第一部【企業情報】

第1【企業の概況】

(はじめに)

当社(株式会社ミダックホールディングス)は、2011年4月に共同出資会社より株式会社ミダックふじの宮の株式を取得し、完全子会社としました。さらに2012年3月には、子会社である株式会社ミダックふじの宮を間接部門のコスト削減等を目的として吸収合併しました。

また、廃棄物処分事業の拡大を目的として、2015年3月に株式会社三晃を、2015年12月に株式会社三生開発(現・株式会社ミダック)、そして2021年10月に株式会社柳産業(現・株式会社ミダックこなん)を子会社化しました。

そして、2022年4月1日を効力発生日として、廃棄物処分事業(処理施設)、収集運搬事業(産業廃棄物の収集運搬事業)及び仲介管理事業を株式会社ミダックへ、廃棄物処分事業(関事業所)を株式会社三晃に承継させる吸収分割を行いました。加えて、同日を効力発生日として、収集運搬事業(一般廃棄物の収集運搬事業)を株式会社ミダックライナーに承継させる新設分割を実施し、当社は持株会社体制へ移行いたしました。

その後、2023年7月に遠州砕石株式会社、2023年9月に株式会社フレンドサニタリーを子会社化し、現在に至ります。

当社の上記の沿革を図示いたしますと、次のようになります。

 

0101010_001.jpg

1【主要な経営指標等の推移】

(1)連結経営指標等

回次

第56期

第57期

第58期

第59期

第60期

決算年月

2020年3月

2021年3月

2022年3月

2023年3月

2024年3月

売上高

(千円)

5,213,953

5,701,605

6,381,147

7,771,698

9,547,104

経常利益

(千円)

1,446,971

1,848,506

2,188,644

2,692,304

3,377,669

親会社株主に帰属する当期純利益

(千円)

795,873

1,018,967

1,284,751

1,685,709

1,907,010

包括利益

(千円)

795,873

1,018,967

1,284,751

1,685,709

1,908,317

純資産額

(千円)

4,382,197

5,522,920

9,536,390

10,983,897

12,789,791

総資産額

(千円)

11,919,510

14,222,281

20,040,161

21,607,562

26,901,101

1株当たり純資産額

(円)

166.29

207.58

345.62

397.26

461.33

1株当たり当期純利益

(円)

31.72

38.45

47.98

61.12

69.00

潜在株式調整後1株当たり当期純利益

(円)

47.97

61.10

68.99

自己資本比率

(%)

36.8

38.8

47.6

50.7

47.4

自己資本利益率

(%)

24.0

20.6

17.1

16.4

16.1

株価収益率

(倍)

14.2

63.7

57.1

35.3

22.8

営業活動によるキャッシュ・フロー

(千円)

1,651,228

1,773,585

1,807,944

2,849,416

2,653,279

投資活動によるキャッシュ・フロー

(千円)

1,474,516

2,063,998

3,908,435

2,243,155

2,845,699

財務活動によるキャッシュ・フロー

(千円)

1,778,337

827,704

3,700,938

39,927

2,263,589

現金及び現金同等物の期末残高

(千円)

3,756,479

4,293,770

5,894,217

6,540,406

8,611,576

従業員数

(人)

193

204

241

265

354

(外、平均臨時雇用者数)

(31)

(30)

(43)

(43)

(49)

 (注)1.売上高には、消費税等は含まれておりません。

2.2019年9月14日付で普通株式1株につき普通株式3株の割合で、2020年2月1日付で普通株式1株につき普通株式1.3株の割合で、2021年7月1日付で普通株式1株につき2株の割合で株式分割を行いました。第56期の期首に当該株式分割が行われたと仮定して、1株当たり純資産額、1株当たり当期純利益及び潜在株式調整後1株当たり当期純利益を算定しております。

3.第56期の潜在株式調整後1株当たり当期純利益については、潜在株式が存在しないため、記載しておりません。第57期の潜在株式調整後1株当たり当期純利益については、希薄化効果を有している潜在株式が存在しないため記載しておりません。

4.2019年9月14日付で普通株式1株につき普通株式3株の割合で、2020年2月1日付で普通株式1株につき普通株式1.3株の割合で、2021年7月1日付で普通株式1株につき2株の割合で株式分割を行いました。第56期の期首に当該株式分割が行われたと仮定して株価収益率を計算しております。

