class B common stock, based on RSUs outstanding as of September 30, 2012 for which the service condition will be satisfied as of October 15, 2012. In addition, we will also net settle on November 14, 2012 by delivering an aggregate of approximately 31 million shares of Class B common stock not held by then-current employees as of October 15, 2012 and withholding an aggregate of approximately 20 million shares of Class B common stock. In connection with these net settlements, we will withhold and remit the tax liabilities on behalf of the RSU holders in cash to the applicable tax authorities.
To fund the withholding and remittance obligations, we will borrow funds from term loan facility and use a portion of our existing cash. By drawing on our term loan facility, our interest expense and principal repayment requirements will increase significantly, which could have an adverse effect on our financial results.
We cannot be certain that additional financing will be available on reasonable terms when required, or at all.
From time to time, we may need additional financing to support our business growth or to respond to business opportunities, challenges or unforeseen circumstances. Our ability to obtain additional financing, if and when required, will depend on our business plans, investor demand, our operating performance, the condition of the capital markets, and other factors. If we raise additional funds through the issuance of equity, equity-linked or debt securities, those securities may have rights, preferences, or privileges senior to the rights of our Class A common stock, and our existing stockholders may experience dilution.

43


Our costs are continuing to grow, which could harm our business and profitability.
Providing our products to our users is costly and we expect our expenses to continue to increase in the future as we broaden our user base, as users increase the number of connections and amount of data they share with us, as we develop and implement new product features that require more computing infrastructure, and as we hire additional employees. Historically, our costs have increased each year due to these factors and we expect to continue to incur increasing costs, in particular for employees, servers, storage, power, and data centers, to support our anticipated future growth. We expect to continue to invest in our global infrastructure in order to provide our products rapidly and reliably to all users around the world, including in countries where we do not expect significant short-term monetization. Our expenses may continue to grow faster than our revenue over time. Our expenses may be greater than we anticipate, and our investments to make our business and our technical infrastructure more efficient may not be successful. In addition, we may increase marketing, sales, and other operating expenses in order to grow and expand our operations and to remain competitive. Increases in our costs may adversely affect our business and profitability.
Our business is dependent on our ability to maintain and scale our technical infrastructure, and any significant disruption in our service could damage our reputation, result in a potential loss of users and engagement, and adversely affect our financial results.
Our reputation and ability to attract, retain, and serve our users is dependent upon the reliable performance of Facebook and our underlying technical infrastructure. Our systems may not be adequately designed with the necessary reliability and redundancy to avoid performance delays or outages that could be harmful to our business. If Facebook is unavailable when users attempt to access it, or if it does not load as quickly as they expect, users may not return to our website as often in the future, or at all. As our user base and the amount and types of information shared on Facebook continue to grow, we will need an increasing amount of technical infrastructure, including network capacity, and computing power, to continue to satisfy the needs of our users. It is possible that we may fail to effectively scale and grow our technical infrastructure to accommodate these increased demands. In addition, our business is subject to interruptions, delays, or failures resulting from earthquakes, adverse weather conditions, other natural disasters, power loss, terrorism, or other catastrophic events.
A substantial portion of our network infrastructure is provided by third parties. Any disruption or failure in the services we receive from these providers could harm our ability to handle existing or increased traffic and could significantly harm our business. Any financial or other difficulties these providers face may adversely affect our business, and we exercise little control over these providers, which increases our vulnerability to problems with the services they provide.
We recently began to own and build key portions of our technical infrastructure, and, because of our limited experience in this area, we could experience unforeseen difficulties.
In 2011, we began serving our products from data centers owned by Facebook using servers specifically designed for us. We plan to continue to significantly expand the size of our infrastructure, primarily through data centers that we design and own. The infrastructure expansion we are undertaking is complex, and unanticipated delays in the completion of these projects or availability of components may lead to increased project costs, operational inefficiencies, or interruptions in the delivery or degradation of the quality of our products. In addition, there may be issues related to this infrastructure that are not identified during the testing phases of design and implementation, which may only become evident after we have started to fully utilize the underlying equipment, that could further degrade the user experience or increase our costs.
Our software is highly technical, and if it contains undetected errors, our business could be adversely affected.
Our products incorporate software that is highly technical and complex. Our software has contained, and may now or in the future contain, undetected errors, bugs, or vulnerabilities. Some errors in our software code may only be discovered after the code has been released. Any errors, bugs, or vulnerabilities discovered in our code after release could result in damage to our reputation, loss of users, loss of revenue, or liability for damages, any of which could adversely affect our business and financial results.
Certain of our user metrics are subject to inherent challenges in measurement, and real or perceived inaccuracies in such metrics may harm our reputation and negatively affect our business.
The numbers of our MAUs and DAUs and average revenue per user (ARPU) are calculated using internal company data based on the activity of user accounts. While these numbers are based on what we believe to be reasonable estimates of our user base for the applicable period of measurement, there are inherent challenges in measuring usage of our products across large online and mobile populations around the world. For example, there may be individuals who maintain one or more Facebook accounts in violation of our terms of service, despite our efforts to detect and suppress such behavior. We estimate, for example, that “duplicate” accounts (an account that a user maintains in addition to his or her principal account) may have represented approximately 4.8% of our worldwide MAUs as of June 30, 2012. We also seek to identify “false” accounts, which we divide into two categories: (1) user-misclassified accounts, where users have created personal profiles for a business, organization, or non-