 

(2)提出会社の経営指標等

回次

第56期

第57期

第58期

第59期

第60期

決算年月

2020年3月

2021年3月

2022年3月

2023年3月

2024年3月

売上高

(千円)

3,516,447

3,664,527

3,548,116

1,736,968

2,619,468

経常利益

(千円)

741,594

890,224

794,163

819,223

1,553,720

当期純利益

(千円)

592,727

667,737

664,663

781,871

1,382,053

資本金

(千円)

752,971

752,971

2,149,871

90,000

90,000

発行済株式総数

(株)

13,386,750

13,386,750

27,773,500

27,773,500

27,773,500

純資産額

(千円)

3,903,654

4,693,147

7,549,480

5,576,854

6,856,483

総資産額

(千円)

10,678,893

12,540,019

16,354,691

13,787,273

18,470,034

1株当たり純資産額

(円)

148.13

176.38

273.56

201.38

246.81

1株当たり配当額

(円)

5

5

5

5

8

(うち1株当たり中間配当額)

(-)

(-)

(-)

(-)

(-)

1株当たり当期純利益

(円)

23.62

25.20

24.82

28.35

50.00

潜在株式調整後1株当たり当期純利益

(円)

24.81

28.34

50.00

自己資本比率

(%)

36.6

37.4

46.1

40.3

37.0

自己資本利益率

(%)

20.2

15.5

10.9

11.9

22.3

株価収益率

(倍)

19.1

97.2

110.4

76.0

31.4

配当性向

(%)

10.6

9.9

20.1

17.6

16.0

従業員数

(人)

176

186

190

40

49

(外、平均臨時雇用者数)

(26)

(25)

(30)

(9)

(9)

株主総利回り

(%)

145.4

782.5

876.8

691.8

508.6

(比較指標:配当込みTOPIX)

(%)

(90.5)

(128.6)

(131.2)

(138.8)

(196.2)

最高株価

(円)

1,605

(4,965)

(2,395)

5,130

6,100

(7,140)

 3,775

2,150

最低株価

(円)

772

(2,405)

(1,413)

870

2,079

(4,535)

 1,960

 1,474

 (注)1.売上高には消費税等は含まれておりません。

2.2019年9月14日付で普通株式1株につき普通株式3株の割合で、2020年2月1日付で普通株式1株につき普通株式1.3株の割合で、2021年7月1日付で普通株式1株につき普通株式2株の割合で株式分割を行いました。第56期の期首に当該株式分割が行われたと仮定し、1株当たり純資産額、1株当たり当期純利益及び潜在株式調整後1株当たり当期純利益を算定しております。

3.第56期の潜在株式調整後1株当たり当期純利益については、潜在株式が存在しないため、記載しておりません。第57期の潜在株式調整後1株当たり当期純利益については、希薄化効果を有している潜在株式が存在しないため記載しておりません。

4.2019年9月14日付で普通株式1株につき普通株式3株の割合で、2020年2月1日付で普通株式1株につき普通株式1.3株の割合で、2021年7月1日付で普通株式1株につき普通株式2株の割合で株式分割を行いました。第56期の期首に当該株式分割が行われたと仮定して株価収益率を計算しております。

5.2019年9月14日付で普通株式1株につき普通株式3株の割合で、2020年2月1日付で普通株式1株につき普通株式1.3株の割合で、2021年7月1日付で普通株式1株につき普通株式2株の割合で株式分割を行いました。第56期の期首に当該株式分割が行われたと仮定して配当性向を計算しております。

6.第56期の最高株価及び最低株価は、当社が2019年12月24日に東京証券取引所(市場第一部)および名古屋証券取引所(市場第一部)に銘柄指定されましたが、主要な金融商品取引所である東京証券取引所(市場第二部および市場第一部)におけるものであります。

第57期から第60期の最高株価及び最低株価は、2022年4月4日より東京証券取引所(プライム市場)におけるものであり、それ以前は東京証券取引所(市場第一部)におけるものであります。

7.2019年9月14日付で普通株式1株につき普通株式3株の割合で、2020年2月1日付で普通株式1株につき普通株式1.3株の割合で株式分割を行いました。そのため、第56期の株価については株式分割後の最高株価及び最低株価を記載しており、上段( )内に2019年9月14日付の株式分割前の最高株価及び最低株価、下段( )内に2020年2月1日付の株式分割前の最高株価及び最低株価を記載しております。

8.2021年7月1日付で普通株式1株につき普通株式2株の割合で株式分割を行いました。そのため、第58期の株価については株式分割後の最高株価及び最低株価を記載しており、( )内に当該株式分割前の最高株価及び最低株価を記載しております。

 

2【沿革】

    当社は、1952年静岡県浜松市において、一般廃棄物取扱業務を行うことを目的として、現在の株式会社ミダッ

クホールディングスの前身である「小島清掃社」を創業いたしました。

 その後、1964年に社会的信用の向上を図ることを目的として小島清掃株式会社を設立、産業廃棄物の収集運搬業務、処分業務も行うことで事業拡大を図り、1996年に商号を「株式会社ミダック」に変更いたしました。そして、2022年4月に持株会社へ移行するために、2021年10月に商号を「株式会社ミダックホールディングス」に変更いたしました。

 これまでの経緯は、次のとおりであります。

1952年4月

浜松市にて小島清掃社を創業、同月に浜松市清掃課認可により一般廃棄物取扱業務を行う

1960年4月

静岡県浜名郡可美村(現浜松市)より一般廃棄物の収集・運搬、処分の委託を受ける

1964年7月

社会的信用の向上を図ることを目的として小島清掃社を法人化し、小島清掃株式会社を設立

1972年9月

静岡県の許可を得て、収集・運搬、最終処分業務を行う

1986年5月

浜松市に廃液処理施設を新設

1988年4月

浜松市より産業廃棄物処分業、特別管理産業廃棄物処分業の許可を取得、同市に管理型最終処分場を新設

1992年10月

本社工場内に活性汚泥処理施設を増設

1993年10月

本社工場内に主に感染性廃棄物の処理を行う乾留施設を新設

1996年7月

株式会社ミダック(現・株式会社ミダックホールディングス)へ商号変更

1997年3月

本社工場内に特定有害産業廃棄物処理施設を増設

1997年5月

静岡県富士宮市に富士宮事業所(中間処理施設)を開設

1998年1月

浜松市に100%子会社として有限会社ミダック分析センターを設立

1998年4月

静岡県磐田郡福田町(現磐田市)に福田事業所(焼却処理施設)を開設

2000年3月

2001年9月

静岡県富士宮市に株式会社ミダックふじの宮を設立

共同出資会社と共同出資事業に関する基本契約を締結し、株式会社ミダックふじの宮に共同出資会社が50%出資

2001年12月

本社にてISO14001の認証取得

愛知県豊橋市に豊橋事業所(汚泥処理施設)を開設

2002年4月

東京都世田谷区に東京営業所を開設

2002年12月

株式会社ミダックふじの宮が一般廃棄物及び産業廃棄物処理施設を開設

2003年8月

産業廃棄物の中間処理(選別・混練、破砕・選別)を目的とし、愛知県豊橋市に100%子会社として株式会社ニーズを設立

2003年10月

豊橋事業所の営業を株式会社ニーズに譲渡

2003年11月

産業廃棄物のリサイクル(路盤材の製造)を目的とし、愛知県豊橋市に100%子会社として株式会社創積を設立

2004年4月

当社が浜松市に100%子会社として株式会社ミダックライナーを設立

2004年6月

当社が株式会社ミダックライナーに一般廃棄物収集運搬事業を譲渡

2004年7月

浜松市に株式会社ミダックホールディングスを純粋持株会社として設立、当社及びグループ各社を子会社とする持株会社体制へ移行

2004年8月

株式会社ミダック福田事業所の操業を休止

2004年10月

株式会社創積が、愛知県豊橋市に産業廃棄物リサイクル施設を開設

株式会社ミダックホールディングスが、アイ・クリーン刈谷株式会社を名古屋市に設立(出資比率75.0%)