44


human entity such as a pet (such entities are permitted on Facebook using a Page rather than a personal profile under our terms of service); and (2) undesirable accounts, which represent user profiles that we determine are intended to be used for purposes that violate our terms of service, such as spamming. As of June 30, 2012, for example, we estimate user-misclassified accounts may have represented approximately 2.4% of our worldwide MAUs and undesirable accounts may have represented approximately 1.5% of our worldwide MAUs. We believe the percentage of accounts that are duplicate or false is meaningfully lower in developed markets such as the United States or Australia and higher in developing markets such as Indonesia and Turkey. However, these estimates are based on an internal review of a limited sample of accounts and we apply significant judgment in making this determination, such as identifying names that appear to be fake or other behavior that appears inauthentic to the reviewers. As such, our estimation of duplicate or false accounts may not accurately represent the actual number of such accounts. We are continually seeking to improve our ability to identify duplicate or false accounts and estimate the total number of such accounts, and such estimates may be affected by improvements or changes in our methodology.
Our metrics are also affected by applications on certain mobile devices that automatically contact our servers for regular updates with no user action involved, and this activity can cause our system to count the user associated with such a device as an active user on the day such contact occurs. For example, we estimate that less than 5% of our estimated worldwide DAUs as of December 31, 2011 and 2010 resulted from this type of automatic mobile activity, and that this type of activity had a substantially smaller effect on our estimate of worldwide MAUs and mobile MAUs. The impact of this automatic activity on our metrics varies by geography because mobile usage varies in different regions of the world. In addition, our data regarding the geographic location of our users is estimated based on a number of factors, such as the user’s IP address and self-disclosed location. These factors may not always accurately reflect the user’s actual location. For example, a mobile-only user may appear to be accessing Facebook from the location of the proxy server that the user connects to rather than from the user’s actual location. The methodologies used to measure user metrics may also be susceptible to algorithm or other technical errors. For example, in early June 2012, we discovered an error in the algorithm we use to estimate the geographic location of our users that affected our attribution of certain user locations for the period ended March 31, 2012. While this issue did not affect our overall worldwide MAU and DAU numbers, it did affect our attribution of users across different geographic regions. We estimate that the number of MAUs as of March 31, 2012 for the United States and Canada region was overstated as a result of the error by approximately 3% and this overstatement was offset by understatements in other regions. In addition, our estimates for revenue by user location are also affected by these factors. We regularly review and may adjust our processes for calculating these metrics to improve their accuracy. In addition, our MAU and DAU estimates will differ from estimates published by third parties due to differences in methodology. For example, some third parties are not able to accurately measure mobile users or do not count mobile users for certain user groups or at all in their analyses. If advertisers, developers, or investors do not perceive our user metrics to be accurate representations of our user base, or if we discover material inaccuracies in our user metrics, our reputation may be harmed and advertisers and developers may be less willing to allocate their budgets or resources to Facebook, which could negatively affect our business and financial results.
We cannot assure you that we will effectively manage our growth.
Our employee headcount and the scope and complexity of our business have increased significantly, with the number of full-time employees increasing to 4,331 as of September 30, 2012 from 2,958 as of September 30, 2011, and we expect headcount growth to continue for the foreseeable future. The growth and expansion of our business and products create significant challenges for our management, operational, and financial resources, including managing multiple relations with users, advertisers, Platform developers, and other third parties. In the event of continued growth of our operations or in the number of our third-party relationships, our information technology systems or our internal controls and procedures may not be adequate to support our operations. In addition, some members of our management do not have significant experience managing a large global business operation, so our management may not be able to manage such growth effectively. To effectively manage our growth, we must continue to improve our operational, financial, and management processes and systems and to effectively expand, train, and manage our employee base. As our organization continues to grow, and we are required to implement more complex organizational management structures, we may find it increasingly difficult to maintain the benefits of our corporate culture, including our ability to quickly develop and launch new and innovative products. This could negatively affect our business performance.
The loss of one or more of our key personnel, or our failure to attract and retain other highly qualified personnel in the future, could harm our business.
We currently depend on the continued services and performance of our key personnel, including Mark Zuckerberg and Sheryl K. Sandberg. Although we have entered into employment agreements with Mr. Zuckerberg and Ms. Sandberg, the agreements have no specific duration and constitute at-will employment. In addition, many of our key technologies and systems are custom-made for our business by our personnel. The loss of key personnel, including members of management as well as key engineering, product development, marketing, and sales personnel, could disrupt our operations and have an adverse effect on our business.
As we continue to grow, we cannot guarantee we will continue to attract the personnel we need to maintain our competitive