2005年1月

東京営業所を川崎市に移転

2005年4月

株式会社ミダックホールディングスが浜松市に100%子会社として有限会社サン・ミダックを設立し、当社のアグリ事業を移管

2005年7月

名古屋市に名古屋営業所を開設

2006年3月

当社が株式会社ニーズ、株式会社創積、アイ・クリーン刈谷株式会社、有限会社ミダック分析センターを吸収合併

株式会社ミダックライナーが有限会社サン・ミダックを吸収合併

2007年8月

福田事業所を廃止

2010年4月

当社が株式会社ミダックホールディングス、株式会社ミダックライナーを吸収合併

2011年4月

株式会社ミダックふじの宮を当社が完全子会社化

2012年3月

株式会社ミダックふじの宮を吸収合併

2013年1月

岐阜県関市に関事業所を開設

2015年3月

株式会社三晃(現・連結子会社)を完全子会社化

2015年12月

2017年6月

株式会社三生開発(現・連結子会社 株式会社ミダック)を完全子会社化

呉松事業所の最終処分場については、埋立能力に相当する埋立が完了したことから、行政への終了届を提出

2017年12月

株式会社名古屋証券取引所市場第二部上場

2018年12月

浜松市より新規管理型最終処分場の産業廃棄物処理施設設置許可証を取得

 

株式会社東京証券取引所市場第二部上場

2019年12月

 

株式会社東京証券取引所市場第一部上場

株式会社名古屋証券取引所市場第一部上場

2021年9月

株式会社ミダックを株式会社ミダックホールディングスへ商号変更し、同時に株式会社ミダックはまなを株式会社ミダックへ商号変更

2021年10月

新規最終処分事業(奥山の杜クリーンセンター)を連結子会社の株式会社ミダックへ会社分割により吸収分割

株式会社柳産業(現・連結子会社 株式会社ミダックこなん)を完全子会社化

2022年2月

新規管理型最終処分場「奥山の杜クリーンセンター」が稼働開始

2022年4月

1日付で持株会社体制へ移行。既存事業は会社分割方式により連結子会社へ吸収分割

東京証券取引所の市場区分の見直しにより、東京証券取引所の市場第一部からプライム市場へ移行。同時に、同理由から名古屋証券取引所の市場第一部からプレミア市場に移行

2022年5月

LOVE THY NEIGHBOR株式会社(現・非連結子会社)を完全子会社化

2022年11月

株式会社岩原果樹園(現・非連結子会社)を完全子会社化

2023年7月

遠州砕石株式会社を完全子会社化

2023年9月

株式会社ヤマダホールディングスとの共同出資により、合弁会社「株式会社グリーン・サーキュラー・ファクトリー」(40%持分法適用関連会社)を設立

 

株式会社フレンドサニタリーを完全子会社化

 

3【事業の内容】

 当社グループは、廃棄物の適正処理を通じて循環型社会の確立を目指す企業集団であり、「ミダック」の社名は、環境を象徴する水、大地、空気の頭文字に由来いたします。かけがえのない地球を美しいまま次代に渡すことを使命とし、その前線を担う環境創造集団を目指して、事業者の廃棄物処理・管理等に関するソリューション事業を手掛けております。

 当社グループは純粋持株会社制を導入しており、当社及び連結子会社6社、非連結子会社2社、持分法適用の関連会社1社で構成されております。

 なお、当社は、有価証券の取引等の規制に関する内閣府令第49条第2項に規定する特定上場会社等に該当しており、これにより、インサイダー取引規制の重要事実の軽微基準については連結ベースの数値に基づいて判断することとなります。

 セグメントは、(1)廃棄物処分事業(株式会社ミダック、株式会社三晃及び株式会社ミダックこなん)(2)収集運搬事業(株式会社ミダック、株式会社ミダックライナー、株式会社フレンドサニタリー)(3)仲介管理事業(株式会社ミダック)の3つとしており、これは、「第5 経理の状況 1 連結財務諸表等 (1) 連結財務諸表注記事項」に掲げるセグメントの区分と同一であります。

 主な事業の内容は以下のとおりであります。当社グループは、これらの事業の中で廃棄物の適正処理の推進、資源循環型社会への貢献を目指しております。

 (1)廃棄物処分事業としては、自社施設による廃棄物処理サービスを行っております。

 (2)収集運搬事業としては、廃棄物の収集運搬サービスを行っております。

  (3)仲介管理事業としては、処理業者への排出事業者紹介サービスを行っております。

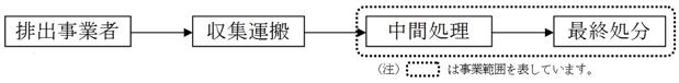
    なお、当社グループの事業系統図は以下のとおりであります。

 