45


position. In particular, we intend to hire a significant number of engineering and sales personnel in the remainder of 2012 and the foreseeable future, and we expect to face significant competition from other companies in hiring such personnel, particularly in the San Francisco Bay Area. As we mature, the incentives to attract, retain, and motivate employees provided by our equity awards or by future arrangements, such as through cash bonuses, may not be as effective as in the past. Additionally, we have a number of current employees whose equity ownership in our company gives them a substantial amount of personal wealth. Likewise, we have a number of current employees whose equity awards are fully vested and are entitled to receive substantial amounts of our capital stock. As a result, it may be difficult for us to continue to retain and motivate these employees, and this wealth could affect their decisions about whether or not they continue to work for us. If we do not succeed in attracting, hiring, and integrating excellent personnel, or retaining and motivating existing personnel, we may be unable to grow effectively.
We may incur liability as a result of information retrieved from or transmitted over the Internet or posted to Facebook and claims related to our products.
We have faced, currently face, and will continue to face claims relating to information that is published or made available on Facebook. In particular, the nature of our business exposes us to claims related to defamation, intellectual property rights, rights of publicity and privacy, and personal injury torts. This risk is enhanced in certain jurisdictions outside the United States where our protection from liability for third-party actions may be unclear and where we may be less protected under local laws than we are in the United States. We could incur significant costs investigating and defending such claims and, if we are found liable, significant damages. If any of these events occur, our business and financial results could be adversely affected.
Computer malware, viruses, hacking and phishing attacks, and spamming could harm our business and results of operations.
Computer malware, viruses, and computer hacking and phishing attacks have become more prevalent in our industry, have occurred on our systems in the past, and may occur on our systems in the future. Because of our prominence, we believe that we are a particularly attractive target for such attacks. Though it is difficult to determine what, if any, harm may directly result from any specific interruption or attack, any failure to maintain performance, reliability, security, and availability of our products and technical infrastructure to the satisfaction of our users may harm our reputation and our ability to retain existing users and attract new users.
In addition, spammers attempt to use our products to send targeted and untargeted spam messages to users, which may embarrass or annoy users and make Facebook less user-friendly. We cannot be certain that the technologies and employees that we have to attempt to defeat spamming attacks will be able to eliminate all spam messages from being sent on our platform. As a result of spamming activities, our users may use Facebook less or stop using our products altogether.
Payment transactions on the Facebook Platform may subject us to additional regulatory requirements and other risks that could be costly and difficult to comply with or that could harm our business.
Our users can use the Facebook Platform to purchase virtual and digital goods from our Platform developers using our Payments infrastructure. Depending on how our Payments product evolves, we may be subject to a variety of laws and regulations in the United States, Europe, and elsewhere, including those governing money transmission, gift cards and other prepaid access instruments, electronic funds transfers, anti-money laundering, counter-terrorist financing, gambling, banking and lending, and import and export restrictions. In some jurisdictions, the application or interpretation of these laws and regulations is not clear. To increase flexibility in how our use of Payments may evolve and to mitigate regulatory uncertainty, we have applied for and received certain money transmitter licenses in the United States and expect to apply for certain regulatory licenses in Europe, which will generally require us to demonstrate compliance with many domestic and foreign laws in these areas. Our efforts to comply with these laws and regulations could be costly and result in diversion of management time and effort and may still not guarantee compliance. In the event that we are found to be in violation of any such legal or regulatory requirements, we may be subject to monetary fines or other penalties such as a cease and desist order, or we may be required to make product changes, any of which could have an adverse effect on our business and financial results.
In addition, we may be subject to a variety of additional risks as a result of Payments on the Facebook Platform, including:
increased costs and diversion of management time and effort and other resources to deal with bad transactions or customer disputes;
potential fraudulent or otherwise illegal activity by users, developers, employees, or third parties;
restrictions on the investment of consumer funds used to transact Payments; and
additional disclosure and reporting requirements.

46


We plan to continue expanding our operations abroad where we have limited operating experience and may be subject to increased business and economic risks that could affect our financial results.
We plan to continue the international expansion of our business operations and the translation of our products. We currently make Facebook available in more than 70 different languages, and we have offices or data centers in more than 20 different countries. We may enter new international markets where we have limited or no experience in marketing, selling, and deploying our products. For example, we continue to evaluate entering China. However, this market has substantial legal and regulatory complexities that have prevented our entry into China to date. If we fail to deploy or manage our operations in international markets successfully, our business may suffer. In addition, we are subject to a variety of risks inherent in doing business internationally, including:
political, social, or economic instability;
risks related to the legal and regulatory environment in foreign jurisdictions, including with respect to privacy, and unexpected changes in laws, regulatory requirements, and enforcement;
potential damage to our brand and reputation due to compliance with local laws, including potential censorship or requirements to provide user information to local authorities;
fluctuations in currency exchange rates;
higher levels of credit risk and payment fraud;
enhanced difficulties of integrating any foreign acquisitions;
burdens of complying with a variety of foreign laws;
reduced protection for intellectual property rights in some countries;
difficulties in staffing and managing global operations and the increased travel, infrastructure, and legal compliance costs associated with multiple international locations;
compliance with the U.S. Foreign Corrupt Practices Act, the U.K. Bribery Act, and similar laws in other jurisdictions; and
compliance with statutory equity requirements and management of tax consequences.
If we are unable to expand internationally and manage the complexity of our global operations successfully, our financial results could be adversely affected.
We plan to continue to make acquisitions, which could require significant management attention, disrupt our business, result in dilution to our stockholders, and adversely affect our financial results.
As part of our business strategy, we have made and intend to make acquisitions to add specialized employees, complementary companies, products, or technologies. For example, in May 2012, we acquired Karma Science, Inc., whose technology powers our new Gifts product that enables users to send real gifts to their friends, and in August 2012, we closed our acquisition of Instagram. Our ability to acquire and integrate larger or more complex companies, products, or technologies in a successful manner is unproven. In the future, we may not be able to find other suitable acquisition candidates, and we may not be able to complete acquisitions on favorable terms, if at all. Our previous and future acquisitions may not achieve our goals, and any future acquisitions we complete could be viewed negatively by users, developers, advertisers, or investors. In addition, if we fail to successfully close or integrate any acquisitions, or integrate the products or technologies associated with such acquisitions into our company, our revenue and operating results could be adversely affected. Any integration process may require significant time and resources, and we may not be able to manage the process successfully. We may not successfully evaluate or utilize the acquired products, technology, or personnel, or accurately forecast the financial impact of an acquisition transaction, including accounting charges. We may have to pay cash, incur debt, or issue equity securities to pay for any such acquisition, any of which could adversely affect our financial results. The sale of equity or issuance of debt to finance any such acquisitions could result in dilution to our stockholders. The incurrence of indebtedness would result in increased fixed obligations and could also include covenants or other restrictions that would impede our ability to manage our operations.
If we default on our leasing and credit obligations, our operations may be interrupted and our business and financial results could be adversely affected.
We finance a significant portion of our expenditures through leasing arrangements, some of which are not required to be reflected on our balance sheet, and we may enter into additional similar arrangements in the future. In particular, we have used these types of arrangements to finance some of our equipment and data centers. In addition, we have a revolving credit facility that we may draw upon to finance our operations or other corporate purposes and have a term loan facility, which we plan to draw to pay approximately half of our tax withholding and remittance obligations in connection with the settlement of RSUs. If we default on these leasing and credit obligations, our leasing partners and lenders may, among other things:

47


require repayment of any outstanding lease obligations or amounts drawn on our credit facilities;
terminate our leasing arrangements and credit facilities;
terminate our access to the leased data centers we utilize;
stop delivery of ordered equipment;
sell or require us to return our leased equipment; or
require us to pay significant damages.
If some or all of these events were to occur, our operations may be interrupted and our ability to fund our operations or obligations, as well as our business, financial results, and financial condition, could be adversely affected.
We may have exposure to greater than anticipated tax liabilities.
Our income tax obligations are based in part on our corporate operating structure and intercompany arrangements, including the manner in which we develop, value, and use our intellectual property and the valuations of our intercompany transactions. The tax laws applicable to our business, including the laws of the United States and other jurisdictions, are subject to interpretation. The taxing authorities of the jurisdictions in which we operate may challenge our methodologies for valuing developed technology or intercompany arrangements, which could increase our worldwide effective tax rate and harm our financial position and results of operations. In addition, our future income taxes could be adversely affected by earnings being lower than anticipated in jurisdictions that have lower statutory tax rates and higher than anticipated in jurisdictions that have higher statutory tax rates, by changes in the valuation of our deferred tax assets and liabilities, or by changes in tax laws, regulations, or accounting principles. We are subject to regular review and audit by both U.S. federal and state and foreign tax authorities. Any adverse outcome of such a review or audit could have a negative effect on our financial position and results of operations. In addition, the determination of our worldwide provision for income taxes and other tax liabilities requires significant judgment by management, and there are many transactions where the ultimate tax determination is uncertain. Although we believe that our estimates are reasonable, the ultimate tax outcome may differ from the amounts recorded in our financial statements and may materially affect our financial results in the period or periods for which such determination is made.
The enactment of legislation implementing changes in the U.S. taxation of international business activities or the adoption of other tax reform policies could materially affect our financial position and results of operations.
The current administration has made public statements indicating that it has made international tax reform a priority, and key members of the U.S. Congress have conducted hearings and proposed a wide variety of potential changes. Certain changes to U.S. tax laws, including limitations on the ability to defer U.S. taxation on earnings outside of the United States until those earnings are repatriated to the United States, could affect the tax treatment of our foreign earnings, as well as cash and cash equivalent balances we currently maintain outside of the United States. Due to the large and expanding scale of our international business activities, any changes in the U.S. taxation of such activities may increase our worldwide effective tax rate and harm our financial position and results of operations.
Risks Related to Ownership of Our Class A Common Stock
The trading price of our Class A common stock has been and will likely continue to be volatile.
The trading price of our Class A common stock has been, and is likely to continue to be, volatile. Since shares of our Class A common stock were sold in our IPO in May 2012 at a price of $38.00 per share, our stock price has ranged from $17.55 to $45.00, through September 30, 2012. In addition to the factors discussed in this Quarterly Report on Form 10-Q, the trading price of our Class A common stock may fluctuate significantly in response to numerous factors, many of which are beyond our control, including:
actual or anticipated fluctuations in our revenue and other operating results;
the financial projections we may provide to the public, any changes in these projections or our failure to meet these projections;
actions of securities analysts who initiate or maintain coverage of us, changes in financial estimates by any securities analysts who follow our company, or our failure to meet these estimates or the expectations of investors;
additional shares of our common stock being sold into the market by us or our existing stockholders or the anticipation of such sales, including if existing stockholders sell shares into the market when applicable “lock-up” periods end;
investor sentiment with respect to our competitors, our business partners, and our industry in general;
announcements by us or our competitors of significant products or features, technical innovations, acquisitions, strategic partnerships, joint ventures, or capital commitments;
announcements by us or estimates by third parties of actual or anticipated changes in the size of our user base, the