0101010_002.jpg

 

 

(1)廃棄物処分事業

0101010_003.jpg

   ① 廃棄物の中間処理

  排出事業者から排出された廃棄物を処理施設において中間処理する業務であり、最終処分に先立って脱水、焼却、中和等により、減量化、性状の安定化等を行います。

当社グループでは、多種の廃棄物を中間処理できる施設を保有しており、一般的な汚泥・廃液だけではなく、有害物質を多く含んだ廃棄物や、引火性、腐食性の廃棄物の処理にも対応できるよう、「特別管理産業廃棄物処分業」の事業許可を取得しております。また、焼却処理に関しては、産業廃棄物及び特別管理産業廃棄物に加え、一般廃棄物の許可も取得しており、地方自治体から処理を委託されることもあります。

 当社グループが所有している中間処理の処理業の許可のうち、優良産廃処理業者認定制度(注)に基づき優良認定を受けている地域は、愛知県、浜松市であります。

 廃棄物の搬入時には受入検査、計量を行い、処理後残さは必要に応じて性状分析を行い、最終処分場やリサイクル施設へ搬出いたします。

             当社グループの当連結会計年度末における処理施設は以下のとおりとなっております。

<株式会社ミダック 本社事業所>

汚泥、廃液の中間処理施設

(活性汚泥、凝集沈殿、脱水、中和、天日乾燥、油水分離)

廃液中の油分を分離し、また、薬剤処理・生物処理により汚濁物質や有害物質を汚泥として取り除き、上澄み液を放流します。汚泥は脱水し、埋立やリサイクル処理を行います。

<株式会社ミダック 呉松事業所>

固形廃棄物の中間処理施設

(破砕)

固形廃棄物を細かく砕き、容積を減量することによって、埋立処分量の減量及び次処理の工数削減をします。

<株式会社ミダック 豊橋事業所>

汚泥等の中間処理施設

(選別・混練)

泥状廃棄物のリサイクルを容易にするため、異物を取り除き、水や薬剤を加えて混合し、性状調整を行います。また、有害物質を含む廃棄物に関しては薬剤を加えて無害化し、最終処分を行えるようにします。

廃棄商品等の中間処理

(破砕・選別)

不良品等の廃棄商品について、破砕することにより容器と内容物を分離し、それぞれについてリサイクルが容易にできるようにします。

<株式会社ミダック 富士宮事業所>

各種廃棄物の焼却施設

(焼却、シアンの熱分解)

固形物から廃液まで各種廃棄物を焼却し、減量化、無害化します。

 

汚泥、廃液の中間処理施設

(凝集沈殿、脱水、中和、油水分離)

廃液中の油分を分離し、また、薬剤処理・生物処理により汚濁物質や有害物質を汚泥として取り除き、上澄み液を放流します。汚泥は脱水し、埋立やリサイクル処理を行います。

<株式会社三晃 関事業所>

汚泥、廃液の中間処理施設

(凝集沈殿、脱水、油水分離)

廃液中の油分を分離し、また、薬剤処理・生物処理により汚濁物質や有害物質を汚泥として取り除き、上澄み液を放流します。汚泥は脱水し、埋立やリサイクル処理を行います。

<株式会社三晃 春日井事業所>

汚泥等の中間処理施設

(コンクリート固化)

泥状廃棄物について、リサイクルを容易にしたり、最終処分を行えるようにしたりするため、薬剤とセメントを加えて混合し、性状調整を行います。

<株式会社ミダックこなん>

固形廃棄物の中間処理施設

(破砕・選別・圧縮)

固形廃棄物を細かく砕き、容積を減量することによって、埋立処分量の減量及び次処理の工数削減をします。

          (注)優良産廃処理業者認定制度とは、通常の許可基準よりも厳しい基準をクリアした優良な産廃処理業者を、都道府県・政令指定都市が審査して認定する制度です。

 

② 廃棄物の最終処分

  リサイクルが困難な廃棄物などを埋め立てます。

 最終処分場は、廃棄物処理法によって遮断型最終処分場、安定型最終処分場及び管理型最終処分場の3つに分類され、それぞれの処分場において埋立処分できる産業廃棄物と最終処分場の構造基準・維持管理基準が定められています。