48


level of user engagement or the effectiveness of our ad products;
changes in operating performance and stock market valuations of technology companies in our industry, including our Platform developers and competitors;
price and volume fluctuations in the overall stock market, including as a result of trends in the economy as a whole;
media coverage of our business and financial performance;
lawsuits threatened or filed against us;
developments in new legislation and pending lawsuits or regulatory actions, including interim or final rulings by judicial or regulatory bodies; and
other events or factors, including those resulting from war or incidents of terrorism, or responses to these events.
In addition, the stock markets have experienced extreme price and volume fluctuations that have affected and continue to affect the market prices of equity securities of many technology companies. Stock prices of many technology companies have fluctuated in a manner unrelated or disproportionate to the operating performance of those companies. Following our IPO, the events surrounding the offering became the subject of securities litigation. We may experience more such litigation following future periods of volatility. Any securities litigation could subject us to substantial costs, divert resources and the attention of management from our business, and adversely affect our business.
Substantial blocks of our total outstanding shares may be sold into the market when “lock-up” or “market standoff” periods end. If there are substantial sales of shares of our common stock, the price of our Class A common stock could decline.
The price of our Class A common stock could decline if there are substantial sales of our common stock, particularly sales by our directors, executive officers, employees, and significant stockholders, or when there is a large number of shares of our common stock available for sale. As of September 30, 2012, there were 948,988,558 shares of our Class A common stock and 1,216,644,203 shares of our Class B common stock outstanding. Shares of our Class B common stock are convertible into an equivalent number of shares of our Class A common stock and generally convert into shares of our Class A common stock upon transfer.

As of September 30, 2012, we had 692,357,430 shares of common stock eligible for sale in the public market, which consisted of 421,233,615 shares of our Class A common stock sold in our IPO and 271,123,815 shares held by selling stockholders other than Mr. Zuckerberg that were released from lock-up restrictions on August 16, 2012. The remaining shares of our Class A common stock and Class B common stock, as well as the shares underlying outstanding RSUs and shares subject to employee stock options, will be eligible for sale in the public market in the near future as set forth below:
 
Date Available for Sale into Public Market
  
Number of Shares of Common Stock
 
 
October 29, 2012
  
approximately 121 million shares underlying net- settled Pre-2011 RSUs held by then-current employees as of October 15, 2012 and approximately 53 million outstanding shares and approximately 55 million shares subject to stock options held by then-current employees as of October 15, 2012 other than Mr. Zuckerberg
 
 
November 14, 2012
  
approximately 773 million outstanding shares and approximately 31 million net-settled Pre-2011 RSUs not held by then-current employees as of October 15, 2012
 
 
December 14, 2012
  
155,953,746 shares held by the selling stockholders in our IPO other than Mr. Zuckerberg
 
 
May 18, 2013
  
47,315,862 shares held by Mail.ru Group Limited and DST Global Limited and their respective affiliates

The table above excludes 444 million outstanding shares and 60 million shares issuable upon the exercise of an option that are held by Mr. Zuckerberg because he has informed us that he has no intention to conduct any sale transactions in our securities until at least September 2013.
In addition, as of September 30, 2012, options to purchase 48,323,335 shares of Class B common stock held by former employees were outstanding and fully vested and the Class B common stock underlying such options will be eligible for sale on November 14, 2012. We expect an additional approximately 3 million shares of Class B common stock to be delivered upon the net settlement of RSUs between the date of the initial settlement of RSUs described above and December 31, 2012 will be eligible for sale in the public market immediately following settlement.

49


Certain holders of our Class A common stock and Class B common stock have rights, subject to some conditions, to require us to file registration statements covering their shares or to include their shares in registration statements that we may file for ourselves or our stockholders. Some of these shares are subject to market standoff or lock-up agreements restricting their sale for specified periods of time after our IPO and some of these shares have already been released from market stand-off restrictions. We also registered 1,182,700,275 additional shares of common stock that we have issued and may issue under our employee equity incentive plans on Form S-8, all of which will be freely tradeable in the public market upon issuance, subject to existing market standoff or lock-up agreements.
Morgan Stanley & Co. LLC, the representative of the underwriters of our IPO, may, with our prior written consent, permit our executive officers, our directors, and the selling stockholders from our IPO to sell shares prior to the expiration of the restrictive provisions contained in the “lock-up” agreements with the underwriters. In addition, we may, in our sole discretion, permit our employees and current stockholders who are subject to market standoff agreements or arrangements with us and who are not subject to a lock-up agreement with the underwriters to sell shares prior to the expiration of the restrictive provisions contained in those market standoff agreements or arrangements.
The trading price of the shares of our Class A common stock could decline as a result of the sale of a substantial number of our shares of common stock in the public market or the perception in the market that the holders of a large number of shares intend to sell their shares.
If securities or industry analysts publish inaccurate or unfavorable research about our business, our stock price could decline.
The trading market for our Class A common stock depends in part on the research and reports that securities or industry analysts publish about us or our business. If one or more of the analysts who cover us downgrade our Class A common stock or publish inaccurate or unfavorable research about our business, our Class A common stock price could decline.
We do not intend to pay dividends for the foreseeable future.
We have never declared or paid cash dividends on our capital stock. We currently intend to retain any future earnings to finance the operation and expansion of our business, and we do not expect to declare or pay any dividends in the foreseeable future. As a result, you may only receive a return on your investment in our Class A common stock if the trading price of our Class A common stock increases. In addition, our credit facilities contain restrictions on our ability to pay dividends.
If we are unable to implement and maintain effective internal control over financial reporting in the future, investors may lose confidence in the accuracy and completeness of our financial reports and the trading price of our Class A common stock may be negatively affected.
We are required to maintain internal controls over financial reporting and to report any material weaknesses in such internal controls. In addition, beginning with our 2013 Annual Report on Form 10-K to be filed in 2014, we will be required to furnish a report by management on the effectiveness of our internal control over financial reporting pursuant to Section 404 of the Sarbanes-Oxley Act. We are in the process of designing, implementing, and testing the internal control over financial reporting required to comply with this obligation, which process is time consuming, costly, and complicated. If we identify material weaknesses in our internal control over financial reporting, if we are unable to comply with the requirements of Section 404 in a timely manner or assert that our internal control over financial reporting is effective, or if our independent registered public accounting firm is unable to express an opinion as to the effectiveness of our internal control over financial reporting, investors may lose confidence in the accuracy and completeness of our financial reports and the trading price of our Class A common stock could be negatively affected, and we could become subject to investigations by the stock exchange on which our securities are listed, the SEC, or other regulatory authorities, which could require additional financial and management resources.
The requirements of being a public company may strain our resources and divert management’s attention.
We are subject to the reporting requirements of the Securities Exchange Act of 1934, as amended (Exchange Act), the Sarbanes-Oxley Act, the Dodd-Frank Act, the listing requirements of the NASDAQ Global Select Market, and other applicable securities rules and regulations. Compliance with these rules and regulations will increase our legal and financial compliance costs, make some activities more difficult, time-consuming, or costly, and increase demand on our systems and resources. As a result, management’s attention may be diverted from other business concerns, which could harm our business and operating results. Although we have hired additional employees to comply with these requirements, we may need to hire more employees in the future, which will increase our costs and expenses.
In addition, complying with public disclosure rules makes our business more visible, which we believe may result in threatened or actual litigation, including by competitors and other third parties. If such claims are successful, our business and operating