 遮断型最終処分場は、埋立処分判定基準に適合しない廃棄物(有害な産業廃棄物及び有害な特別産業廃棄物)を埋め立てる処分場です。安定型最終処分場は、有害物や有機物などが付着しておらず、雨水等にさらされてもほとんど変化しない廃棄物を埋め立てる処分場です。管理型最終処分場は、埋立処分判定基準を満たした産業廃棄物及び安定型産業廃棄物を埋め立てる処分場です。

当社グループが所有するのは、安定型最終処分場及び管理型最終処分場であり、また、現在、当社グループが所有している最終処分の処分業の許可については、優良産廃処理業者認定制度に基づき優良認定を受けております。

 当社グループにおける処理施設は以下のとおりとなっております。

 なお、株式会社ミダック呉松事業所の最終処分場につきましては、埋立能力に相当する埋立が完了したことから、行政への終了届を2017年6月27日に提出しております。また、2024年4月3日に破砕処理施設の休止届を行政へ提出しております。

 

<株式会社ミダック 呉松事業所>

固形廃棄物の最終処分場

(管理型最終処分場)

廃棄物の埋め立てを行います。産業廃棄物13種類(石綿含有産業廃棄物含む)(注)と特別管理産業廃棄物である廃石綿等を埋め立てます。

      (注)燃え殻、汚泥、廃プラスチック類、紙くず、木くず、繊維くず、動植物性残さ、ゴムくず、金属くず、ガラスくず・コンクリートくず及び陶磁器くず、鉱さい、がれき類、ばいじん
(石綿含有産業廃棄物とは、特別管理産業廃棄物である廃石綿等以外で、一定量を超える石綿を含有する産業廃棄物のことを言います。)

<株式会社ミダック 遠州クリーンセンター>

固形廃棄物の最終処分場

(管理型最終処分場)

廃棄物の埋め立てを行います。産業廃棄物12種類(石綿含有産業廃棄物含む)(注)を埋め立てます。

      (注)燃え殻、汚泥、廃プラスチック類、紙くず、木くず、繊維くず、金属くず、ガラスくず・コンクリートくず及び陶磁器くず、鉱さい、がれき類、ばいじん、13号廃棄物

<株式会社ミダック 浜名湖クリーンセンター>

固形廃棄物の最終処分場

(安定型最終処分場)

廃棄物の埋め立てを行います。産業廃棄物4種類(石綿含有産業廃棄物含む)(注)を埋め立てます。

(注)廃プラスチック類、金属くず、ガラスくず・コンクリートくず及び陶磁器くず、がれき類

<株式会社ミダック 奥山の杜クリーンセンター>

固形廃棄物の最終処分場

(管理型最終処分場)

廃棄物の埋め立てを行います。産業廃棄物16種類(石綿含有産業廃棄物含む)(注)を埋め立てます。

(注)燃え殻、汚泥、廃油、廃プラスチック類、紙くず、木くず、繊維くず、動植物性残さ、ゴムくず、金属くず、ガラスくず・コンクリートくず及び陶磁器くず、鉱さい、がれき類、ばいじん、第13 号廃棄物、特定有害廃石綿等

 

(2)収集運搬事業

0101010_004.jpg

    廃棄物の排出場所から廃棄物を回収し、処理場まで運搬する業務であり、固形物から廃液まで多種の廃棄物を運搬できる車両を保有しております(脱着式コンテナ車、タンクローリー車、パッカー車等)。

    収集運搬量、運搬距離等に応じて排出事業者から料金を受け取ります。

 

 

(3)仲介管理事業

0101010_005.jpg

廃棄物処理業者向けに、当社グループの営業員が廃棄物処理案件の仲介及び管理を行うというサービスを行っております。

当社グループと協力関係にある廃棄物処理業者に対して、その業者が求める廃棄物(排出事業者)を紹介するとともに、当該廃棄物処理業者と排出事業者の取引における事務手続等の代行も併せて行っております。

 

4【関係会社の状況】

名称

住所

資本金

(千円)

主要な事業の内容

議決権の所有割合又は被所有割合

(%)

関係内容

(連結子会社)

 

 

 

 

 

 

株式会社ミダック

(注)3

 

 

浜松市中央区

 

 

10,000

 

廃棄物処分事業

 

(所有)

100.0

 

 

顧客及びグループ内で発生する産業廃棄物の最終処分施設。

役員5名の兼務あり。

 

 