50


results could be harmed, and even if the claims do not result in litigation or are resolved in our favor, these claims, and the time and resources necessary to resolve them, could divert the resources of our management and harm our business and operating results.
The dual class structure of our common stock and the voting agreements among certain stockholders have the effect of concentrating voting control with our CEO, and also with employees and directors and their affiliates; this will limit or preclude your ability to influence corporate matters.
Our Class B common stock has ten votes per share, and our Class A common stock has one vote per share. Stockholders who hold shares of Class B common stock, including our executive officers, employees, and directors and their affiliates, together hold a substantial majority of the voting power of our outstanding capital stock. Because of the ten-to-one voting ratio between our Class B and Class A common stock, the holders of our Class B common stock collectively control a majority of the combined voting power of our common stock and therefore are able to control all matters submitted to our stockholders for approval so long as the shares of Class B common stock represent at least 9.1% of all outstanding shares of our Class A and Class B common stock. This concentrated control will limit or preclude your ability to influence corporate matters for the foreseeable future.
Future transfers by holders of Class B common stock will generally result in those shares converting to Class A common stock, subject to limited exceptions, such as certain transfers effected for estate planning or charitable purposes. The conversion of Class B common stock to Class A common stock will have the effect, over time, of increasing the relative voting power of those holders of Class B common stock who retain their shares in the long term. If, for example, Mr. Zuckerberg retains a significant portion of his holdings of Class B common stock for an extended period of time, he could, in the future, continue to control a majority of the combined voting power of our Class A common stock and Class B common stock.
We have elected to take advantage of the “controlled company” exemption to the corporate governance rules for NASDAQ-listed companies, which could make our Class A common stock less attractive to some investors or otherwise harm our stock price.
Because we qualify as a “controlled company” under the corporate governance rules for NASDAQ-listed companies, we are not required to have a majority of our board of directors be independent, nor are we required to have a compensation committee or an independent nominating function. In light of our status as a controlled company, our board of directors determined not to have an independent nominating function and chose to have the full board of directors be directly responsible for nominating members of our board, and in the future we could elect not to have a majority of our board of directors be independent or not to have a compensation committee. Accordingly, should the interests of our controlling stockholder differ from those of other stockholders, the other stockholders may not have the same protections afforded to stockholders of companies that are subject to all of the corporate governance rules for NASDAQ-listed companies. Our status as a controlled company could make our Class A common stock less attractive to some investors or otherwise harm our stock price.
Delaware law and provisions in our restated certificate of incorporation and bylaws could make a merger, tender offer, or proxy contest difficult, thereby depressing the trading price of our Class A common stock.
Our status as a Delaware corporation and the anti-takeover provisions of the Delaware General Corporation Law may discourage, delay, or prevent a change in control by prohibiting us from engaging in a business combination with an interested stockholder for a period of three years after the person becomes an interested stockholder, even if a change of control would be beneficial to our existing stockholders. In addition, our restated certificate of incorporation and bylaws contain provisions that may make the acquisition of our company more difficult, including the following:
until the first date on which the outstanding shares of our Class B common stock represent less than 35% of the combined voting power of our common stock, any transaction that would result in a change in control of our company requires the approval of a majority of our outstanding Class B common stock voting as a separate class;
we have a dual class common stock structure, which provides Mr. Zuckerberg with the ability to control the outcome of matters requiring stockholder approval, even if he owns significantly less than a majority of the shares of our outstanding Class A and Class B common stock;
when the outstanding shares of our Class B common stock represent less than a majority of the combined voting power of common stock, certain amendments to our restated certificate of incorporation or bylaws will require the approval of two-thirds of the combined vote of our then-outstanding shares of Class A and Class B common stock;
when the outstanding shares of our Class B common stock represent less than a majority of the combined voting power of our common stock, vacancies on our board of directors will be able to be filled only by our board of directors and not by stockholders;
when the outstanding shares of our Class B common stock represent less than a majority of the combined voting power of our common stock, our board of directors will be classified into three classes of directors with staggered

51


three-year terms and directors will only be able to be removed from office for cause;
when the outstanding shares of our Class B common stock represent less than a majority of the combined voting power of our common stock, our stockholders will only be able to take action at a meeting of stockholders and not by written consent;
only our chairman, our chief executive officer, our president, or a majority of our board of directors are authorized to call a special meeting of stockholders;
advance notice procedures apply for stockholders to nominate candidates for election as directors or to bring matters before an annual meeting of stockholders;
our restated certificate of incorporation authorizes undesignated preferred stock, the terms of which may be established, and shares of which may be issued, without stockholder approval; and
certain litigation against us can only be brought in Delaware.
Item 2.
Unregistered Sales of Equity Securities and Use of Proceeds.
a)
Sales of Unregistered Securities
On July 5, 2012, we issued 809,923 shares of our Class A common stock as consideration to 13 individuals and 11 entities in connection with our acquisition of all the outstanding shares of a company.
On July 24, 2012, we issued 342 shares of our Class A common stock as consideration to 8 individuals in connection with our acquisition of all the outstanding shares of a company.
On September 14, 2012, we issued 423,284 shares of our Class A common stock as consideration to 9 individuals and 5 entities in connection with our acquisition of all the outstanding shares of a company
The sales of the above securities were exempt from registration under the Securities Act of 1933, as amended (Securities Act), in reliance upon Section 4(2) of the Securities Act as transactions by an issuer not involving any public offering. The recipients of the securities in each of these transactions represented their intentions to acquire the securities for investment only and not with a view to or for sale in connection with any distribution thereof, and appropriate legends were placed upon the stock certificates issued in these transactions.
On August 31, 2012, we issued 22,999,395 shares of our Class B common stock as consideration to 6 individuals and 13 entities in connection with our acquisition of all the outstanding shares of a company. The sales of these securities were exempt from registration under the Securities Act, in reliance upon Section 3(a)(10) of the Securities Act.
b)
Use of Proceeds
Not applicable.
c)
Issuer Purchases of Equity Securities
The table below provides information with respect to repurchases of unvested shares of our Class A common stock. 
Period
 
Total Number of Shares Purchased (1)
 
Weighted Average Price Paid per Share
 
Total Number of Shares Purchased as Part of Publicly Announced Plans or Programs
 
Maximum Number of Shares that May Yet Be Purchased Under the Plans or Programs
July 1 – July 31, 2012
 

 

 

 

August 1 – August 31, 2012
 
43,932

 
$
0.000006

 

 

September 1 – September 30, 2012
 

 

 

 

(1) Under certain acquisition agreements, acquisition shares are subject to vesting. Unvested shares are subject to a right of repurchase by us in the event the recipient of such unvested acquisition shares is no longer employed by us. All shares in the above table were shares repurchased as a result of us exercising this right and not pursuant to a publicly announced plan or program.


52


Item 6.
Exhibits

Exhibit
 
  
 
Incorporated by Reference
 
Filed
Herewith
Number
 
Exhibit Description
 
Form
 
File No.
 
Exhibit
 
Filing Date
 
 
 
 
 
 
 
 
31.1
  
Certification of Mark Zuckerberg, Chief Executive Officer, pursuant to Rule 13a-14(a)/15d-14(a), as adopted pursuant to Section 302 of the Sarbanes-Oxley Act of 2002.
  
 
  
 
  
 
  
 
  
X
 
 
 
 
 
 
 
31.2
  
Certification of David A. Ebersman, Chief Financial Officer, pursuant to Rule 13a-14(a)/15d-14(a), as adopted pursuant to Section 302 of the Sarbanes-Oxley Act of 2002.
  
 
  
 
  
 
  
 
  
X
 
 
 
 
 
 
 
32.1#
  
Certification of Mark Zuckerberg, Chief Executive Officer, pursuant to 18 U.S.C. Section 1350, as adopted pursuant to Section 906 of the Sarbanes-Oxley Act of 2002.
  
 
  
 
  
 
  
 
  
X
 
 
 
 
 
 
 
32.2#
  
Certification of David A. Ebersman, Chief Financial Officer, pursuant to 18 U.S.C. Section 1350, as adopted pursuant to Section 906 of the Sarbanes-Oxley Act of 2002.
  
 
  
 
  
 
  
 
  
X
 
 
 
 
 
 
 
101.INS*
  
XBRL Instance Document.
  
 
  
 
  
 
  
 
  
X
 
 
 
 
 
 
 
101.SCH*
  
XBRL Taxonomy Extension Schema Document.
  
 
  
 
  
 
  
 
  
X
 
 
 
 
 
 
 
101.CAL*
  
XBRL Taxonomy Extension Calculation Linkbase Document.
  
 
  
 
  
 
  
 
  
X
 
 
 
 
 
 
 
101.DEF*
  
XBRL Taxonomy Extension Definition Linkbase Document.
  
 
  
 
  
 
  
 
  
X
 
 
 
 
 
 
 
101.LAB*
  
XBRL Taxonomy Extension Labels Linkbase Document.
  
 
  
 
  
 
  
 
  
X
 
 
 
 
 
 
 
101.PRE*
  
XBRL Taxonomy Extension Presentation Linkbase Document.
  
 
  
 
  
 
  
 
  
X


# This certification is deemed not filed for purposes of section 18 of the Securities Exchange Act of 1934, as amended (Exchange Act), or otherwise subject to the liability of that section, nor shall it be deemed incorporated by reference into any filing under the Securities Act of 1933, as amended (Securities Act) or the Exchange Act.

* Pursuant to applicable securities laws and regulations, these interactive data files are deemed not filed or part of a registration statement or prospectus for purposes of sections 11 or 12 of the Securities Act, are deemed not filed for purposes of section 18 of the Exchange Act and otherwise are not subject to liability under these sections.



53


SIGNATURES
Pursuant to the requirements of the Securities Exchange Act of 1934, the Registrant has duly caused this Quarterly Report on Form 10-Q to be signed on its behalf by the undersigned, thereunto duly authorized, in the City of Menlo Park, State of California, on this 24th day of October 2012.
 
 
 
FACEBOOK, INC.
 
 
Date: October 24, 2012
 
/s/ DAVID A. EBERSMAN
 
 
David A. Ebersman
Chief Financial Officer
(Principal Financial Officer)
 
 
Date: October 24, 2012
 
/s/ DAVID M. SPILLANE
 
 
David M. Spillane
Chief Accounting Officer
(Principal Accounting Officer)


54