 

株式会社三晃

 

 

 

 

愛知県春日井市

 

 

 

 

10,000

 

 

 

廃棄物処分事業

 

 

(所有)

100.0

 

 

 

東海地区における廃棄物処理の拠点。

役員1名の兼務あり。

 

 

 

株式会社ミダックこなん

 

 

 

 

浜松市中央区

 

 

 

 

5,000

 

 

 

廃棄物処分事業

 

 

(所有)

100.0

 

 

 

東海地区における廃棄物処理の拠点。

役員1名の兼務あり。

 

 

 

株式会社ミダックライナー

 

 

 

 

浜松市中央区

 

 

 

 

10,000

 

 

 

収集運搬事業

 

 

(所有)

100.0

 

 

 

東海地区における一般廃棄物収集運搬業者。

役員1名の兼務あり。

 

 

 

株式会社フレンドサニタリー

 

 

 

 

三重県津市

 

 

 

 

10,000

 

 

 

収集運搬事業

 

 

(所有)

100.0

 

 

 

東海地区における一般廃棄物収集運搬業者。

 

 

 

 

遠州砕石株式会社

 

 

 

 

浜松市浜名区

 

 

 

 

45,300

 

 

 

その他

 

 

(所有)

100.0

 

 

 

東海地区における砕石製造業者。

役員1名の兼務あり。

 

(持分法適用関連会社)

 

 

 

 

 

 

 

株式会社グリーン・サーキュラー・ファクトリー

 

 

 

 

群馬県高崎市

 

 

 

 

90,000

 

 

 

廃棄物処分事業

 

 

(所有)

40.0

 

 

 

株式会社ヤマダホールディングスとの共同出資により設立した合弁会社。

役員2名の兼務あり。

 

 (注)1.「主要な事業の内容」欄には、セグメント情報の名称を記載しております。

2.有価証券届出書又は有価証券報告書を提出している会社ではありません。

3.株式会社ミダックについては、特定子会社であり、売上高(連結会社相互間の内部売上を除く。)の連結売上高に占める割合が10%を超えております。

主要な損益情報等  (1)売上高      7,872,763千円

(2)経常利益     3,622,594千円

(3)当期純利益    2,345,458千円

(4)純資産額     7,674,332千円

(5)総資産額     15,615,655千円

5【従業員の状況】

(1)連結会社の状況

 

2024年3月31日現在

セグメントの名称

従業員数(人)

廃棄物処分事業

123

(23)

収集運搬事業

132

(7)

仲介管理事業

48

(6)

報告セグメント計

303

(36)

その他

2

(4)

全社(共通)

49

(9)

合計

354

(49)

(注)1.従業員数は就業人員であり、臨時雇用者数(嘱託・契約社員、パートタイマー、人材会社からの派遣社員

を含む。)は、年間の平均人員を( )外数で記載しております。

2.全社(共通)として記載されている従業員数は、管理部門に所属しているものであります。

 

(2)提出会社の状況

 

 

 

 

2024年3月31日現在

従業員数(人)

平均年齢(歳)

平均勤続年数(年)

平均年間給与(円)

49

(9)

42.2

8.0

5,896,895

 

セグメントの名称

従業員数(人)

廃棄物処分事業

(-)

収集運搬事業

(-)

仲介管理事業

(-)

報告セグメント計

(-)

その他

(-)

全社(共通)

49

(9)

合計

49

(9)

(注)1.従業員数は就業人員(当社から社外への出向者を除く。)であり、臨時雇用者数(嘱託・契約社員、パート

タイマー、人材会社からの派遣社員を含む。)は、年間の平均人員を( )外数で記載しております。

2.平均年間給与は、賞与及び基準外賃金を含んでおります。

3.全社(共通)として記載されている従業員数は、管理部門に所属しているものであります。

 

(3)労働組合の状況

 労働組合は結成されておりませんが、労使関係は円満に推移しております。

 

(4)管理職に占める女性労働者の割合、男性労働者の育児休業取得率及び労働者の男女の賃金の差異

 提出会社及び連結子会社は、「女性の職業生活における活躍の推進に関する法律」(平成27年法律第64号)及び「育児休業、介護休業等育児又は家族介護を行う労働者の福祉に関する法律」(平成3年法律第76号)の規定による公表義務の対象ではないため、記載を省略しております。